Power Bars: Mormon Crickets Get Immunity Boost from Eating Grasshoppers
Abstract
:Simple Summary
Abstract
1. Introduction
2. Materials and Methods
2.1. Study Site, Study Organisms, and Cage Trials
2.2. Immunity Assays
2.3. Intake Diets
2.4. Vegetation
2.5. Statistical Analyses
3. Results
3.1. Intake Diets
3.2. Immunity Assays
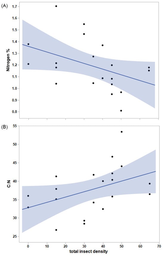
3.3. Vegetation
4. Discussion
Supplementary Materials
Author Contributions
Funding
Data Availability Statement
Acknowledgments
Conflicts of Interest
References
- Jauncey, K. The effects of varying dietary protein level on the growth, food conversion, protein utilization and body composition of juvenile tilapias (Sarotherodon mossambicus). Aquaculture 1982, 27, 43–54. [Google Scholar] [CrossRef]
- Lee, K.P.; Simpson, S.J.; Wilson, K. Dietary protein-quality influences melanization and immune function in an insect. Func. Ecol. 2008, 22, 1052–1061. [Google Scholar] [CrossRef]
- DeNapoli, J.S.; Dodman, N.H.; Shuster, L.; Rand, W.M.; Gross, K.L. Effect of dietary protein content and tryptophan supplementation on dominance aggression, territorial aggression, and hyperactivity in dogs. J. Am. Vet. Med. Assoc. 2000, 217, 504–508. [Google Scholar] [CrossRef] [PubMed]
- Phillips, S.M.; Van Loon, L.J.C. Dietary protein for athletes: From requirements to optimum adaptation. J. Sports Sci. 2011, 29, 529–538. [Google Scholar] [CrossRef] [PubMed]
- Srygley, R.B.; Lorch, P.D. Weakness in the band: Nutrient-mediated trade-offs between migration and immunity of Mormon crickets, Anabrus simplex. Anim. Behav. 2011, 81, 395–400. [Google Scholar] [CrossRef]
- Cowan, F.T. Life history, habits, and control of the Mormon cricket. Tech. Bull. 1929, 161, 1–28. [Google Scholar]
- Ueckert, D.N.; Hansen, R.M. Seasonal dry-weight composition in diets of Mormon crickets. J. Econ. Entomol. 1970, 63, 96–98. [Google Scholar] [CrossRef]
- Simpson, S.J.; Sword, G.A.; Lorch, P.D.; Couzin, I.D. Cannibal crickets on a forced march for protein and salt. Proc. Natl. Acad. Sci. USA 2006, 103, 4152–4156. [Google Scholar] [CrossRef]
- Wakeland, C. Mormon crickets in North America. Tech. Bull. 1959, 1202, 1–77. [Google Scholar]
- Bazazi, S.; Ioannou, C.C.; Simpson, S.J.; Sword, G.A.; Torney, C.J.; Lorch, P.D.; Couzin, I.D. The social context of cannibalism in migratory bands of the Mormon cricket. PLoS ONE 2010, 5, e15118. [Google Scholar] [CrossRef]
- Buhl, J.; Sword, G.A.; Simpson, S.J. Using field data to test locust migratory band collective models. Interface Focus 2012, 2, 24. [Google Scholar] [CrossRef] [PubMed]
- Srygley, R.B.; Lorch, P.D.; Simpson, S.J.; Sword, G.A. Immediate protein dietary effects on movement and the generalised immunocompetence of migrating Mormon crickets Anabrus simplex (Orthoptera: Tettigoniidae). Ecol. Entomol. 2009, 34, 663–668. [Google Scholar] [CrossRef]
- Srygley, R.B.; Jaronski, S.T. Protein deficiency lowers resistance of Mormon crickets to the pathogenic fungus Beauveria bassiana. J. Insect Physiol. 2018, 105, 40–45. [Google Scholar] [CrossRef]
- Branson, D.H.; Joern, A.; Sword, G.A. Sustainable management of insect herbivores in grassland ecosystems: New perspectives in grasshopper control. BioScience 2006, 56, 743–755. [Google Scholar] [CrossRef]
- Hurd, R.M. Grassland vegetation in the Big Horn Mountains, Wyoming. Ecology 1961, 42, 459–467. [Google Scholar] [CrossRef]
- Branson, D.H. Drought impacts on competition in Phoetaliotes nebrascensis (Orthoptera Acrididae) in a northern mixed grassland. Envir. Entomol. 2016, 45, 492–499. [Google Scholar] [CrossRef]
- Hassell, M.P. The Dynamics of Arthropod Predator-Prey Systems; Princeton University Press: Princeton, NJ, USA, 1978. [Google Scholar]
- Lalonde, R.B.; McGregor, R.R.; Gillespie, D.R.; Roitberg, B.D. Plant-feeding by arthropod predators contributes to the stability of predator-prey dynamics. Oikos 1999, 87, 603–608. [Google Scholar] [CrossRef]
- Srygley, R.B. Selective protein self-deprivation by Mormon crickets following fungal attack. J. Insect Physiol. 2023, 149, 104555. [Google Scholar] [CrossRef]
- Wilson, K.; Thomas, M.B.; Blanford, S.; Doggett, M.; Simpson, S.J.; Moore, S.L. Coping with crowds: Density-dependent disease resistance in desert locusts. Proc. Natl. Acad. Sci. USA 2002, 99, 5471–5475. [Google Scholar] [CrossRef]
- Srygley, R.B. Age- and density-dependent prophylaxis in the migratory, cannibalistic Mormon cricket Anabrus simplex (Orthoptera: Tettigoniidae). Envir. Entomol. 2012, 41, 166–171. [Google Scholar] [CrossRef]
- Miller, C.V.L.; Cotter, S.C. Resistance and tolerance: The role of nutrients on pathogen dynamics and infection outcomes in an insect host. J. Anim. Ecol. 2017, 87, 500–510. [Google Scholar] [CrossRef] [PubMed]
- Cotter, S.C.; Shareefi, E.A. Nutritional ecology, infection and immune defence- exploring the mechanisms. Curr. Opin. Insect Sci. 2022, 50, 100862. [Google Scholar] [CrossRef] [PubMed]
- Catalán, T.P.; Barceló, M.; Niemeyer, H.M.; Kalergis, A.M.; Bozinovic, F. Pathogen and diet-dependent foraging, nutritional and immune ecology in mealworms. Evol. Ecol. Res. 2011, 13, 711–723. [Google Scholar]
- Povey, S.; Cotter, S.C.; Simpson, S.J.; Lee, K.P.; Wilson, K. Can the protein costs of bacterial resistance be offset by altered feeding behaviour? J. Anim. Ecol. 2009, 78, 437–446. [Google Scholar] [CrossRef]
- Anand, H.; Ganguly, A.; Haldar, P. Potential value of acridids as high protein supplement for poultry feed. Int. J. Poult. Sci. 2008, 7, 722–725. [Google Scholar] [CrossRef]
- DeFoliart, G.R.; Finke, M.D.; Sunde, M.L. Potential value of the Mormon cricket (Orthoptera: Tettigoniidae) harvested as a high-protein feed for poultry. J. Econ. Entomol. 1982, 75, 848–852. [Google Scholar] [CrossRef]
- Welti, E.A.R.; Prather, R.M.; Sanders, N.J.; de Beurs, K.M.; Kaspari, M. Bottom-up when it is not top-down: Predators and plants control biomass of grassland arthropods. J. Anim. Ecol. 2020, 89, 1286–1294. [Google Scholar] [CrossRef]
- Yahdjian, L.; Gherardi, L.; Sala, O.E. Nitrogen limitation in arid-subhumid ecosystems: A meta-analysis of fertilization studies. J. Arid Environ. 2011, 75, 675–680. [Google Scholar] [CrossRef]
- Mascarin, G.M.; Jaronski, S.T. The production and uses of Beauveria bassiana as a microbial insecticide. World J. Microbiol. Biotech. 2016, 32, 177. [Google Scholar] [CrossRef]
- Hawlena, D.; Schmitz, O.J. Herbivore physiological response to predation risk and implications for ecosystem nutrient dynamics. Proc. Natl. Acad. Sci. USA 2010, 107, 15503–15507. [Google Scholar] [CrossRef]
- Hawlena, D.; Strickland, M.S.; Bradford, M.A.; Schmitz, O.J. Fear of predation slows plant-litter decomposition. Science 2012, 336, 1434–1438. [Google Scholar] [CrossRef] [PubMed]
- Branson, D.H. Grasshopper feeding preference affects cascading effects of predators on plant biomass in a mixed-grass prairie. Food Webs 2022, 31, e00224. [Google Scholar] [CrossRef]
- Adamo, S.A.; Easy, R.H.; Kovalko, I.; MacDonald, J.; McKeen, A.; Swanburg, T.; Turnbull, K.F.; Reeve, C. Predator exposure-induced immunosuppression: Trade-off, immune redistribution or immune reconfiguration? J. Exp. Biol. 2017, 220, 868–875. [Google Scholar] [PubMed]
- Hasik, A.Z.; Tye, S.P.; Ping, T.; Siepielski, A.M. A common measure of prey immune function is not constrained by the cascading effects of predators. Evol. Ecol. 2021, 37, 13–30. [Google Scholar] [CrossRef]
- Jiménez-Cortés, J.G.; Serrano-Meneses, M.A.; Cordoba-Aguilar, A. The effects of food shortage during larval development on adult body size, body mass, physiology and developmental time in a tropical damselfly. J. Insect Physiol. 2012, 58, 318–326. [Google Scholar] [CrossRef]
- Lorch, P.D.; Gwynne, D.T. Radio-telemetric evidence of migration in the gregarious but not the solitary morph of the Mormon cricket (Anabrus simplex: Orthoptera: Tettigoniidae). Naturwissenschaften 2000, 87, 370–372. [Google Scholar] [CrossRef]
- Lorch, P.D.; Sword, G.A.; Gwynne, D.T.; Anderson, G.L. Radiotelemetry reveals differences in individual movement patterns between outbreak and non-outbreak Mormon cricket populations. Ecol. Entomol. 2005, 30, 548–555. [Google Scholar] [CrossRef]
- Bailey, N.W.; Gwynne, D.T.; Ritchie, M.G. Are solitary and gregarious Mormon crickets (Anabrus simplex, Orthoptera, Tettigoniidae) genetically distinct? Heredity 2005, 96, 166–173. [Google Scholar] [CrossRef]
- Cowan, F.T.; Shipman, H.J. Quantity of food consumed by Mormon crickets. J. Econ. Entomol. 1947, 40, 825–828. [Google Scholar] [CrossRef]



| Mormon Cricket × Grasshopper Density | Mormon Cricket Sex | N-Immunity | N-Intake Diet |
|---|---|---|---|
| 10 × 15 | female | 0 | 1 |
| 10 × 30 | male | 5 | 5 |
| female | 5 | 4 | |
| 10 × 45 | male | 0 | 1 |
| female | 0 | 2 | |
| 20 × 15 | male | 5 | 5 |
| female | 5 | 5 | |
| 20 × 30 | male | 2 | 4 |
| female | 3 | 5 | |
| 20 × 45 | male | 1 | 5 |
| female | 1 | 3 |
| Day | Factor | F d.f. | P |
|---|---|---|---|
| 1 | Mormon cricket density | 1.1 2,34 | 0.34 |
| Grasshopper density | 1.3 4,68 | 0.27 | |
| Sex | 5.1 2,34 | 0.0116 | |
| Whole Model | 1.9 8,68 | 0.067 | |
| 2 | Mormon cricket density | 0.0 2,34 | 0.96 |
| Grasshopper density | 3.2 4,68 | 0.0191 | |
| Sex | 5.1 2,34 | 0.0118 | |
| Whole Model | 2.9 8,68 | 0.0083 |
Disclaimer/Publisher’s Note: The statements, opinions and data contained in all publications are solely those of the individual author(s) and contributor(s) and not of MDPI and/or the editor(s). MDPI and/or the editor(s) disclaim responsibility for any injury to people or property resulting from any ideas, methods, instructions or products referred to in the content. |
© 2023 by the authors. Licensee MDPI, Basel, Switzerland. This article is an open access article distributed under the terms and conditions of the Creative Commons Attribution (CC BY) license (https://creativecommons.org/licenses/by/4.0/).
Share and Cite
Srygley, R.B.; Branson, D.H. Power Bars: Mormon Crickets Get Immunity Boost from Eating Grasshoppers. Insects 2023, 14, 868. https://doi.org/10.3390/insects14110868
Srygley RB, Branson DH. Power Bars: Mormon Crickets Get Immunity Boost from Eating Grasshoppers. Insects. 2023; 14(11):868. https://doi.org/10.3390/insects14110868
Chicago/Turabian StyleSrygley, Robert B., and David H. Branson. 2023. "Power Bars: Mormon Crickets Get Immunity Boost from Eating Grasshoppers" Insects 14, no. 11: 868. https://doi.org/10.3390/insects14110868
APA StyleSrygley, R. B., & Branson, D. H. (2023). Power Bars: Mormon Crickets Get Immunity Boost from Eating Grasshoppers. Insects, 14(11), 868. https://doi.org/10.3390/insects14110868

