Abstract
Lubricants are essential to machinery life, as they play a crucial role in controlling and diminishing the friction and wear between moving parts when operated under extreme conditions. To this end, due to tight environmental conditions, manufacturers are looking for alternative solid lubricants to be dispersed in base liquid lubricants. MoS2 and graphene are solid lubricants that provide low frictional properties and high thermal stability in both oxidizing and non-oxidizing environments. This research offers a new lubricant with improved thermal conductivity that combines the synergistic effect of graphene and MoS2 in a blend of vegetable oil (peanut) and naphthenic oil. The ratio of peanut oil and naphthenic oil varies from 1:3–3:1. A fixed composition of 4.34 wt.% palm oil methyl ester (POME) is added to enhance the anti-wear property further. Graphene and MoS2 concentrations varied between 1:2–5:2, respectively. This nanoparticle additive oil blend is physically mixed using a water bath sonication for 4 h. The stability of the blend lubricant dispersed with MoS2 and graphene is studied using a UV-Vis spectrophotometer for 25 days. The effect of various concentrations of graphene, MoS2, peanut oil, and naphthenic oil on the thermal conductivity of the nanolubricant is also studied as a function of temperature (25 °C–55 °C). Artificial neural network models were used for the parametric investigation of the nanolubricant. It is found that the stability of the formulated nanolubricant increased with peanut oil composition above 25 wt.%. The results show that the 3:1 blend ratio showed higher stability for hybrid MoS2-based lubricants. Similarly, the highest thermal conductivity is observed for 100 wt.% naphthenic oil with a 1:2 ratio of graphene–MoS2 at 55 °C.
1. Introduction
In all the existing mechanisms, including the manufacturing processes, frictional forces are generated during relative motion, resulting in temperature increase and wear. As a result, lubricants are frequently used to reduce energy loss and wear on machine components. In addition to decreasing friction and wear, lubricants operate as coolants, removing heat and carrying away particulate matter, lowering the need for operational maintenance in the industry [1]. Since the last century, the significance of naphthalene in industrial domains has been recognized. Mineral oils generally do not follow precise tribological principles, resulting in the creation of a diverse spectrum of lubricant-sized molecules with varying tribological properties, with some mineral oils having friction modifiers performing better in reducing the coefficient of friction [2]. Vegetable oils such as peanut oil, on the other hand, have more advantages than petroleum-based oils. Peanut oil is noted for its easy availability and biodegradability, making it an environmentally friendly oil with a long shelf life [3]. Compared to petroleum-based oils, peanut oils (vegetable oils) have a higher viscosity index, meaning viscosity changes slightly with temperature. This makes them ideal for lubricants in various industries, including metalworking [4]. Recent advances in metallic and carbon-nanotube-based nanofluids distributed with changing particle size and shape have been described [4].
However, finding a stable replacement for the existing coolants remains challenging. Graphene, made up of hexagonally organized carbon atoms, has several excellent properties, including excellent thermal conductivity and fracture strength [5,6,7]. Because graphene has high thermal conductivity, it is expected to improve thermal conductivity when dispersed in base fluids. Furthermore, graphene is recognized to be an effective solid lubricant for minimizing friction [8,9,10]. Molybdenum disulfide (MoS2) is a solid lubricant widely used in the industry for various applications, such as equipment services and aircraft engines. It is well-known for its good lubricating characteristics, which are caused by weak van der Waals interactions between the atoms, resulting in a low coefficient of friction in the fluid [11,12]. Studies have shown that molybdenum disulfide (MoS2) is gaining popularity in a variety of applications due to its lubricating qualities [13,14]. The addition of MoS2 to the standard base fluids would dramatically reduce the coefficient of friction. The greater the applied stress, the greater the decline in the coefficient of friction due to the creation of a protective coating from MoS2 [15].
On the other hand, because graphene is recognized for its excellent thermal conductivity and relatively stable atomic structure, this study intends to evaluate the properties of the graphene–MoS2 combination. Based on earlier studies, graphene and MoS2, considered separately, have good lubricating qualities that make them appropriate for various industrial applications [16]. As a result, the physical mixing of graphene and MoS2 is expected to aid in synthesizing and characterizing a superior additive for a liquid lubricant in terms of tribological characteristics and dispersion stability. Several studies have shown that the hydrothermal approach was used to include the development of MoS2 on graphene oxide and the MoS2/GO composites, outperforming pristine MoS2 in terms of electrocatalytic performance [17,18,19]. Therefore, it is envisaged that the beneficial properties of combining both MoS2 and graphene would be revealed to help in industrial applications. Base oils with relatively high chemical stability play major roles as lubricants in lowering coefficients of friction. Palm oil methyl ester (POME), a type of vegetable oil, is created via the transesterification of palm oil. POME is mostly composed of triglycerides, glycerides, fatty acids, and non-glyceride components. POME’s fatty acid composition is recognized to have effective boundary lubrication characteristics, making it suitable for use as an anti-wear additive in most lubricants [20,21]. Another recent study indicated that POME functions as a good anti-wear lubricant additive, with fewer wear scars detected in tribological tests. Because of their lower viscosities, naphthenic oils offer greater cooling characteristics than paraffinic oils [22]. The temperature is inversely related to viscosity: viscosity decreases with the increase in temperature. Hence, lubricating oils with better cooling and lubrication effects would be highly efficient, for example, in metal-cutting tasks [4,23].
The current study focuses on using hybrid graphene–MoS2 nanoparticles dispersed in naphthalene oil and peanut oil, as well as the effect of the hybrid nanoparticles on fluid characteristics. Furthermore, to explore the influence of the parameters on the physicochemical features of the suggested blend, novel soft computation methodologies such as artificial neural network (ANN) models were used [24]. This work will be extremely valuable to the metalworking and lubricant industries in generating more environmentally friendly metal-cutting fluids with improved physico-chemical characteristics.
2. Materials and Methods
This work focuses on the study of graphene and MoS2, which act as solid lubricants to enhance the lubricity of naphthalene and peanut oils used as base fluids in this study.
2.1. Materials
Graphene powdered nanoparticles (diameter: 12 nm, purity: 99.2%) from Graphene Supermarket USA, molybdenum disulphide (MoS2) (100 nm) from Sigma Aldrich, Malaysia, naphthalene oil (refined grade with 95% purity) from Nynas, Sweden, peanut oil (refined grade) from Cold Storage, as well as palm oil methyl ester (POME) (0.1% of free fatty acid) from Excelvite, Malaysia, were used in the preparation of hybrid nanolubricants.
2.2. Synthesis of Hybrid Graphene–MoS2 Nanoparticles
The physical mixing of graphene with MoS2 forms the graphene–MoS2 composite. The mass of graphene and molybdenum disulfide were varied between 1:2 and 5:2 to determine the optimum concentration of graphene–MoS2, which would help to enhance the thermophysical properties of base fluids.
2.3. Sample Preparation
The preparation of the test samples was categorized into a few levels, whereby different solutions were prepared at each level. In the first level of the sample preparation, peanut oil and naphthalene base oil were prepared individually. The second level of sample preparation involved blending peanut and naphthenic oils in different ratios, with a constant concentration of POME (4.34 wt.%). The blending ratios of naphthalene oil and peanut oil are summarized in Table 1. The base fluid samples from the second-level preparation were then brought forward to the third level, where each blending ratio of the base fluids was added with 9 different combinations of graphene–MoS2 concentration, illustrated in Table 2 and Table 3. The nanolubricants prepared were sonicated for 4 h in a water sonication bath at a constant temperature (~25 °C). NL and PL served as base fluids for benchmarking.
Table 1.
Composition of Base Fluid Samples for Second-Level Sample Preparation.
Table 2.
Composition of Samples (MoS2 only) for Third-Level Sample Preparation.
Table 3.
Composition of Samples (graphene and MoS2) for Third-Level Sample Preparation.
2.4. Stability Studies of Graphene–MoS2-Based Hybrid Nanolubricant
A UV spectrophotometer (GENESYS 10S UV-VIS, Waltham, MA, USA) was used to study the dispersion stability of the test samples by observing the absorbance on their wavelength. Visual observation was also performed by monitoring the samples by capturing digital images over 25 days to determine the sedimentation of nanoparticles.
2.5. Thermophysical Property Analysis
A thermal conductivity meter (KD2Pro, Decagon device, Pullman, WA, USA) was utilized to measure the thermal conductivity properties, with a 5–10% accuracy range. KD2 Pro comes with a controller and a sensor inserted into the testing mediums during the experiment. Standard glycerin was used as the reference solution for the experiments. The KS-1 single-needle sensor (diameter: 1.3 mm, length: 60 mm), connected to a microprocessor, was used to measure the thermal conductivity of the fluids. The sensor consists of a heating element and a thermo-resistor on its internal surface and has an accuracy of ±5%. Each sample of 16 mL was placed in a glass vial and held in a water-jacketed glass vessel. The needle probe was placed in the sample bottle to test its thermal conductivity. The samples were tested at 25 °C, 40 °C, and 55 °C.
2.6. Using Artificial Neural Network Models for Parametric Investigation
The experimental data generated were used to develop the artificial neural network models consisting of the input, hidden, and output layers [25]. The parameters were normalized between -1 to 1 (Equation (1)).
where is the normalized value of , and are the minimum and maximum values of , and the values of the hidden nodes were computed using a tangent hyperbolic function (Equation (2)):
The output was calculated by summing up the weighted values from the hidden layer (Equation (3)).
where are the weights and is the bias which governs the prediction of output. Error minimization was carried out by comparing the predicted and actual outputs. The model with the highest regression value was chosen, and the influence of the parameters was identified using sensitivity analysis.
3. Results and Discussions
3.1. Stability Analysis of Nanofluids
Effect of MoS2
Visual observations of the test samples were carried out over 25 days. The samples were well-sonicated before observing the occurrence of the sedimentation process. Figure 1 shows the samples of sedimentation of various nanofluid concentrations after four weeks of observation. Figure 1a shows that the sedimentation of nanoparticles is significant, where nanoparticles and base oils started to separate into two complete layers, indicating that the nanoparticles are dispersed poorly in this combination of base oil concentration [26]. In the samples from Figure 1b, no pristine nanoparticles were observed in the base oils. It could be said that the nanoparticles are relatively well dispersed and have high suspension stability [27]. It can be seen in Figure 1c–e that the nanoparticles are gradually sedimenting to the bottom of the cuvettes, forming relatively clear base oil solution layers at the top.

Figure 1.
Images of nanofluids of various concentrations 25 days after the sonication process. (a) NL1-3, (b) NPL1-3, (c) NPL4-6, (d) NPL7-9, and (e) PL1-3.
A UV spectrophotometer was used to test the absorbance values of the samples throughout a period of 25 days. The samples could be categorized into two main sets, where the first set only consists of MoS2 nanoparticles and the second set consists of both graphene and MoS2. These samples were measured at different wavelengths as the peak wavelength, λmax, obtained for each set of samples varies due to the presence of different nanoparticles (MoS2 only: 276 nm, MoS2 and graphene: 308 nm).
Due to the sedimentation process, the absorbance value of the nanofluids decreases over time. The percentage of the absorbance reduction is illustrated in Figure 2. Figure 2a shows that the MoS2 nanoparticles blended with 100 wt% of naphthalene oil are the least stable, as the reduction in the absorbance value hits up to 90%. From Figure 2b–d, it can be clearly observed that the stability of MoS2 nanoparticles in the oil blend increases with the increase in the peanut oil percentage in the blend. This is due to the steric repulsion force of MoS2 nanoparticles being higher in peanut oil than in naphthenic oil, as the peanut oil is more viscous than the peanut oil. It causes the nanolubricant to be more stable, resulting in a decrease in the absorbance reduction percentage. It is seen that the MoS2 nanoparticle is most stable in 100 wt% of peanut oil and least stable in 100% naphthenic oil.

Figure 2.
Percentage of absorbance reduction for various concentrations of MoS2 with respect to time. (a) NL1-3, (b) NPL1-3, (c) NPL4-6, (d) NPL7-9, (e)PL1-3.
3.2. Thermophysical Property Analysis of Nanofluids
Figure 3 shows the percentage thermal conductivity enhancement of the MoS2 nanolubricant at 40 °C. Based on Figure 3, it can be seen that the higher the concentration of MoS2, the more conducive it is in enhancing the thermal conductivity of the nanolubricant. This trend could be well explained by the Brownian motion, where the nanoparticles tend to collide with each other more frequently at higher concentrations due to the kinetic energy possessed by the elevated temperature [28]. However, the results portrayed in Figure 3 (PL1-3) did not follow the trend mentioned earlier. This was due to the natural behavior of the peanut oil, where the nanoparticles could not be completely mixed in the peanut oil as compared to naphthalene oil. Additionally, it was noticed that the higher concentration of MoS2 contributed to a better thermal conductivity enhancement.
Figure 3.
Thermal conductivity enhancement of various samples at 40 °C.
4. Understanding the Influencing Parameters from Experimental Data Using Artificial Neural Network
The ANN models were developed using experimental data in order to understand the role played by the constituents of the lubricants in controlling the performance. Several ANN models (multi-layered perceptron) were trained. A single hidden layer was used in the models. Suitable models were finalized by varying the nodes in the hidden layer, and the model with the highest regression coefficient (R) was chosen, as shown in Figure 4.

Figure 4.
Scatter plots of ANN models for highest R value: (a) 25 °C; (b) 40 °C; (c) 55 °C; (d) graphene MoS2 at 24 °C; (d) graphene MoS2 at 40 °C; (e) graphene MoS2 at 55 °C.
5. Sensitivity Analysis and Surface Plots
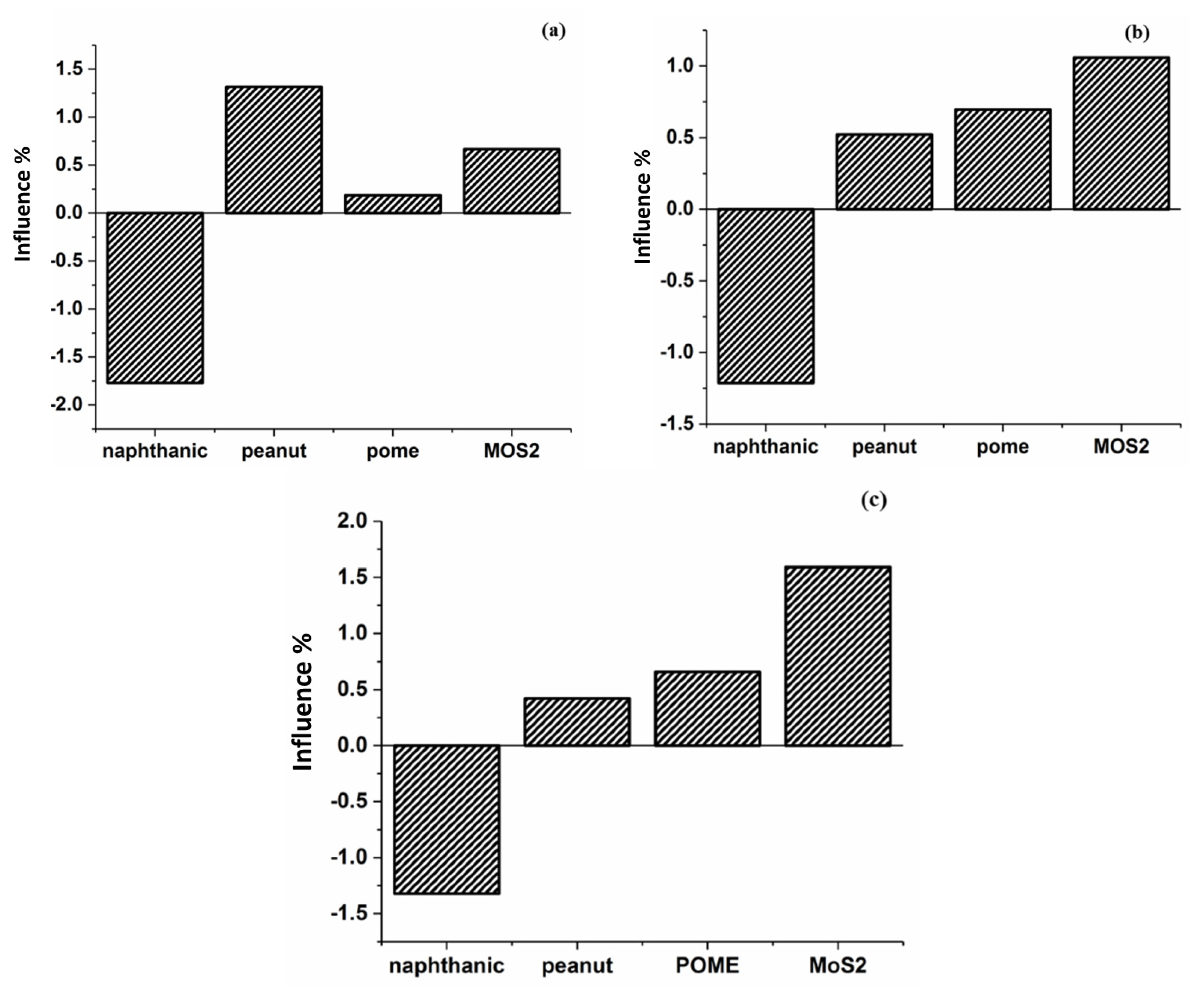
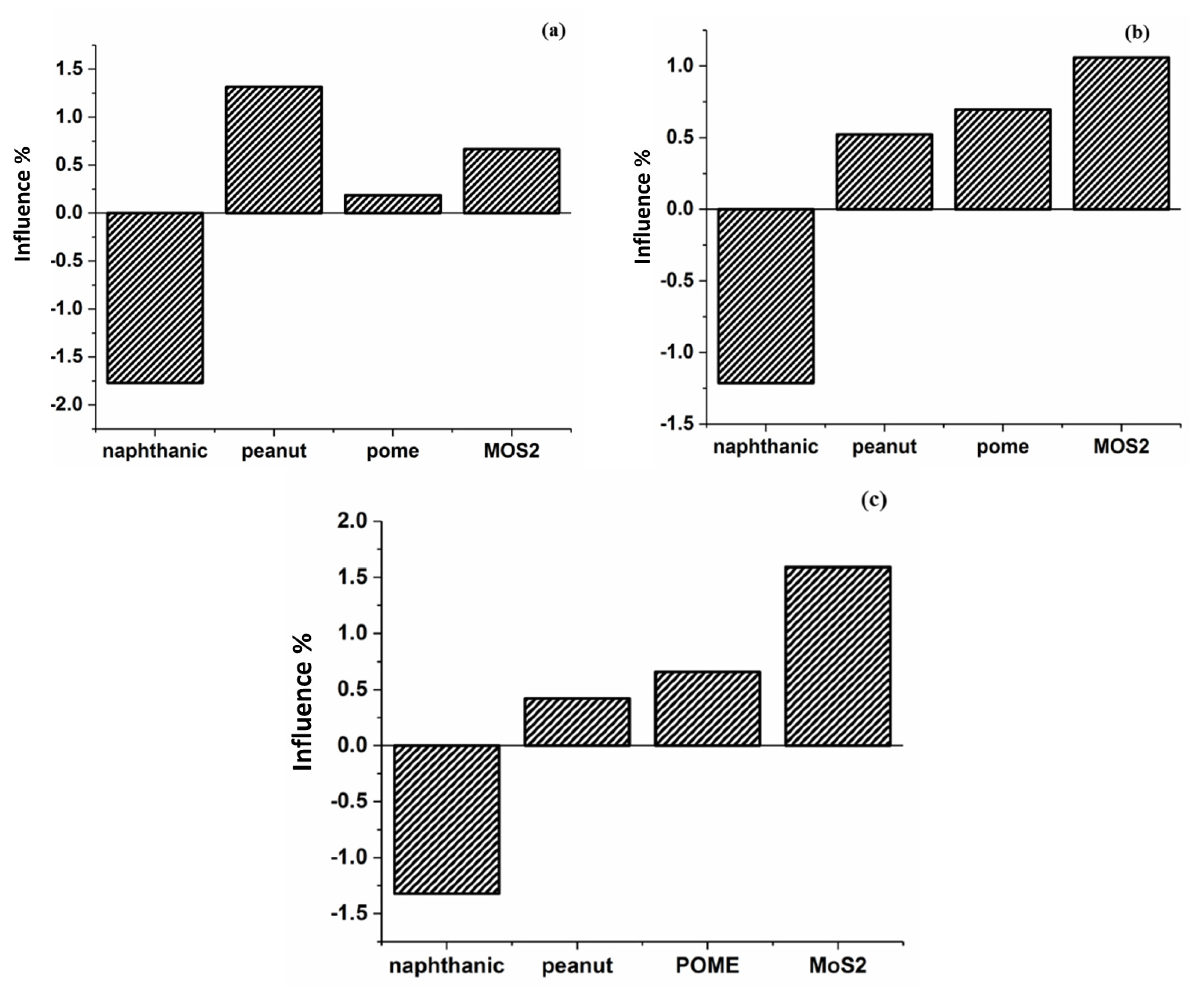
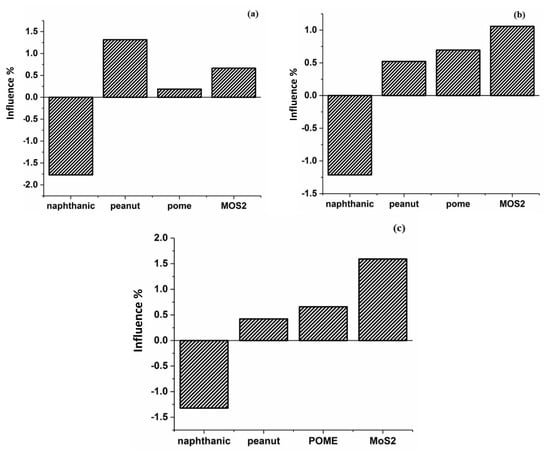
Figure 5 shows the sensitivity analysis of the thermal conductivity at various temperatures. In the case of models which are derived from data, it is important to determine the influential parameters affecting the outputs. However, due to the complex hidden relationships in artificial neural networks, it is not easy to determine the relative importance of the parameters. However, this is made possible using sensitivity analysis. There are several methods of sensitivity analysis; here, the connection weight method was chosen [29,30]. It can be seen that naphthenic oil content exhibits a negative trend at all temperatures, which means the higher the content of naphthenic oil, the lower the thermal conductivity will be. However, the other factors, such as peanut, POME, and MoS2, have a positive Influence, i.e., the higher the content of peanut oil, POME, and MoS2, the higher the thermal conductivity will be. At 25 °C, the peanut oil seems to be more influential than POME and MoS2 (Figure 5a). At 40 °C and 55 °C, MoS2 appears to have a more significant effect than peanut oil and POME. At each temperature, thermal conductivity increases with increasing MoS2 concentration (Figure 5b,c).
Figure 5.
Sensitivity of thermal conductivity at (a) 25 °C, (b) 40 °C, and (c) 55 °C.
At 25 °C, the thermal conductivity decreased with increased naphthenic content (Figure 6a). In comparison, MoS2 and peanut oil seemed to have very marginal changes in thermal conductivity when combined with naphthenic oil at 25 °C (Figure 6b). The presence of peanut oil seems to increase the thermal conductivity at 25 °C (Figure 6c) in the presence of MoS2. Furthermore, at 25 °C, the thermal conductivity increased with the increasing concentration of both MoS2 and peanut oil. Therefore, a combination of MoS2 and peanut oil favors the enhancement of thermal conductivity (Figure 6c). At 40 °C as well as 55 °C, naphthenic oil tends to decrease the thermal conductivity (Figure 6e,g), while peanut oil increases the thermal conductivity at higher concentrations at 40 °C and 55 °C (Figure 6f,i). At 40 °C, an increase in thermal conductivity may be noticed when the concentration of MoS2 is less than 0.1 wt% and the naphthenic oil is less than 50%, but there appears to be an almost negligible change in thermal conductivity until it reaches about 0.1 wt% MoS2 and 50% naphthenic oil (Figure 6d). When both MoS2 and naphthenic oil are high, the thermal conductivity is low. Thus, combining high concentrations of MoS2 and naphthenic oil will deteriorate thermal conductivity. Similar to 25 °C, at 55 °C, a combination of peanut oil and MoS2 would favor thermal conductivity enhancement compared to a combination of MoS2 and naphthenic oil. Since the concentration of POME was constant, the interaction could not be identified accurately. Thus, it can be seen that naphthenic oil acts as a barrier in enhancing thermal conductivity at all temperatures, while MoS2 and POME tend to improve thermal conductivity.

Figure 6.
Surface plots of thermal conductivity at (a–c) 25 °C, (d–f) 40 °C, and (g–i) 55 °C.
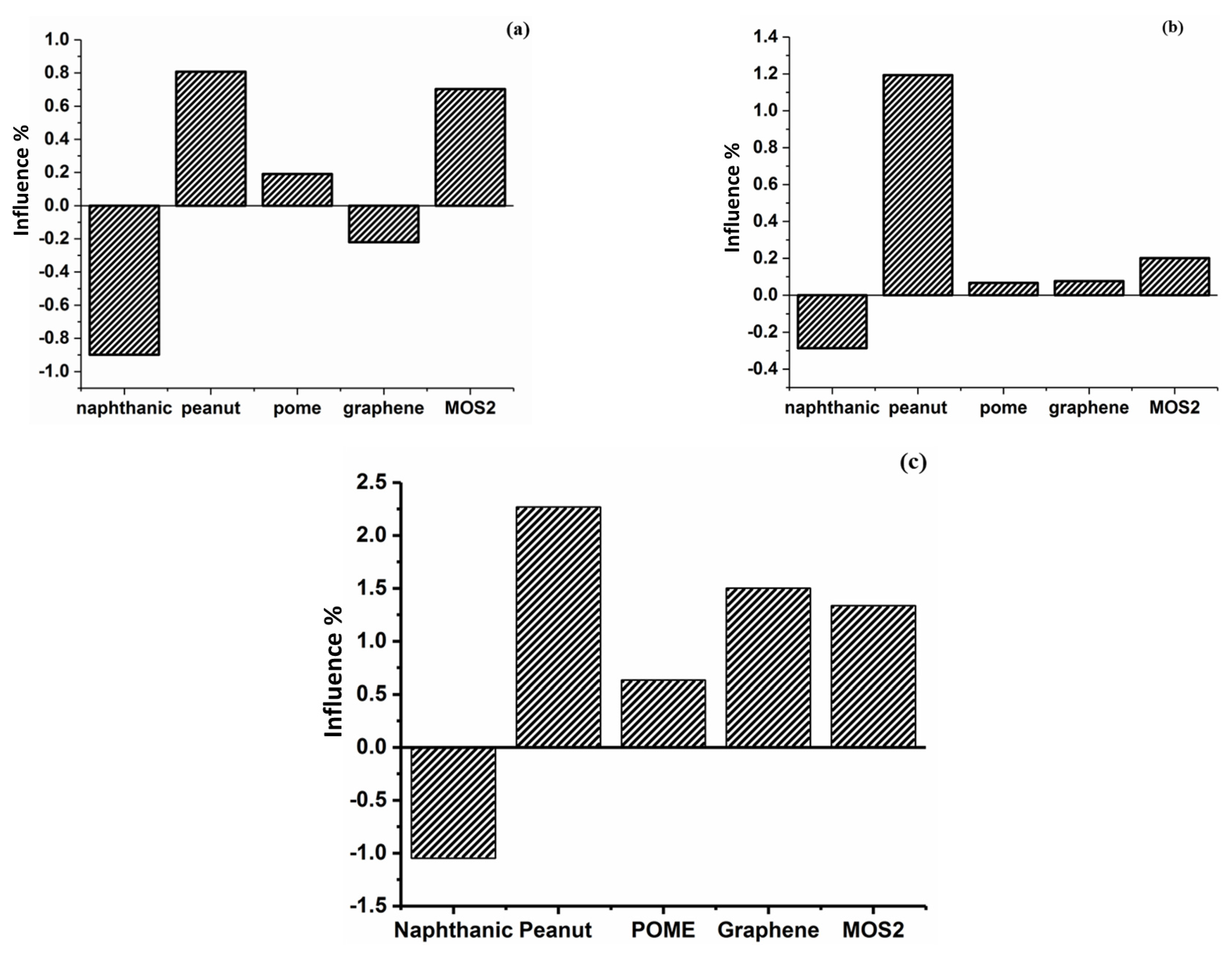
Figure 7 exhibits the sensitivity of the samples which contained graphene and MoS2. Similar to Figure 6, the naphthenic content shows a decreasing trend in thermal conductivity (Figure 7). The profound effect of graphene and MoS2 can be seen at 55 °C, which was not observed at 25 °C and 40 °C. The presence of peanut oil, POME, graphene, and MoS2 increases the thermal conductivity.
Figure 7.
Sensitivity of thermal conductivity at (a) 25 °C, (b) 40 °C, and (c) 55 °C.
As seen in Figure 8a-d, the thermal conductivity also increases with increasing concentrations of MoS2, graphene, and peanut oil. It can further be seen that MoS2 and graphene, when combined, do not affect thermal conductivity after a particular concentration. In this case, no profound effect was observed after MoS2, and graphene concentration was 0.1 wt% (Figure 8a). Similar to Figure 7, naphthenic oil seems to deteriorate the thermal conductivity (Figure 8b). The situation with graphene and peanut oil is similar (Figure 8c). A combination of higher concentrations of graphene–peanut oil and MoS2–peanut oil enhances the thermal conductivity, as seen in Figure 8c,d. The interactions at 40 °C and 55 °C, as seen from Figure 8e–i, exhibit similar patterns as those observed at 25 °C, where naphthenic oil decreases the thermal conductivity and peanut oil, graphene, and MoS2 enhance the thermal conductivity. Thus, it can be seen that the interaction of naphthenic oil and graphene–MoS2 nanoparticle content showed an enhancement in thermal conductivity.


Figure 8.
Sensitivity of thermal conductivity at (a–d) 25 °C, (e–h) 40 °C, and (i–l) 55 °C.
6. Conclusions
In this study, the hybrid graphene–MoS2 was synthesized to enhance the stability and thermal conductivity of the nanolubricant. It is found that the stability of the formulated nanolubricant increased with peanut oil composition above 23.92 wt.%. The results show that the 3:1 blend ratio showed higher stability for hybrid MoS2-based lubricants. Similarly, the thermal conductivity of the nanolubricant at 40 °C increased with increasing MoS2 concentration by up to 35%. The stability analysis also proved that 75 wt% of naphthalene oil works best with graphene and MoS2 nanoparticles. It proves that the synergetic effect of adding graphene and MoS2 in the above-mentioned ratio significantly improves the stability and thermal conductivity. The usage of advanced soft computational methods, such as artificial neural networks, indicated that the presence of graphene–MoS2 enhances the thermal conductivity of the lubricant. With these improved lubricating characteristics of the nanofluids, metalworking machines may be well maintained by significantly minimizing the occurrence of wearing and tearing component parts. Hence, this research is economically viable for implementation in the industrial sectors.
Author Contributions
Conceptualization, R.W., T.N., A.K.R. and M.K.; methodology, R.W.; software, S.B. and V.P.; validation, R.W, T.N., M.K. and A.K.R.; formal analysis, R.W., T.N., M.K. and A.K.R.; investigation, R.W., T.N. and A.K.R.; resources, M.K.; data curation, R.W., T.N., M.K., A.K.R., S.B., T.C.S.M.G. and V.P.; writing—original draft preparation, R.W., S.B., M.K., T.N., A.K.R. and V.P.; writing—review and editing, R.W., T.N., M.K., A.K.R., S.B. and V.P.; visualization, R.W., T.N., M.K., A.K.R., S.B., T.C.S.M.G. and V.P.; supervision, R.W., M.K. and A.K.R.; project administration, R.W. and M.K.; funding acquisition, R.W. and V.P. All authors have read and agreed to the published version of the manuscript.
Funding
This research is supported by Xiamen University, Malaysia Campus through the research grant XMUMRF/2020-C6/IENG/0030/V11000.
Institutional Review Board Statement
Not applicable.
Informed Consent Statement
Not applicable.
Data Availability Statement
Not applicable.
Conflicts of Interest
The authors declare no conflict of interest.
References
- Nazma Sultana, M.; Ranjan Dhar, N.; Binte Zaman, P. A Review on Different Cooling/Lubrication Techniques in Metal Cutting. Am. J. Mech. Appl. 2019, 7, 71. [Google Scholar] [CrossRef]
- Thampi, A.D.; Prasanth, M.A.; Anandu, A.P.; Sneha, E.; Sasidharan, B.; Rani, S. The Effect of Nanoparticle Additives on the Tribological Properties of Various Lubricating Oils—Review. Mater. Today Proc. 2021, 47, 4919–4924. [Google Scholar] [CrossRef]
- Rawat, S.S.; Harsha, A.P. Recent Progress in Vegetable Oil-Based Lubricants for Tribological Applications. In Tribology and Sustainability; CRC Press: Boca Raton, FL, USA, 2021; ISBN 978-1-00-309216-2. [Google Scholar]
- Sankaranarayanan, R.; Rajesh Jesudoss Hynes, N.; Senthil Kumar, J.; Krolczyk, G.M. A Comprehensive Review on Research Developments of Vegetable-Oil Based Cutting Fluids for Sustainable Machining Challenges. J. Manuf. Process. 2021, 67, 286–313. [Google Scholar] [CrossRef]
- Huang, X.; Zhi, C.; Lin, Y.; Bao, H.; Wu, G.; Jiang, P.; Mai, Y.-W. Thermal Conductivity of Graphene-Based Polymer Nanocomposites. Mater. Sci. Eng. R Rep. 2020, 142, 100577. [Google Scholar] [CrossRef]
- Fang, H.; Bai, S.-L.; Wong, C.P. Microstructure Engineering of Graphene towards Highly Thermal Conductive Composites. Compos. Part A Appl. Sci. Manuf. 2018, 112, 216–238. [Google Scholar] [CrossRef]
- Zeng, W.; Tao, X.-M.; Lin, S.; Lee, C.; Shi, D.; Lam, K.; Huang, B.; Wang, Q.; Zhao, Y. Defect-Engineered Reduced Graphene Oxide Sheets with High Electric Conductivity and Controlled Thermal Conductivity for Soft and Flexible Wearable Thermoelectric Generators. Nano Energy 2018, 54, 163–174. [Google Scholar] [CrossRef]
- Rosenkranz, A.; Liu, Y.; Yang, L.; Chen, L. 2D Nano-Materials beyond Graphene: From Synthesis to Tribological Studies. Appl. Nanosci. 2020, 10, 3353–3388. [Google Scholar] [CrossRef]
- Sun, J.; Du, S. Application of Graphene Derivatives and Their Nanocomposites in Tribology and Lubrication: A Review. RSC Adv. 2019, 9, 40642–40661. [Google Scholar] [CrossRef]
- Arenas, M.A.; Ahuir-Torres, J.I.; García, I.; Carvajal, H.; de Damborenea, J. Tribological Behaviour of Laser Textured Ti6Al4V Alloy Coated with MoS2 and Graphene. Tribol. Int. 2018, 128, 240–247. [Google Scholar] [CrossRef]
- Vazirisereshk, M.R.; Martini, A.; Strubbe, D.A.; Baykara, M.Z. Solid Lubrication with MoS2: A Review. Lubricants 2019, 7, 57. [Google Scholar] [CrossRef]
- Joseph, A.; Gautham, V.; Akshay, K.S.; Sajith, V. 2D MoS2-HBN Hybrid Coatings for Enhanced Corrosion Resistance of Solid Lubricant Coatings. Surf. Coat. Technol. 2022, 443, 128612. [Google Scholar] [CrossRef]
- Thachnatharen, N.; Khalid, M.; Shahabuddin, S.; Anwar, A.; Sridewi, N. Tribological Analysis of Advanced Microwave Synthesized Molybdenum Disulfide (MoS2) as Anti-Friction Additives in Diesel Engine Oil for Military Vehicles. Mater. Today Proc. 2022, 62, 7243–7247. [Google Scholar] [CrossRef]
- Nagarajan, T.; Khalid, M.; Srid, N.; Jagadish, P.; Shahabuddin, S.; Muthoosamy, K.; Walvekar, R. Tribological, Oxidation and Thermal Conductivity Studies of Microwave Synthesised Molybdenum Disulfide (MoS 2) Nanoparticles as Nano-Additives in Diesel Based Engine Oil. Sci. Rep. 2022, 12, 1–12. [Google Scholar] [CrossRef] [PubMed]
- Nagarajan, T.; Khalid, M.; Srid, N.; Jagadish, P.; Walvekar, R. Microwave Synthesis of Molybdenum Disulfide Nanoparticles Using Response Surface Methodology for Tribological Application. Nanomaterials 2022, 12, 3369. [Google Scholar] [CrossRef] [PubMed]
- Upadhyay, R.K.; Kumar, A. Epoxy-Graphene-MoS2 Composites with Improved Tribological Behavior under Dry Sliding Contact. Tribol. Int. 2019, 130, 106–118. [Google Scholar] [CrossRef]
- Ahmad, K.; Shinde, M.A.; Kim, H. Molybdenum Disulfide/Reduced Graphene Oxide: Progress in Synthesis and Electro-Catalytic Properties for Electrochemical Sensing and Dye Sensitized Solar Cells. Microchem. J. 2021, 169, 106583. [Google Scholar] [CrossRef]
- Su, W.; Wang, P.; Cai, Z.; Yang, J.; Wang, X. One-Pot Hydrothermal Synthesis of Al-Doped MoS2@graphene Aerogel Nanocomposite Electrocatalysts for Enhanced Hydrogen Evolution Reaction. Results Phys. 2019, 12, 250–258. [Google Scholar] [CrossRef]
- Lv, Y.; Pan, H.; Lin, J.; Chen, Z.; Li, Y.; Li, H.; Shi, M.; Yin, R.; Zhu, S. One-Pot Hydrothermal Approach towards 2D/2D Heterostructure Based on 1 T MoS2 Chemically Bonding with GO for Extremely High Electrocatalytic Performance. Chem. Eng. J. 2022, 428, 132072. [Google Scholar] [CrossRef]
- Rashmi, W.; Osama, M.; Khalid, M.; Rasheed, A.; Bhaumik, S.; Wong, W.Y.; Datta, S.; Tcsm, G. Tribological Performance of Nanographite-Based Metalworking Fluid and Parametric Investigation Using Artificial Neural Network. Int. J. Adv. Manuf. Technol. 2019, 104, 359–374. [Google Scholar] [CrossRef]
- Senapati, S.K.; Mishra, B.P.; Biswal, S.K. A Study on Tribological Properties of Mixture of Fatty Acid Methyl Ester (FAME) Derived from Various Vegetable Oils. Indian J. Tribol. 2019, 7, 23–26. [Google Scholar]
- Prakash, P.; Seethraman, M.; Kumar, L.S.; Jayaprakash, S.; Bakrutheen, M. Performance Characteristics of Mineral Oil Blended with Vegetable Oil. In Proceedings of Fifth International Conference on Inventive Material Science Applications; Advances in Sustainability Science and Technology; Bindhu, V., Tavares, J.M.R.S., Chen, J.I.-Z., Eds.; Springer Nature Singapore: Singapore, 2023; pp. 17–25. ISBN 978-981-19430-3-4. [Google Scholar]
- Virdi, R.L.; Chatha, S.S.; Singh, H. Machining Performance of Inconel-718 Alloy under the Influence of Nanoparticles Based Minimum Quantity Lubrication Grinding. J. Manuf. Process. 2020, 59, 355–365. [Google Scholar] [CrossRef]
- Hamidian, P.; Alidoust, P.; Golafshani, E.M.; Niavol, K.P.; Behnood, A. Introduction of a Novel Evolutionary Neural Network for Evaluating the Compressive Strength of Concretes: A Case of Rice Husk Ash Concrete. J. Build. Eng. 2022, 61, 105293. [Google Scholar] [CrossRef]
- Onukwuli, O.D.; Nnaji, P.C.; Menkiti, M.C.; Anadebe, V.C.; Oke, E.O.; Ude, C.N.; Ude, C.J.; Okafor, N.A. Dual-Purpose Optimization of Dye-Polluted Wastewater Decontamination Using Bio-Coagulants from Multiple Processing Techniques via Neural Intelligence Algorithm and Response Surface Methodology. J. Taiwan Inst. Chem. Eng. 2021, 125, 372–386. [Google Scholar] [CrossRef]
- Chen, Y.; Renner, P.; Liang, H. Dispersion of Nanoparticles in Lubricating Oil: A Critical Review. Lubricants 2019, 7, 7. [Google Scholar] [CrossRef]
- Wu, P.; Chen, X.; Zhang, C.; Zhang, J.; Luo, J.; Zhang, J. Modified Graphene as Novel Lubricating Additive with High Dispersion Stability in Oil. Friction 2021, 9, 143–154. [Google Scholar] [CrossRef]
- Wu, H.; Al-Rashed, A.A.A.A.; Barzinjy, A.A.; Shahsavar, A.; Karimi, A.; Talebizadehsardari, P. Curve-Fitting on Experimental Thermal Conductivity of Motor Oil under Influence of Hybrid Nano Additives Containing Multi-Walled Carbon Nanotubes and Zinc Oxide. Phys. A Stat. Mech. Its Appl. 2019, 535, 122128. [Google Scholar] [CrossRef]
- Olden, J.D.; Joy, M.K.; Death, R.G. An accurate comparison of methods for quantifying variable importance in artificial neural networks using simulated data. Ecol. Model. 2004, 178, 389–397. [Google Scholar] [CrossRef]
- Bhaumik, S.; Paleu, V.; Chowdhury, D.; Batham, A.; Sehgal, U.; Bhattacharya, B.; Ghosh, C.; Datta, S. Tribological Investigation of Textured Surfaces in Starved Lubrication Conditions. Materials 2022, 15, 8445. [Google Scholar] [CrossRef]
Disclaimer/Publisher’s Note: The statements, opinions and data contained in all publications are solely those of the individual author(s) and contributor(s) and not of MDPI and/or the editor(s). MDPI and/or the editor(s) disclaim responsibility for any injury to people or property resulting from any ideas, methods, instructions or products referred to in the content. |
© 2023 by the authors. Licensee MDPI, Basel, Switzerland. This article is an open access article distributed under the terms and conditions of the Creative Commons Attribution (CC BY) license (https://creativecommons.org/licenses/by/4.0/).













