Residual Efficacy of Novaluron Applied on Concrete, Metal, and Wood for the Control of Stored Product Coleopteran Pests
Abstract
Simple Summary
Abstract
1. Introduction
2. Materials and Methods
2.1. Insects
2.2. Preparation of Surfaces and Treatments
2.3. Bioassays
2.4. Statistical Analysis
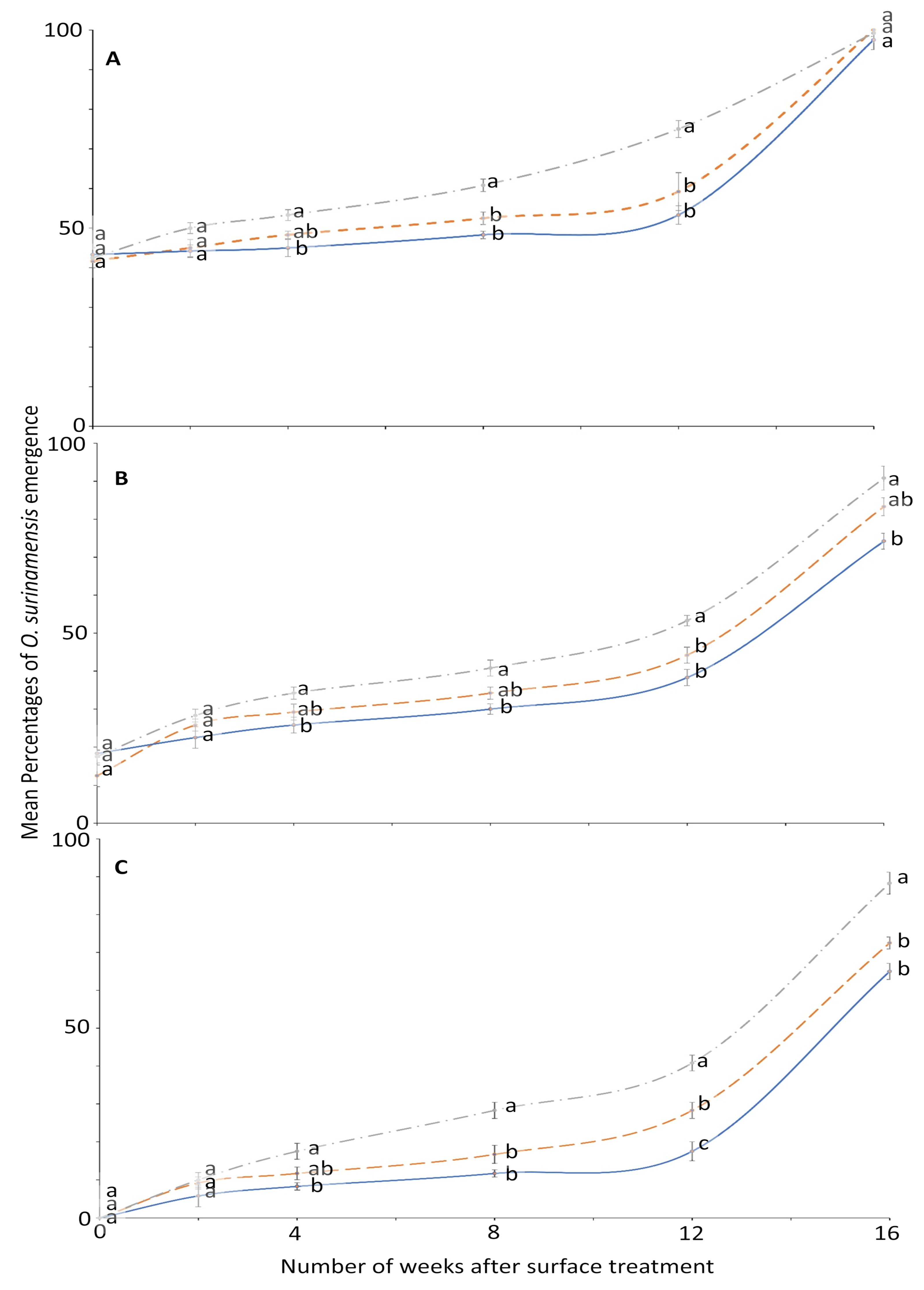
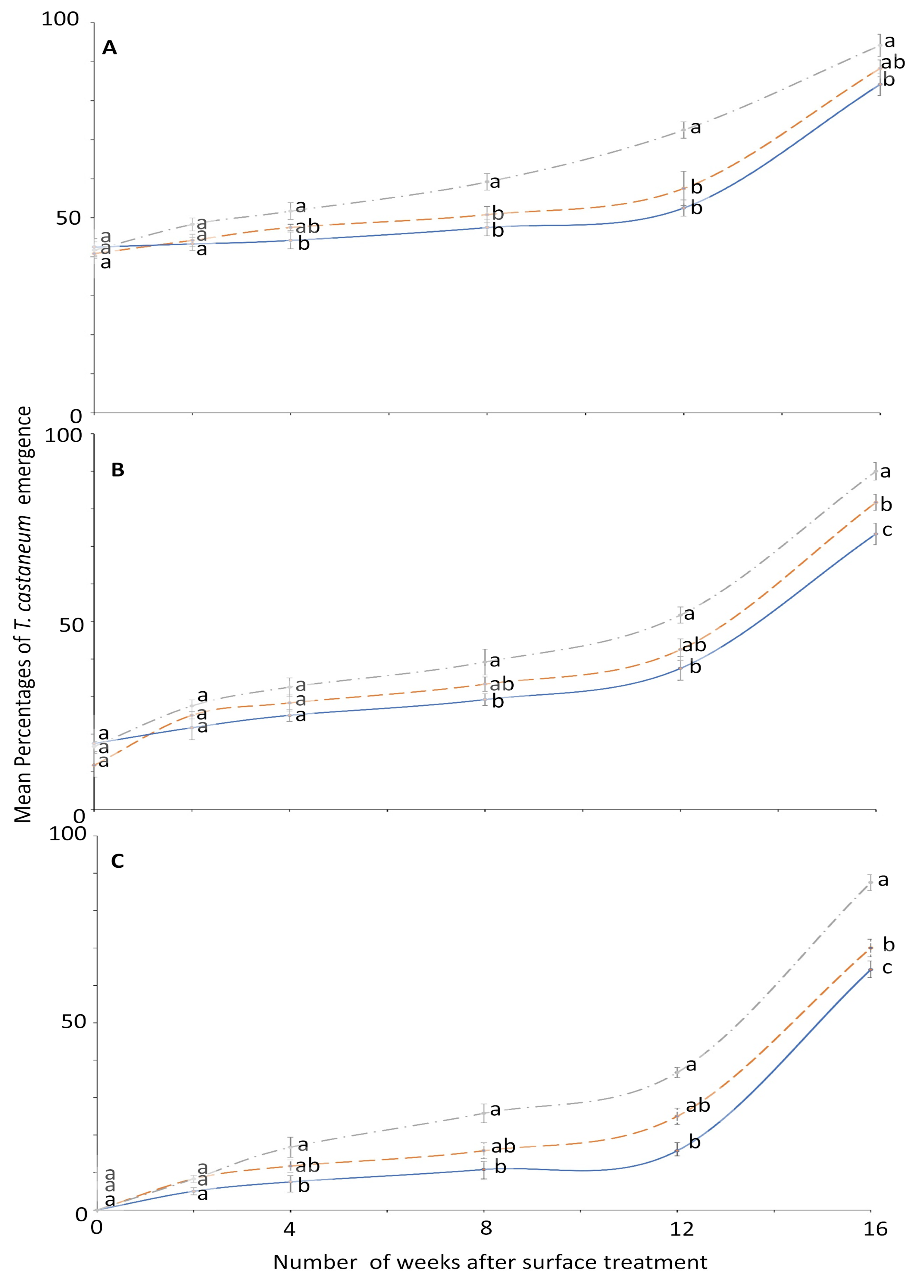
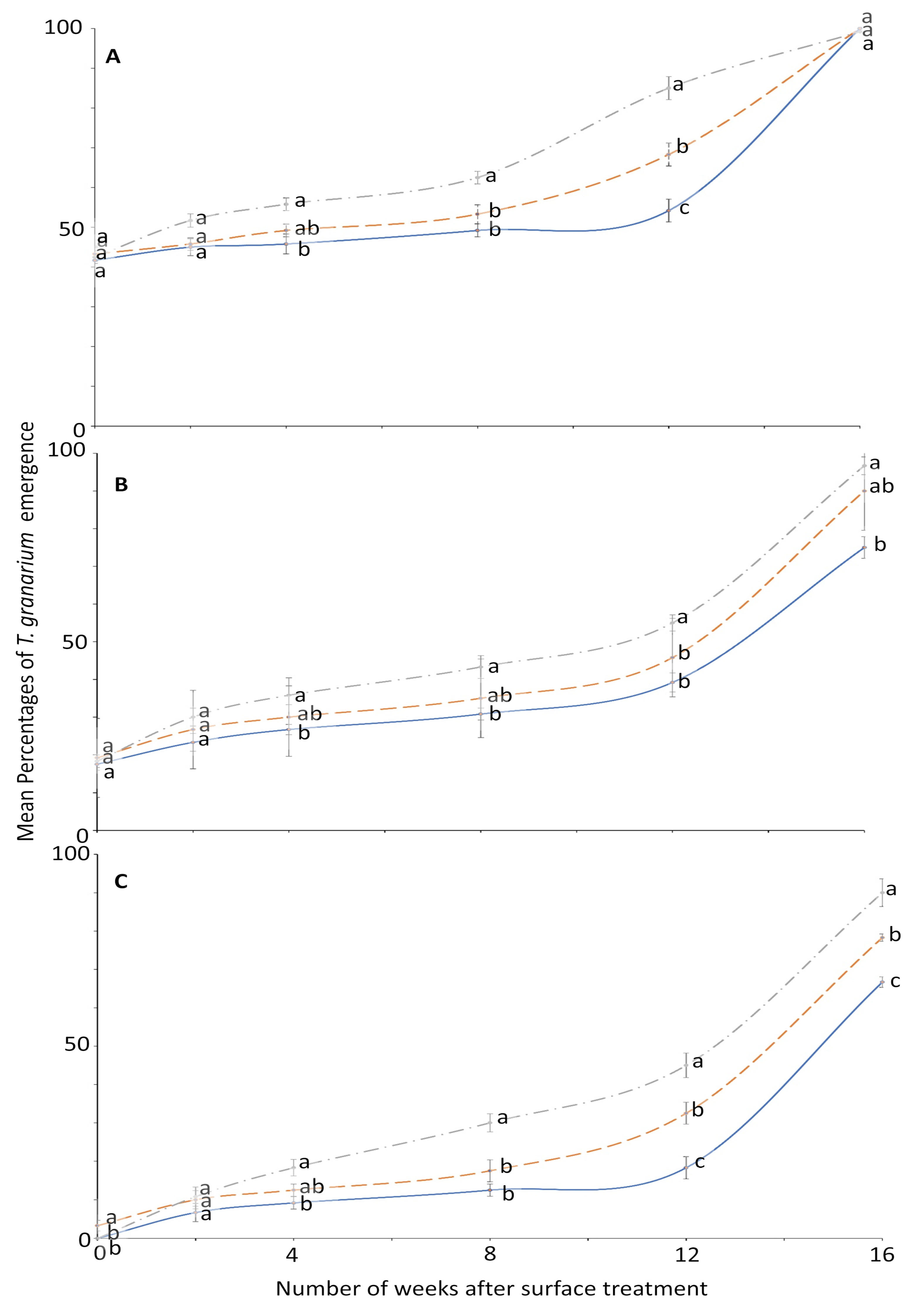
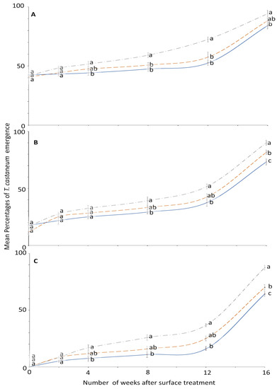
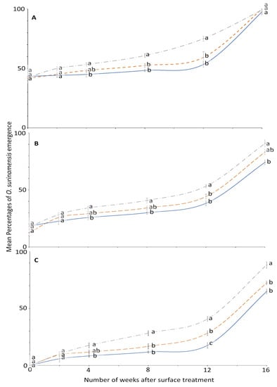
3. Results
4. Discussion
5. Conclusions
Author Contributions
Funding
Informed Consent Statement
Data Availability Statement
Acknowledgments
Conflicts of Interest
References
- White, N.D.G.; Leesch, J.G. Chemical control. In Integrated Management of Insects in Stored Products; Subramanyam, B., Hagstrum, D.W., Eds.; Marcel Dekker: New York, NY, USA, 1996; pp. 287–330. [Google Scholar]
- Gourgouta, M.; Rumbos, C.I.; Athanassiou, C.G. Residual toxicity of a commercial cypermethrin formulation on grains against four major storage beetles. J. Stored Prod. Res. 2019, 83, 103–109. [Google Scholar] [CrossRef]
- Opit, G.P.; Phillips, T.W.; Aikins, M.J.; Hasan, M.M. Phosphine resistance in Tribolium castaneum and Rhyzopertha dominica from stored wheat in Oklahoma. J. Econ. Entomol. 2012, 105, 1107–1114. [Google Scholar] [CrossRef] [PubMed]
- Collins, P.J.; Falk, M.G.; Nayak, M.K.; Emery, R.N.; Holloway, J.C. Monitoring resistance to phosphine in the lesser grain borer, Rhyzopertha dominica, in Australia: A national analysis of trends, storage types and geography in relation to resistance detections. J. Stored Prod. Res. 2017, 70, 25–36. [Google Scholar] [CrossRef]
- Afful, E.; Elliott, B.; Nayak, M.K.; Phillips, T.W. Phosphine resistance in North American field populations of the lesser grain borer, Rhyzopertha dominica (Coleoptera: Bostrichidae). J. Econ. Entomol. 2018, 111, 463–469. [Google Scholar] [CrossRef]
- Daglish, G.J.; Nayak, M.K. Prevalence of resistance to deltamethrin in Rhyzopertha dominica (F.) in eastern Australia. J. Stored Prod. Res. 2018, 78, 45–49. [Google Scholar] [CrossRef]
- Nayak, M.K.; Daglish, G.J.; Phillips, T.W.; Ebert, P.R. Resistance to the fumigant phosphine and its management in insect pests of stored products: A global perspective. Annu. Rev. Entomol. 2020, 65, 333–350. [Google Scholar] [CrossRef]
- Adarkwah, C.; Obeng-Ofori, D.; Büttner, C.; Reichmuth, C.; Schöller, M. Bio-rational control of red flour beetle Tribolium castaneum (Herbst) (Coleoptera: Tenebrionidae) in stored wheat with Calneem oil derived from neem seeds. J. Pest Sci. 2010, 83, 471–479. [Google Scholar] [CrossRef]
- Njoroge, A.W.; Mankin, R.W.; Smith, B.W.; Baributsa, D. Effects of hermetic storage on adult Sitophilus oryzae L. (Coleoptera: Curculionidae) acoustic activity patterns and mortality. J. Econ. Entomol. 2017, 110, 2707–2715. [Google Scholar] [CrossRef]
- Morrison, W.R.; Grosdidier, R.F.; Arthur, F.H.; Myers, S.W.; Domingue, M.J. Attraction, arrestment, and preference by immature Trogoderma variabile and Trogoderma granarium to food and pheromonal stimuli. J. Pest Sci. 2020, 93, 135–147. [Google Scholar] [CrossRef]
- Isman, M.B. Botanical insecticides in the twenty-first century-fulfilling their promise? Annu. Rev. Entomol. 2020, 65, 233–249. [Google Scholar] [CrossRef]
- Phillips, T.W.; Throne, J.E. Biorational approaches to managing stored-product insects. Annu. Rev. Entomol. 2010, 55, 375–397. [Google Scholar] [CrossRef] [PubMed]
- Vassilakos, T.N.; Athanassiou, C.G.; Chloridis, A.S.; Dripps, J.E. Efficacy of spinetoram as a contact insecticide on different surfaces against stored-product beetle species. J. Pest Sci. 2014, 87, 485–494. [Google Scholar] [CrossRef]
- Arthur, F.H.; Hartzer, K.L. Susceptibility of selected stored product insects to a combination treatment of pyriproxyfen and novaluron. J. Pest Sci. 2018, 91, 699–705. [Google Scholar] [CrossRef]
- Oberlander, H.; Silhacek, D.L.; Shaaya, E.; Ishaaya, I. Current status and future perspectives of the use of insect growth regulators for the control of stored product pests. J. Stored Prod. Res. 1997, 33, 1–6. [Google Scholar] [CrossRef]
- Mondal, K.A.M.S.H.; Parween, S. Insect growth regulators and their potential in the management of stored-product insect pests. Integr. Pest Manag. Rev. 2000, 5, 255–295. [Google Scholar] [CrossRef]
- Tunaz, H.; Uygun, N. Insect growth regulators for insect pest control. Turkish J. Agric. For. 2004, 28, 377–387. [Google Scholar]
- Kavallieratos, N.G.; Athanassiou, C.G.; Vayias, B.J.; Tomanovic, Z. Efficacy of insect growth regulators as grain protectants against two stored-product pests in wheat and maize. J. Food Prot. 2012, 75, 942–950. [Google Scholar] [CrossRef]
- Scheff, D.S.; Subramanyam, B.; Arthur, F.H. Effect of methoprene treated polymer packaging on fecundity, egg hatchability, and egg-to-adult emergence of Tribolium castaneum and Trogoderma variabile. J. Stored Prod. Res. 2016, 69, 227–234. [Google Scholar] [CrossRef]
- Scheff, D.S.; Subramanyam, B.; Arthur, F.H. Susceptibility of Tribolium castaneum and Trogoderma variabile larvae and adults exposed to methoprene-treated woven packaging material. J. Stored Prod. Res. 2017, 73, 142–150. [Google Scholar] [CrossRef]
- Arthur, F.H.; Ghimire, M.N.; Myers, S.W.; Phillips, T.W. Evaluation of pyrethroid insecticides and insect growth regulators applied to different surfaces for control of Trogoderma granarium (Coleoptera: Dermestidae) the khapra beetle. J. Econ. Entomol. 2018, 111, 612–619. [Google Scholar] [CrossRef]
- Arthur, F.H. Efficacy of combinations of methoprene and deltamethrin as long-term commodity protectants. Insects 2019, 10, 50. [Google Scholar] [CrossRef] [PubMed]
- Yasir, M.; Sagheer, M.; Abbas, S.K.; Hasan, M.; Ahmad, S.; Ijaz, M. Bioactivity of lufenuron against Tribolium castaneum (Herbst) (Coleoptera: Tenebrionidae). Sains Malays. 2019, 48, 75–80. [Google Scholar] [CrossRef]
- Yasir, M.; Hasan, M.; Sagheer, M.; Javed, N. Residual efficacy of methoxyfenozide applied on different grain commodities for the control of three stored-product insect pests. Türk. Entomol. Derg. 2019, 43, 385–394. [Google Scholar] [CrossRef]
- Yasir, M.; Hasan, M.; Sagheer, M.; Fiaz, M.; Serrão, J.E. Residual efficacy of pyriproxyfen on grain commodities against stored product insect pests. Gesunde Pflanz. 2020, 72, 265–272. [Google Scholar] [CrossRef]
- Reynolds, S.E.; Samuels, R.I. Physiology and biochemistry of insect moulting fluid. Adv. Insect Physiol. 1996, 26, 157–232. [Google Scholar]
- Boukouvala, M.C.; Kavallieratos, N.G. Effect of six insecticides on egg hatching and larval mortality of Trogoderma granarium Everts (Coleoptera: Dermestidae). Insects 2020, 11, 263. [Google Scholar] [CrossRef]
- Cutler, G.C.; Scott-Dupree, C.D. Novaluron: Prospects and limitations in insect pest management. Pest Technol. 2007, 1, 38–46. [Google Scholar]
- Merzendorfer, H. Chitin synthesis inhibitors: Old molecules and new developments. Insect Sci. 2013, 20, 121–138. [Google Scholar] [CrossRef]
- Kostyukovsky, I.M.; Trostanetsky, A. The effect of a new chitin synthesis inhibitor, novaluron, on various developmental stages of Tribolium castaneum (Herbst). J. Stored Prod. Res. 2006, 42, 136–148. [Google Scholar] [CrossRef]
- Cutler, G.C.; Scott-Dupree, C.D.; Tolman, J.H.; Harris, C.R. Acute and sublethal toxicity of novaluron, a novel chitin synthesis inhibitor, to Leptinotarsa decemlineata (Coleoptera: Chrysomelidae). Pest Manag. Sci. 2005, 61, 1060–1068. [Google Scholar] [CrossRef]
- Trostanetsky, A.; Kostyukovsky, M. Transovarial activity of the chitin synthesis inhibitor novaluron on egg hatch and subsequent development of larvae of Tribolium castaneum. Phytoparasitica 2008, 36, 38–41. [Google Scholar] [CrossRef]
- Trostanetsky, A.; Kostyukovsky, M.; Quinn, E. Transovarial effect of novaluron on Tribolium castaneum (Coleoptera: Tenebrionidae) after termination of direct contact. J. Insect Sci. 2015, 15, 125. [Google Scholar] [CrossRef] [PubMed][Green Version]
- Joseph, S.V. Ingestion of novaluron elicits transovarial activity in Stephanitis pyriodes (Hemiptera: Tingidae). Insects 2020, 11, 216. [Google Scholar] [CrossRef] [PubMed]
- Soares, W.S.; Júnior, S.M.D.; Da Silva, I.W.; Plata-Rueda, A.; Souza, E.A.; Fernandes, F.L. Physiological selectivity of insecticides from different chemical groups and cuticle thickness of Protonectarina sylveirae (Saussure, 1854) and Brachygrastra lecheguana (Latreille, 1824) (Hymenoptera: Vespidae). Sociobiology 2019, 66, 358–366. [Google Scholar] [CrossRef]
- Arthur, F.H.; Fontenot, E.A. Residual activity of methoprene and novaluron as surface treatments to manage the flour beetles, Tribolium castaneum and Tribolium confusum. J. Insect Sci. 2012, 12, 95. [Google Scholar] [CrossRef]
- Arthur, F.H. Methodology for evaluating the insect growth regulator (IGR) methoprene on packaging films. Insects 2016, 7, 33. [Google Scholar] [CrossRef]
- Wijayaratne, L.K.; Fields, P.G.; Arthur, F.H. Residual efficacy of methoprene for control of Tribolium castaneum (Coleoptera: Tenebrionidae) larvae at different temperatures on varnished wood, concrete, and wheat. J. Econ. Entomol. 2012, 105, 718–725. [Google Scholar] [CrossRef]
- Arthur, F.H. Aerosols and contact insecticides as alternatives to methyl bromide in flour mills, food production facilities, and food warehouses. J. Pest Sci. 2012, 85, 323–329. [Google Scholar] [CrossRef]
- Liu, S.S.; Arthur, F.H.; VanGundy, D.; Phillips, T.W. Combination of methoprene and controlled aeration to manage insects in stored wheat. Insects 2016, 7, 25. [Google Scholar] [CrossRef]
- Khan, H.A.A. Susceptibility to indoxacarb and synergism by enzyme inhibitors in laboratory and field strains of five major stored product insects in Pakistan. Chemosphere 2020, 257, 127167. [Google Scholar] [CrossRef]
- Nehare, S.; Moharil, M.P.; Ghodki, B.S.; Lande, G.K.; Bisane, K.D.; Thakare, A.S.; Barkhade, U.P. Biochemical analysis and synergistic suppression of indoxacarb resistance in Plutella xylostella L. J. Asia-Pac. Entomol. 2010, 13, 91–95. [Google Scholar] [CrossRef]
- Tsaganou, F.K.; Vassilakos, T.N.; Athanassiou, C.G. Knockdown-mortality responses of six stored-product beetle species on different surfaces treated with thiamethoxam, using a standardized lethality index. J. Econ. Entomol. 2020, 113, toaa272. [Google Scholar] [CrossRef] [PubMed]
- Vassilakos, T.N.; Athanassiou, C.G. Long-term residual efficacy of spinetoram on concrete and steel surfaces for the management of three stored product beetle species. J. Econ. Entomol. 2015, 108, 2090–2097. [Google Scholar] [CrossRef] [PubMed]
- R Core Team. R: A Language and Environment for Statistical Computing; R Foundation for Statistical Computing: Vienna, Austria, 2013. [Google Scholar]
- Sokal, R.R.; Rohlf, F.J. Biometry: The Principles and Practice of Statistics in Biological Research, 3rd ed.; W.H. Freeman and Co.: New York, NY, USA, 1995. [Google Scholar]
- George, G.G.; Maria, S.K.; Athanassiou, G.C. Efficacy of Beauveria bassiana in combination with an electrostatically charged dust for the control of major stored-product beetle species on concrete. J. Stored Prod. Res. 2018, 79, 139–143. [Google Scholar] [CrossRef]
- Toews, M.D.; Subramanyam, B.; Rowan, J. Knockdown and mortality of adults of eight species of stored-product beetles exposed to four surfaces treated with spinosad. J. Econ. Entomol. 2003, 96, 1967–1973. [Google Scholar] [CrossRef]
- Arthur, F.H.; Liu, S.; Zhao, B.; Phillips, T.W. Residual efficacy of pyriproxyfen and hydroprene applied to wood, metal and concrete for control of stored-product insects. Pest Manag. Sci. 2009, 65, 791–797. [Google Scholar] [CrossRef]
- Guo, L.; Jury, W.A.; Wagenet, R.J.; Flury, M. Dependence of pesticide on sorption: Nonequilibrium model and application to soil reactors. J. Contam. Hydrol. 2000, 43, 45–62. [Google Scholar] [CrossRef]
- Beriot, N.; Zomer, P.; Zornoza, R.; Geissen, V. A laboratory comparison of the interactions between three plastic mulch types and 38 active substances found in pesticides. PeerJ 2020, 8, e9876. [Google Scholar] [CrossRef]
- Roush, R.T. Designing resistance management programs: How can you choose? Pestic. Sci. 1989, 26, 423–441. [Google Scholar] [CrossRef]
- Cutler, G.C.; Tolman, J.H.; Scott-Dupree, C.D.; Harris, C.R. Resistance potential of Colorado potato beetle (Coleoptera: Chrysomelidae) to novaluron. J. Econ. Entomol. 2005, 98, 1685–1693. [Google Scholar] [CrossRef][Green Version]
- Parys, K.A.; Snodgrass, G.L.; Luttrell, R.G.; Allen, K.C.; Little, N.S. Baseline susceptibility of Lygus lineolaris (Hemiptera: Miridae) to novaluron. J. Econ. Entomol. 2016, 109, 339–344. [Google Scholar] [CrossRef] [PubMed]
- Van Leeuwen, T.; Demaeght, P.; Osborne, E.J.; Dermauw, W.; Gohlke, S.; Nauen, R.; Grbić, M.; Tirry, L.; Merzendorfer, H.; Clark, R.M. Population bulk segregant mapping uncovers resistance mutations and the mode of action of a chitin synthesis inhibitor in arthropods. Proc. Natl. Acad. Sci. USA 2012, 109, 4407–4412. [Google Scholar] [CrossRef] [PubMed]
- Douris, V.; Steinbach, D.; Panteleri, R.; Livadaras, I.; Pickett, J.A.; Van Leeuwen, T.; Nauen, R.; Vontas, J. Resistance mutation conserved between insects and mites unravels the benzoylurea insecticide mode of action on chitin biosynthesis. Proc. Natl. Acad. Sci. USA 2016, 113, 14692–14697. [Google Scholar] [CrossRef] [PubMed]
- Suzuki, Y.; Shiotsuki, T.; Jouraku, A.; Miura, K.; Minakuchi, C. Benzoylurea resistance in western flower thrips, Frankliniella occidentalis (Thysanoptera: Thripidae: The presence of a point mutation in chitin synthase 1. J. Pestic. Sci. 2017, 42, 93–96. [Google Scholar] [CrossRef]
- Ishaaya, I.; Kontsedalov, S.; Horowitz, A.R. Novaluron (Rimon), a novel IGR: Potency and cross-resistance. Arch. Insect Biochem. Physiol. 2003, 54, 157–164. [Google Scholar] [CrossRef]
- Fontoura, N.G.; Bellinato, D.F.; Valle, D.; Lima, J.B.P. The efficacy of a chitin synthesis inhibitor against field populations of organophosphate-resistant Aedes aegypti in Brazil. Mem. Inst. Oswaldo Cruz 2012, 107, 387–395. [Google Scholar] [CrossRef]
- Gunathilaka, N.; Ranathunga, T.; Hettiarachchi, D.; Udayanga, L. Field-based evaluation of novaluron EC10 insect growth regulator, a chitin synthesis inhibitor against dengue vector breeding in leaf axils of pineapple plantations in Gampaha District, Sri Lanka. Paras. Vect. 2020, 13, 228. [Google Scholar] [CrossRef]






| Source | df | O. surinamensis | T. castaneum | T. granarium | |||
|---|---|---|---|---|---|---|---|
| F | p | F | p | F | p | ||
| Week | 5 | 1246.79 | <0.01 | 1043.94 | <0.01 | 1185.98 | <0.01 |
| Concentration | 3 | 6380.08 | <0.01 | 6147.63 | <0.01 | 5438.36 | <0.01 |
| Surface | 2 | 116.49 | <0.01 | 106.00 | <0.01 | 130.65 | <0.01 |
| Week × Concentration | 15 | 147.22 | <0.01 | 129.31 | <0.01 | 140.26 | <0.01 |
| Week × Surface | 10 | 9.88 | <0.01 | 9.32 | <0.01 | 11.92 | <0.01 |
| Concentration × Surface | 6 | 14.67 | <0.01 | 12.40 | <0.01 | 16.50 | <0.01 |
| Week × Concentration × Surface | 30 | 2.83 | <0.01 | 1.90 | <0.01 | 3.79 | <0.01 |
Publisher’s Note: MDPI stays neutral with regard to jurisdictional claims in published maps and institutional affiliations. |
© 2020 by the authors. Licensee MDPI, Basel, Switzerland. This article is an open access article distributed under the terms and conditions of the Creative Commons Attribution (CC BY) license (http://creativecommons.org/licenses/by/4.0/).
Share and Cite
Yasir, M.; Mankin, R.W.; ul Hasan, M.; Sagheer, M. Residual Efficacy of Novaluron Applied on Concrete, Metal, and Wood for the Control of Stored Product Coleopteran Pests. Insects 2021, 12, 7. https://doi.org/10.3390/insects12010007
Yasir M, Mankin RW, ul Hasan M, Sagheer M. Residual Efficacy of Novaluron Applied on Concrete, Metal, and Wood for the Control of Stored Product Coleopteran Pests. Insects. 2021; 12(1):7. https://doi.org/10.3390/insects12010007
Chicago/Turabian StyleYasir, Muhammad, Richard W. Mankin, Mansoor ul Hasan, and Muhammad Sagheer. 2021. "Residual Efficacy of Novaluron Applied on Concrete, Metal, and Wood for the Control of Stored Product Coleopteran Pests" Insects 12, no. 1: 7. https://doi.org/10.3390/insects12010007
APA StyleYasir, M., Mankin, R. W., ul Hasan, M., & Sagheer, M. (2021). Residual Efficacy of Novaluron Applied on Concrete, Metal, and Wood for the Control of Stored Product Coleopteran Pests. Insects, 12(1), 7. https://doi.org/10.3390/insects12010007

