Cross-Cultural Adaption and Validation of the Dutch Version of the Kerlan-Jobe Orthopaedic Clinic Questionnaire in Juvenile Baseball Pitchers
Abstract
1. Introduction
2. Materials and Methods
2.1. Translation Procedures
2.2. Study Design and Study Population
2.3. Procedure and Data Collection
2.4. Questionnaires
2.5. Psychometric Properties
2.5.1. Internal Consistency
2.5.2. Construct Validity
2.5.3. Interpretability
2.6. Statistical Analysis
3. Results
3.1. Internal Consistency
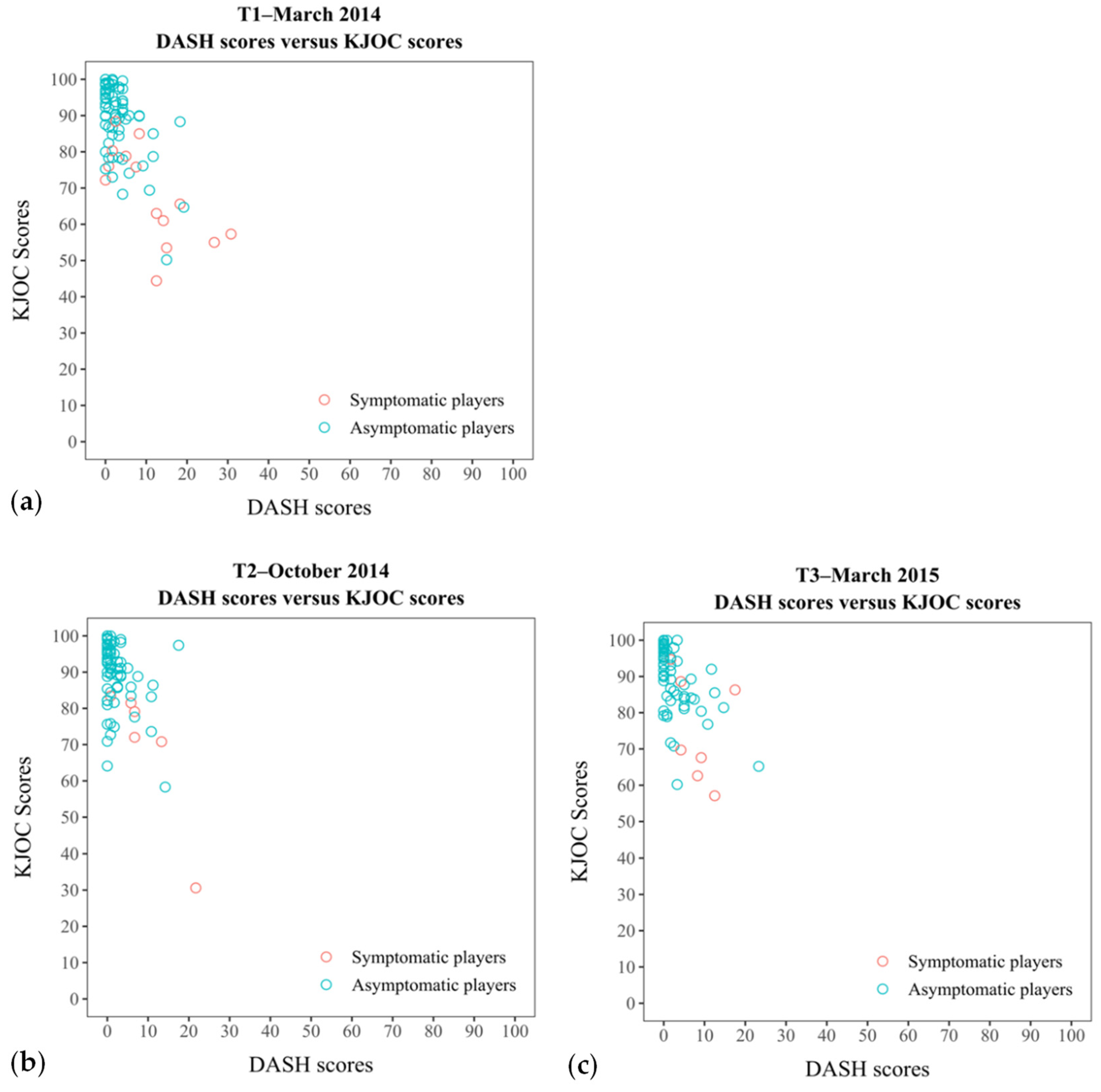
3.2. Construct Validity
3.3. Interpretability
4. Discussion
5. Conclusions
Author Contributions
Funding
Institutional Review Board Statement
Informed Consent Statement
Data Availability Statement
Acknowledgments
Conflicts of Interest
Appendix A



Appendix B



References
- Bullock, G.S.; Menon, G.; Nicholson, K.; Butler, R.J.; Arden, N.K.; Filbay, S.R. Baseball pitching biomechanics in relation to pain, injury, and surgery: A systematic review. J. Sci. Med. Sport 2020, 24, 13–20. [Google Scholar] [CrossRef] [PubMed]
- Boltz, A.J.; Powell, J.R.; Robison, H.J.; Morris, S.N.; Collins, C.L.; Chandran, A. Epidemiology of Injuries in National Collegiate Athletic Association Men’s Baseball: 2014–2015 through 2018–2019. J. Athl. Train. 2021, 56, 742–749. [Google Scholar] [CrossRef] [PubMed]
- Wiertsema, S.H.; de Witte, P.B.; Rietberg, M.B.; Hekman, K.M.; Schothorst, M.; Steultjens, M.P.; Dekker, J. Measurement properties of the Dutch version of the Western Ontario Shoulder Instability Index (WOSI). J. Orthop. Sci. 2014, 19, 242–249. [Google Scholar] [CrossRef] [PubMed]
- Veehof, M.M.; Sleegers, E.J.; van Veldhoven, N.H.; Schuurman, A.H.; van Meeteren, N.L. Psychometric qualities of the Dutch language version of the Disabilities of the Arm, Shoulder, and Hand questionnaire (DASH-DLV). J. Hand Ther. 2002, 15, 347–354. [Google Scholar] [CrossRef]
- Michener, L.A.; McClure, P.W.; Sennett, B.J. American Shoulder and Elbow Surgeons Standardized Shoulder Assessment Form, patient self-report section: Reliability, validity, and responsiveness. J. Shoulder Elb. Surg. 2002, 11, 587–594. [Google Scholar] [CrossRef] [PubMed]
- Hudak, P.L.; Amadio, P.C.; Bombardier, C.; Beaton, D.; Cole, D.; Davis, A.; Hawker, G.; Katz, J.N.; Makela, M.; Marx, R.G.; et al. Development of an upper extremity outcome measure: The DASH (disabilities of the arm, shoulder, and head). Am. J. Ind. Med. 1996, 29, 602–608. [Google Scholar] [CrossRef]
- Kirkley, A.; Griffin, S.; McLintock, H.; Ng, L. The Development and Evaluation of a Disease-Specific Quality of Life Measurement Tool for Shoulder Instability. Am. J. Sports Med. 1998, 26, 764–772. [Google Scholar] [CrossRef]
- Alberta, F.G.; ElAttrache, N.S.; Bissell, S.; Mohr, K.; Browdy, J.; Yocum, L.; Jobe, F. The development and validation of a functional assessment tool for the upper extremity in the overhead athlete. Am. J. Sports Med. 2010, 38, 903–911. [Google Scholar] [CrossRef]
- Franz, J.O.; McCulloch, P.C.; Kneip, C.J.; Noble, P.C.; Lintner, D.M. The Utility of the KJOC Score in Professional Baseball in the United States. Am. J. Sports Med. 2013, 41, 2167–2173. [Google Scholar] [CrossRef]
- Hegedus, E.J.; Vidt, M.E.; Tarara, D.T. The best combination of physical performance and self-report measures to capture function in three patient groups. Phys. Ther. Rev. 2013, 19, 196–203. [Google Scholar] [CrossRef]
- Turgut, E.; Tunay, V.B. Cross-cultural adaptation of Kerlan-Jobe Orthopaedic Clinic shoulder and elbow score: Reliability and validity in Turkish-speaking overhead athletes. Acta Orthop. Traumatol. Turc. 2018, 52, 206–210. [Google Scholar] [CrossRef] [PubMed]
- O’Brien, D.F.; O’Hagan, T.; Stewart, R.; Atanda, A.W.; Hammoud, S.; Cohen, S.B.; Ciccotti, M.G. Outcomes for ulnar collateral ligament reconstruction: A retrospective review using the KJOC assessment score with two-year follow-up in an overhead throwing population. J. Shoulder Elb. Surg. 2015, 24, 934–940. [Google Scholar] [CrossRef]
- Fronek, J.; Yang, J.G.; Osbahr, D.C.; Pollack, K.M.; ElAttrache, N.S.; Noonan, T.J.; Conte, S.A.; Yocum, L.A. Shoulder functional performance status of Minor League professional baseball pitchers. J. Shoulder Elb. Surg. 2015, 24, 17–23. [Google Scholar] [CrossRef] [PubMed]
- Wymore, L.; Fronek, J. Shoulder Functional Performance Status of National Collegiate Athletic Association Swimmers. Am. J. Sports Med. 2015, 43, 1513–1517. [Google Scholar] [CrossRef] [PubMed]
- Fredriksen, H.; Myklebust, G. Norwegian translation, cross-cultural adaptation and validation of the Kerlan-Jobe Orthopaedic Clinic shoulder and elbow questionnaire. BMJ Open Sport Exerc. Med. 2019, 5, e000611. [Google Scholar] [CrossRef]
- Merolla, G.; Corona, K.; Zanoli, G.; Cerciello, S.; Giannotti, S.; Porcellini, G. Cross-cultural adaptation and validation of the Italian version of the Kerlan–Jobe Orthopaedic Clinic Shoulder and Elbow score. J. Orthop. Traumatol. 2017, 18, 415–421. [Google Scholar] [CrossRef]
- Schulz, C.; Eibl, A.D.; Radovanović, G.; Agres, A.; Nobis, T.; Legerlotz, K. Cross-cultural adaptation and validation of the Kerlan-Jobe orthopedic clinic shoulder and elbow score for German-speaking overhead athletes. Physiother. Theory Pract. 2022, 38, 1059–1070. [Google Scholar] [CrossRef]
- Oh, J.H.; Kim, J.Y.; Limpisvasti, O.; Lee, T.Q.; Song, S.H.; Kwon, K.B. Cross-cultural adaptation, validity and reliability of the Korean version of the Kerlan-Jobe Orthopedic Clinic shoulder and elbow score. JSES Open Access 2017, 1, 39–44. [Google Scholar] [CrossRef]
- Kirkley, A.; Alvarez, C.; Griffin, S. The Development and Evaluation of a Disease-specific Quality-of-Life Questionnaire for Disorders of the Rotator Cuff: The Western Ontario Rotator Cuff Index. Clin. J. Sport Med. 2003, 13, 84. [Google Scholar] [CrossRef]
- Van Eck, M.E.; Lameijer, C.M.; Moumni, M.E. Structural validity of the Dutch version of the disability of arm, shoulder and hand questionnaire (DASH-DLV) in adult patients with hand and wrist injuries. BMC Musculoskelet. Disord. 2018, 19, 207. [Google Scholar] [CrossRef]
- Beaton, D.E.; Bombardier, C.; Guillemin, F.; Ferraz, M.B. Guidelines for the Process of Cross-Cultural Adaptation of Self-Report Measures. Spine 2000, 25, 3186–3191. [Google Scholar] [CrossRef] [PubMed]
- Terwee, C.B.; Bot, S.D.; de Boer, M.R.; van der Windt, D.A.; Knol, D.L.; Dekker, J.; Bouter, L.M.; de Vet, H.C. Quality criteria were proposed for measurement properties of health status questionnaires. J. Clin. Epidemiol. 2007, 60, 34–42. [Google Scholar] [CrossRef] [PubMed]
- Bahr, R.; Clarsen, B.; Derman, W.; Dvorak, J.; Emery, C.A.; Finch, C.F.; Hägglund, M.; Junge, A.; Kemp, S.; Khan, K.M.; et al. International Olympic Committee consensus statement: Methods for recording and reporting of epidemiological data on injury and illness in sport 2020 (including STROBE Extension for Sport Injury and Illness Surveillance (STROBE-SIIS)). Br. J. Sports Med. 2020, 54, 372. [Google Scholar] [CrossRef]
- Cohen, J. Statistical Power Analysis for the Behavioral Sciences, 2nd ed.; Taylor & Francis: New York, NY, USA, 1988. [Google Scholar]
- Peterson, R.A. A Meta-Analysis of Cronbach’s Coefficient Alpha. J. Consum. Res. 1994, 21, 381. [Google Scholar] [CrossRef]
- Schober, P.; Boer, C.; Schwarte, L.A. Correlation Coefficients, Appropriate Use and Interpretation. Anesth. Analg. 2018, 126, 1763–1768. [Google Scholar] [CrossRef] [PubMed]
- Mokkink, L.B.; Terwee, C.B.; Patrick, D.L.; Alonso, J.; Stratford, P.W.; Knol, D.L.; Bouter, L.M.; de Vet, H.C. The COSMIN study reached international consensus on taxonomy, terminology, and definitions of measurement properties for health-related patient-reported outcomes. J. Clin. Epidemiol. 2010, 63, 737–745. [Google Scholar] [CrossRef]
- McHorney, C.A.; Tarlov, A.R. Individual-patient monitoring in clinical practice: Are available health status surveys adequate? Qual Life Res. 1995, 4, 293–307. [Google Scholar] [CrossRef]
- Team, R.C. R: A Language and Environment for Statistical Computing [Internet]. 2022. Available online: https://www.R-project.org/ (accessed on 29 August 2022).
- Wickham, H. ggplot2: Elegant Graphics for Data Analysis [Internet]; Springer: New York, NY, USA, 2016; Available online: https://ggplot2.tidyverse.org (accessed on 29 August 2022).
- Stepan, J.G.; London, D.A.; Boyer, M.I.; Calfee, R.P. Accuracy of Patient Recall of Hand and Elbow Disability on the QuickDASH Questionnaire Over a Two-Year Period. J. Bone Jt. Surg. 2013, 95, e176. [Google Scholar] [CrossRef]

| Period | Participants (N) | Age (Years) | Body Height (cm) | Body Weight (kg) | BMI |
|---|---|---|---|---|---|
| T1—March 2014 | 87 | 14.6 (1.7) | 178.0 (11.7) | 68.8 (15.3) | 21.5 (3.1) |
| T2—October 2014 | 79 | 15.0 (1.7) | 179.6 (11.0) | 69.4 (15.8) | 21.3 (3.3) |
| T3—March 2015 | 79 | 14.9 (1.7) | 178.5 (10.6) | 69.9 (14.5) | 21.7 (3.0) |
| Period | KJOC | DASH | WOSI |
|---|---|---|---|
| Sum score ranges | 0 (worst)–100 (best) | 0 (best)–100 (worst) | 0 (best)–2100 (worst) |
| All Players (N) | |||
| T1 (87) | 86.5 (13.2) | 4.3 (6.1) | |
| T2 (79) | 88.9 (11.6) | 2.5 (4.3) | |
| T3 (78) | 89.4 (10.6) | 2.8 (4.6) | |
| Symptomatic Players (N) | |||
| T1 (14) | 68.3 (13.1) | 11.1 (9.5) | 665 (303) |
| T2 (6) | 78.1 (17.1) | 9.2 (7.3) | 488 (254) |
| T3 (7) | 83.3 (12.1) | 8.2 (5.5) | 562 (225) |
| Period | Questionnaire | All Players | Players with Upper Extremity Symptoms |
|---|---|---|---|
| T1 | KJOC (N = 10) | 0.83 (0.75, 0.88) | 0.62 (0.20, 0.80) |
| T2 | KJOC (N = 10) | 0.84 (0.71, 0.91) | 0.86 (−1.30, 0.94) |
| T3 | KJOC (N = 10) | 0.84 (0.77, 0.88) | 0.82 (0.46, 0.90) |
| Period | All Players | Players with Upper Extremity Symptoms | |
|---|---|---|---|
| DASH | DASH | WOSI | |
| T1 | −0.59 | −0.69 | −0.87 |
| T2 | −0.47 | −0.99 | −0.32 |
| T3 | −0.67 | −0.58 | −0.60 |
| KJOC | DASH | WOSI | ||||
|---|---|---|---|---|---|---|
| Sum Score Ranges | 0 (worst)–100 (best) | 0 (best)–100 (worst) | 0 (best)–2100 (worst) | |||
| Effect | Floor | Ceiling | Floor | Ceiling | Floor | Ceiling |
| All Players | ||||||
| T1 | No: 0 | No: 9 (10.3%) | Yes: 25 (28.7%) | No: 0 | ||
| T2 | No: 0 | No: 9 (11.4%) | Yes: 33 (41.8%) | No: 0 | ||
| T3 | No: 0 | Yes: 12 (15.2%) | Yes: 38 (48.1%) | No: 0 | ||
| Symptomatic players with upper extremity symptoms | ||||||
| T1 | No: 0 | No: 0 | No: 1 (7.1%) | No: 0 | No: 0 | No: 0 |
| T2 | No: 0 | No: 0 | No: 0 | No: 0 | No: 0 | No: 0 |
| T3 | No: 0 | No: 0 | No: 0 | No: 0 | No: 0 | No: 0 |
Publisher’s Note: MDPI stays neutral with regard to jurisdictional claims in published maps and institutional affiliations. |
© 2022 by the authors. Licensee MDPI, Basel, Switzerland. This article is an open access article distributed under the terms and conditions of the Creative Commons Attribution (CC BY) license (https://creativecommons.org/licenses/by/4.0/).
Share and Cite
Leenen, A.J.R.; Hurry, A.; van Dis, F.; van der Graaff, E.; Veeger, H.E.J.; Hoozemans, M.J.M. Cross-Cultural Adaption and Validation of the Dutch Version of the Kerlan-Jobe Orthopaedic Clinic Questionnaire in Juvenile Baseball Pitchers. Sports 2022, 10, 163. https://doi.org/10.3390/sports10110163
Leenen AJR, Hurry A, van Dis F, van der Graaff E, Veeger HEJ, Hoozemans MJM. Cross-Cultural Adaption and Validation of the Dutch Version of the Kerlan-Jobe Orthopaedic Clinic Questionnaire in Juvenile Baseball Pitchers. Sports. 2022; 10(11):163. https://doi.org/10.3390/sports10110163
Chicago/Turabian StyleLeenen, A. J. R., Amber Hurry, Femke van Dis, Erik van der Graaff, H. E. J. Veeger, and M. J. M. Hoozemans. 2022. "Cross-Cultural Adaption and Validation of the Dutch Version of the Kerlan-Jobe Orthopaedic Clinic Questionnaire in Juvenile Baseball Pitchers" Sports 10, no. 11: 163. https://doi.org/10.3390/sports10110163
APA StyleLeenen, A. J. R., Hurry, A., van Dis, F., van der Graaff, E., Veeger, H. E. J., & Hoozemans, M. J. M. (2022). Cross-Cultural Adaption and Validation of the Dutch Version of the Kerlan-Jobe Orthopaedic Clinic Questionnaire in Juvenile Baseball Pitchers. Sports, 10(11), 163. https://doi.org/10.3390/sports10110163

