The Invasion of the Dwarf Honeybee, Apis florea, along the River Nile in Sudan
Abstract
1. Introduction
2. Materials and Methods
2.1. A. florea Worker Samples
2.2. A. mellifera Samples
2.3. Estimation of Population Density
2.4. Genetic Structure of A. florea and A. mellifera Populations
- (1)
 - the number of observed matings, ko, which underestimates the actual number of matings due to finite sample sizes,
 - (2)
 - the estimated physical number of matings, ke, as given in Cornuet and Aries [51], to correct for differences in sample sizes, and
 - (3)
 - the number of effective males, me [52], which is based on the intracolonial relatedness among workers.
 
3. Results
3.1. Polyandry
3.2. Colony Density
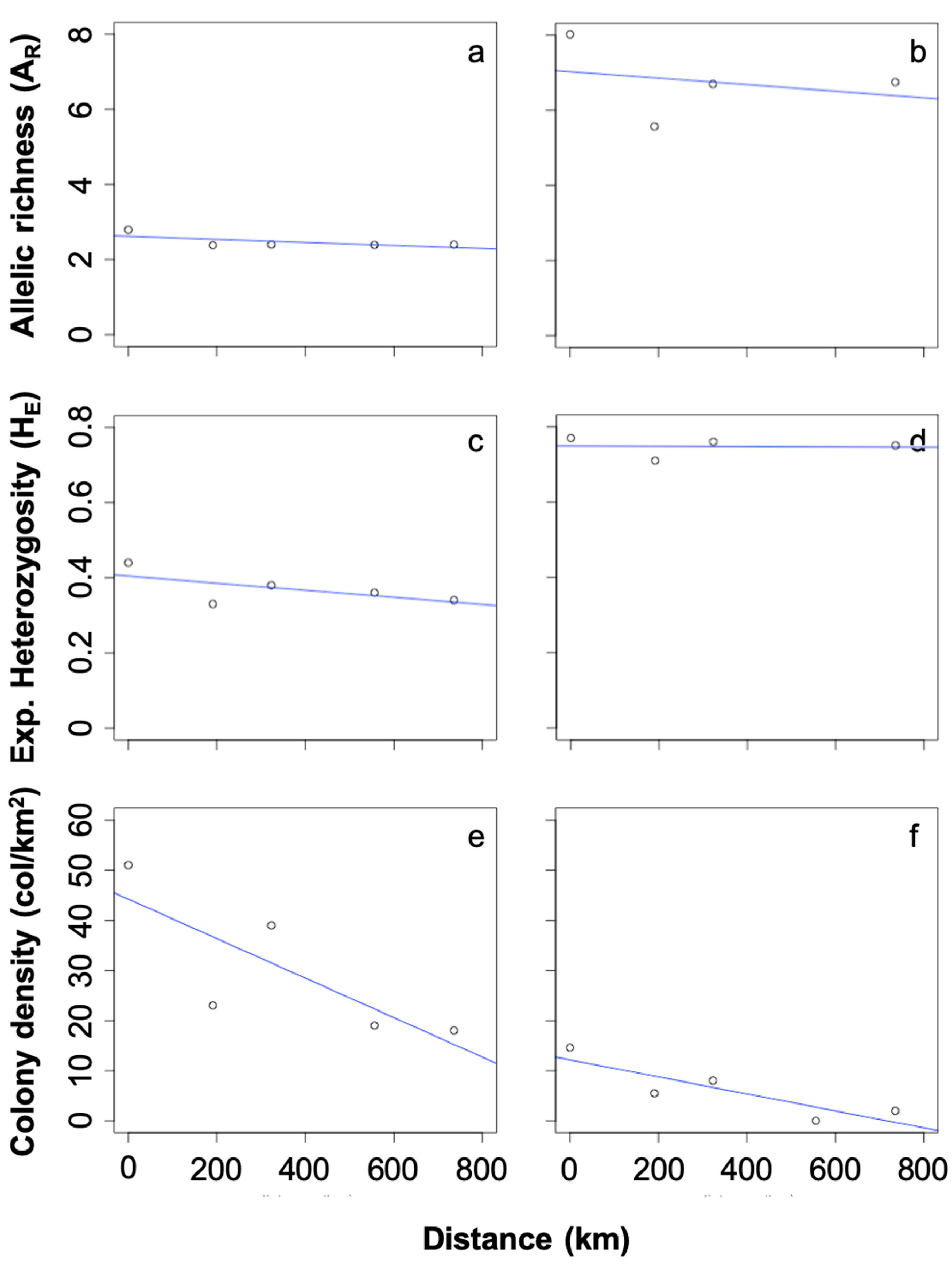
3.3. Population Genetic Structure
3.4. Estimation of the Number of A. florea Colonies Introduced to Khartoum
4. Discussion
Population Genetic Structure
5. Conclusions
Author Contributions
Funding
Acknowledgments
Conflicts of Interest
References
- Mack, R.N.; Simberloff, D.; Lonsdale, W.M.; Evans, H.; Clout, M.; Bazzaz, F.A. Biotic Invasions: Causes, Epidemiology, Global Consequences, and Control. Ecol. Appl. 2000, 10, 689–710. [Google Scholar] [CrossRef]
 - Kolar, C.S.; Lodge, D.M. Progress in invasion biology: Predicting invaders. Trends Ecol. Evol. 2001, 16, 199–204. [Google Scholar] [CrossRef]
 - Lee, C.E. Evolutionary genetics of invasive species. Trends Ecol. Evol. 2002, 17, 386–391. [Google Scholar] [CrossRef]
 - Prentis, P.J.; Wilson, J.R.U.; Dormontt, E.E.; Richardson, D.M.; Lowe, A.J. Adaptive evolution in invasive species. Trends Plant Sci. 2008, 13, 288–294. [Google Scholar] [CrossRef] [PubMed]
 - Estoup, A.; Ravigné, V.; Hufbauer, R.; Vitalis, R.; Gautier, M.; Facon, B. Is There a Genetic Paradox of Biological Invasion? Annu. Rev. Ecol. Syst. 2016, 47, 51–72. [Google Scholar] [CrossRef]
 - Pedersen, J.S.; Krieger, M.J.; Vogel, V.; Giraud, T.; Keller, L. Native supercolonies of unrelated individuals in the invasive Argentine ant. Evolution 2006, 60, 782–791. [Google Scholar] [CrossRef] [PubMed]
 - Roman, J.; Darling, J.A. Paradox lost: Genetic diversity and the success of aquatic invasions. Trends Ecol. Evol. 2007, 22, 454–464. [Google Scholar] [CrossRef] [PubMed]
 - Arnett, R.H. American Insects: A Handbook of the Insects of America North of Mexico; Van Nostran Reinhold Company Ltd.: New York, NY, USA, 1985. [Google Scholar]
 - Global Invasive Species Database. Available online: http://www.iucngisd.org/gisd/search.php (accessed on 1 March 2019).
 - Ross, K.G.; Shoemaker, D.D. Estimation of the number of founders of an invasive pest insect population: The fire ant Solenopsis invicta in the USA. Proc. R. Soc. B 2008, 275, 2231–2240. [Google Scholar] [CrossRef] [PubMed]
 - Giraud, T.; Pedersen, J.S.; Keller, L. Evolution of supercolonies: The Argentine ants of southern Europe. Proc. Natl. Acad. Sci. USA 2002, 99, 6075–6079. [Google Scholar] [CrossRef]
 - Michener, C.D. The Social Behavior of the Bees: A Comparative Study, 2nd ed.; Harvard University Press: Cambridge, MA, USA, 1974; p. 404. [Google Scholar]
 - Ruttner, F. Biogeography and Taxonomy of Honeybees; Springer: Berlin/Heidelberg, Germany; New York, NY, USA, 1988. [Google Scholar]
 - Oldroyd, B.P.; Wongsiri, S. Asian Honey Bees. Biology, Conservation and Human Interactions; Harvard University Press: Cambridge, MA, USA, 2006. [Google Scholar]
 - Moritz, R.F.A.; Härtel, S.; Neumann, P. The western honeybee (A. mellifera L.): An invasive species? Ecoscience 2005, 12, 289–301. [Google Scholar] [CrossRef]
 - Koetz, A.H. Ecology, behaviour and control of Apis cerana with a focus on relevance to the Australian incursion. Insects 2013, 4, 558–592. [Google Scholar] [CrossRef] [PubMed]
 - Hall, H.G.; Zettel-Nalen, C.; Ellis, J.D. African Honey Bee: What You Need to Know; University of Florida, Institute of Food and Agricultural Sciences Extension: Gainesville, FL, USA, 2014. [Google Scholar]
 - Winston, M.L. The biology and management of Africanized Honeybees. Annu. Rev. Entomol. 1992, 37, 173–193. [Google Scholar] [CrossRef]
 - Roubik, D.W. Experimental community sudies. Time series test of Competitive between neotropical pollinators and Africanized honeybees. Ecology 1983, 64, 971–978. [Google Scholar] [CrossRef]
 - Aizen, M.A.; Morales, C.L.; Morales, J.M. Invasive Mutualists Erode Native Pollination Webs. PLoS Biol. 2008, 6, e31. [Google Scholar] [CrossRef]
 - Sakagami, S.F. Some interspecific relations between Japanese and European honeybees. J. Anim. Ecol. 1959, 28, 51–68. [Google Scholar] [CrossRef]
 - Li, W. Introducing Apis mellifera threatens Apis cerana. J. Bee 1998, 23, 4–6. (In Chinese) [Google Scholar]
 - Akratanakul, P.; Burgett, M. Varroa jacobsoni: A prospective pest of honeybees in many parts of the world. Bee World 1975, 56, 119–120. [Google Scholar] [CrossRef]
 - Crane, E. The Varroa mite. Bee World 1978, 59, 164. [Google Scholar] [CrossRef]
 - Beaurepaire, A.L.; Truong, T.A.; Fajardo, A.C.; Dinh, T.Q.; Cervancia, C.; Moritz, R.F.A. Host specificity in the honeybee parasitic mite, Varroa spp. in Apis mellifera and Apis cerana. PLoS ONE 2015, 10. [Google Scholar] [CrossRef]
 - Wilfert, L.; Long, G.; Leggett, H.C.; Schmid-Hempel, P.; Butlin, R.; Martin, S.J.; Boots, M. Deformed wings virus is a recent global epidemic in honeybees driven by Varroa mites. Science 2016, 351, 594–597. [Google Scholar] [CrossRef]
 - Lord, W.G.; Nagi, S.K. Apis florea discovered in Africa. Bee World 1987, 68, 39–40. [Google Scholar] [CrossRef]
 - Mogga, J.; Ruttner, F. Apis florea in Africa: Source of the founder population. Bee World 1988, 69, 100–103. [Google Scholar] [CrossRef]
 - Hepburn, H.R.; Radloff, S.E.; Otis, G.W.; Fuchs, S.; Verma, L.R.; Ken, T.; Chaiyawong, T.; Tahmasebi, G.; Ebadi, R.; Wongsiri, S. Apis florea: Morphometrics, classification and biogeography. Apidologie 2005, 36, 359–376. [Google Scholar] [CrossRef]
 - Haddad, N.J.; De Miranda, J.; Bataeneh, A. The discovery of Apis florea in Aqaba, Jordan. J. Apic. Res. 2008, 47, 172–173. [Google Scholar] [CrossRef]
 - Moritz, R.F.A.; Haddad, N.; Bataieneh, A.; Shalmon, B.; Hefetz, A. Invasion of the dwarf honeybee Apis florea into the near East. Biol. Invasion 2010, 12, 1093–1099. [Google Scholar] [CrossRef]
 - Shebl, M.A. Discovery of Apis florea colonies in northeastern Egypt. Afr. Entomol. 2017, 25, 248–249. [Google Scholar] [CrossRef]
 - Akratanakul, P. Beekeeping in Asia; Food and Agriculture Organisation of the United Nations: Rome, Italy, 1990. [Google Scholar]
 - Koeniger, N. Interspecific competition between Apis florea and Apis mellifera in tropics. Bee World 1976, 57, 110–112. [Google Scholar] [CrossRef]
 - Chahal, B.S.; Brar, H.S.; Gatoria, G.S.; Jhajj, H.S. Aggressive behavior of Apis florea towards Apis mellifera in hive robbing and in foraging. J. Apic. Res. 1986, 25, 134–138. [Google Scholar] [CrossRef]
 - El-Niweiri, M.A.A.; El-Sarrag, M.S.A.; Satti, A.A. Detection, distribution and incidences of insect pests and predators of honeybees (Apis mellifera L.) in Sudan. Albuhuth 2005, 9, 104–122. [Google Scholar]
 - Akratanakul, P.; Burgett, M. Euvarroa sinhai Delfinado and Baker (Acarina: Mesostigmata) a parasitic mite of Apis florea. J. Apic. Res. 1976, 15, 11–13. [Google Scholar] [CrossRef]
 - Koeniger, N. Coevolution of honey bees and their parasitic mites. In The 11th International Congress; IUSSI: New Delhi, India, 1990; Volume 11, pp. 130–131. [Google Scholar]
 - Goulson, D. Effects of introduced bees on native ecosystems. Annu. Rev. Ecol. Evol. Syst. 2003, 34, 1–26. [Google Scholar] [CrossRef]
 - Moritz, R.F.A.; Dietemann, V.; Crewe, R.M. Determining colony densities in wild honeybee populations (A. mellifera) with linked microsatellite DNA markers. J. Insect Conserv. 2007, 11, 391–397. [Google Scholar] [CrossRef]
 - Walsh, P.S.; Metzger, D.A.; Higuchi, R. Chelex 100© as a medium for simple extraction of DNA for PCR-based typing from forensic material. Biotechniques 1991, 10, 506–513. [Google Scholar] [CrossRef] [PubMed]
 - Kraus, F.B.; Koeniger, N.; Tingek, S.; Moritz, R.F.A. Using drones for estimating colony number by microsatellite DNA analyses of haploid males in Apis. Apidologie 2005, 36, 223–229. [Google Scholar] [CrossRef][Green Version]
 - Oldroyd, B.P.; Smolenski, A.J.; Cornuet, J.; Wongsiri, S.; Estoup, A.; Rinderer, T.E.; Crozier, R.H. Levels of polyandry and intracolonial genetic relationships in Apis florea. Behav. Ecol. Sociobiol. 1995, 37, 329–335. [Google Scholar] [CrossRef]
 - Palmer, K.A.; Oldroyd, B.P. Mating frequency in A. florea revisited (Hymenoptera, Apidae). Insects Soc. 2001, 48, 40–43. [Google Scholar] [CrossRef]
 - Williams, J.L. Wind-directed pheromone trap for drone honey bees (Hymenoptera: Apidae). J. Econ. Entomol. 1987, 80, 532–536. [Google Scholar] [CrossRef]
 - Lattorff, H.M.G.; Moritz, R.F.A.; Crewe, R.M.; Solignac, M. Control of reproductive dominance by the thelytoky gene in honeybees. Biol. Lett. 2007, 3, 292–295. [Google Scholar] [CrossRef]
 - Shaibi, T.; Lattorff, H.M.G.; Moritz, R.F.A. A microsatellite DNA toolkit for studying population structure in Apis mellifera. Mol. Ecol. Res. 2008, 8, 1034–1036. [Google Scholar] [CrossRef]
 - Burgett, D.M.; Titayavan, M. Apis florea drone flights: Duration, temporal period and inter-flight period. J. Apic. Res. 2005, 44, 36–37. [Google Scholar] [CrossRef]
 - Buawangpang, N.; Sukumalanand, P.; Burgett, M. Apis florea drone flight: Longevity and flight performance. Apidologie 2008, 40, 20–25. [Google Scholar] [CrossRef]
 - Koeniger, N.; Koeniger, G.; Wongsiri, S. Mating and sperm transfer in Apis florea. Apidologie 1989, 21, 413–418. [Google Scholar] [CrossRef]
 - Cornuet, J.M.; Aries, F. Number of sex alleles in a sample of honeybee colonies. Apidologie 1980, 11, 87–93. [Google Scholar] [CrossRef][Green Version]
 - Pamilo, P. Polyandry and allele frequency differences between the sexes in the ant Formica aquilonia. Heredity 1993, 70, 472–480. [Google Scholar] [CrossRef]
 - Nei, M. Molecular Evolutionary Genetics; Columbia University Press: New York, NY, USA, 1987. [Google Scholar]
 - Goudet, J. FSTAT, a program to estimate and test gene diversities and fixation indices (version 2.9.3). Heredity 2001, 86, 485–486. [Google Scholar] [CrossRef]
 - Weir, B.S.; Cockerham, C.C. Estimating F-statistics for the analysis of population structure. Evolution 1984, 38, 1358–1370. [Google Scholar] [PubMed]
 - Raymond, M.; Rousset, F. An exact test for population differentiation. Evolution 1995, 49, 1280–1283. [Google Scholar] [CrossRef]
 - Raymond, M.; Rousset, F. GENEPOP (version 1.2): Population genetics software for exact tests and ecumenicism. Heredity 1995, 86, 248–249. [Google Scholar] [CrossRef]
 - Schlüns, H.; Moritz, R.F.A.; Lattorff, H.M.G.; Koeniger, G. Paternity skew in seven species of honeybees (Hymenoptera: Apidae: Apis). Apidologie 2005, 36, 201–209. [Google Scholar] [CrossRef][Green Version]
 - El Shafie, H.A.F.; Mogga, J.B.B.; Basedow, T. Studies on the possible competition for pollen between the honey bee, A. mellifera sudanensis, and the imported dwarf honey bee A. florea (Hym., Apidae) in North-Khartoum (Sudan). J. Appl. Entomol. 2002, 126, 557–562. [Google Scholar] [CrossRef]
 - El-Niweiri, M.A.A.; El-Sarrag, M.S.A. Detection of the parasitic Mite (Varroa jacobsoni) of honeybees Apis mellifera in Sudan. Albuhuth 2006, 10, 60–75. [Google Scholar]
 - El-Niwieri, M.A.A.; Moritz, R.F.A. Mitochondrial discrimination of honeybees (Apis mellifera) of Sudan. Apidologie 2008, 39, 566–573. [Google Scholar] [CrossRef]
 - Lattorff, H.M.G.; Moritz, R.F.A. Genetic underpinnings of division of labor in the honeybee (Apis mellifera). Trends Genet. 2013, 29, 641–648. [Google Scholar] [CrossRef] [PubMed]
 - Gloag, R.; Ding, G.; Christie, J.R.; Buchmann, G.; Beekman, M.; Oldroyd, B.P. An invasive social insect overcomes genetic load at the sex locus. Nat. Ecol. Evol. 2016, 1, 0011. [Google Scholar] [CrossRef] [PubMed]
 - Ding, G.; Xu, H.; Oldroyd, B.P.; Gloag, R. Extreme polyandry aids the establishment of invasive populations of a social insect. Heredity 2017, 119, 381–387. [Google Scholar] [CrossRef]
 



| A. florea. | |||||||||
| Location | N | Distance to Khartoum (km) | ke | AR | col/km2 | HE | n | North | East | 
| Khartoum | 4 | 0 | 11.5 ± 1.5 | 2.79 | 51.0 | 0.44 | 32 | 15°35′ | 32°32′ | 
| Shendi | 4 | 191.2 | 8.7 ± 1.3 | 2.38 | 23.0 | 0.33 | 25 | 16°42′ | 33°26′ | 
| Adbera | 4 | 323.2 | 7.0 ± 2.4 | 2.40 | 39.0 | 0.38 | 25 | 17°41′ | 33°58′ | 
| Abu Hamad | 4 | 555.9 | 6.2 ± 1.1 | 2.39 | 19.0 | 0.36 | 16 | 19°31′ | 33°19′ | 
| Marawi | 4 | 753.8 | 6.2 ± 0.1 | 2.40 | 18.0 | 0.34 | 20 | 18°28′ | 31°49′ | 
| Total | 20 | 118 | |||||||
| Mean ± SE | 7.9 ± 0.9 | 2.47 ± 0.09 | 30.0 ± 7.2 | 0.37 ± 0.02 | |||||
| A. mellifera | |||||||||
| Khartoum | 4 | 0 | 16.5 ± 1.4 | 8.02 | 14.6 | 0.79 | 58 | 15°35′ | 32°32′ | 
| Shendi | 4 | 191.2 | 13.0 ± 1.2 | 5.57 | 5.5 | 0.71 | 52 | 16°42′ | 33°26′ | 
| Adbera* | n.a. | 323.2 | n.a. | 6.70 | 8.0 | 0.76 | 72 | 17°41′ | 33°58′ | 
| Abu Hamad | n.a. | 555.9 | n.a. | n.a. | n.a. | n.a. | n.a. | 19°31′ | 33°19′ | 
| Marawi | 2 | 753.8 | 14.7 ± 1.7 | 6.75 | 2.0 | 0.75 | 60 | 18°28′ | 31°49′ | 
| Total | 10 | 182 | |||||||
| Mean ± SE | 14.8 ± 1.8 | 6.8 ± 1.001 | 7.5 ± 5.3 | 0.75 ± 0.03 | |||||
| Thailand Population | ||||||
|---|---|---|---|---|---|---|
| Locus Name | Number of Alleles in Each Colony | |||||
| 1 | 2 | 3 | 4 | 5 | Mean | |
| A76 | 2 | 1 | 1 | 1 | 1 | 1.20 | 
| A88 | 4 | 2 | 3 | 2 | 2 | 2.60 | 
| A107 | 3 | 3 | 2 | 3 | 3 | 2.80 | 
| Mean ± SE | 3 | 2 | 2 | 2 | 2 | 2.20 ± 0.50 | 
| Khartoum Population | ||||||
| A76 | 3 | 2 | 2 | 3 | 2.50 | |
| A88 | 2 | 3 | 1 | 2 | 2.00 | |
| A107 | 3 | 3 | 3 | 2 | 2.75 | |
| Mean ± SE | 2.66 | 2.66 | 2 | 2.33 | 2.42 ± 0.22 | |
| Sudan:Number of Alleles in Each Location | ||||||
| Khartoum | Shendi | Adbera | Abu-Hamad | Marawi | Mean | |
| A76 | 3 | 3 | 3 | 3 | 3 | 3.00 | 
| A88 | 3 | 2 | 2 | 2 | 2 | 2.20 | 
| A107 | 3 | 3 | 3 | 3 | 3 | 3.00 | 
| Mean ± SE | 3 | 2.66 | 2.66 | 2.66 | 2.66 | 2.73 ± 0.22 | 
© 2019 by the authors. Licensee MDPI, Basel, Switzerland. This article is an open access article distributed under the terms and conditions of the Creative Commons Attribution (CC BY) license (http://creativecommons.org/licenses/by/4.0/).
Share and Cite
El-Niweiri, M.A.A.; Moritz, R.F.A.; Lattorff, H.M.G. The Invasion of the Dwarf Honeybee, Apis florea, along the River Nile in Sudan. Insects 2019, 10, 405. https://doi.org/10.3390/insects10110405
El-Niweiri MAA, Moritz RFA, Lattorff HMG. The Invasion of the Dwarf Honeybee, Apis florea, along the River Nile in Sudan. Insects. 2019; 10(11):405. https://doi.org/10.3390/insects10110405
Chicago/Turabian StyleEl-Niweiri, Mogbel A. A., Robin F. A. Moritz, and H. Michael G. Lattorff. 2019. "The Invasion of the Dwarf Honeybee, Apis florea, along the River Nile in Sudan" Insects 10, no. 11: 405. https://doi.org/10.3390/insects10110405
APA StyleEl-Niweiri, M. A. A., Moritz, R. F. A., & Lattorff, H. M. G. (2019). The Invasion of the Dwarf Honeybee, Apis florea, along the River Nile in Sudan. Insects, 10(11), 405. https://doi.org/10.3390/insects10110405
        
