Curative Brachytherapy for Inoperable Early-Stage Oesophageal Cancer: A Case Series and Narrative Review
Abstract
1. Introduction
2. Materials and Methods
2.1. Patient Population
2.2. Brachytherapy Treatment
2.3. Follow-Up
2.4. Endpoints
2.5. Statistical Analysis
3. Results
3.1. Patient Characteristics
3.2. Follow-Up
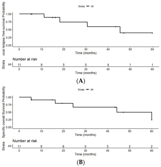
3.3. Local Control and Survival
3.4. Treatment Toxicity
4. Discussion
Limitations
5. Conclusions
Author Contributions
Funding
Institutional Review Board Statement
Informed Consent Statement
Data Availability Statement
Conflicts of Interest
References
- Bray, F.; Laversanne, M.; Sung, H.; Ferlay, J.; Siegel, R.L.; Soerjomataram, I.; Jemal, A. Global cancer statistics 2022: GLOBOCAN estimates of incidence and mortality worldwide for 36 cancers in 185 countries. CA Cancer J. Clin. 2024, 74, 229–263. [Google Scholar] [CrossRef]
- Rustgi, A.K.; El-Serag, H.B. Esophageal carcinoma. N. Engl. J. Med. 2014, 371, 2499–2509. [Google Scholar] [CrossRef]
- Smyth, E.C.; Lagergren, J.; Fitzgerald, R.C.; Lordick, F.; Shah, M.A.; Lagergren, P.; Cunningham, D. Oesophageal cancer. Nat. Rev. Dis. Primers 2017, 27, 3. [Google Scholar] [CrossRef]
- Rovirosa, Á.; Anchuelo, J.; Crispin, V.; Gutiérrez, C.; Herreros, A.; Herruzo, I.; Menéndez, J.C.; Pino, P.; Polo, A.; Rodríguez, S. Recommendations of the Spanish Brachytherapy Group of SEOR for HDR endoluminal treatments. Part 1: Oesophagus. Clin. Transl. Oncol. 2015, 17, 581–589. [Google Scholar] [CrossRef] [PubMed]
- di Pietro, M.; Canto, M.I.; Fitzgerald, R.C. Endoscopic management of early adenocarcinoma and squamous cell carcinoma of the esophagus: Screening, diagnosis, and therapy. Gastroenterology 2018, 154, 421–436. [Google Scholar] [CrossRef]
- Obermannová, R.; Alsina, M.; Cervantes, A.; Leong, T.; Lordick, F.; Nilsson, M.; van Grieken, N.; Vogel, A.; Smyth, E. Oesophageal cancer: ESMO clinical practice guideline for diagnosis, treatment and follow-up. Ann. Oncol. 2022, 33, 992–1004. [Google Scholar] [CrossRef] [PubMed]
- Lancellotta, V.; Cellini, F.; Fionda, B.; De Sanctis, V.; Vidali, C.; Fusco, V.; Frassine, F.; Tomasini, D.; Vavassori, A.; Gambacorta, M.A.; et al. The role of interventional radiotherapy (brachytherapy) in stage I esophageal cancer: An AIRO (Italian Association of Radiotherapy and Clinical Oncology) systematic review. Eur. Rev. Med. Pharmacol. Sci. 2020, 24, 7589–7597. [Google Scholar]
- Okawa, T.; Dokiya, T.; Nishio, M.; Hishikawa, Y.; Morita, K. Multi-institutional randomized trial of external radiotherapy with and without intraluminal brachytherapy for esophageal cancer in Japan: Japanese Society of Therapeutic Radiology and Oncology (JASTRO) Study Group. Int. J. Radiat. Oncol. Biol. Phys. 1999, 45, 623–628. [Google Scholar] [CrossRef]
- Nishimura, Y.; Okuno, Y.; Ono, K.; Mitsumori, M.; Nagata, Y.; Hiraoka, M. External beam radiation therapy with or without high-dose-rate intraluminal brachytherapy for patients with superficial esophageal carcinoma. Cancer 1999, 86, 220–228. [Google Scholar] [CrossRef]
- Rovirosa, Á.; Tagliaferri, L.; Chicheł, A.; Lancellotta, V.; Zhang, Y.; Antelo, G.; Hoskin, P.; van der Steen-Banasik, E.; Biete, A.; Kovács, G. Why is a very easy, useful, old technique underused? An overview of esophageal brachytherapy–interventional radiotherapy. J. Contemp. Brachyther. 2022, 14, 299–309. [Google Scholar] [CrossRef]
- Okawa, T.; Tanaka, M.; Kita-Okawa, M.; Nishio, M.; Kikuchi, Y.; Shirato, H.; Yamada, S.; Asakawa, H.; Niibe, H.; Dokiya, T. Superficial esophageal cancer: Multicenter analysis of results of definitive radiation therapy in Japan. Radiology 1995, 196, 271–274. [Google Scholar] [CrossRef]
- Galalae, R.; Pötter, R.; Van Limbergen, E.; Hoskin, P.; Baltas, D. Part II: Clinical practice. 25. Oesophageal cancer brachytherapy. In The GEC-ESTRO Handbook of Brachytherapy; Van Limbergen, E., Pötter, R., Hoskin, P., Balt, D., Eds.; ESTRO: Brussels, Belgium, 2002; pp. 237–250. [Google Scholar]
- Gaspar, L.E.; Nag, S.; Herskovic, A.; Mantravadi, R.; Speiser, B. The Clinical Research Committee. American Brachytherapy Society (ABS) consensus guidelines for brachytherapy of esophageal cancer. Int. J. Radiat. Oncol. Biol. Phys. 1997, 38, 127–132. [Google Scholar] [CrossRef]
- Murakami, Y.; Nagata, Y.; Nishibuchi, I.; Kimura, T.; Kenjo, M.; Kaneyasu, Y.; Okabe, T.; Hashimoto, Y.; Akagi, Y. Long-term outcomes of intraluminal brachytherapy in combination with external beam radiotherapy for superficial esophageal cancer. Int. J. Clin. Oncol. 2012, 17, 263–271. [Google Scholar] [CrossRef] [PubMed]
- Sjoquist, K.M.; Burmeister, B.H.; Smithers, B.M.; Zalcberg, J.R.; Simes, R.J.; Barbour, A.; Gebski, V. Survival after neoadjuvant chemotherapy or chemoradiotherapy for resectable oesophageal carcinoma: An updated meta-analysis. Lancet Oncol. 2011, 12, 681–692. [Google Scholar] [CrossRef] [PubMed]
- Inada, M.; Nishimura, Y.; Ishikawa, K.; Nakamatsu, K.; Wada, Y.; Uehara, T.; Fukuda, K.; Anami, S.; Doi, H.; Kanamori, S. Comparing the 7th and 8th editions of the American Joint Committee on Cancer/Union for International Cancer Control TNM staging system for esophageal squamous cell carcinoma treated by definitive radiotherapy. Esophagus 2019, 16, 371–376. [Google Scholar] [CrossRef]
- Sanders, J.J.; Temin, S.; Ghoshal, A.; Alesi, E.R.; Ali, Z.V.; Chauhan, C.; Cleary, J.F.; Epstein, A.S.; Firn, J.I.; Jones, J.A.; et al. Palliative care for patients with cancer: ASCO guideline update. J. Clin. Oncol. 2024, 42, 2336–2357. [Google Scholar] [CrossRef]
- Daniel, W.W.; Cross, C.L. Biostatistics: Basic Concepts and Methodology for the Health Sciences; Wiley Series in Probability and Statistics; John Wiley & Sons: Hoboken, NJ, USA, 2009; ISBN 13: 9780470413333. [Google Scholar]
- Spaander, M.C.W.; van der Bogt, R.D.; Baron, T.H.; Albers, D.; Blero, D.; de Ceglie, A.; Conio, M.; Czakó, L.; Everett, S.; Garcia-Pagán, J.-C.; et al. Esophageal stenting for benign and malignant disease: European Society of Gastrointestinal Endoscopy (ESGE) Guideline—Update 2021. Endoscopy 2021, 53, 751–762. [Google Scholar] [CrossRef]
- Ishikawa, H.; Nonaka, T.; Sakurai, H.; Tamaki, Y.; Kitamoto, Y.; Ebara, T.; Shioya, M.; Noda, S.-E.; Shirai, K.; Suzuki, Y.; et al. Usefulness of intraluminal brachytherapy combined with external beam radiation therapy for submucosal esophageal cancer: Long-Term follow-up results. Int. J. Radiat. Oncol. Biol. Phys. 2010, 76, 452–459. [Google Scholar] [CrossRef]
- Wong, S.; Hennequin, C.; Quero, L. Curietherapie du cancer de l-oesophage. Cancer/Radiotherapie 2013, 17, 159–161. [Google Scholar] [CrossRef]
- Yorozu, A.; Dokiya, T.; Oki, Y. High-dose-rate brachytherapy boost following concurrent chemoradiotherapy for esophageal carcinoma. Int. J. Radiat. Oncol. Biol. Phys. 1999, 45, 795–800. [Google Scholar] [CrossRef] [PubMed]
- Murakami, M.; Kuroda, Y.; Nakajima, T.; Okamoto, Y.; Mizowaki, T.; Kusumi, F.; Hajiro, K.; Nishimura, S.; Matsusue, S.; Takeda, H.; et al. Comparison between chemoradiation protocol intended for organ preservation and conventional surgery for clinical T1-T2 esophageal carcinoma. Int. J. Radiat. Oncol. Biol. Phys. 1999, 45, 277–284. [Google Scholar] [CrossRef]
- Pasquier, D.; Mirabel, X.; Adenis, A.; Rezvoy, N.; Hecquet, G.; Fournier, C.; Coche-Dequeant, B.; Prevost, B.; Castelain, B.; Lartigau, E. External beam radiation therapy followed by high-dose-rate brachytherapy for inoperable superficial esophageal carcinoma. Int. J. Radiat. Oncol. Biol. Phys. 2006, 65, 1456–1462. [Google Scholar] [CrossRef]
- Yamada, K.; Murakami, M.; Okamoto, Y.; Okuno, Y.; Nakajima, T.; Kusumi, F.; Takakuwa, H.; Matsusue, S. Treatment results of chemoradiotherapy for clinical stage I (T1N0M0) esophageal carcinoma. Int. J. Radiat. Oncol. Biol. Phys. 2006, 64, 1106–1111. [Google Scholar] [CrossRef]
- Tamaki, T.; Ishikawa, H.; Takahashi, T.; Tamaki, Y.; Kitamoto, Y.; Okamoto, M.; Noda, S.-E.; Katoh, H.; Shirai, K.; Sakurai, H.; et al. Comparison of efficacy and safety of low-dose-rate vs. high-dose-rate intraluminal brachytherapy boost in patients with superficial esophageal cancer. Brachytherapy 2012, 11, 130–136. [Google Scholar] [CrossRef]
- Ye, M.; Han, D.; Mao, Z.; Cheng, G. A prospective study of radical external beam radiotherapy versus external beam radiotherapy combined with intraluminal brachytherapy for primary esophageal cancer. Brachytherapy 2022, 21, 703–711. [Google Scholar] [CrossRef] [PubMed]
- Folkert, M.R.; Gottumukkala, S.; Nguyen, N.T.; Taggar, A.; Sur, R.K. Review of brachytherapy complications e Upper gastrointestinal tract Brachytherapy. Brachytherapy 2021, 20, 1005–1013. [Google Scholar] [CrossRef]
- Maingon, P.; D’hOmbres, A.; Truc, G.; Barillot, I.; Michiels, C.; Bedenne, L.; Horiot, J.C. High-dose-rate brachytherapy for superficial cancer of the esophagus. Int. J. Radiat. Oncol. Biol. Phys. 2000, 46, 71–76. [Google Scholar] [CrossRef]
- Nemoto, K.; Yamada, S.; Hareyama, M.; Nagakura, H.; Hirokawa, Y. Radiation therapy for superficial esophageal cancer: A comparison of radiotherapy methods. Int. J. Radiat. Oncol. Biol. Phys. 2001, 50, 639–644. [Google Scholar] [CrossRef] [PubMed]
- Kissel, M.; Chirat, E.; Annede, P.; Burtin, P.; Fumagalli, I.; Bronsart, E.; Mignot, F.; Schernberg, A.; Dumas, I.; Haie-Meder, C.; et al. Esophageal brachytherapy: Institut Gustave Roussy’s experience. Brachytherapy 2020, 19, 499–509. [Google Scholar] [CrossRef]
- Choe, S.I.; Lee, Y.; Habashi, R.; Samarasinghe, Y.; Lee, M.H.; McKechnie, T.; Shargall, Y.; Finley, C.; Hanna, W.; Sur, R.; et al. The role of brachytherapy in treatment of stage I esophageal cancer: A systematic review. Brachytherapy 2022, 21, 877–886. [Google Scholar] [CrossRef] [PubMed]
- Ishikawa, H.; Sakurai, H.; Tamaki, Y.; Nonaka, T.; Yamakawa, M.; Saito, Y.; Kitamoto, Y.; Higuchi, K.; Hasegawa, M.; Nakano, T. Radiation therapy alone for stage I (UICC T1N0M0) squamous cell carcinoma of the esophagus: Indications for surgery or combined chemoradiotherapy. J. Gastroenterol. Hepatol. 2006, 21, 1290–1296. [Google Scholar] [CrossRef] [PubMed]



| PATIENT | PREVIOUS MUCOSECTOMY | SEQUENCE | EBRT DOSE (GY) | EBRT FRACTIONS | EBT (GY) | EBT FRACTIONS | EBT DOSING INTERVAL (DAYS) | EBT PLANIFICATION (2D, 3D) | ACTIVE SOURCE LENGTH (CM) | APPLICATOR DIAMETER (MM) | (LARGER TUMOUR SIZE (CM) | EQD2 (A/B = 10) TUMOUR | EQD2 (A/B = 3) MUCOSA |
|---|---|---|---|---|---|---|---|---|---|---|---|---|---|
| 1 | No | EBRT → EBT | 45 | 25 | 6 | 1 | - | 2D | 10 | 13 | 5 | 52.3 | 74.7 |
| 2 | No | EBT → EBRT | 61.2 | 34 | 10 | 2 | 7 | 2D | 6 | 13 | 2 | 72.7 | 107.8 |
| 3 | Yes | EBRT → EBT | 59.4 | 33 | 12 | 2 | 60 | 2D | Unknown | 13 | 4 | 74.4 | Unknown |
| 4 | Yes | EBRT → EBT | 50.4 | 25 + boost | 10 | 2 | 7 | 3D | 7 | 13 | 3 | 62.1 | 96.1 |
| 5 | Yes | EBT →EBRT | 45 | 25 | 10 | 2 | 7 | 3D | 7 | 13 | 3 | 56.8 | 91.0 |
| 6 | Yes | EBT → EBRT | 52.6 | 25 + boost | 5 | 1 | - | 3D | 7 | 13 | 3 | 58.3 | 75.2 |
| 7 | No | EBRT → EBT | 45 | 25 | 10 | 2 | 7 | 3D | Unknown | 13 | 1 | 56.8 | Unknown |
| 8 | No | EBRT → EBT | 50.4 | 28 | 10 | 2 | 7 | 3D | 7 | 13 | 3 | 62.1 | 96.1 |
| 9 | No | EBRT → EBT | 50 | 28 | 15 | 3 | 7 | 3D | 9 | 13 | 4 | 67.9 | 117.0 |
| 10 | Yes | EBRT → EBT | 54 | 30 | 10 | 2 | 7 | 3D | 6 | 10 | 2 | 65.6 | 112.4 |
| 11 | No | EBT | No | 22.5 | 3 | 3–7 | 3D | 5.5 | 13 | 1.5 | 32.8 | 74.6 |
| Patients | ||
| Characteristic | Number | % |
| Age (years) | ||
| 46–65 | 3 | 27.3 |
| 66–75 | 3 | 27.3 |
| 76–85 | 4 | 36.4 |
| >85 | 1 | 9.1 |
| Median | 75 | |
| Range | 46–90 | |
| Sex | ||
| Male | 7 | 63.6 |
| Female | 4 | 36.4 |
| Performance status (KPS) | ||
| 0 | 1 | 9.1 |
| 1 | 8 | 72.7 |
| 2 | 1 | 9.1 |
| 3–4 | 0 | 0.0 |
| Unknown | 1 | 9.1 |
| Comorbidities | ||
| Smoker | 4 | 36.4 |
| Enol | 5 | 45.5 |
| Diabetic | 3 | 27.3 |
| Hypertension | 5 | 45.5 |
| Dyslipidemia | 3 | 27.3 |
| Obesity | 1 | 9.1 |
| Neoplasia ORL | 0 | 0.0 |
| Barret | 3 | 27.3 |
| Other | 8 | 72.7 |
| Stage | ||
| T1 | 6 | 54.5 |
| T2 | 5 | 45.5 |
| N0 | 10 | 90.9 |
| N1 | 1 | 9.1 |
| Localization | ||
| Upper third | 1 | 9.1 |
| Middle third | 5 | 45.5 |
| Lower third | 5 | 45.5 |
| Size (cm) | ||
| <2 | 3 | 27.3 |
| 2 | 4 | 36.4 |
| 3 | 3 | 27.3 |
| 4 | 1 | 9.1 |
| Histology | ||
| Adenocarcinoma | 2 | 18.2 |
| quamous cell | 9 | 81.8 |
| Grade | ||
| Well-differentiated | 4 | 36.4 |
| Moderately differentiated | 5 | 45.5 |
| Poorly differentiated | 1 | 9.1 |
| Unknown | 1 | 9.1 |
| Survival Measure | 2-Year (%) [95% CI] | 3-Year (%) [95% CI] | 5-Year (%) [95% CI] |
| Disease-specific survival | 79.5% [0.6–1] | 66% [0.4–1] | 30% [0.05–1] |
| Local relapse-free survival | 74.1% [0.5–1] | 59% [0.3–1] | 39% [0.1–1] |
| Study | N | T (TNM) | EBRT Dose (Mean, Gy) | EBT Mean Dose (Gy) | Chemotherapy | Complete Response (%) | Outcomes (Main Endpoints) | Complications |
| Yorozu et al. (1999) [22] | 124 | T1-T2 | 40–61 | 8–24 | Yes (41%) | 73 | LCR: 74% stage I, 35% stage II (EBRT + EBT) OS (2y): 71% stage I, 31% stage II (EBRT + EBT) | Late ulceration and stenosis: 12% Late, severe: 2.5% |
| Murakami et al. (1999) [23] | 32 | T1-T2 | 50–66 | 10–12 | Yes (32%) | 100 | LRC (3y): 70% T1, 83% T2 OS (3y): 83% T1, 51% T2 | Ulcer (8/32; 20%), stenosis (2/32; 6.3%). |
| Okawa et al. (1999) [8] | 43 | T1-4N0-1 | 60 | 10 | Yes | 56 | CSS (5y): 38% | - |
| Pasquier et al. (2006) [24] | 63 | T1 | 57.1 | 8.82 | Yes | 98 | CSS (5y): 76.9% DFS (5y): 54.6% OS (3y, 5y, 7y): 57.9%, 35.6%, 26.6%. | Late, severe: oesophageal stenosis (6/66; 9.1%) |
| Yamada et al. (2006) [25] | 63 | T1 | 55–60 | 10–12 | Yes | CSS(5y): 76.3% DFS (5y): 63.7% OS (5y): 66.4% | Late grade ≥ 4: oesophageal fistula (2/63; 3.2%). Ulcers or stenosis (10%) | |
| Ishikawa et al. (2010) [20] | 36 | T1 | 60 | 9–10 | No | 87 | CSS (5y): 86% LCR (5y): 75% | Ulcers: 5/36 (13.9%) Grade ≥ 2: cardiorespiratory (2/36: 5.6%) |
| Tamaki et al. (2012) [26] | 54 | T1 | 56–60 | 9–10 | No | 80 | CSS (5y): 86% OS (5y): 61% LRC (5y): 79% | Grade ≥ 2: 5/54 (9.3%) |
| Murakami et al. (2012) [14] | 87 | T1 | 45–46 | 10–15 | No | 83 | CSS (5y): 97% mucosal and 55% submucosal OS (5y): 84% mucosal and 31% submucosal LRC (5y): 75% mucosal and 49% submucosal | Acute grade ≥ 3 acute: oesophagitis (2/87; 2.3%), leucopenia (1/87; 1.1%) Late grade ≥ 3: ulcer (5/87; 5.7%), cardiac ischemia and heart failure (9/87; 10.3%), pneumonitis (4/87; 4.6%), cardiac (10/87; 11.5%), fistulas (2/87; 2.3%), ulcers (3/87; 3.4%) |
| Ye et al. (2022) [27] | 64 | T1-3N M0 | 50 | 10 | No | 66 | LRFS (3y): EBT + EBRT 31% OS (3y): EBT + EBRT 38% LRC (3y): EBT + EBRT 25% | Acute grade ≥ 3: dysphagia (2/64; 3.1%). Late: fistula (3/64; 4.7%), radiation pneumonia (3/64; 4.7%), stenosis (5/64; 7.8%) |
| Present series (2025) | 11 | T1-T2 | 51.5 | 10 | No | 100 | CSS (3y, 5y): 66%, 30%. LRFS (3y, 5y): 59%, 39% Median follow-up: T1a: 61months T1b: 30.5 months (15–42) T2: 14 months (2–46) | Acute: oesophageal mucositis (2/11; 18.2%) Late: ulceration (2/11; 18.2%) |
Disclaimer/Publisher’s Note: The statements, opinions and data contained in all publications are solely those of the individual author(s) and contributor(s) and not of MDPI and/or the editor(s). MDPI and/or the editor(s) disclaim responsibility for any injury to people or property resulting from any ideas, methods, instructions or products referred to in the content. |
© 2025 by the authors. Licensee MDPI, Basel, Switzerland. This article is an open access article distributed under the terms and conditions of the Creative Commons Attribution (CC BY) license.
Share and Cite
Lluzar, E.; Capdevila, A.; Noorian, F.; Herreros, A.; Castro, C.; Gines, À.; Fernández-Esparrach, G.; Ares, C.; Qiang, Y.; Rovirosa, A. Curative Brachytherapy for Inoperable Early-Stage Oesophageal Cancer: A Case Series and Narrative Review. J. Pers. Med. 2026, 16, 13. https://doi.org/10.3390/jpm16010013
Lluzar E, Capdevila A, Noorian F, Herreros A, Castro C, Gines À, Fernández-Esparrach G, Ares C, Qiang Y, Rovirosa A. Curative Brachytherapy for Inoperable Early-Stage Oesophageal Cancer: A Case Series and Narrative Review. Journal of Personalized Medicine. 2026; 16(1):13. https://doi.org/10.3390/jpm16010013
Chicago/Turabian StyleLluzar, Elena, Adriana Capdevila, Faegheh Noorian, Antonio Herreros, Cristina Castro, Àngels Gines, Glòria Fernández-Esparrach, Carmen Ares, Yao Qiang, and Angeles Rovirosa. 2026. "Curative Brachytherapy for Inoperable Early-Stage Oesophageal Cancer: A Case Series and Narrative Review" Journal of Personalized Medicine 16, no. 1: 13. https://doi.org/10.3390/jpm16010013
APA StyleLluzar, E., Capdevila, A., Noorian, F., Herreros, A., Castro, C., Gines, À., Fernández-Esparrach, G., Ares, C., Qiang, Y., & Rovirosa, A. (2026). Curative Brachytherapy for Inoperable Early-Stage Oesophageal Cancer: A Case Series and Narrative Review. Journal of Personalized Medicine, 16(1), 13. https://doi.org/10.3390/jpm16010013

