Prediction of Growth Characteristics and Migration Period of Spodoptera frugiperda (Lepidoptera: Noctuidae) According to Temperature
Simple Summary
Abstract
1. Introduction
2. Materials and Methods
2.1. Sample Collection
2.2. Investigation of S. frugiperda Growth According to Temperature
2.3. Investigation of S. frugiperda Corn Feeding Amount According to Temperature
2.4. Seasonal Occurrence Trends of Adult S. frugiperda
2.5. Data Analysis
3. Results
4. Discussion
Supplementary Materials
Author Contributions
Funding
Data Availability Statement
Conflicts of Interest
References
- CABI (Centre for Agricultrue and Bioscience International). Invasive Species Compendium Datasheets–Spodoptera frugiperda (Fall Armyworm). 2022. Available online: http://www.cabi.org/isc/datasheet/29810 (accessed on 10 June 2022).
- Pitre, H.N.; Hogg, D.B. Development of the fall armyworm on cotton, soybean and corn. J. Ga. Entomol. Soc. 1983, 18, 182–187. [Google Scholar]
- Bueno, R.C.O.D.F.; Bueno, A.D.F.; Moscardi, F.; Parra, J.R.P.; Hoffmann-Campo, C.B. Lepidopteran larva consumption of soybean foliage: Basis for developing multiple-species economic thresholds for pest management decisions. Pest Manag. Sci. 2011, 67, 170–174. [Google Scholar] [CrossRef] [PubMed]
- Hardke, J.T.; Lorenz, G.M.; Leonard, B.R. Fall Armyworm (Lepidoptera: Noctuidae) Ecology in Southeastern Cotton. J. Integr. Pest Manag. 2015, 6, 10. [Google Scholar] [CrossRef]
- Ayala, O.R.; Navarro, F.; Virla, E.G. Evaluation of the attack rates and level of damages by the fall armyworm, Spodoptera frugiperda (Lepidoptera: Noctuidae), affecting corn-crops in the northeast of Argentina. Rev. Fac. Cienc. Agrar. 2013, 45, 1–12. [Google Scholar]
- Hruska, A.J. Fall armyworm (Spodoptera frugiperda) management by smallholders. CAB Rev. Perspect. Agric. Veter-Sci. Nutr. Nat. Resour. 2019, 2019, 1–11. [Google Scholar] [CrossRef]
- Hallman, G. Importancia de algunas relaciones naturales plantas-artrópodos en la agricultura de la zona cálida del Tolima Central. Rev. Colomb. De Entomol. 1979, 5, 19–26. [Google Scholar] [CrossRef]
- Pashley, D.P.; Johnson, S.J.; Sparks, A.N. Genetic Population Structure of Migratory Moths: The Fall Armyworm (Lepidoptera: Noctuidae). Ann. Entomol. Soc. Am. 1985, 78, 756–762. [Google Scholar] [CrossRef]
- Pashley, D.P. Host-associated genetic differentiation in fall armyworm (Lepidoptera: Noctuidae): A sibling species complex? Ann. Entomol. Soc. Am. 1986, 79, 898–904. [Google Scholar] [CrossRef]
- Busato, G.R.; Grutzmacher, A.D.; Oliveira, A.C.; Vieira, E.A.; Zimmer, P.D. Análise da estrutura e diversidade molecular de populac¸ões de Spodoptera frugiperda (J.E. Smith) (Lepidoptera: Noctuidae) associadas às culturas do milho e arroz no Rio Grande do Sul. Neotrop. Entomol. 2004, 33, 709–716. [Google Scholar] [CrossRef]
- Meagher, R.L.; Nagoshi, R.N. Population dynamics and occurrence of Spodoptera frugiperda host strains in southern Florida. Ecol. Entomol. 2004, 29, 614–620. [Google Scholar] [CrossRef]
- Johnson, S.J. Migration and the life history strategy of the fall armyworm, Spodoptera frugiperda in the Western Hemisphere. Insect Sci. 1987, 8, 543–549. [Google Scholar] [CrossRef]
- Pannuti, L.E.R.; Paula-Moraes, S.V.; Hunt, T.E.; Baldin, E.L.L.; Dana, L.; Malaquias, J.V. Plant-to-Plant Movement of Striacosta albicosta (Lepidoptera: Noctuidae) and Spodoptera frugiperda (Lepidoptera: Noctuidae) in Maize (Zea mays). J. Econ. Entomol. 2016, 109, 1125–1131. [Google Scholar] [CrossRef] [PubMed]
- Lee, G.S.; Seo, B.Y.; Kim, H.; Song, J.H.; Lee, W. First report of the fall armyworm, Spodoptera frugiperda (Smith, 1797) (Lepidoptera, Noctuidae), a new migratory pest in Korea. Korean J. Appl. Entomol. 2020, 59, 73–78. [Google Scholar]
- Goergen, G.; Kumar, P.L.; Sankung, S.B.; Togola, A.; Tamò, M. First Report of Outbreaks of the Fall Armyworm Spodoptera frugiperda (J E Smith) (Lepidoptera, Noctuidae), a New Alien Invasive Pest in West and Central Africa. PLoS ONE 2016, 11, e0165632. [Google Scholar] [CrossRef] [PubMed]
- Ma, J.; Wang, Y.-P.; Wu, M.-F.; Gao, B.-Y.; Liu, J.; Lee, G.-S.; Otuka, A.; Hu, G. High risk of the fall armyworm invading Japan and the Korean Peninsula via overseas migration. J. Appl. Entomol. 2019, 143, 911–920. [Google Scholar] [CrossRef]
- Campbell, A.; Frazer, B.D.; Gilbert, N.; Gutierrez, A.P.; Mackauer, M. Temperature Requirements of Some Aphids and Their Parasites. J. Appl. Ecol. 1974, 11, 431. [Google Scholar] [CrossRef]
- Bale, J.S.; Masters, G.J.; Hodkinson, I.D.; Awmack, C.; Bezemer, T.M.; Brown, V.K.; Butterfield, J.; Buse, A.; Coulson, J.C.; Farrar, J.; et al. Herbivory in global climate change research: Direct effects of rising temperature on insect herbivores. Glob. Chang. Biol. 2002, 8, 1–16. [Google Scholar] [CrossRef]
- Han, J.M.; Kim, H.J.; Lim, E.J.; Lee, S.; Kwon, Y.J.; Cho, S. Lycorma delicatula (Hemiptera: Auchenorrhyncha: Fulgoridae: Aphaeninae) finally, but suddenly arrived in Korea. Entomol. Res. 2008, 38, 281–286. [Google Scholar] [CrossRef]
- Noh, D.J.; Yang, J.O.; Moon, S.R.; Yoon, C.M.; Kang, S.H.; Ahn, K.S.; Kim, G.H. Attractants and trap development for Ussur brown katydid, Paratlanticus ussuriensis (Orthoptera: Tettigoniidae). Korean J. Pestic. Sci. 2008, 12, 256–261. [Google Scholar]
- Kim, Y.Y.; Kim, S.R.; Lee, S.H. New record of an exotic Flatid species, Metcalfa pruinosa (Say) (Hemiptera: Flatidae) in Korea. In Proceedings of the International Symposium on Climate Change and Insect Pest, Jeju, Korea, 28–30 October 2009; p. 119. [Google Scholar]
- Moon, S.-R.; Noh, D.-J.; Yang, J.-O.; Yoon, C.-M.; Ahn, K.-S.; Kim, G.-H. Seasonal Occurrence and Developmental Characteristics of Ussur Brown Katydid, Paratlanticus ussuriensis Uvarov (Orthoptera: Tettigoniidae). Korean J. Appl. Entomol. 2009, 48, 11–19. [Google Scholar] [CrossRef]
- Park, J.-D.; Kim, M.-Y.; Lee, S.-G.; Shin, S.-C.; Kim, J.-H.; Park, I.-K. Biological Characteristics of Lycorma delicatula and the Control Effects of Some Insecticides. Korean J. Appl. Entomol. 2009, 48, 53–57. [Google Scholar] [CrossRef]
- Kim, D.E.; Ki, J. A report on the occurrence of and crop damage caused by Hyphantria cunea (Drury) with in Korea. Korean J. Appl. Entomol. 2012, 51, 285–293. [Google Scholar] [CrossRef]
- Wagner, T.L.; Wu, H.-I.; Sharpe, P.J.H.; Coulson, R.N. Modeling Distributions of Insect Development Time: A Literature Review and Application of the Weibull Function. Ann. Entomol. Soc. Am. 1984, 77, 475–483. [Google Scholar] [CrossRef]
- KMA (Korea Meteorological Administration). Available online: https://data.kma.go.kr (accessed on 10 June 2022).
- Du Plessis, H.; Schlemmer, M.-L.; Van den Berg, J. The Effect of Temperature on the Development of Spodoptera frugiperda (Lepidoptera: Noctuidae). Insects 2020, 11, 228. [Google Scholar] [CrossRef] [PubMed]
- Barfield, C.S.; Mitchell, E.R.; Poeb, S.L. A Temperature-Dependent Model for Fall Armyworm Development. Ann. Entomol. Soc. Am. 1978, 71, 70–74. [Google Scholar] [CrossRef]
- Ali, A.; Luttrell, R.G.; Schneider, J.C. Effects of Temperature and Larval Diet on Development of the Fall Armyworm (Lepidoptera: Noctuidae). Ann. Entomol. Soc. Am. 1990, 83, 725–733. [Google Scholar] [CrossRef]
- Luginbill, P. The Fall Armyworm; United States Department of Agriculture: Washington, DC, USA, 1928.
- AgriX. 2022. Available online: https://uni.agrix.go.kr (accessed on 10 June 2022).
- Park, W.; Kim, G.; Jeong, Y.; Choi, N.; Na, C.-I. Effects of tillage practice and planting date on maize-onion growth and yield in southern regions paddy field. Korean J. Crop Sci. 2021, 66, 392–402. [Google Scholar]




| Temp. (°C) | Development Time (Day) | ||||||||
|---|---|---|---|---|---|---|---|---|---|
| Eggs | Larvae Stage | Pupae | Total | ||||||
| 1st | 2nd | 3rd | 4th | 5th | 6th | ||||
| 16 | 10.1 ± 0.7 a | 6.4 ± 0.7 a | 4.1 ± 0.6 a | 6.5 ± 0.6 a | 6.5 ± 0.5 a | 11.3 ± 0.8 a | 16.7 ± 0.7 a | 35.3 ± 1.1 a | 97.2 ± 1.2 a |
| 20 | 7.1 ± 0.2 b | 4.4 ± 0.7 b | 2.2 ± 0.4 b | 2.8 ± 0.7 b | 3.4 ± 0.5 b | 3.9 ± 0.7 b | 6.8 ± 0.5 b | 18.9 ± 0.8 b | 49.6 ± 1.2 b |
| 24 | 4.3 ± 0.7 c | 2.1 ± 0.7 c | 1.8 ± 0.4 c | 1.9 ± 0.4 c | 2.0 ± 0.4 c | 2.0 ± 0.4 c | 3.8 ± 0.9 c | 11.8 ± 0.6 c | 29.5 ± 1.4 c |
| 28 | 3.2 ± 0.5 d | 1.3 ± 0.4 d | 1.3 ± 0.5 d | 1.4 ± 0.5 d | 1.6 ± 0.6 cd | 1.5 ± 0.6 cd | 3.1 ± 0.4 cd | 8.7 ± 1.0 d | 21.9 ± 1.7 d |
| 32 | 2.0 ± 0.3 e | 1.1 ± 0.3 d | 1.1 ± 0.2 d | 1.1 ± 0.3 d | 1.1 ± 0.2 d | 1.1 ± 0.3 d | 2.5 ± 0.5 de | 6.3 ± 0.5 e | 16.1 ± 1.1 e |
| 36 | 2.0 ± 0.2 e | 1.0 ± 0.0 d | 1.0 ± 0.0 d | 1.0 ± 0.0 d | 1.3 ± 0.7 d | 1.6 ± 0.8 cd | 2.4 ± 0.6 e | 5.9 ± 0.7 e | 15.5 ± 0.7 e |
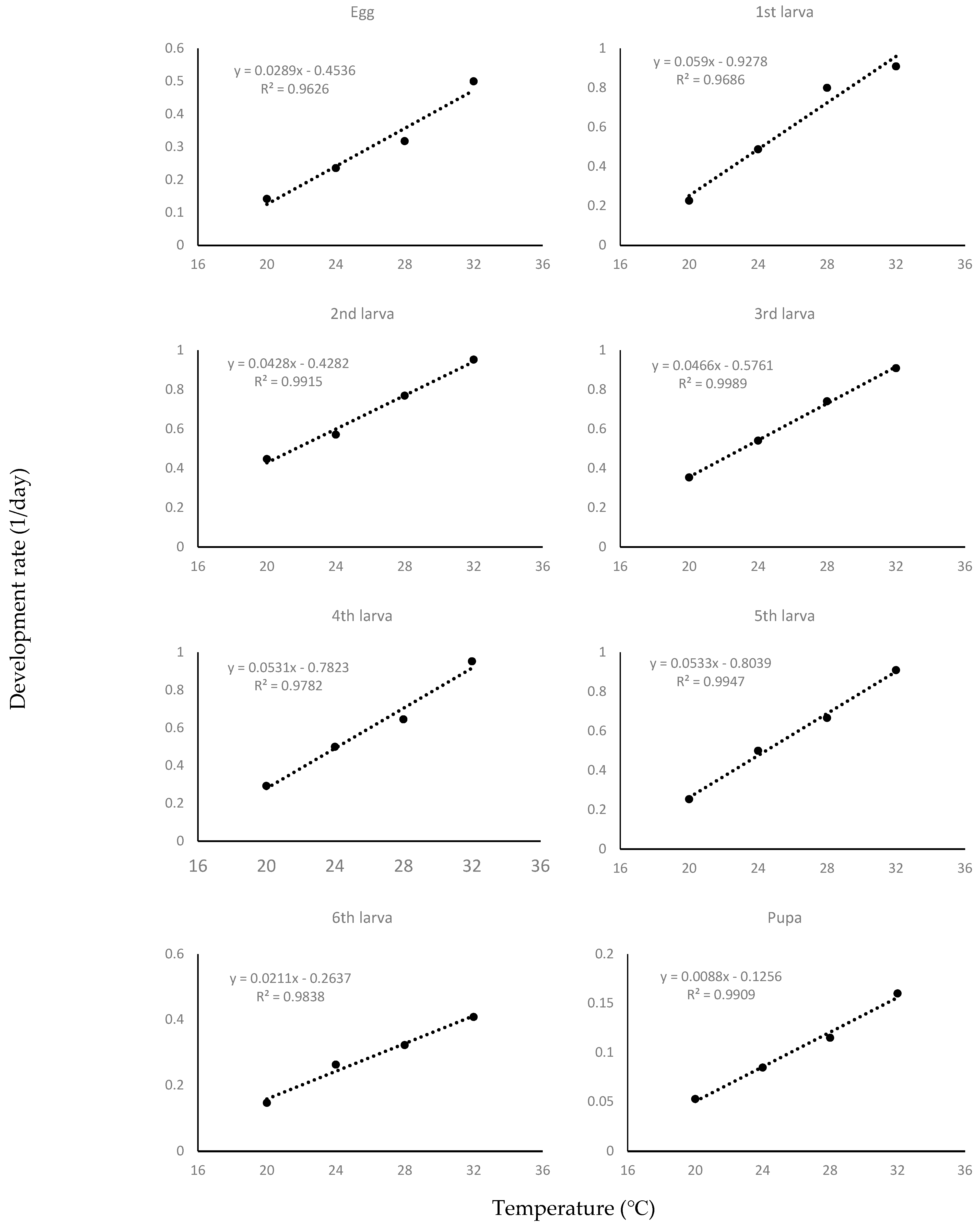
| Development Stage | Regression Model | R2 Value | LTT (°C) | TRD |
|---|---|---|---|---|
| Eggs | y = 0.0289x − 0.4536 | 0.9626 | 15.7 | 34.3 ± 3.1 |
| 1st instar | y = 0.0590x − 0.9278 | 0.9686 | 15.7 | 17.3 ± 1.3 |
| 2nd instar | y = 0.0428x − 0.4282 | 0.9915 | 10.0 | 23.3 ± 0.8 |
| 3rd instar | y = 0.0466x − 0.5761 | 0.9989 | 12.4 | 21.5 ± 0.2 |
| 4th instar | y = 0.0531x − 0.7823 | 0.9782 | 14.7 | 18.8 ± 1.0 |
| 5th instar | y = 0.0533x − 0.8039 | 0.9947 | 15.1 | 18.8 ± 0.6 |
| 6th instar | y = 0.0211x − 0.2637 | 0.9838 | 12.5 | 47.7 ± 2.7 |
| larvae | y = 0.0070x − 0.0964 | 0.9977 | 13.8 | 142.8 ± 3.5 |
| Pupae | y = 0.0088x − 0.1256 | 0.9909 | 14.3 | 113.4 ± 4.2 |
| Egg to adult | y = 0.0034x − 0.0490 | 0.9958 | 14.4 | 285.3 ± 7.5 |
| Location | Estimated Date | Number of Eclosions (Observed Days) | Deviation (Day) | ||
|---|---|---|---|---|---|
| Cheongju | 22 September | 12 (24 September) | 7 (25 September) | 6 (26 September) | +2–+4 |
| Boeun | 28 September | 17 (27 September) | 6 (28 September) | 3 (29 September) | −1–+1 |
| Taean | 16 September | 10 (20 September) | 9 (21 September) | 2 (22 September) | +4–+6 |
| Larvae Stage | Feeding Amount (g) | |||||
|---|---|---|---|---|---|---|
| 16 °C | 20 °C | 24 °C | 28 °C | 32 °C | 36 °C | |
| 1st | 0.029 ± 0.029 a | 0.026 ± 0.029 ab | 0.008 ± 0.007 ab | 0.012 ± 0.015 ab | 0.006 ± 0.005 b | 0.027 ± 0.033 ab |
| 2nd | 0.040 ± 0.034 a | 0.026 ± 0.028 ab | 0.028 ± 0.025 ab | 0.010 ± 0.010 b | 0.009 ± 0.004 b | 0.035 ± 0.035 a |
| 3rd | 0.164 ± 0.106 a | 0.100 ± 0.063 ab | 0.088 ± 0.084 b | 0.104 ± 0.077 ab | 0.065 ± 0.059 b | 0.068 ± 0.039 b |
| 4th | 0.372 ± 0.181 a | 0.386 ± 0.154 a | 0.364 ± 0.182 a | 0.372 ± 0.273 a | 0.255 ± 0.117 a | 0.239 ± 0.106 a |
| 5th | 1.454 ± 0.335 a | 1.172 ± 0.442 ab | 0.867 ± 0.385 bc | 0.538 ± 0.237 c | 0.567 ± 0.437 c | 0.495 ± 0.275 c |
| 6th | 4.526 ± 0.746 a | 4.065 ± 0.990 a | 2.452 ± 0.593 c | 3.640 ± 1.093 ab | 2.716 ± 0.869 bc | 2.255 ± 0.403 c |
| 1st to 6th | 6.610 ± 0.973 a | 5.776 ± 0.829 a | 3.772 ± 0.495 bc | 4.678 ± 1.195 b | 3.617 ± 0.625 c | 2.896 ± 0.449 c |
Publisher’s Note: MDPI stays neutral with regard to jurisdictional claims in published maps and institutional affiliations. |
© 2022 by the authors. Licensee MDPI, Basel, Switzerland. This article is an open access article distributed under the terms and conditions of the Creative Commons Attribution (CC BY) license (https://creativecommons.org/licenses/by/4.0/).
Share and Cite
Lee, S.; Park, Y.; Hwang, C.; Park, A.; Lee, S.; Kim, J. Prediction of Growth Characteristics and Migration Period of Spodoptera frugiperda (Lepidoptera: Noctuidae) According to Temperature. Insects 2022, 13, 897. https://doi.org/10.3390/insects13100897
Lee S, Park Y, Hwang C, Park A, Lee S, Kim J. Prediction of Growth Characteristics and Migration Period of Spodoptera frugiperda (Lepidoptera: Noctuidae) According to Temperature. Insects. 2022; 13(10):897. https://doi.org/10.3390/insects13100897
Chicago/Turabian StyleLee, Seongkyun, Younguk Park, Chohee Hwang, Areum Park, Seokho Lee, and Juhyoung Kim. 2022. "Prediction of Growth Characteristics and Migration Period of Spodoptera frugiperda (Lepidoptera: Noctuidae) According to Temperature" Insects 13, no. 10: 897. https://doi.org/10.3390/insects13100897
APA StyleLee, S., Park, Y., Hwang, C., Park, A., Lee, S., & Kim, J. (2022). Prediction of Growth Characteristics and Migration Period of Spodoptera frugiperda (Lepidoptera: Noctuidae) According to Temperature. Insects, 13(10), 897. https://doi.org/10.3390/insects13100897

