Does Proteomic Mirror Reflect Clinical Characteristics of Obesity?
Abstract
1. Introduction
2. Materials and Methods
2.1. Sample Collection
2.2. Anthropometric and Clinical Tests
2.2.1. Anthropometric Tests
2.2.2. Biochemical Blood Test and Complete Blood Count
2.3. Sample Preparation
2.3.1. The Depletion of Blood Plasma
2.3.2. Trypsinolysis of Depleted Plasma
2.4. HPLC-MS/MS Analysis
2.5. Interpretation of Experimental Data
2.6. Statistical Analysis
3. Results and Discussion
3.1. Clinical Component
3.2. Proteomic Component
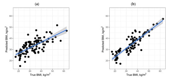
3.3. BMI Prediction
4. Conclusions
- We demonstrated the impossibility to divide patients according to their weight conditions based only on the results of standard blood tests. Orthogonal, in our case—proteomic, data upgrades the level of understanding of the controversial nature of obesity.
- Our overall results indicate that studies of proteins circulating in blood have the prediction power of the weight status of the patient under study. We composed two proteomic patterns (including 5 and 18 proteins, respectively), which provide additional information about the patient’s phenotype for more personalized treatment.
Supplementary Materials
Author Contributions
Funding
Institutional Review Board Statement
Informed Consent Statement
Data Availability Statement
Acknowledgments
Conflicts of Interest
References
- Lifshitz, F.; Lifshitz, J.Z. Globesity: The root causes of the obesity epidemic in the USA and now worldwide. Pediatr. Endocrinol. Rev. 2014, 12, 17–34. [Google Scholar] [PubMed]
- Obesity and Overweight. Available online: https://www.who.int/news-room/fact-sheets/detail/obesity-and-overweight (accessed on 9 December 2020).
- Mechanick, J.I.; Apovian, C.; Brethauer, S.; Garvey, W.T.; Joffe, A.M.; Kim, J.; Kushner, R.F.; Lindquist, R.; Pessah-Pollack, R.; Seger, J.; et al. Clinical Practice Guidelines for the Perioperative Nutrition, Metabolic, and Nonsurgical Support of Patients Undergoing Bariatric Procedures—2019 Update: Cosponsored by American Association of Clinical Endocrinologists/American College of Endocrinology. Endocr. Pract. 2019, 25, 1346–1359. [Google Scholar] [CrossRef] [PubMed]
- Srensen, T.I.A. Challenges in the study of causation of obesity. Proc. Nutr. Soc. 2009, 68, 43–54. [Google Scholar] [CrossRef] [PubMed]
- Jackson, S.E.; Llewellyn, C.H.; Smith, L. The obesity epidemic—Nature via nurture: A narrative review of high-income countries. SAGE Open Med. 2020, 8, 205031212091826. [Google Scholar] [CrossRef] [PubMed]
- Huang, P.L. A comprehensive definition for metabolic syndrome. Dis. Model. Mech. 2009, 2, 231–237. [Google Scholar] [CrossRef]
- Magkos, F. Metabolically healthy obesity: What’s in a name? Am. J. Clin. Nutr. 2019, 110, 533–537. [Google Scholar] [CrossRef]
- Parente, E.B. Is body mass index still a good tool for obesity evaluation? Arch. Endocrinol. Metab. 2016, 60, 507–509. [Google Scholar] [CrossRef]
- Poirier, P. Adiposity and cardiovascular disease: Are we using the right definition of obesity? Eur. Heart J. 2007, 28, 2047–2048. [Google Scholar] [CrossRef]
- Kushner, R.F. Clinical assessment and management of adult obesity. Circulation 2012, 126, 2870–2877. [Google Scholar] [CrossRef]
- Karahalil, B. Overview of Systems Biology and Omics Technologies. Curr. Med. Chem. 2016, 23, 4221–4230. [Google Scholar] [CrossRef]
- Feskens, E.J.M.; Sluik, D.; Du, H. The Association Between Diet and Obesity in Specific European Cohorts: DiOGenes and EPIC-PANACEA. Curr. Obes. Rep. 2014, 3, 67–78. [Google Scholar] [CrossRef]
- Larsen, T.M.; Dalskov, S.; Van Baak, M.; Jebb, S.; Kafatos, A.; Pfeiffer, A.; Martinez, J.A.; Handjieva-Darlenska, T.; Kunešová, M.; Holst, C.; et al. The diet, obesity and genes (diogenes) dietary study in eight European countries—A comprehensive design for long-term intervention. Obes. Rev. 2010, 11, 76–91. [Google Scholar] [CrossRef]
- Goodarzi, M.O. Genetics of obesity: What genetic association studies have taught us about the biology of obesity and its complications. Lancet Diabetes Endocrinol. 2018, 6, 223–236. [Google Scholar] [CrossRef]
- López-Villar, E.; Martos-Moreno, G.; Chowen, J.A.; Okada, S.; Kopchick, J.J.; Argente, J. A proteomic approach to obesity and type 2 diabetes. J. Cell. Mol. Med. 2015, 19, 1455–1470. [Google Scholar] [CrossRef] [PubMed]
- Karczewski, J.; Śledzińska, E.; Baturo, A.; Jończyk, I.; Maleszko, A.; Samborski, P.; Begier-Krasińska, B.; Dobrowolska, A. Obesity and inflammation. Eur. Cytokine Netw. 2018, 29, 83–94. [Google Scholar] [CrossRef] [PubMed]
- Cottam, D.R.; Mattar, S.G.; Barinas-Mitchell, E.; Eid, G.; Kuller, L.; Kelley, D.E.; Schauer, P.R. The chronic inflammatory hypothesis for the morbidity associated with morbid obesity: Implications and effects of weight loss. Obes. Surg. 2004, 14, 589–600. [Google Scholar] [CrossRef]
- Kim, S.W.; Choi, J.W.; Yun, J.W.; Chung, I.S.; Cho, H.C.; Song, S.E.; Im, S.S.; Song, D.K. Proteomics approach to identify serum biomarkers associated with the progression of diabetes in Korean patients with abdominal obesity. PLoS ONE 2019, 14. [Google Scholar] [CrossRef]
- Flegal, K.M. Body-mass index and all-cause mortality. Lancet 2017, 389, 2284–2285. [Google Scholar] [CrossRef]
- The WHO STEPwise Approach to Noncommunicable Disease Risk Factor Surveillance. Available online: https://www.who.int/ncds/surveillance/steps/STEPS_Manual.pdf (accessed on 19 December 2020).
- ProteoPrep® Immunoaffinity Albumin and IgG Depletion Kit. Available online: https://www.sigmaaldrich.com/content/dam/sigma-aldrich/docs/Sigma/Bulletin/protiabul.pdf (accessed on 9 December 2020).
- Petushkova, N.A.; Zgoda, V.G.; Pyatnitskiy, M.A.; Larina, O.V.; Teryaeva, N.B.; Potapov, A.A.; Lisitsa, A. V Post-translational modifications of FDA-approved plasma biomarkers in glioblastoma samples. PLoS ONE 2017, 12, e0177427. [Google Scholar] [CrossRef]
- Barsnes, H.; Vaudel, M. SearchGUI: A Highly Adaptable Common Interface for Proteomics Search and de Novo Engines. J. Proteome Res. 2018, 17, 2552–2555. [Google Scholar] [CrossRef]
- Kiseleva, O.; Poverennaya, E.; Shargunov, A.; Lisitsa, A. Proteomic Cinderella: Customized analysis of bulky MS/MS data in one night. J. Bioinform. Comput. Biol. 2017. [Google Scholar] [CrossRef] [PubMed]
- Vaudel, M.; Burkhart, J.M.; Zahedi, R.P.; Oveland, E.; Berven, F.S.; Sickmann, A.; Martens, L.; Barsnes, H. PeptideShaker enables reanalysis of MS-derived proteomics data sets. Nat. Biotechnol. 2015, 33, 22–24. [Google Scholar] [CrossRef] [PubMed]
- Perez-Riverol, Y.; Csordas, A.; Bai, J.; Bernal-Llinares, M.; Hewapathirana, S.; Kundu, D.J.; Inuganti, A.; Griss, J.; Mayer, G.; Eisenacher, M.; et al. The PRIDE database and related tools and resources in 2019: Improving support for quantification data. Nucleic Acids Res. 2019, 47, D442–D450. [Google Scholar] [CrossRef] [PubMed]
- R Core Team. R: The R Project for Statistical Computing. Available online: https://www.r-project.org/ (accessed on 25 March 2020).
- Brionne, A.; Juanchich, A.; Hennequet-Antier, C. ViSEAGO: A Bioconductor package for clustering biological functions using Gene Ontology and semantic similarity. BioData Min. 2019, 12, 16. [Google Scholar] [CrossRef] [PubMed]
- Ponomarenko, E.; Lisitsa, A.; Ilgisonis, E.; Archakov, A. Construction of protein semantic networks using PubMed/MEDLINE. Mol Biol. 2010, 44, 152–161. [Google Scholar] [CrossRef]
- Ilgisonis, E.; Lisitsa, A.; Kudryavtseva, V.; Ponomarenko, E. Creation of Individual Scientific Concept-Centered Semantic Maps Based on Automated Text-Mining Analysis of PubMed. Adv. Bioinform. 2018, 2018, 4625394. [Google Scholar] [CrossRef]
- Friedman, J.; Hastie, T.; Tibshirani, R. Regularization paths for generalized linear models via coordinate descent. J. Stat. Softw. 2010, 33, 1–22. [Google Scholar] [CrossRef] [PubMed]
- Blüher, M. Mechanisms in endocrinology: Are metabolically healthy obese individuals really healthy? Eur. J. Endocrinol. 2014, 171, R209–R219. [Google Scholar] [CrossRef]
- Soriguer, F.; Gutiérrez-Repiso, C.; Rubio-Martín, E.; García-Fuentes, E.; Almaraz, M.C.; Colomo, N.; De Antonio, I.E.; De Adana, M.S.R.; Chaves, F.J.; Morcillo, S.; et al. Metabolically healthy but obese, a matter of time? Findings from the prospective pizarra study. J. Clin. Endocrinol. Metab. 2013, 98, 2318–2325. [Google Scholar] [CrossRef] [PubMed]
- Rotar, O.; Boyarinova, M.; Orlov, A.; Solntsev, V.; Zhernakova, Y.; Shalnova, S.; Deev, A.; Konradi, A.; Baranova, E.; Chazova, I.; et al. Metabolically healthy obese and metabolically unhealthy non-obese phenotypes in a Russian population. Eur. J. Epidemiol. 2017, 32, 251–254. [Google Scholar] [CrossRef]
- Kobayashi, M.; Mizuno, T.; Yuki, H.; Kambara, T.; Betsunoh, H.; Nukui, A.; Abe, H.; Fukabori, Y.; Yashi, M.; Kamai, T. Association between serum prostate-specific antigen level and diabetes, obesity, hypertension, and the laboratory parameters related to glucose tolerance, hepatic function, and lipid profile: Implications for modification of prostate-specific antigen threshold. Int. J. Clin. Oncol. 2020, 25, 472–478. [Google Scholar] [CrossRef] [PubMed]
- Arai, S.; Miyazaki, T. Impacts of the apoptosis inhibitor of macrophage (AIM) on obesity-associated inflammatory diseases. Semin. Immunopathol. 2014, 36, 3–12. [Google Scholar] [CrossRef] [PubMed]
- Tomita, T.; Arai, S.; Kitada, K.; Mizuno, M.; Suzuki, Y.; Sakata, F.; Nakano, D.; Hiramoto, E.; Takei, Y.; Maruyama, S.; et al. Apoptosis inhibitor of macrophage ameliorates fungus-induced peritoneal injury model in mice. Sci. Rep. 2017, 7, 6450. [Google Scholar] [CrossRef] [PubMed]
- Westerterp, M.; Berbée, J.F.P.; Delsing, D.J.M.; Jong, M.C.; Gijbels, M.J.J.; Dahlmans, V.E.H.; Offerman, E.H.; Romijn, J.A.; Havekes, L.M.; Rensen, P.C.N. Apolipoprotein C-I binds free fatty acids and reduces their intracellular esterification. J. Lipid Res. 2007, 48, 1353–1361. [Google Scholar] [CrossRef]
- Fan, G.; Dang, X.; Li, Y.; Chen, J.; Zhao, R.; Yang, X. Zinc-α2-glycoprotein promotes browning of white adipose tissue in cold-exposed male mice. Mol. Cell. Endocrinol. 2020, 501, 1110669. [Google Scholar] [CrossRef]
- Severo, J.S.; Morais, J.B.S.; Beserra, J.B.; dos Santos, L.R.; de Sousa Melo, S.R.; de Sousa, G.S.; de Matos Neto, E.M.; Henriques, G.S.; do Nascimento Marreiro, D. Role of Zinc in Zinc-α2-Glycoprotein Metabolism in Obesity: A Review of Literature. Biol. Trace Elem. Res. 2020, 193, 81–88. [Google Scholar] [CrossRef]
- Hosseinzadeh-Attar, M.J.; Mahdavi-Mazdeh, M.; Yaseri, M.; Zahed, N.S.; Alipoor, E. Comparative Assessment of Serum Adipokines Zinc-α2-glycoprotein and Adipose Triglyceride Lipase, and Cardiovascular Risk Factors Between Normal Weight and Obese Patients with Hemodialysis. Arch. Med. Res. 2017, 48, 459–466. [Google Scholar] [CrossRef]
- Quinton, R.; Duke, V.M.; Robertson, A.; Kirk, J.M.W.; Matfin, G.; De Zoysa, P.A.; Azcona, C.; MacColl, G.S.; Jacobs, H.S.; Conway, G.S.; et al. Idiopathic gonadotrophin deficiency: Genetic questions addressed through phenotypic characterization. Clin. Endocrinol. 2001, 55, 163–174. [Google Scholar] [CrossRef]
- Zhang, J.; Wright, W.; Bernlohr, D.A.; Cushman, S.W.; Chen, X. Alterations of the classic pathway of complement in adipose tissue of obesity and insulin resistance. Am. J. Physiol. Endocrinol. Metab. 2007, 292. [Google Scholar] [CrossRef]
- Cominetti, O.; Núñez Galindo, A.; Corthésy, J.; Valsesia, A.; Irincheeva, I.; Kussmann, M.; Saris, W.H.M.; Astrup, A.; McPherson, R.; Harper, M.E.; et al. Obesity shows preserved plasma proteome in large independent clinical cohorts. Sci. Rep. 2018, 8, 1–13. [Google Scholar] [CrossRef]
- Shim, K.; Begum, R.; Yang, C.; Wang, H. Complement activation in obesity, insulin resistance, and type 2 diabetes mellitus. World J. Diabetes 2020, 11, 1–12. [Google Scholar] [CrossRef] [PubMed]
- Hautanen, A. Synthesis and regulation of sex hormone-binding globulin in obesity. Int. J. Obes. 2000, 24, S64–S70. [Google Scholar] [CrossRef] [PubMed]
- Gabrielsson, B.G.; Johansson, J.M.; Lönn, M.; Jernås, M.; Olbers, T.; Peltonen, M.; Larsson, I.; Lönn, L.; Sjöström, L.; Carlsson, B.; et al. High expression of complement components in omental adipose tissue in obese men. Obes. Res. 2003, 11, 699–708. [Google Scholar] [CrossRef] [PubMed]
- Kornblith, L.Z.; Howard, B.; Kunitake, R.; Redick, B.; Nelson, M.; Cohen, M.J.; Callcut, R. Obesity and clotting: Body mass index independently contributes to hypercoagulability after injury. J. Trauma Acute Care Surg. 2015, 78, 30–36. [Google Scholar] [CrossRef]
- Kaye, S.M.; Pietiläinen, K.H.; Kotronen, A.; Joutsi-Korhonen, L.; Kaprio, J.; Yki-Järvinen, H.; Silveira, A.; Hamsten, A.; Lassila, R.; Rissanen, A. Obesity-Related Derangements of Coagulation and Fibrinolysis: A Study of Obesity-Discordant Monozygotic Twin Pairs. Obesity 2012, 20, 88–94. [Google Scholar] [CrossRef]
- Hassan, M.A.; Al-Sakkaf, K.; Shait Mohammed, M.R.; Dallol, A.; Al-Maghrabi, J.; Aldahlawi, A.; Ashoor, S.; Maamra, M.; Ragoussis, J.; Wu, W.; et al. Integration of Transcriptome and Metabolome Provides Unique Insights to Pathways Associated With Obese Breast Cancer Patients. Front. Oncol. 2020, 10, 804. [Google Scholar] [CrossRef]
- Sakurai, T.; Sakurai, A.; Vaisman, B.L.; Amar, M.J.; Liu, C.; Gordon, S.M.; Drake, S.K.; Pryor, M.; Sampson, M.L.; Yang, L.; et al. Creation of apolipoprotein C-II (ApoC-II) mutant mice and correction of their hypertriglyceridemia with an ApoC-II mimetic peptides. J. Pharmacol. Exp. Ther. 2016, 356, 341–353. [Google Scholar] [CrossRef]
- Wolska, A.; Dunbar, R.L.; Freeman, L.A.; Ueda, M.; Amar, M.J.; Sviridov, D.O.; Remaley, A.T. Apolipoprotein C-II: New findings related to genetics, biochemistry, and role in triglyceride metabolism. Atherosclerosis 2017, 267, 49–60. [Google Scholar] [CrossRef]
- Cooper, L.A.; Page, S.T.; Amory, J.K.; Anawalt, B.D.; Matsumoto, A.M. The association of obesity with sex hormone-binding globulin is stronger than the association with ageing—Implications for the interpretation of total testosterone measurements. Clin. Endocrinol. 2015, 83, 828–833. [Google Scholar] [CrossRef]
- Plubell, D.L.; Fenton, A.M.; Wilmarth, P.A.; Bergstrom, P.; Zhao, Y.; Minnier, J.; Heinecke, J.W.; Yang, X.; Pamir, N. GM-CSF driven myeloid cells in adipose tissue link weight gain and insulin resistance via formation of 2-aminoadipate. Sci. Rep. 2018, 8, 1–12. [Google Scholar] [CrossRef]
- England, J.; Drouin, S.; Beaulieu, P.; St-Onge, P.; Krajinovic, M.; Laverdière, C.; Levy, E.; Marcil, V.; Sinnett, D. Genomic determinants of long-term cardiometabolic complications in childhood acute lymphoblastic leukemia survivors. BMC Cancer 2017, 17, s12885-s017. [Google Scholar] [CrossRef] [PubMed]
- Barat, P.; Corcuff, J.B.; Tauber, M.; Moisan, M.P. Associations of glucocorticoid receptor and corticosteroid-binding globulin gene polymorphisms on fat mass and fat mass distribution in prepubertal obese children. J. Physiol. Biochem. 2012, 68, 645–650. [Google Scholar] [CrossRef] [PubMed]
- Moisan, M.P. Genotype-phenotype associations in understanding the role of corticosteroid-binding globulin in health and disease animal models. Mol. Cell. Endocrinol. 2010, 316, 35–41. [Google Scholar] [CrossRef] [PubMed]
- Barat, P.; Duclos, M.; Gatta, B.; Roger, P.; Mormede, P.; Moisan, M.P. Corticosteroid binding globulin gene polymorphism influences cortisol driven fat distribution in obese women. Obes. Res. 2005, 13, 1485–1490. [Google Scholar] [CrossRef]
- Joyner, J.M.; Hutley, L.J.; Bachmann, A.W.; Torpy, D.J.; Prins, J.B. Greater replication and differentiation of preadipocytes in inherited corticosteroid-binding globulin deficiency. Am. J. Physiol. Endocrinol. Metab. 2003, 284, E1049–E1054. [Google Scholar] [CrossRef] [PubMed][Green Version]
- Blank, N.; Hegenbart, U.; Dietrich, S.; Brune, M.; Beimler, J.; Röcken, C.; Müller-Tidow, C.; Lorenz, H.M.; Schönland, S.O. Obesity is a significant susceptibility factor for idiopathic AA amyloidosis. Amyloid 2018, 25, 37–45. [Google Scholar] [CrossRef] [PubMed]
- Wang, Y.; Cao, F.; Wang, Y.; Yu, G.; Jia, B.L. Silencing of SAA1 inhibits palmitate- or high-fat diet induced insulin resistance through suppression of the NF-κB pathway. Mol. Med. 2019, 25, 17. [Google Scholar] [CrossRef] [PubMed]
- Langhardt, J.; Flehmig, G.; Klöting, N.; Lehmann, S.; Ebert, T.; Kern, M.; Schön, M.R.; Gärtner, D.; Lohmann, T.; Dressler, M.; et al. Effects of Weight Loss on Glutathione Peroxidase 3 Serum Concentrations and Adipose Tissue Expression in Human Obesity. Obes. Facts 2018, 11, 475–490. [Google Scholar] [CrossRef]
- Yang, X.; Deignan, J.L.; Qi, H.; Zhu, J.; Qian, S.; Zhong, J.; Torosyan, G.; Majid, S.; Falkard, B.; Kleinhanz, R.R.; et al. Validation of candidate causal genes for obesity that affect shared metabolic pathways and networks. Nat. Genet. 2009, 41, 415–423. [Google Scholar] [CrossRef]
- Jobgen, W.; Fu, W.J.; Gao, H.; Li, P.; Meininger, C.J.; Smith, S.B.; Spencer, T.E.; Wu, G. High fat feeding and dietary L-arginine supplementation differentially regulate gene expression in rat white adipose tissue. Amino Acids 2009, 37, 187–198. [Google Scholar] [CrossRef]
- Yun, S.L.; Kim, A.Y.; Jin, W.C.; Kim, M.; Yasue, S.; Hee, J.S.; Masuzaki, H.; Kyong, S.P.; Jae, B.K. Dysregulation of adipose glutathione peroxidase 3 in obesity contributes to local and systemic oxidative stress. Mol. Endocrinol. 2008, 22, 2176–2189. [Google Scholar] [CrossRef]
- Asayama, K.; Nakane, T.; Dobashi, K.; Kodera, K.; Hayashibe, H.; Uchida, N.; Nakazawa, S. Effect of obesity and troglitazone on expression of two glutathione peroxidases: Cellular and extracellular types in serum, kidney and adipose tissue. Free Radic. Res. 2001, 34, 337–347. [Google Scholar] [CrossRef] [PubMed]
- Russell, S.T.; Tisdale, M.J. Role of β-adrenergic receptors in the anti-obesity and anti-diabetic effects of zinc-α2-glycoprotien (ZAG). Biochim. Biophys. Acta Mol. Cell Biol. Lipids 2012, 1821, 590–599. [Google Scholar] [CrossRef] [PubMed]
- Zhu, H.J.; Dong, C.X.; Pan, H.; Ping, X.C.; Li, N.S.; Dai, Y.F.; Wang, L.J.; Yang, H.B.; Zhao, W.G.; Gong, F.Y. Rs4215 SNP in zinc-α2-glycoprotein gene is associated with obesity in Chinese north Han population. Gene 2012, 500, 211–215. [Google Scholar] [CrossRef]
- Balaz, M.; Vician, M.; Janakova, Z.; Kurdiova, T.; Surova, M.; Imrich, R.; Majercikova, Z.; Penesova, A.; Vlcek, M.; Kiss, A.; et al. Subcutaneous adipose tissue zinc-α2-glycoprotein is associated with adipose tissue and whole-body insulin sensitivity. Obesity 2014, 22, 1821–1829. [Google Scholar] [CrossRef]
- Ge, S.; Ryan, A.S. Zinc-α2-Glycoprotein expression in adipose tissue of obese postmenopausal women before and after weight loss and exercise + weight loss. Metabolism 2014, 63, 995–999. [Google Scholar] [CrossRef]
- Liu, M.; Zhu, H.; Dai, Y.; Pan, H.; Li, N.; Wang, L.; Yang, H.; Yan, K.; Gong, F. Zinc-α2-glycoprotein is associated with obesity in Chinese people and HFD-induced obese mice. Front. Physiol. 2018, 9, 62. [Google Scholar] [CrossRef]
- Wang, C.; Roy-Gagnon, M.-H.; Lefebvre, J.-F.; Burkett, K.M.; Dubois, L. Modeling gene-environment interactions in longitudinal family studies: A comparison of methods and their application to the association between the IGF pathway and childhood obesity. BMC Med. Genet. 2019, 20, 9. [Google Scholar] [CrossRef]
- Wolff, G.; Taranko, A.E.; Meln, I.; Weinmann, J.; Sijmonsma, T.; Lerch, S.; Heide, D.; Billeter, A.T.; Tews, D.; Krunic, D.; et al. Diet-dependent function of the extracellular matrix proteoglycan Lumican in obesity and glucose homeostasis. Mol. Metab. 2019, 19, 97–106. [Google Scholar] [CrossRef]
- Geyer, P.E.; Wewer Albrechtsen, N.J.; Tyanova, S.; Grassl, N.; Iepsen, E.W.; Lundgren, J.; Madsbad, S.; Holst, J.J.; Torekov, S.S.; Mann, M. Proteomics reveals the effects of sustained weight loss on the human plasma proteome. Mol. Syst. Biol. 2016, 12, 901. [Google Scholar] [CrossRef]
- Albrecht, T.; Schilperoort, M.; Zhang, S.; Braun, J.D.; Qiu, J.; Rodriguez, A.; Pastene, D.O.; Krämer, B.K.; Köppel, H.; Baelde, H.; et al. Carnosine attenuates the development of both type 2 diabetes and diabetic nephropathy in BTBR ob/ob mice. Sci. Rep. 2017, 7, srep44492. [Google Scholar] [CrossRef] [PubMed]
- Kiseleva, O.I.; Ponomarenko, E.A.; Romashova, Y.A.; Poverennaya, E.V.; Lisitsa, A.V. Detectability of plasma proteins in SRM measurements. Curr. Proteom. 2019, 16, 74–81. [Google Scholar] [CrossRef]




| NORM | OW | OB1 | OB2 | OB3 | p-Value 1 | |
|---|---|---|---|---|---|---|
| Number of patients | 22 13/9 (f/m) | 21 10/11 (f/m) | 19 10/9 (f/m) | 21 10/11 (f/m) | 21 11/10 (f/m) | - |
| Age (years, mean ± std. deviation) | 30.54 ± 5.34 | 32.90 ± 6.66 | 29.89 ± 8.16 | 32.62 ± 7.92 | 34.05 ± 6.64 | 0.4 |
| Height (cm ± std. deviation) | 172.65 ± 7.31 | 171.99 ± 11.81 | 170.15 ± 11.99 | 172.26 ± 9.74 | 172.08 ± 9.72 | 0.7 |
| Weight (kg ± std. deviation) | 64.93 ± 8.12 | 81.80 ± 12.24 | 94.44 ± 13.23 | 109.62 ± 13.67 | 140.33 ± 27.76 | <0.001 |
| BMI (kg/m2 ± std. deviation) | 21.73 ± 1.90 | 27.52 ± 1.35 | 32.51 ± 1.69 | 36.81 ± 1.39 | 46.99 ± 5.81 | <0.001 |
| # | UniProt ID | Gene Name | References | Comment on the Association with Obesity |
|---|---|---|---|---|
| 1 | A0A0C4DH25 | IGKV3D-20 | - | - |
| 2 | P00736 | C1R | [43,47] | High expression of complement components in omental adipose tissue |
| 3 | P00742 | F10 | [48,49] | Chronic low-grade inflammation, but is likely also due to direct effects of adipose tissue on mediators of coagulation |
| 4 | P01700 | IGLV1-47 | [50] | Differentially expressed gene in normal individuals and obese patients with breast cancer |
| 5 | P02655 | APOC2 | [51,52] | Cofactor for lipoprotein lipase, a plasma enzyme that hydrolyzes triglycerides/agent for obesity |
| 6 | P04278 | SHBG | [46,53] | Decreased SHBG levels may be one of the components of the metabolic syndrome |
| 7 | P07358 | C8B | [54] | Protein encoded by C8B gene and associated with complement activation was shared across diets indicating that a core set of proteins participate in tissue response to high-fat diet |
| 8 | P07360 | C8G | [54] | Protein encoded by C8G gene and associated with complement activation was shared across diets indicating that a core set of proteins participate in tissue response to high-fat diet |
| 9 | P08185 | SERPINA6 | [55,56,57,58,59] | Corticosteroid-binding globulin polymorphism could influence obesity, metabolic, or hypothalamo-pituitary adrenal axis activity parameters |
| 10 | P0DJI8 | SAA1 | [60,61] | Major acute phase protein, correlating with obesity and insulin resistance in human |
| 11 | P10643 | C7 | [47] | Constituent of the membrane attack complex (MAC) that plays a key role in the innate and adaptive immune response by forming pores in the plasma membrane of target cells |
| 12 | P20742 | PZP | - | PZP levels are individual-specific, do not correlate strongly with obesity |
| 13 | P22352 | GPX3 | [62,63,64,65,66] | GPX3 expression is significantly higher in lean compared to obese as well as in insulin-sensitive compared insulin-resistant individuals with obesity |
| 14 | P25311 | AZGP1 | [39,40,41,67,68,69,70,71] | AZGP1 stimulates lipid degradation in adipocytes and causes the extensive fat losses associated with some advanced cancers. May bind polyunsaturated fatty acids. Can promote the browning of white adipose tissue and can serve as a potential therapeutic target for treating metabolic diseases such as obesity. It is reduced in obesity, with a trend to further decrease with prediabetes and type 2 diabetes |
| 15 | P35858 | IGFALS | [72] | IGFALS is involved in protein-protein interactions that result in protein complexes, receptor-ligand binding or cell adhesion. Children and adolescents with a variety of illnesses and metabolic disorders have altered circulating IGF-I and IGFBP levels. Circulating IGF and IGFBP levels overlap with normal values |
| 16 | P51884 | LUM | [73] | LUM over-expression in visceral fat and liver resulted in improved insulin sensitivity and glucose clearance. Over-expression of LUM increases insulin sensitivity |
| 17 | Q06033 | ITIH3 | [43,74] | ITIH3 negatively correlated with obesity |
| 18 | Q96KN2 | CNDP1 | [75] | An increased risk for obesity/overweight due to genotypes of CNDP1 was observed only in the group with a low carotene/carbohydrate intake ratio. In the high carotene/carbohydrate intake group, the genotype of CNDP1 was no risk factor for obesity/overweight |
Publisher’s Note: MDPI stays neutral with regard to jurisdictional claims in published maps and institutional affiliations. |
© 2021 by the authors. Licensee MDPI, Basel, Switzerland. This article is an open access article distributed under the terms and conditions of the Creative Commons Attribution (CC BY) license (http://creativecommons.org/licenses/by/4.0/).
Share and Cite
Kiseleva, O.I.; Arzumanian, V.A.; Poverennaya, E.V.; Pyatnitskiy, M.A.; Ilgisonis, E.V.; Zgoda, V.G.; Plotnikova, O.A.; Sharafetdinov, K.K.; Lisitsa, A.V.; Tutelyan, V.A.; et al. Does Proteomic Mirror Reflect Clinical Characteristics of Obesity? J. Pers. Med. 2021, 11, 64. https://doi.org/10.3390/jpm11020064
Kiseleva OI, Arzumanian VA, Poverennaya EV, Pyatnitskiy MA, Ilgisonis EV, Zgoda VG, Plotnikova OA, Sharafetdinov KK, Lisitsa AV, Tutelyan VA, et al. Does Proteomic Mirror Reflect Clinical Characteristics of Obesity? Journal of Personalized Medicine. 2021; 11(2):64. https://doi.org/10.3390/jpm11020064
Chicago/Turabian StyleKiseleva, Olga I., Viktoriia A. Arzumanian, Ekaterina V. Poverennaya, Mikhail A. Pyatnitskiy, Ekaterina V. Ilgisonis, Victor G. Zgoda, Oksana A. Plotnikova, Khaider K. Sharafetdinov, Andrey V. Lisitsa, Victor A. Tutelyan, and et al. 2021. "Does Proteomic Mirror Reflect Clinical Characteristics of Obesity?" Journal of Personalized Medicine 11, no. 2: 64. https://doi.org/10.3390/jpm11020064
APA StyleKiseleva, O. I., Arzumanian, V. A., Poverennaya, E. V., Pyatnitskiy, M. A., Ilgisonis, E. V., Zgoda, V. G., Plotnikova, O. A., Sharafetdinov, K. K., Lisitsa, A. V., Tutelyan, V. A., Nikityuk, D. B., Archakov, A. I., & Ponomarenko, E. A. (2021). Does Proteomic Mirror Reflect Clinical Characteristics of Obesity? Journal of Personalized Medicine, 11(2), 64. https://doi.org/10.3390/jpm11020064

