Skyglow-Induced Luminance Gradients Influence Orientation in a Migratory Moth
Simple Summary
Abstract
1. Introduction
2. Materials and Methods
2.1. Collection and Rearing of FAW
2.2. Field Orientation Experiments
2.3. Laboratory Orientation Experiments
2.4. Sky Luminance Gradient Recording
2.5. Sky Measurement and Visualization of Light–Dark Contrast
2.6. Experimental Lighting and Luminance Quantification
2.7. Quantification and Statistical Analysis
2.7.1. Analysis of Orientation Behavior
2.7.2. Analysis of Flight Stability
3. Results
3.1. Skyglow-Induced Luminance Gradients Affect Orientation in the Field
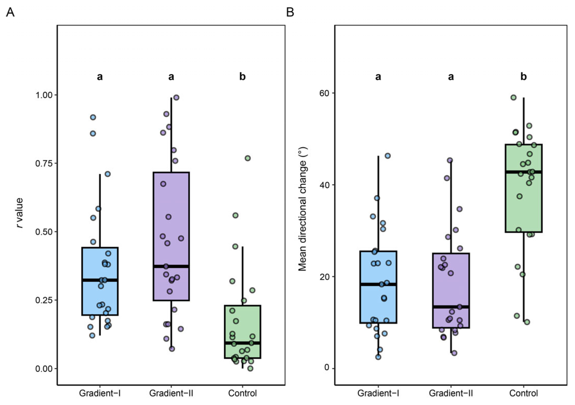
3.2. Indoor Luminance Gradient Experiments Replicate Field-Based Orientation Behavior
4. Discussion
5. Conclusions
Supplementary Materials
Author Contributions
Funding
Data Availability Statement
Acknowledgments
Conflicts of Interest
Abbreviations
| ALAN | Artificial Light at Night |
| FAW | Fall Armyworm |
| MV | Mean Vector |
| MMRT | Moore’s Modified Rayleigh Test |
| IQR | Interquartile Range |
| BH | Benjamini–Hochberg |
Appendix A


| Group | Treatment | MV | R* | n | p Value |
|---|---|---|---|---|---|
| Field Experiments | Starry nights | 57.75 | 1.46 | 25 | 0.001 < p < 0.005 |
| Indoor Experiments | Gradient-I | 117.05 | 1.35 | 34 | 0.001 < p < 0.005 |
| 121.68 | 1.19 | 23 | 0.025 < p < 0.05 | ||
| Gradient-II | 284.89 | 1.06 | 34 | 0.025 < p < 0.05 | |
| 299.74 | 1.03 | 23 | 0.025 < p < 0.05 | ||
| Control | 108.08 | 0.90 | 23 | 0.1 < p < 0.5 |
| Comparison Group | W Value | BH-Corrected p Value | Median Difference |
|---|---|---|---|
| A−B | 103 | 0.30 | −0.05 |
| A−C | 234 | 0.0036 | 0.23 |
| B−C | 239 | 0.0036 | 0.28 |
| Comparison Group | W Value | BH-Corrected p Value | Median Difference |
|---|---|---|---|
| A−B | 161 | 0.50 | 4.92 |
| A−C | 17 | 0.00014 | −24.47 |
| B−C | 22 | 0.00019 | −29.39 |
References
- Fouquet, R.; Pearson, P.J.G. Seven Centuries of Energy Services: The Price and Use of Light in the United Kingdom (1300-2000)1. Energy J. 2006, 27, 139–178. [Google Scholar] [CrossRef]
- Hölker, F.; Wolter, C.; Perkin, E.K.; Tockner, K. Light Pollution as a Biodiversity Threat. Trends Ecol. Evol. 2010, 25, 681–682. [Google Scholar] [CrossRef] [PubMed]
- Gaston, K.J.; Sánchez De Miguel, A. Environmental Impacts of Artificial Light at Night. Annu. Rev. Environ. Resour. 2022, 47, 373–398. [Google Scholar] [CrossRef]
- Gaston, K.J.; Duffy, J.P.; Gaston, S.; Bennie, J.; Davies, T.W. Human Alteration of Natural Light Cycles: Causes and Ecological Consequences. Oecologia 2014, 176, 917–931. [Google Scholar] [CrossRef] [PubMed]
- Gaston, K.J.; Davies, T.W.; Nedelec, S.L.; Holt, L.A. Impacts of Artificial Light at Night on Biological Timings. Annu. Rev. Ecol. Evol. Syst. 2017, 48, 49–68. [Google Scholar] [CrossRef]
- Foster, J.J.; Tocco, C.; Smolka, J.; Khaldy, L.; Baird, E.; Byrne, M.J.; Nilsson, D.-E.; Dacke, M. Light Pollution Forces a Change in Dung Beetle Orientation Behavior. Curr. Biol. 2021, 31, 3935–3942. [Google Scholar] [CrossRef] [PubMed]
- Giavi, S.; Blösch, S.; Schuster, G.; Knop, E. Artificial Light at Night Can Modify Ecosystem Functioning beyond the Lit Area. Sci. Rep. 2020, 10, 11870. [Google Scholar] [CrossRef] [PubMed]
- Kyba, C.C.M.; Ruhtz, T.; Fischer, J.; Hölker, F. Cloud Coverage Acts as an Amplifier for Ecological Light Pollution in Urban Ecosystems. PLoS ONE 2011, 6, e17307. [Google Scholar] [CrossRef]
- Kyba, C.C.M.; Tong, K.P.; Bennie, J.; Birriel, I.; Birriel, J.J.; Cool, A.; Danielsen, A.; Davies, T.W.; Outer, P.N.D.; Edwards, W.; et al. Worldwide Variations in Artificial Skyglow. Sci. Rep. 2015, 5, 8409. [Google Scholar] [CrossRef] [PubMed]
- Jechow, A.; Kolláth, Z.; Ribas, S.J.; Spoelstra, H.; Hölker, F.; Kyba, C.C.M. Imaging and Mapping the Impact of Clouds on Skyglow with All-Sky Photometry. Sci. Rep. 2017, 7, 6741. [Google Scholar] [CrossRef]
- Torres, D.; Tidau, S.; Jenkins, S.; Davies, T. Artificial Skyglow Disrupts Celestial Migration at Night. Curr. Biol. 2020, 30, R696–R697. [Google Scholar] [CrossRef]
- Jechow, A.; Kyba, C.C.M.; Hölker, F. Mapping the Brightness and Color of Urban to Rural Skyglow with All-Sky Photometry. J. Quant. Spectrosc. Radiat. Transf. 2020, 250, 106988. [Google Scholar] [CrossRef]
- Kyba, C.C.M.; Kuester, T.; Sánchez De Miguel, A.; Baugh, K.; Jechow, A.; Hölker, F.; Bennie, J.; Elvidge, C.D.; Gaston, K.J.; Guanter, L. Artificially Lit Surface of Earth at Night Increasing in Radiance and Extent. Sci. Adv. 2017, 3, e1701528. [Google Scholar] [CrossRef] [PubMed]
- Gaston, K.J.; Visser, M.E.; Hölker, F. The Biological Impacts of Artificial Light at Night: The Research Challenge. Philos. Trans. R. Soc. B Biol. Sci. 2015, 370, 20140133. [Google Scholar] [CrossRef]
- Longcore, T.; Rich, C. Ecological Light Pollution. Front. Ecol. Environ. 2004, 2, 191–198. [Google Scholar] [CrossRef]
- Adams, C.A.; Blumenthal, A.; Fernández-Juricic, E.; Bayne, E.; St. Clair, C.C. Effect of Anthropogenic Light on Bird Movement, Habitat Selection, and Distribution: A Systematic Map Protocol. Environ. Evid. 2019, 8, 13. [Google Scholar] [CrossRef]
- Alaasam, V.J.; Kernbach, M.E.; Miller, C.R.; Ferguson, S.M. The Diversity of Photosensitivity and Its Implications for Light Pollution. Integr. Comp. Biol. 2021, 61, 1170–1181. [Google Scholar] [CrossRef] [PubMed]
- Davies, T.W.; Bennie, J.; Inger, R.; de Ibarra, N.H.; Gaston, K.J. Artificial Light Pollution: Are Shifting Spectral Signatures Changing the Balance of Species Interactions? Glob. Change Biol. 2013, 19, 1417–1423. [Google Scholar] [CrossRef]
- Longcore, T.; Rich, C.; Gauthreaux, S.A. Height, Guy Wires, and Steady-Burning Lights Increase Hazard of Communication Towers to Nocturnal Migrants: A Review and Meta-Analysis. Ornithology 2008, 125, 485–492. [Google Scholar] [CrossRef]
- Loss, S.R.; Will, T.; Loss, S.S.; Marra, P.P. Bird–Building Collisions in the United States: Estimates of Annual Mortality and Species Vulnerability. Condor Ornithol. Appl. 2014, 116, 8–23. [Google Scholar] [CrossRef]
- Horton, K.G.; Buler, J.J.; Anderson, S.J.; Burt, C.S.; Collins, A.C.; Dokter, A.M.; Guo, F.; Sheldon, D.; Tomaszewska, M.A.; Henebry, G.M. Artificial Light at Night Is a Top Predictor of Bird Migration Stopover Density. Nat. Commun. 2023, 14, 7446. [Google Scholar] [CrossRef]
- Owens, A.C.S.; Lewis, S.M. The Impact of Artificial Light at Night on Nocturnal Insects: A Review and Synthesis. Ecol. Evol. 2018, 8, 11337–11358. [Google Scholar] [CrossRef]
- Boyes, D.H.; Evans, D.M.; Fox, R.; Parsons, M.S.; Pocock, M.J.O. Is Light Pollution Driving Moth Population Declines? A Review of Causal Mechanisms across the Life Cycle. Insect Conserv. Divers. 2021, 14, 167–187. [Google Scholar] [CrossRef]
- Hu, G.; Lim, K.S.; Horvitz, N.; Clark, S.J.; Reynolds, D.R.; Sapir, N.; Chapman, J.W. Mass Seasonal Bioflows of High-Flying Insect Migrants. Science 2016, 354, 1584–1587. [Google Scholar] [CrossRef] [PubMed]
- Chapman, J.W.; Nesbit, R.L.; Burgin, L.E.; Reynolds, D.R.; Smith, A.D.; Middleton, D.R.; Hill, J.K. Flight Orientation Behaviors Promote Optimal Migration Trajectories in High-Flying Insects. Science 2010, 327, 682–685. [Google Scholar] [CrossRef] [PubMed]
- Dreyer, D.; Frost, B.; Mouritsen, H.; Günther, A.; Green, K.; Whitehouse, M.; Johnsen, S.; Heinze, S.; Warrant, E. The Earth’s Magnetic Field and Visual Landmarks Steer Migratory Flight Behavior in the Nocturnal Australian Bogong Moth. Curr. Biol. 2018, 28, 2160–2166.e5. [Google Scholar] [CrossRef] [PubMed]
- Ma, Y.-B.; Wan, G.; Ji, Y.; Chen, H.; Gao, B.-Y.; Yu, D.-H.; Warrant, E.; Wu, Y.; Chapman, J.W.; Hu, G. Geomagnetic and Visual Cues Guide Seasonal Migratory Orientation in the Nocturnal Fall Armyworm, the World’s Most Invasive Insect. bioRxiv 2025. bioRxiv:2025.09.19.677280. [Google Scholar]
- Chapman, J.W.; Reynolds, D.R.; Wilson, K. Long-Range Seasonal Migration in Insects: Mechanisms, Evolutionary Drivers and Ecological Consequences. Ecol. Lett. 2015, 18, 287–302. [Google Scholar] [CrossRef]
- Hu, G.; Lim, K.S.; Reynolds, D.R.; Reynolds, A.M.; Chapman, J.W. Wind-Related Orientation Patterns in Diurnal, Crepuscular and Nocturnal High-Altitude Insect Migrants. Front. Behav. Neurosci. 2016, 10, 32. [Google Scholar] [CrossRef]
- Mouritsen, H.; Frost, B.J. Virtual Migration in Tethered Flying Monarch Butterflies Reveals Their Orientation Mechanisms. Proc. Natl. Acad. Sci. USA 2002, 99, 10162–10166. [Google Scholar] [CrossRef]
- Massy, R.; Hawkes, W.L.S.; Doyle, T.; Troscianko, J.; Menz, M.H.M.; Roberts, N.W.; Chapman, J.W.; Wotton, K.R. Hoverflies Use a Time-Compensated Sun Compass to Orientate during Autumn Migration. Proc. R. Soc. B Biol. Sci. 2021, 288, 20211805. [Google Scholar] [CrossRef] [PubMed]
- Gao, B.; Hu, G.; Chapman, J.W. Effects of Nocturnal Celestial Illumination on High-Flying Migrant Insects. Philos. Trans. R. Soc. B Biol. Sci. 2024, 379, 20230115. [Google Scholar] [CrossRef] [PubMed]
- Foster, J.J.; Smolka, J.; Nilsson, D.-E.; Dacke, M. How Animals Follow the Stars. Proc. R. Soc. B Biol. Sci. 2018, 285, 20172322. [Google Scholar] [CrossRef]
- Dreyer, D.; Adden, A.; Chen, H.; Frost, B.; Mouritsen, H.; Xu, J.; Green, K.; Whitehouse, M.; Chahl, J.; Wallace, J.; et al. Bogong Moths Use a Stellar Compass for Long-Distance Navigation at Night. Nature 2025, 643, 994–1000. [Google Scholar] [CrossRef] [PubMed]
- Warrant, E.; Dacke, M. Vision and Visual Navigation in Nocturnal Insects. Annu. Rev. Entomol. 2011, 56, 239–254. [Google Scholar] [CrossRef]
- el Jundi, B.; Warrant, E.J.; Byrne, M.J.; Khaldy, L.; Baird, E.; Smolka, J.; Dacke, M. Neural Coding Underlying the Cue Preference for Celestial Orientation. Proc. Natl. Acad. Sci. USA 2015, 112, 11395–11400. [Google Scholar] [CrossRef]
- Grob, R.; Farnworth, M.S.; Degen, J.; Warrant, E.; Montgomery, S.H.; el Jundi, B. The Diversity of Lepidopteran Spatial Orientation Strategies—Neuronal Mechanisms and Emerging Challenges in a Changing World. J. Comp. Physiol. A 2025. [Google Scholar] [CrossRef]
- Burt, C.S.; Kelly, J.F.; Trankina, G.E.; Silva, C.L.; Khalighifar, A.; Jenkins-Smith, H.C.; Fox, A.S.; Fristrup, K.M.; Horton, K.G. The Effects of Light Pollution on Migratory Animal Behavior. Trends Ecol. Evol. 2023, 38, 355–368. [Google Scholar] [CrossRef]
- Tielens, E.K.; Cimprich, P.M.; Clark, B.A.; DiPilla, A.M.; Kelly, J.F.; Mirkovic, D.; Strand, A.I.; Zhai, M.; Stepanian, P.M. Nocturnal City Lighting Elicits a Macroscale Response from an Insect Outbreak Population. Biol. Lett. 2021, 17, 20200808. [Google Scholar] [CrossRef]
- Warrant, E.; Frost, B.; Green, K.; Mouritsen, H.; Dreyer, D.; Adden, A.; Brauburger, K.; Heinze, S. The Australian Bogong Moth Agrotis infusa: A Long-Distance Nocturnal Navigator. Front. Behav. Neurosci. 2016, 10, 77. [Google Scholar] [CrossRef]
- Fabian, S.T.; Sondhi, Y.; Allen, P.E.; Theobald, J.C.; Lin, H.-T. Why Flying Insects Gather at Artificial Light. Nat. Commun. 2024, 15, 689. [Google Scholar] [CrossRef]
- Degen, J.; Storms, M.; Lee, C.B.; Jechow, A.; Stöckl, A.L.; Hölker, F.; Jakhar, A.; Walter, T.; Walter, S.; Mitesser, O.; et al. Shedding Light with Harmonic Radar: Unveiling the Hidden Impacts of Streetlights on Moth Flight Behavior. Proc. Natl. Acad. Sci. USA 2024, 121, e2401215121. [Google Scholar] [CrossRef]
- el Jundi, B.; Smolka, J.; Baird, E.; Byrne, M.J.; Dacke, M. Diurnal Dung Beetles Use the Intensity Gradient and the Polarization Pattern of the Sky for Orientation. J. Exp. Biol. 2014, 217, 2422–2429. [Google Scholar] [CrossRef] [PubMed]
- Sparks, A.N. A Review of the Biology of the Fall Armyworm. Fla. Entomol. 1979, 62, 82–87. [Google Scholar] [CrossRef]
- Li, X.-J.; Wu, M.-F.; Ma, J.; Gao, B.-Y.; Wu, Q.-L.; Chen, A.-D.; Liu, J.; Jiang, Y.-Y.; Zhai, B.-P.; Early, R.; et al. Prediction of Migratory Routes of the Invasive Fall Armyworm in Eastern China Using a Trajectory Analytical Approach. Pest Manag. Sci. 2020, 76, 454–463. [Google Scholar] [CrossRef]
- Chen, H.; Xu, C.-F.; Wang, Y.-H.; Li, X.-R.; Yu, D.-H.; Chen, A.-D.; Lyu, B.-Q.; Wu, Y.-F.; Wang, Y.-M.; Chapman, J.W.; et al. Characteristics and Seasonal Variation of Fall Armyworm Migratory Behavior in Their Year-Round Breeding Areas in South China. Pest Manag. Sci. 2025, 81, 4051–4062. [Google Scholar] [CrossRef] [PubMed]
- Lv, C.; Ren, Y.; Krylov, V.V.; Wang, Y.; Li, Y.; Pan, W.; Hu, G.; Chen, F.; Wan, G. Comparative Analysis of Diel and Circadian Eclosion Rhythms and Clock Gene Expression Between Sexes in the Migratory Moth Spodoptera frugiperda. Insects 2025, 16, 705. [Google Scholar] [CrossRef] [PubMed]
- Chen, H.; Wan, G.; Li, J.; Ma, Y.; Reynolds, D.R.; Dreyer, D.; Warrant, E.J.; Chapman, J.W.; Hu, G. Adaptive Migratory Orientation of an Invasive Pest on a New Continent. iScience 2023, 26, 108281. [Google Scholar] [CrossRef]
- Zhou, Y.; Wu, Q.; Zhang, H.; Wu, K. Spread of Invasive Migratory Pest Spodoptera frugiperda and Management Practices Throughout China. J. Integr. Agric. 2021, 20, 637–645. [Google Scholar] [CrossRef]
- Langer, H.; Hamann, B.; Meinecke, C.C. Tetraehromatic Visual System in the Moth Spodoptera exempta (Insecta: Noctnidae). J. Comp. Physiol. 1979, 129, 235–239. [Google Scholar] [CrossRef]
- Grubisic, M.; van Grunsven, R.H. Artificial Light at Night Disrupts Species Interactions and Changes Insect Communities. Curr. Opin. Insect Sci. 2021, 47, 136–141. [Google Scholar] [CrossRef] [PubMed]
- Dacke, M.; Baird, E.; Byrne, M.; Scholtz, C.H.; Warrant, E.J. Dung Beetles Use the Milky Way for Orientation. Curr. Biol. 2013, 23, 298–300. [Google Scholar] [CrossRef]
- Foster, J.J.; el Jundi, B.; Smolka, J.; Khaldy, L.; Nilsson, D.-E.; Byrne, M.J.; Dacke, M. Stellar Performance: Mechanisms Underlying Milky Way Orientation in Dung Beetles. Philos. Trans. R. Soc. B Biol. Sci. 2017, 372, 20160079. [Google Scholar] [CrossRef]
- Creemers, J.; Eens, M.; Ulenaers, E.; Lathouwers, M.; Evens, R. Skyglow Facilitates Prey Detection in a Crepuscular Insectivore: Distant Light Sources Create Bright Skies. Environ. Pollut. 2025, 369, 125821. [Google Scholar] [CrossRef]
- Evens, R.; Lathouwers, M.; Pradervand, J.-N.; Jechow, A.; Kyba, C.C.M.; Shatwell, T.; Jacot, A.; Ulenaers, E.; Kempenaers, B.; Eens, M. Skyglow Relieves a Crepuscular Bird from Visual Constraints on Being Active. Sci. Total Environ. 2023, 900, 165760. [Google Scholar] [CrossRef] [PubMed]
- Battles, I.; Burkness, E.; Crossley, M.S.; Edwards, C.B.; Holmstrom, K.; Hutchison, W.; Ingerson-Mahar, J.; Owens, D.; Owens, A.C.S. Moths Are Less Attracted to Light Traps than They Used to Be. J. Insect Conserv. 2024, 28, 1007–1018. [Google Scholar] [CrossRef]
- Stöckl, A.L.; Foster, J.J. Night Skies through Animals’ Eyes—Quantifying Night-Time Visual Scenes and Light Pollution as Viewed by Animals. Front. Cell. Neurosci. 2022, 16, 984282. [Google Scholar] [CrossRef]
- Stöckl, A.L.; O’Carroll, D.C.; Warrant, E.J. Neural Summation in the Hawkmoth Visual System Extends the Limits of Vision in Dim Light. Curr. Biol. 2016, 26, 821–826. [Google Scholar] [CrossRef]
- Parlin, A.F.; Stratton, S.M.; Guerra, P.A. Oriented Migratory Flight at Night: Consequences of Nighttime Light Pollution for Monarch Butterflies. iScience 2022, 25, 104310. [Google Scholar] [CrossRef] [PubMed]
- Nilsson, D.-E.; Smolka, J. Quantifying Biologically Essential Aspects of Environmental Light. J. R. Soc. Interface 2021, 18, 20210184. [Google Scholar] [CrossRef]
- Hänel, A.; Posch, T.; Ribas, S.J.; Aubé, M.; Duriscoe, D.; Jechow, A.; Kollath, Z.; Lolkema, D.E.; Moore, C.; Schmidt, N.; et al. Measuring Night Sky Brightness: Methods and Challenges. J. Quant. Spectrosc. Radiat. Transf. 2018, 205, 278–290. [Google Scholar] [CrossRef]
- Menz, M.H.M.; Scacco, M.; Bürki-Spycher, H.-M.; Williams, H.J.; Reynolds, D.R.; Chapman, J.W.; Wikelski, M. Individual Tracking Reveals Long-Distance Flight-Path Control in a Nocturnally Migrating Moth. Science 2022, 377, 764–768. [Google Scholar] [CrossRef] [PubMed]



Disclaimer/Publisher’s Note: The statements, opinions and data contained in all publications are solely those of the individual author(s) and contributor(s) and not of MDPI and/or the editor(s). MDPI and/or the editor(s) disclaim responsibility for any injury to people or property resulting from any ideas, methods, instructions or products referred to in the content. |
© 2025 by the authors. Licensee MDPI, Basel, Switzerland. This article is an open access article distributed under the terms and conditions of the Creative Commons Attribution (CC BY) license (https://creativecommons.org/licenses/by/4.0/).
Share and Cite
Ji, Y.; Ma, Y.; Wen, Z.; Gao, B.; Foster, J.J.; Yu, D.; Wu, Y.; Wan, G.; Hu, G. Skyglow-Induced Luminance Gradients Influence Orientation in a Migratory Moth. Insects 2025, 16, 1252. https://doi.org/10.3390/insects16121252
Ji Y, Ma Y, Wen Z, Gao B, Foster JJ, Yu D, Wu Y, Wan G, Hu G. Skyglow-Induced Luminance Gradients Influence Orientation in a Migratory Moth. Insects. 2025; 16(12):1252. https://doi.org/10.3390/insects16121252
Chicago/Turabian StyleJi, Yi, Yibo Ma, Zhangsu Wen, Boya Gao, James J. Foster, Daihong Yu, Yan Wu, Guijun Wan, and Gao Hu. 2025. "Skyglow-Induced Luminance Gradients Influence Orientation in a Migratory Moth" Insects 16, no. 12: 1252. https://doi.org/10.3390/insects16121252
APA StyleJi, Y., Ma, Y., Wen, Z., Gao, B., Foster, J. J., Yu, D., Wu, Y., Wan, G., & Hu, G. (2025). Skyglow-Induced Luminance Gradients Influence Orientation in a Migratory Moth. Insects, 16(12), 1252. https://doi.org/10.3390/insects16121252

