The Role of Cadence and Torque in Fatigue-Related Power Output Decline in Cycling’s Grand Monuments
Abstract
1. Introduction
2. Materials and Methods
2.1. Participants
2.2. Sample Estimation and Justification
2.3. Study Design
2.4. Dataset
2.5. Measures
2.6. Statistical Analysis
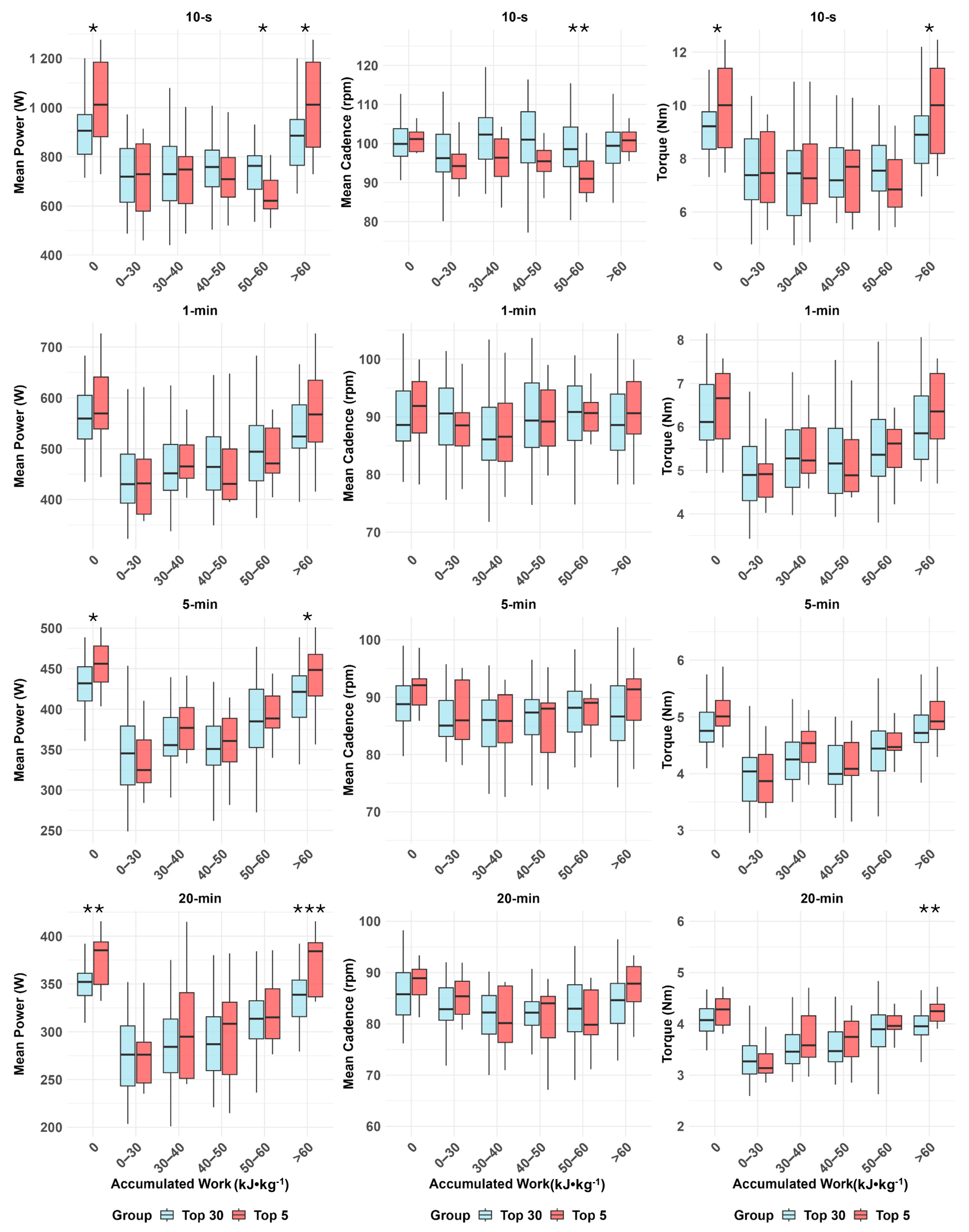
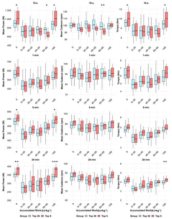
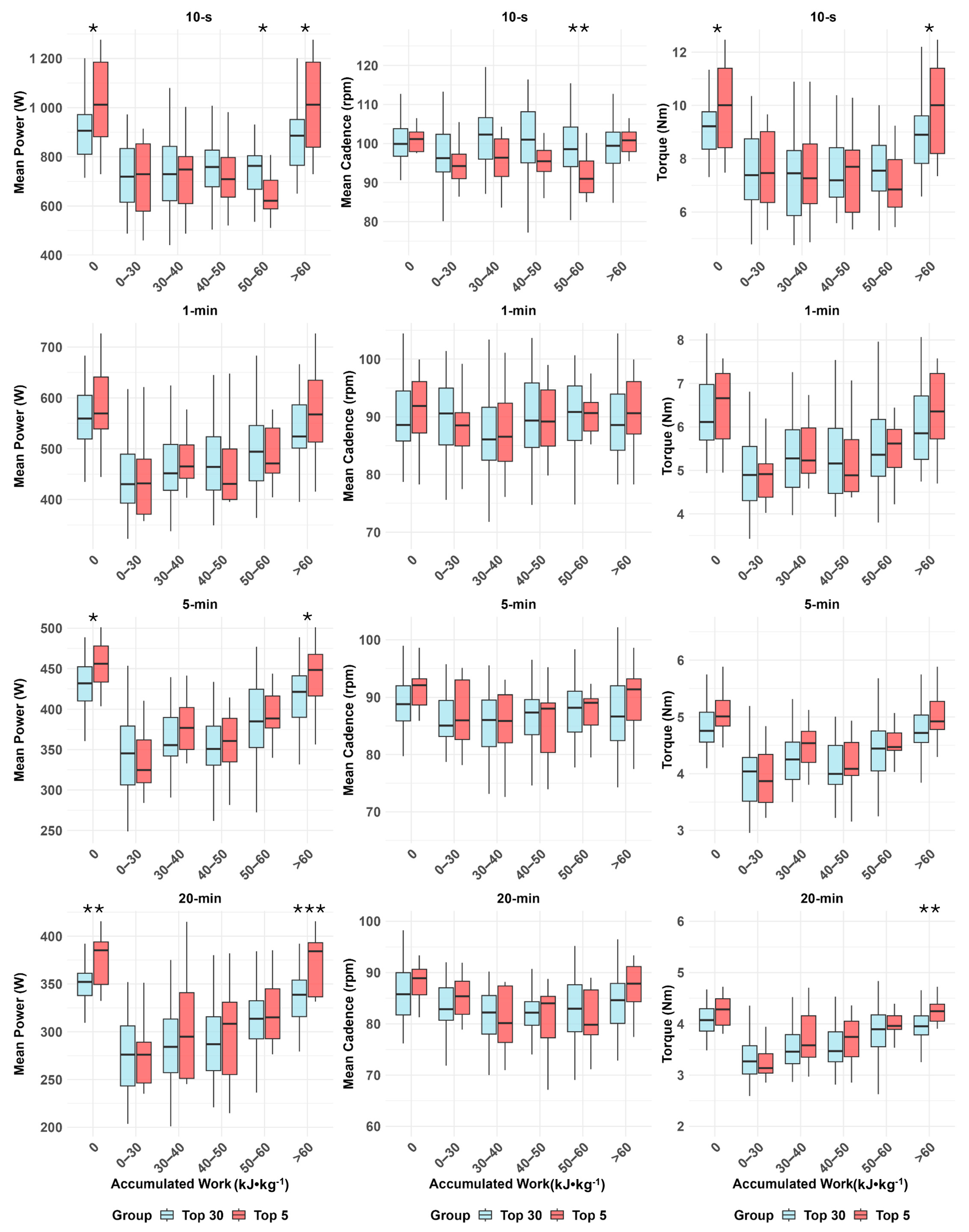
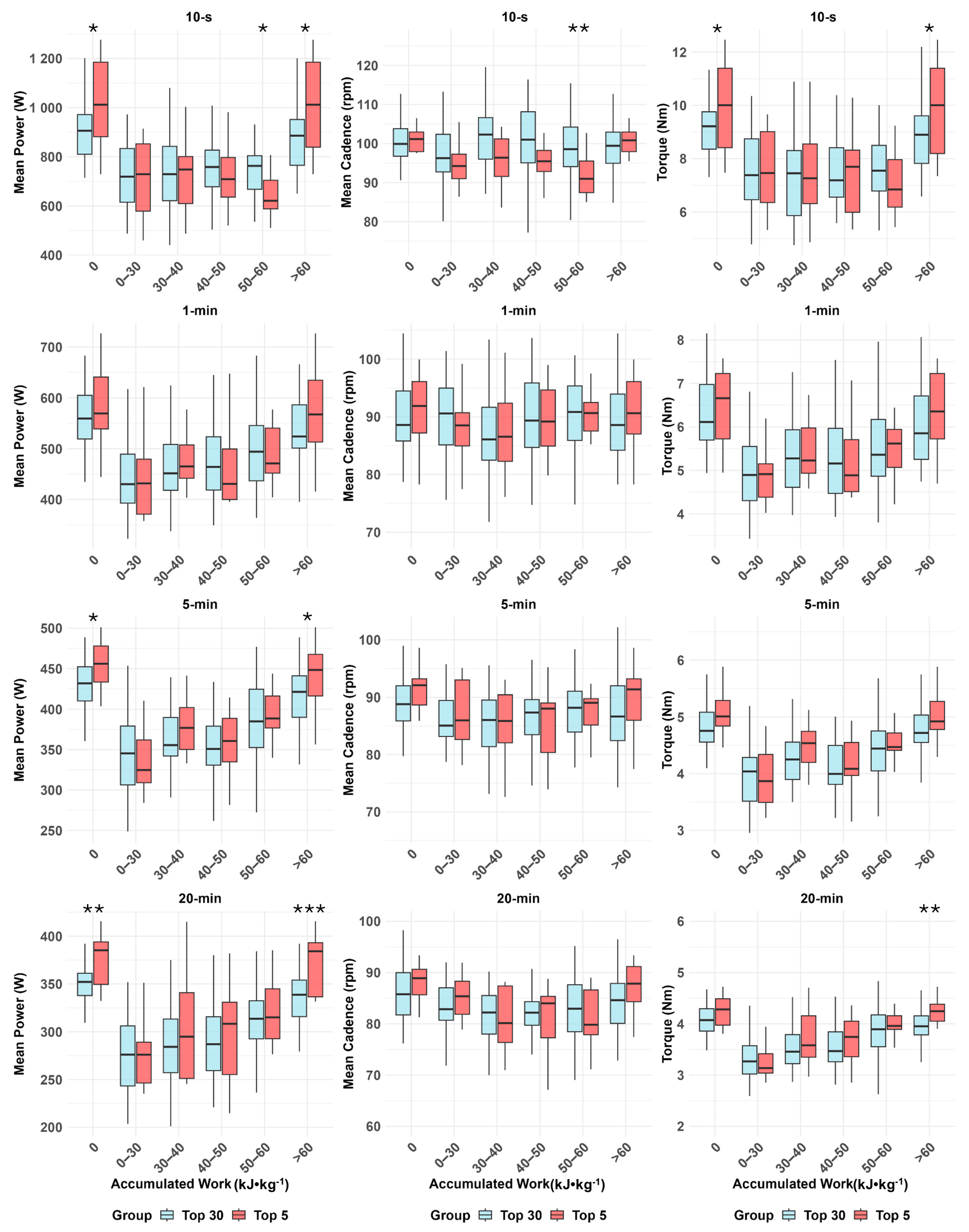
3. Results
3.1. Power Profile
3.2. Cadence Profile
3.3. Torque Profile
3.4. Correlations
4. Discussion
5. Conclusions
Author Contributions
Funding
Institutional Review Board Statement
Informed Consent Statement
Data Availability Statement
Conflicts of Interest
References
- Coyle, E.F.; Feltner, M.E.; Kautz, S.A.; Hamilton, M.T.; Montain, S.J.; Baylor, A.M.; Abraham, L.D.; Petrek, G.W. Physiological and Biochemical Factors Associated with Elite Endurance Cycling Performance. Med. Sci. Sports Exerc. 1991, 23, 93–107. [Google Scholar] [CrossRef]
- Fonda, B.; Sarabon, N. Biomechanics of Cycling: A Review. Sport Sci. Rev. 2010, 19, 187–210. [Google Scholar] [CrossRef]
- Gardner, A.S.; Martin, J.C.; Martin, D.T.; Barras, M.; Jenkins, D.G. Maximal torque- and power-pedaling rate relationships for elite sprint cyclists in laboratory and field tests. Eur. J. Appl. Physiol. 2007, 101, 287–292. [Google Scholar] [CrossRef]
- Hawley, J.A.; Myburgh, K.H.; Noakes, T.D.; Dennis, S.C. Training Techniques to Improve Fatigue Resistance and Enhance Endurance Performance. J. Sports Sci. 1997, 15, 325–333. [Google Scholar] [CrossRef]
- Hawley, J.A.; Noakes, T.D. Peak Power Output Predicts Maximal Oxygen Uptake and Performance in Trained Cyclists. Eur. J. Appl. Physiol. Occup. Physiol. 1992, 65, 79–83. [Google Scholar] [CrossRef] [PubMed]
- Voet, J.G.; Lamberts, R.P.; Viribay, A.; de Koning, J.J.; van Erp, T. Durability and Underlying Physiological Factors: How Do They Change Throughout a Cycling Season in Semiprofessional Cyclists? Int. J. Sports Physiol. Perform. 2024, 19, 761–770. [Google Scholar] [CrossRef] [PubMed]
- Javaloyes, A.; Mateo-March, M.; Carpes, F.P.; Moya-Ramón, M.; Lopez-Grueso, R.; Zabala, M. Bilateral Asymmetries in Professional Cyclists during a Grand Tour. Isokinet. Exerc. Sci. 2021, 29, 455–461. [Google Scholar] [CrossRef]
- Jeukendrup, A.E.; Craig, N.P.; Hawley, J.A. The Bioenergetics of World Class Cycling. J. Sci. Med. Sport 2000, 3, 414–433. [Google Scholar] [CrossRef]
- Leo, P.; Mateo-March, M.; Giorgi, A.; Muriel, X.; Javaloyes, A.; Barranco-Gil, D.; Valenzuela, P.L. The influence of high-intensity work on the record power profile of under-23, pro team, and world tour cyclists. Int. J. Sports Physiol. Perform. 2024, 19, 545–549. [Google Scholar] [CrossRef] [PubMed]
- Lucia, A.; Hoyos, J.; Chicharro, J.L. Preferred Pedaling Cadence in Professional Cycling. Med. Sci. Sports Exerc. 2001, 33, 1361–1366. [Google Scholar] [CrossRef]
- Macdermid, P.W.; Edwards, A.M. Influence of Crank Length on Cycle Ergometry Performance of Well-Trained Cyclists. Eur. J. Appl. Physiol. 2010, 108, 805–811. [Google Scholar] [CrossRef]
- Padilla, S.; Mujika, I.; Orbananos, J.; Angulo, F. Exercise intensity during competition time trials in professional road cycling. Med. Sci. Sports Exerc. 2000, 32, 850–856. [Google Scholar] [CrossRef]
- Martin, J.C.; Spirduso, W.W. Determinants of Maximal Cycling Power: Crank Length, Pedaling Rate, and Pedal Speed. Eur. J. Appl. Physiol. 2001, 84, 413–418. [Google Scholar] [CrossRef]
- Sanders, D.; van Erp, T. The physical demands and power profile of professional men’s cycling races: An updated review. Int. J. Sports Physiol. Perform. 2021, 16, 3–12. [Google Scholar] [CrossRef]
- Neptune, R.R.; Herzog, W. The Association between Negative Muscle Work and Pedaling Rate. J. Biomech. 1999, 32, 1021–1026. [Google Scholar] [CrossRef] [PubMed][Green Version]
- Noakes, T.D. Physiological Models to Understand Exercise Fatigue and the Adaptations That Predict or Enhance Athletic Performance. Scand. J. Med. Sci. Sports 2000, 10, 123–145. [Google Scholar] [CrossRef] [PubMed]
- Sánchez-Jiménez, J.L.; Lorente-Casaus, C.; Jiménez-Pérez, I.; Gandía-Soriano, A.; Carpes, F.P.; Priego-Quesada, J.I. Acute Effects of Fatigue on Internal and External Load Variables Determining Cyclists’ Power Profile. J. Sports Sci. 2023, 41, 526–535. [Google Scholar] [CrossRef]
- Sanders, D.; Van Erp, T.; Heijboer, M. Analysing a Cycling Grand Tour: Can We Monitor Fatigue with Intensity or Load Ratios? J. Sci. Cycl. 2017, 7, 51–58. [Google Scholar] [CrossRef] [PubMed]
- Takaishi, T.; Yamamoto, T.; Ono, T.; Moritani, T. Neuromuscular, Metabolic, and Kinetic Adaptations for Skilled Pedaling Performance in Cyclists. Med. Sci. Sports Exerc. 1998, 28, 340–346. [Google Scholar] [CrossRef]
- Takaishi, T.; Yasuda, Y.; Moritani, T. Neuromuscular Fatigue during Prolonged Pedalling Exercise at Different Pedalling Rates. Eur. J. Appl. Physiol. Occup. Physiol. 1994, 69, 154–158. [Google Scholar] [CrossRef]
- Mateo-March, M.; Moya-Ramón, M.; Sánchez-Jiménez, J.L.; Peña-González, I.; Javaloyes, A. Decoding Victory in Cycling’s Grand Monuments: A Performance Analysis of Top-5 Versus Top-6–30 Finishers. Scand. J. Med. Sci. Sports 2025, 35, e70057. [Google Scholar] [CrossRef] [PubMed]
- Salas-Montoro, J.-A.; Valdivia-Fernández, I.; Rozas, A.d.; Reyes-Sánchez, J.-M.; Zabala, M.; Pérez-Díaz, J.-J. Do Power Meter Data Depend on the Device on Which They Are Collected? Comparison of Eleven Different Recordings. Sensors 2025, 25, 295. [Google Scholar] [CrossRef] [PubMed]
- Sánchez-Jiménez, J.L.; Salas-Montoro, J.A.; Mateo-March, M.; Priego-Quesada, J.I.; Zabala, M.; Pérez-Díaz, J.J. Is intensity the most important factor in determining the amount of prior work accumulated that affects cyclists’ acute durability? A systematic review. Eur. J. Appl. Physiol. 2025, 1–17. [Google Scholar] [CrossRef]
- Leo, P.; Spragg, J.; Wakefield, J.; Swart, J. Predictors of Cycling Performance Success: Traditional Approaches and a Novel Method to Assess Performance Capacity in U23 Road Cyclists. J. Sci. Med. Sport 2023, 26, 52–57. [Google Scholar] [CrossRef]
- Muriel, X.; Valenzuela, P.L.; Mateo-March, M.; Pallarés, J.G.; Lucia, A.; Barranco-Gil, D. Physical Demands and Performance Indicators in Male Professional Cyclists During a Grand Tour: WorldTour Versus ProTeam Cate-gory. Int. J. Sports Physiol. Perform. 2022, 17, 22–30. [Google Scholar] [CrossRef]
- Stellingwerff, T.; Saunders, B.; Siegler, J.C. Buffering Your Way to Sub-4! An Important Consideration for Middle-Distance Performance. J. Appl. Physiol. 2025, 139, 252–253. [Google Scholar] [CrossRef]
- Van Erp, T.; Sanders, D.; Lamberts, R.P. Maintaining power output with accumulating levels of work done is a key determinant for success in professional cycling. Med. Sci. Sports Exerc. 2021, 53, 1903–1910. [Google Scholar] [CrossRef] [PubMed]

| Characteristic | Top-5 (n = 14) | Top-30 (n = 42) | 95% CI Bottom | 95% CI Top | p Value (d) |
|---|---|---|---|---|---|
| Body mass (kg) | 70.6 ± 6.8 | 70.9 ± 5.6 | −4 | 3.3 | 0.864 (0.05) |
| Height (cm) | 1.82 ± 0.05 | 1.81 ± 0.05 | −0.020 | 0.050 | 0.382 (0.2) |
| BMI (kg·m−2) | 21.2 ± 1.1 | 21.7 1.4 | −1.3 | 0.4 | 0.276 (0.3) |
| Result in the race | 3 ± 2 | 18 ± 7 | −19 | −11 | <0.001 (2.3) |
| Average power (W) | 259 ± 39 | 254 ± 28 | −14 | 24 | 0.614 (0.2) |
| Peak Power (W) | 1198 ± 195 | 1185 ± 142 | −84 | 109 | 0.795 (0.1) |
| Normalized Power (W) | 316 ± 33 | 308 ± 25 | −9 | 25 | 0.357 (0.3) |
| Compound Score (W2·kg−1) | 3443 ± 523 | 3063 ± 518 | 59 | 701 | 0.021 (0.7) |
| Work (kJ) | 5902 ± 765 | 5587 ± 552 | −148 | 640 | 0.353 (0.5) |
| Effort | Accumulated Work (kJ·kg−1) | Top 5 | Top 30 | ||||
|---|---|---|---|---|---|---|---|
| Power Output (W) | Torque (N·m) | Cadence (rpm) | Power Output (W) | Torque (N·m−1) | Cadence (rpm) | ||
| 10 s | 0 | 1016 ± 180 | 10 ± 2 | 101 ± 3 | 919 ± 125 | 9 ± 1 | 101 ± 7 |
| 0–30 | 720 ± 154 | 8 ± 2 | 95 ± 6 | 729 ± 134 | 8 ± 1 | 97 ± 9 | |
| 30–40 | 726 ± 146 | 8 ± 2 | 97 ± 10 | 736 ± 147 | 7 ± 2 | 102 ± 10 | |
| 40–50 | 721 ± 142 | 8 ± 2 | 96 ± 8 | 752 ± 115 | 7 ± 1 | 101 ± 9 | |
| 50–60 | 657 ± 112 | 7 ± 1 | 93 ± 7 | 741 ± 99 | 8 ± 1 | 99 ± 8 | |
| >60 | 1004 ± 192 | 10 ± 2 | 101 ± 3 | 883 ± 143 | 9 ± 1 | 99 ± 8 | |
| 1 min | 0 | 589 ± 83 | 6 ± 1 | 91 ± 6 | 565 ± 58 | 6 ± 1 | 90 ± 7 |
| 0–30 | 437 ± 78 | 5 ± 1 | 88 ± 6 | 443 ± 74 | 5 ± 1 | 90 ± 7 | |
| 30–40 | 471 ± 51 | 5 ± 1 | 87 ± 8 | 462 ± 70 | 5 ± 1 | 87 ± 8 | |
| 40–50 | 458 ± 73 | 5 ± 1 | 89 ± 6 | 477 ± 80 | 5 ± 1 | 90 ± 8 | |
| 50–60 | 488 ± 57 | 5 ± 1 | 89 ± 7 | 500 ± 81 | 6 ± 1 | 90 ± 7 | |
| >60 | 577 ± 90 | 6 ± 1 | 91 ± 7 | 533 ± 66 | 6 ± 1 | 89 ± 7 | |
| 5 min | 0 | 450 ± 38 | 5 ± 0 | 90 ± 6 | 429 ± 29 | 5 ± 0 | 89 ± 6 |
| 0–30 | 341 ± 47 | 4 ± 1 | 87 ± 6 | 341 ± 48 | 4 ± 1 | 86 ± 6 | |
| 30–40 | 378 ± 31 | 4 ± 0 | 85 ± 7 | 362 ± 35 | 4 ± 0 | 85 ± 5 | |
| 40–50 | 352 ± 48 | 4 ± 1 | 85 ± 6 | 353 ± 39 | 4 ± 0 | 87 ± 5 | |
| 50–60 | 396 ± 39 | 5 ± 0 | 87 ± 4 | 384 ± 51 | 4 ± 1 | 88 ± 5 | |
| >60 | 444 ± 40 | 5 ± 0 | 89 ± 6 | 417 ± 36 | 5 ± 0 | 87 ± 6 | |
| 20 min | 0 | 374 ± 30 | 4 ± 0 | 88 ± 4 | 351 ± 22 | 4 ± 0 | 86 ± 5 |
| 0–30 | 281 ± 48 | 3 ± 0 | 85 ± 4 | 276 ± 43 | 3 ± 0 | 83 ± 6 | |
| 30–40 | 303 ± 55 | 4 ± 1 | 81 ± 6 | 287 ± 42 | 4 ± 0 | 81 ± 6 | |
| 40–50 | 298 ± 49 | 4 ± 1 | 81 ± 7 | 291 ± 41 | 4 ± 0 | 82 ± 5 | |
| 50–60 | 322 ± 33 | 4 ± 0 | 81 ± 6 | 314 ± 34 | 4 ± 0 | 83 ± 6 | |
| >60 | 369 ± 30 | 4 ± 0 | 87 ± 5 | 336 ± 26 | 4 ± 0 | 85 ± 6 | |
| Condition | Variable Compared (Moment) | 10 s r (p Value) | 1 min r (p Value) | 5 min r (p Value) | 20 min r (p Value) |
|---|---|---|---|---|---|
| Power (MMP) | Cadence (MMP) | 0.3 (0.028) | 0.1 (0.464) | 0.3 (0.032) | 0.4 (<0.001) |
| Cadence (Fatigued) | 0.3 (0.015) | 0.1 (0.555) | 0.3 (0.020) | 0.4 (0.002) | |
| Torque (MMP) | 0.9 (<0.001) | 0.8 (<0.001) | 0.7 (<0.001) | 0.6 (<0.001) | |
| Torque (Fatigued) | 0.9 (<0.001) | 0.7 (<0.001) | 0.6 (<0.001) | 0.6 (<0.001) | |
| Power (Fatigued) | Cadence (MMP) | 0.3 (0.025) | 0.1 (0.517) | 0.2 (0.106) | 0.3 (0.010) |
| Cadence (Fatigued) | 0.4 (0.001) | 0.1 (0.591) | 0.4 (0.007) | 0.5 (<0.001) | |
| Torque (MMP) | 0.8 (<0.001) | 0.6 (<0.001) | 0.6 (<0.001) | 0.5 (<0.001) | |
| Torque (Fatigued) | 0.9 (<0.001) | 0.9 (<0.001) | 0.7 (<0.001) | 0.7 (<0.001) |
Disclaimer/Publisher’s Note: The statements, opinions and data contained in all publications are solely those of the individual author(s) and contributor(s) and not of MDPI and/or the editor(s). MDPI and/or the editor(s) disclaim responsibility for any injury to people or property resulting from any ideas, methods, instructions or products referred to in the content. |
© 2025 by the authors. Licensee MDPI, Basel, Switzerland. This article is an open access article distributed under the terms and conditions of the Creative Commons Attribution (CC BY) license (https://creativecommons.org/licenses/by/4.0/).
Share and Cite
Javaloyes, A.; Sánchez-Jiménez, J.L.; Peña-González, I.; Moya-Ramón, M.; Mateo-March, M. The Role of Cadence and Torque in Fatigue-Related Power Output Decline in Cycling’s Grand Monuments. Sports 2025, 13, 406. https://doi.org/10.3390/sports13110406
Javaloyes A, Sánchez-Jiménez JL, Peña-González I, Moya-Ramón M, Mateo-March M. The Role of Cadence and Torque in Fatigue-Related Power Output Decline in Cycling’s Grand Monuments. Sports. 2025; 13(11):406. https://doi.org/10.3390/sports13110406
Chicago/Turabian StyleJavaloyes, Alejandro, Jose Luis Sánchez-Jiménez, Iván Peña-González, Manuel Moya-Ramón, and Manuel Mateo-March. 2025. "The Role of Cadence and Torque in Fatigue-Related Power Output Decline in Cycling’s Grand Monuments" Sports 13, no. 11: 406. https://doi.org/10.3390/sports13110406
APA StyleJavaloyes, A., Sánchez-Jiménez, J. L., Peña-González, I., Moya-Ramón, M., & Mateo-March, M. (2025). The Role of Cadence and Torque in Fatigue-Related Power Output Decline in Cycling’s Grand Monuments. Sports, 13(11), 406. https://doi.org/10.3390/sports13110406

