Olfactory Learning in the Stingless Bee Melipona eburnea Friese (Apidae: Meliponini)
Abstract
1. Introduction
2. Materials and Methods
2.1. Olfactory Conditioning of Harnessed Bees Using the Proboscis Extension Reflex (PER)
2.2. Olfactory Conditioning of Free-Moving (fm) Bees Using the Proboscis Extension Reflex PER (fmPER)
2.3. Effect of Reward and Previous Scent–Reward Experience on Olfactory PER Conditioning
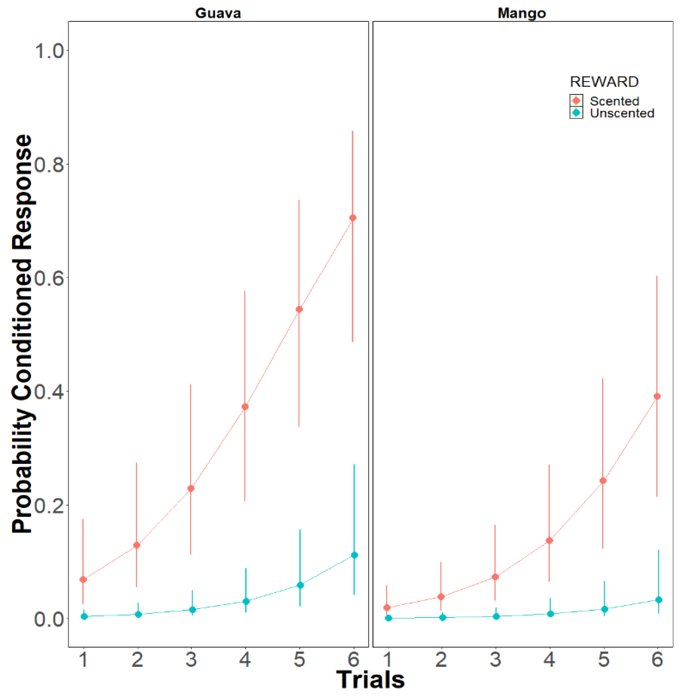
3. Results
Effect of Reward and Previous Scent–Reward Experience on Olfactory PER Conditioning
4. Discussion
5. Conclusions
Supplementary Materials
Author Contributions
Funding
Acknowledgments
Conflicts of Interest
References
- Abramson, C.I. Invertebrate Learning: A Laboratory Manual and Source Book; American Psychological Association: Washington, DC, USA, 1990; pp. 22–54. [Google Scholar]
- Abramson, C.I. A Primer of Invertebrate Learning: The Behavioral Perspective; American Psychological Association: Washington, DC, USA, 1994; Available online: https://books.google.com.co/books?id=0D9mQgAACAAJ (accessed on 12 August 2019).
- Dukas, R. Evolutionary Biology of Animal Cognition. Annu. Rev. Ecol. Evol. Syst. 2004, 35, 347–374. [Google Scholar] [CrossRef]
- Real, L.A. Information Processing and the Evolutionary Ecology of Cognitive Architecture. Am. Nat. 1992, 140, S108–S145. [Google Scholar] [CrossRef]
- Giurfa, M.; Sandoz, J.C. Invertebrate learning and memory: Fifty years of olfactory conditioning of the proboscis extension response in honeybees. Learn. Mem. 2012, 19, 54–66. [Google Scholar] [CrossRef]
- Chittka, L. Bee cognition. Curr. Biol. 2017, 27, R1049–R1053. [Google Scholar] [CrossRef]
- Wells, H.; Wells, P.H. Honey Bee Foraging Ecology: Optimal Diet, Minimal Uncertainty or Individual Constancy? J. Anim. Ecol. 1983, 52, 829–836. [Google Scholar] [CrossRef]
- Wells, H.; Wells, P.H. Optimal Diet, Minimal Uncertainty and Individual Constancy in the Foraging of Honey Bees, Apis mellifera. J. Anim. Ecol. 1986, 55, 881–891. [Google Scholar] [CrossRef]
- Giurfa, M.; Fabre, E.; Flaven-Pouchon, J.; Groll, H.; Oberwallner, B.; Vergoz, V.; Sandoz, J.C. Olfactory conditioning of the sting extension reflex in honeybees: Memory dependence on trial number, interstimulus interval, intertrial interval, and protein synthesis. Learn. Mem. 2009, 16, 761–765. [Google Scholar] [CrossRef] [PubMed]
- Abramson, C.; Sokolowski, M.; Wells, H. Issues in the study of proboscis conditioning. In Social Insects: Structure, Function, and Behavior; Stewart, E.M., Ed.; Nova Science Publishers: New York, NY, USA, 2011; Volume 240, pp. 25–50. [Google Scholar]
- Chakrabarti, P.; Sarkar, S.; Basu, P. Pesticide induced visual abnormalities in Asian honey bee (Apis cerana L.) in intensive agricultural landscapes. Chemosphere 2019, 230, 51–58. [Google Scholar] [CrossRef] [PubMed]
- Frings, H. The loci of olfactory end-organs in the honey-bee, Apis mellifera Linn. J. Exp. Zool. 1944, 97, 123–134. [Google Scholar] [CrossRef]
- Bitterman, M.E.; Menzel, R.; Fietz, A.; Schäfer, S. Classical conditioning of proboscis extension in honeybees (Apis mellifera). J. Comp. Psychol. 1983, 97, 107–119. [Google Scholar] [CrossRef]
- Hammer, M. An identified neuron mediates the unconditioned stimulus in associative olfactory learning in honeybees. Nature 1993, 366, 59–63. [Google Scholar] [CrossRef] [PubMed]
- Menzel, R. Memory dynamics in the honeybee. J. Comp. Physiol. A 1999, 185, 323–340. [Google Scholar] [CrossRef]
- Faber, T.; Joerges, J.; Menzel, R. Associative learning modifies neural representations of odors in the insect brain. Nat. Neurosci. 1999, 2, 74–78. [Google Scholar] [CrossRef] [PubMed]
- Szyszka, P.; Galkin, A.; Menzel, R. Associative and non-associative plasticity in kenyon cells of the honeybee mushroom body. Front. Syst. Neurosci. 2008, 2, 3. [Google Scholar] [CrossRef] [PubMed]
- Abramson, C.I.; Nolf, S.L.; Mixson, T.A.; Wells, H. Can Honey Bees Learn the Removal of a Stimulus as a Conditioning Cue? Ethology 2010, 116, 843–854. [Google Scholar] [CrossRef]
- Abramson, C.I.; Wells, H.; Bozic, J. A social insect model for the study of ethanol induced behavior: The honey bee. In Trends in Alcohol Abuse and Alcoholism Research; Yoshida, R., Ed.; Nova Science: New York, NY, USA, 2007; pp. 197–218. [Google Scholar]
- Abramson, C.I.; Craig, D.P.A.; Varnon, C.A.; Wells, H. The effect of ethanol on reversal learning in honey bees (Apis mellifera anatolica): Response inhibition in a social insect model. Alcohol 2015, 49, 245–258. [Google Scholar] [CrossRef]
- Mustard, J.A.; Edgar, E.A.; Mazade, R.E.; Wu, C.; Lillvis, J.L.; Wright, G.A. Acute ethanol ingestion impairs appetitive olfactory learning and odor discrimination in the honey bee. Neurobiol. Learn. Mem. 2008, 90, 633–643. [Google Scholar] [CrossRef]
- Abramson, C.I.; Giray, T.; Mixson, T.A.; Nolf, S.L.; Wells, H.; Kence, A.; Kence, M. Proboscis conditioning experiments with honey bees (Apis mellifera caucasica) with butyric acid and DEET mixture as conditioned and unconditioned stimuli. Insect Sci. 2010, 10, 1–17. [Google Scholar] [CrossRef]
- Smith, B.H.; Burden, C.M. A proboscis extension response protocol for investigating behavioral plasticity in insects: Application to basic, biomedical, and agricultural research. J. Vis. Exp. JoVE 2014, 91, e51057. [Google Scholar] [CrossRef]
- Chakrabarti, P.; Rana, S.; Bandopadhyay, S.; Naik, D.G.; Sarkar, S.; Basu, P. Field populations of native Indian honey bees from pesticide intensive agricultural landscape show signs of impaired olfaction. Sci. Rep. 2015, 5, 12504. [Google Scholar] [CrossRef]
- Menzel, R. Learning, memory, and “cognition” in honey bees. In Neurobiology of Comparative Cognition; Kesner, R.P., Olton, D.S., Eds.; Lawrence Erlbaum Associates: NJ, USA, 1990; pp. 237–292. [Google Scholar]
- Laloi, D.; Sandoz, J.C.; Picard-Nizou, A.L.; Marchesi, A.; Pouvreau, A.; Taséi, J.N.; Pham-Delègue, M.H. Olfactory conditioning of the proboscis extension in bumble bees. Entomol. Exp. Appl. 1999, 90, 123–129. [Google Scholar] [CrossRef]
- Laloi, D.; Bailez, O.; Blight, M.M.; Roger, B.; Pham-Delègue, M.H.; Wadhams, L.J. Recognition of complex odors by restrained and free-flying Honeybees, Apis mellifera. J. Chem. Ecol. 2000, 26, 2307–2319. [Google Scholar] [CrossRef]
- Toda, N.R.T.; Song, J.; Nieh, J.C. Bumblebees exhibit the memory spacing effect. Naturwissenschaften 2009, 96, 1185–1191. [Google Scholar] [CrossRef] [PubMed][Green Version]
- Riveros, A.J.; Gronenberg, W. Olfactory learning and memory in the bumblebee Bombus occidentalis. Naturwissenschaften 2009, 96, 851–856. [Google Scholar] [CrossRef] [PubMed]
- Sommerlandt, F.; Rössler, W.; Spaethe, J. Elemental and non-elemental olfactory learning using PER conditioning in the bumble bee Bombus terrestris. Apidologie 2014, 45, 106–115. [Google Scholar] [CrossRef]
- Palottini, F.; Estravis Barcala, M.C.; Farina, W.M. Odor learning and its experience dependent modulation in the South American Bombus atratus (Hymenoptera: Apidae). Front. Pychol. 2018, 9, 603. [Google Scholar] [CrossRef]
- Abramson, C.I.; Aquino, I.S.; Stone, S.M. Failure to Find Proboscis Conditioning in One-Day Old Africanized Honey Bees (Apis mellifera L.) and in Adult Uru§u, Honey bees (Melipona scutellaris). Int. J. Comp. Psychol. 1999, 12, 242–262. [Google Scholar]
- Abramson, C.I.; Aquino, I.S.; Silva, M.C.; Price, J.M. Learning in the Africanized Honey Bee: Apis mellifera L. Physiol. Behav. 1997, 62, 657–674. [Google Scholar] [CrossRef]
- Mc Cabe, S.I.; Hartfelder, K.; Santana, W.C.; Farina, W.M. Odor discrimination in classical conditioning of proboscis extension in two stingless bee species in comparison to Africanized honeybees. J. Comp. Physiol. A 2007, 193, 1089–1099. [Google Scholar] [CrossRef]
- Mc Cabe, S.I.; Farina, W.M. Olfactory learning in the stingless bee Tetragonisca angustula (Hymenoptera, Apidae, Meliponini). J. Comp. Physiol. A 2010, 196, 481–490. [Google Scholar] [CrossRef]
- Henske, J.; Krausa, K.; Hager, F.A.; Nkoba, K.; Kirchner, W.H. Olfactory associative learning in two African stingless bee species (Meliponula ferruginea and M. bocandei, Meliponini). Insectes Soc. 2015, 62, 507–516. [Google Scholar] [CrossRef]
- Mc Cabe, S.I.; Farina, W.M. Odor information transfer in the stingless bee Melipona quadrifasciata: Effect of in-hive experiences on classical conditioning of proboscis extension. J. Comp. Physiol. A 2009, 195, 113–122. [Google Scholar] [CrossRef] [PubMed]
- Balamurali, G.S.; Krishna, S.; Somanathan, H. Senses and signals: Evolution of floral signals, pollinator sensory systems and the structure of plant-pollinator interactions. Curr. Sci. 2015, 108, 1852–1861. [Google Scholar]
- Baldelomar, M.; Viana, M.L.; Telles, F.J. El rol de los compuestos orgánicos volátiles florales en las interacciones planta-insecto. Oecologia Aust. 2018, 22, 348–361. [Google Scholar] [CrossRef]
- Wright, G.A.; Schiestl, F.P. The evolution of floral scent: The influence of olfactory learning by insect pollinators on the honest signalling of floral rewards. Funct. Ecol. 2009, 23, 841–851. [Google Scholar] [CrossRef]
- Winfree, R.; Reilly, J.R.; Bartomeus, I.; Cariveau, D.P.; Williams, N.M.; Gibbs, J. Species turnover promotes the importance of bee diversity for crop pollination at regional scales. Science 2018, 359, 791–793. [Google Scholar] [CrossRef]
- Michener, C.D. The Meliponini. In Pot-Honey a Legacy of Stingless Bees; Vit, P., Pedro, S.R.M., Roubik, D., Eds.; Springer: New York, NY, USA, 2013; Volume 1, pp. 3–18. [Google Scholar]
- Heard, T.A. The role of stingless bees in crop pollination. Annu. Rev. Entomol. 1999, 44, 183–206. [Google Scholar] [CrossRef]
- Can-Alonzo, C.; Quezada-Euán, J.J.G.; Xiu-Ancona, P.; Moo-Valle, H.; Valdovinos-Nunez, G.R.; Medina-Peralta, S. Pollination of ‘criollo’ avocados (Persea americana) and the behaviour of associated bees in subtropical Mexico. J. Apic. Res. 2005, 44, 3–8. [Google Scholar] [CrossRef]
- Cauich, O.; Quezada Euán, J.J.G.; Ramírez, V.M.; Valdovinos-Nuñez, G.R.; Moo-Valle, H. Pollination of habanero pepper (Capsicum chinense) and production in enclosures using the stingless bee Nannotrigona perilampoides. J. Apic. Res. 2006, 45, 125–130. [Google Scholar] [CrossRef]
- Slaa, E.J.; Sánchez Chaves, L.A.; Malagodi-Braga, K.S.; Hofstede, F.E. Stingless bees applied pollination: Practice and perspective. Apidologie 2006, 37, 293–315. [Google Scholar] [CrossRef]
- Obregon, D.; Nates-Parra, G. Floral Preference of Melipona eburnea Friese (Hymenoptera: Apidae) in a Colombian Andean Region. Neotrop. Entomol. 2014, 43, 53–60. [Google Scholar] [CrossRef] [PubMed]
- Camargo, J.M.F.; de Menezes Pedro, S.R. Systematics, phylogeny and biogeography of the Meliponinae (Hymenoptera, Apidae): A mini-review. Apidologie 1992, 23, 509–522. [Google Scholar] [CrossRef]
- Giurfa, M. Behavioral and neural analysis of associative learning in the honeybee: A taste from the magic well. J. Comp. Physiol. A 2007, 193, 801–824. [Google Scholar] [CrossRef] [PubMed]
- Page, R.E., Jr.; Erber, J.; Fondrk, M.K. The effect of genotype on response thresholds to sucrose and foraging behavior of honey bees (Apis mellifera L.). J. Comp. Physiol. A 1998, 182, 489–500. [Google Scholar] [CrossRef] [PubMed]
- Abramson, C.; Boyd, B.J. An Automated Apparatus for Conditioning Proboscis Extension in Honey Bees, Apis mellifera L. J. Entomol. Sci. 2001, 36, 78–92. [Google Scholar] [CrossRef]
- Sall, J.; Lehman, A. JMP Start Statistics: A Guide to Statistics and Data Analysing JMP and JMP IN Software; Duxbury Press: CA, USA, 1996. [Google Scholar]
- Sokal, R.R.; Rohlf, R.J. Biometry: The Principles and Practice of Statistics in Biological Research, 3rd ed.; W. H. Freeman and Co.: New York, NY, USA, 1995. [Google Scholar]
- Faraway, J.J. Extending the Linear Model with R: Generalized Linear, Mixed Effects and Nonparametric Regression Models, 2nd ed.; CRC Press: Boca Raton, FL, USA, 2016. [Google Scholar]
- Fox, J. Effect Displays in R for Generalised Linear Models. J. Stat. Softw. 2003, 8, 1–27. [Google Scholar] [CrossRef]
- R Core Team. R: A Language and Environment for Statistical Computing; R Foundation for Statistical Computing: Vienna, Austria, 2019; Available online: https://www.R-project.org/ (accessed on 17 September 2019).
- Bates, D.; Maechler, M.; Bolker, B.; Walker, S. Fitting Linear Mixed-Effects Models Using lme4. J. Stat. Softw. 2015, 67, 1–48. [Google Scholar] [CrossRef]
- Fox, J.; Weisberg, S. An {R} Companion to Applied Regression, 3rd ed.; Sage: Thousand Oaks, CA, USA, 2019. [Google Scholar]
- Vorel, C.A.; Pitts-Singer, T.L. The proboscis extension reflex not elicited in Megachilidae bees. J. Kans. Entomol. Soc. 2010, 83, 80–83. [Google Scholar] [CrossRef]
- Abramson, C.I.; Sokolowski, M.B.C.; Brown, E.A.; Pilard, S. The effect of pymetrozine (Plenum WG-50) on proboscis extension conditioning in honey bees (Apis mellifera: Hybrid var. Buckfast). Ecotoxicol. Environ. Saf. 2012, 78, 287–295. [Google Scholar] [CrossRef]
- Ma, C.; Kessler, S.; Simpson, A.; Wright, G. A novel behavioral assay to investigate gustatory responses of individual, freely-moving bumble bee (Bombus terrestris). J. Vis. Exp. 2016, 113, e54233. [Google Scholar] [CrossRef]
- Muth, F.; Cooper, T.R.; Bonilla, R.F.; Leonard, A.S. A novel protocol for studying bee cognition in the wild. Methods Ecol. Evol. 2018, 9, 78–87. [Google Scholar] [CrossRef]
- Von Frisch, K. The Dance Language and Orientation of Bees; Harvard University Press: Cambridge, MA, USA, 1967. [Google Scholar]
- Wenner, A.M.; Wells, P.H.; Johnson, D.L. Honey Bee Recruitment to Food Sources: Olfaction or Language? Science 1969, 164, 84–86. [Google Scholar] [CrossRef] [PubMed]
- Farina, W.M.; Grüter, C.; Díaz, P.C. Social learning of floral odours inside the honeybee hive. Proc. R. Soc. B Biol. Sci. 2005, 272, 1923–1928. [Google Scholar] [CrossRef] [PubMed]
- Farina, W.M.; Grüter, C.; Acosta, L.; Mc Cabe, S.I. Honeybees learn floral odors while receiving nectar from foragers within the hive. Naturwissenschaften 2007, 94, 55–60. [Google Scholar] [CrossRef] [PubMed]
- Grüter, C.; Acosta, L.E.; Farina, W.M. Propagation of olfactory information within the honeybee hive. Behav. Ecol. Sociobiol. 2006, 60, 707–715. [Google Scholar] [CrossRef]
- Varnon, C.A.; Dinges, C.W.; Black, T.E.; Wells, H.; Abramson, C.I. Failure to Find Ethanol-Induced Conditioned Taste Aversion in Honey Bees (Apis mellifera L.). Alcohol. Clin. Exp. Res. 2018, 42, 1260–1270. [Google Scholar] [CrossRef] [PubMed]
- Ragusso, R.A.; Levin, R.A.; Foose, S.E.; Holmberg, M.W.; McDade, L.A. Fragance chemistry, nocturnal rhytms and pollination ‘Syndromes’ in Nicotiana. Phytochemistry 2003, 63, 265–284. [Google Scholar] [CrossRef]
- Ragusso, R.A. Why are some floral nectars scented? Ecology 2004, 85, 1486–1494. [Google Scholar] [CrossRef]
- Ragusso, R.A. The “Invisible Hand” of floral chemistry. Science 2008, 321, 1163–1164. [Google Scholar] [CrossRef]
- Kessler, D.; Gase, K.; Baldwin, I.T. Field experiments with transformed plants reveal the sense of floral scents. Science 2008, 321, 1200–1202. [Google Scholar] [CrossRef]
- Vannette, R.L.; Fukami, T. Nectar bacteria, but not yeast, weaken a plant-pollinator mutualism. Proc. R. Soc. B 2013, 280, 20122601. [Google Scholar] [CrossRef] [PubMed]
- Junker, R.R.; Tholl, D. Volatile organic compound mediated interactions at the plant-microbe interface. J. Chem. Ecol. 2013, 39, 810–825. [Google Scholar] [CrossRef] [PubMed]
- Good, A.P.; Gauthier, M.-P.L.; Vannete, R.L.; Fukami, T. Honey bees avoid nectar colonized by three bacterial species, but not by a yeast species, isolated from the bee gut. PLoS ONE 2014, 9, e86494. [Google Scholar] [CrossRef] [PubMed]
- Balamurali, G.S.; Nicholls, E.; Somanathan, H.; de Ibarra, N.H. A comparative analysis of color preferences in temperate and tropical social bees. Sci. Nat. 2018, 15, 8. [Google Scholar] [CrossRef]
- Schiestl, F.P.; Dötterl, S. The evolution of floral scent and olfactory preferences in pollinators, coevolution or pre-existing bias? Evolution 2012, 66, 2042–2055. [Google Scholar] [CrossRef]
- Dukas, R. Evolutionary ecology of learning. In Cognitive Ecology: The Evolutionary Ecology of Information Processing and Decision Making, 1st ed.; Dukas, R., Ed.; The University of Chicago Press: Chicago, IL, USA, 1998; pp. 143–174. [Google Scholar]
- Kerr, B.; Feldman, W. Carving the cognitive niche: Optimal earning strategies in homogenous and heterogenous environments. J. Theor. Biol. 2003, 220, 169–189. [Google Scholar] [CrossRef]
- von Frisch, K. Über den Geruchssinn der Bienen und seine blütenbiologische Bedeutung. Zool. Jahrb. Phys. 1919, 37, 1–238. [Google Scholar]
- Knudsen, J.T.; Tollsten, L.; Bergström, L.G. Floral scents—A checklist of volatile compounds isolated by head-space techniques. Int. J. Plant Biochem. 1993, 33, 253–280. [Google Scholar] [CrossRef]
- Slaa, E.J.; Tack, A.J.M.; Sommeijer, M.J. The effect of intrinsic and extrinsic factors on flower constancy in stingless bees. Apidologie 2003, 34, 457–468. [Google Scholar] [CrossRef]
- Gentry, A.H. Flowering phenology and diversity in tropical Bignoniaceae. Biotropica 1974, 6, 64–68. [Google Scholar] [CrossRef]
- Nates-Parra, G. Abejas Hymenoptera: Apidae: Libro rojo de los Invertebrados Terrestres de Colombia; Amat, G.G., Andrade, M.G., Eds.; Instituto de Ciencias Naturales, Universidad Nacional de Colombia, Conservación Internacional, Colombia, Instituto A. von Humboldt, Ministerio de Ambiente, Vivienda y Desarrollo Territorial: Bogotá, Colombia, 2007; pp. 144–179. [Google Scholar]




| Experiment Number | Experiment Code | Bee Sample (n Size) | Conditioned Stimulus (CS) SCENT | Unconditioned Stimulus (US) REWARD | Previous Scent–Reward Experience | |||
|---|---|---|---|---|---|---|---|---|
| Day 1 | Day 2 | Day 1 | Day 2 | Day 1 | Day 2 | |||
| 1 | MMU | 9 | 9 | M | M | U | U | Same |
| 2 | GGU | 11 | 9 | G | G | U | U | Same |
| 3 | MMS | 9 | 9 | M | M | S | S | Same |
| 4 | GGS | 10 | 4 | G | G | S | S | Same |
| 5 | MGU | 10 | 8 | M | G | U | U | Different |
| 6 | GMU | 11 | 11 | G | M | U | U | Different |
| 7 | GMS | 12 | 11 | G | M | S | S | Different |
| 8 | MGS | 11 | 11 | M | G | S | S | Different |
| Parameter | Estimate | Standard Error | p-Value |
|---|---|---|---|
| (Intercept) | −3.2982 | 0.6096 | <0.0001 |
| Trials | 0.6948 | 0.1080 | <0.0001 |
| Reward_Unscented | −2.9399 | 0.6415 | <0.0001 |
| Odor | −1.3128 | 0.5529 | <0.05 |
| Parameter | Estimate | Standard Error | p-Value |
|---|---|---|---|
| (Intercept) | −5.5531 | 1.1041 | <0.0001 |
| Trials | 0.8618 | 0.1755 | <0.0001 |
| Experience_Same | 5.6107 | 1.3137 | <0.0001 |
| Odor_Mango | −1.6141 | 0.8397 | ns |
| Trials:Experience_Same | −0.6227 | 0.2128 | <0.01 |
© 2019 by the authors. Licensee MDPI, Basel, Switzerland. This article is an open access article distributed under the terms and conditions of the Creative Commons Attribution (CC BY) license (http://creativecommons.org/licenses/by/4.0/).
Share and Cite
Amaya-Márquez, M.; Tusso, S.; Hernández, J.; Jiménez, J.D.; Wells, H.; I. Abramson, C. Olfactory Learning in the Stingless Bee Melipona eburnea Friese (Apidae: Meliponini). Insects 2019, 10, 412. https://doi.org/10.3390/insects10110412
Amaya-Márquez M, Tusso S, Hernández J, Jiménez JD, Wells H, I. Abramson C. Olfactory Learning in the Stingless Bee Melipona eburnea Friese (Apidae: Meliponini). Insects. 2019; 10(11):412. https://doi.org/10.3390/insects10110412
Chicago/Turabian StyleAmaya-Márquez, Marisol, Sergio Tusso, Juan Hernández, Juan Darío Jiménez, Harrington Wells, and Charles I. Abramson. 2019. "Olfactory Learning in the Stingless Bee Melipona eburnea Friese (Apidae: Meliponini)" Insects 10, no. 11: 412. https://doi.org/10.3390/insects10110412
APA StyleAmaya-Márquez, M., Tusso, S., Hernández, J., Jiménez, J. D., Wells, H., & I. Abramson, C. (2019). Olfactory Learning in the Stingless Bee Melipona eburnea Friese (Apidae: Meliponini). Insects, 10(11), 412. https://doi.org/10.3390/insects10110412

