Comparative Analysis of Coagulation and Liver Parameters in Individuals with Alcohol and Substance Use Disorders and Healthy Controls
Abstract
1. Introduction
2. Materials and Methods
2.1. Study Design and Sample
2.2. Coagulation Parameters and Liver Function Tests
2.3. Statistical Analysis
3. Results
3.1. Demographic Characteristics Between Substance Abusers and Control Groups
3.2. Comparison of Liver Functions and HBV, HCV, HIV Between Substance Abusers and Control Groups
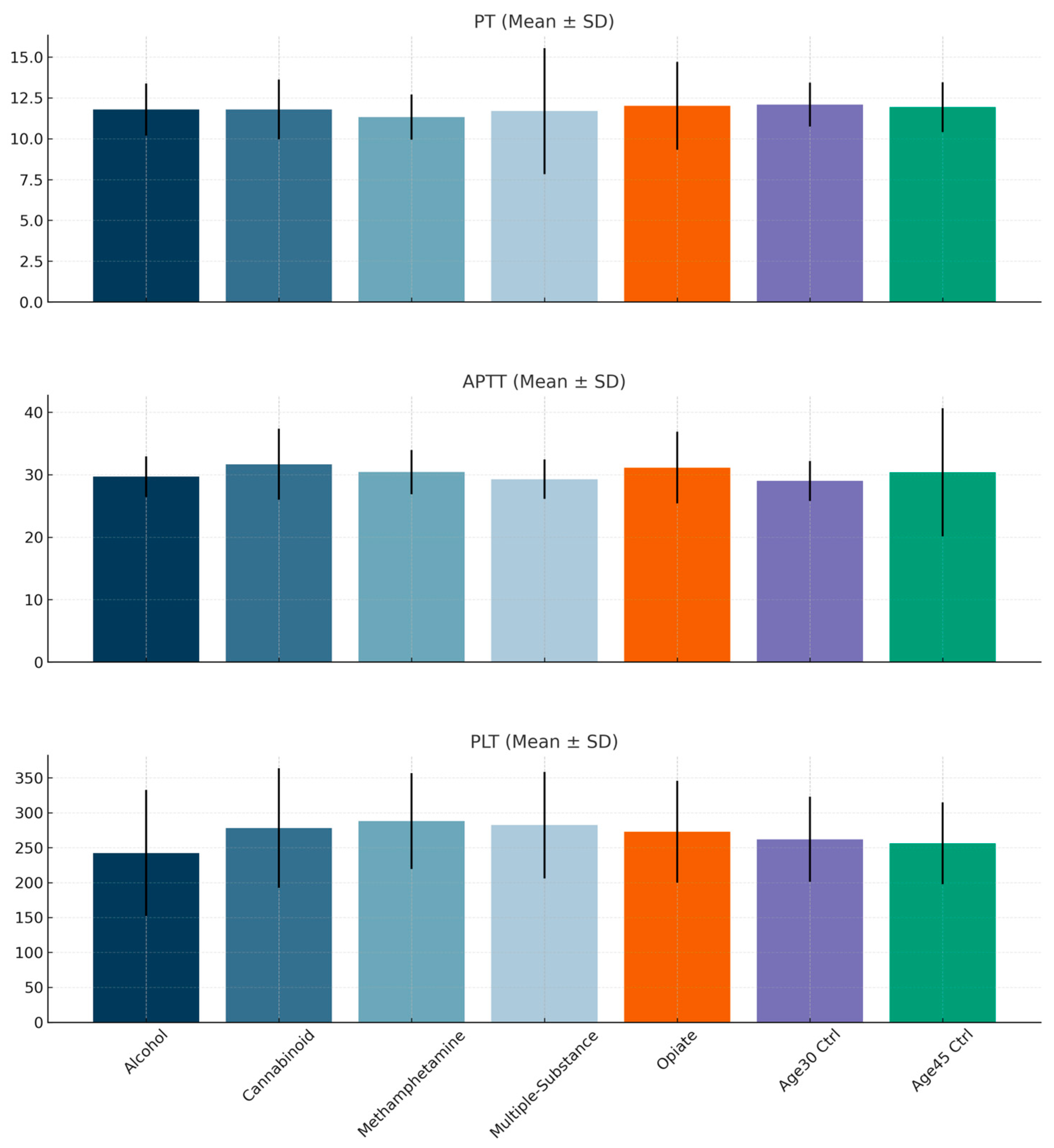
3.3. Comparison of Blood Coagulation Parameters Between Substance Abusers and Control Groups
3.4. Association Between Smoking Status and Diagnostic Groups
3.5. Comparison of Laboratory Parameters Between Smokers and Non-Smokers
4. Discussion
5. Conclusions
Author Contributions
Funding
Institutional Review Board Statement
Informed Consent Statement
Data Availability Statement
Conflicts of Interest
Abbreviations
| AUD | Alcohol Use Disorder |
| SUD | Substance Use Disorder |
| PT | Prothrombin Time |
| aPTT | Activated Partial Thromboplastin Time |
| PLT | Platelet |
References
- Tanaka, K.A.; Key, N.S.; Levy, J.H. Blood coagulation: Hemostasis and thrombin regulation. Anesth. Analg. 2009, 108, 1433–1446. [Google Scholar] [CrossRef]
- Sang, Y.; Roest, M.; de Laat, B.; de Groot, P.G.; Huskens, D. Interplay between platelets and coagulation. Blood Rev. 2021, 46, 100733. [Google Scholar] [CrossRef]
- Haider, E.; Mahmood, R.; Ghazanfar, A.; Abbas, A.; Usmani, A.; Tariq, R.; Saad, R.A.; Saeed, F. Hematological Parameters and Coagulation Profile in Patients with Chronic Liver Disease and its Correlation with Disease Severity. Pak. Armed Forces Med. J. 2023, 73, S306–S309. [Google Scholar] [CrossRef]
- Melkamu, A.; Woldu, B.; Sitotaw, C.; Seyoum, M.; Aynalem, M. The magnitude and associated factors of coagulation abnormalities among liver disease patients at the University of Gondar Comprehensive Specialized Hospital Northwest, Ethiopia, 2022. Thromb. J. 2023, 21, 35. [Google Scholar] [CrossRef]
- Dorgalaleh, A.; Favaloro, E.J.; Bahraini, M.; Rad, F. Standardization of prothrombin time/international normalized ratio (PT/INR). Int. J. Lab. Hematol. 2021, 43, 21–28. [Google Scholar] [CrossRef]
- Santoro, R.C.; Molinari, A.C.; Leotta, M.; Martini, T. Isolated prolongation of activated partial thromboplastin time: Not just bleeding risk! Medicina 2023, 59, 1169. [Google Scholar] [CrossRef]
- Yazıcı, A.B.; Bardakçı, M.R. Factors Associated with Relapses in Alcohol and Substance Use Disorder. Eurasian J. Med. 2023, 55, 75–81. [Google Scholar] [CrossRef]
- UNODC World Drug Report 2024. 2024. Available online: https://www.unodc.org/unodc/en/data-and-analysis/world-drug-report-2024.html (accessed on 26 June 2024).
- World Health Organization. Global Status Report on Alcohol and Health and Treatment of Substance Use Disorders; WHO: Geneva, Switzerland, 2024. [Google Scholar]
- Adias, T.C.; Egerton, E.; Erhabor, O. Evaluation of coagulation parameters and liver enzymes among alcohol drinkers in Port Harcourt, Nigeria. Int. J. Gen. Med. 2013, 6, 489–494. [Google Scholar] [CrossRef] [PubMed][Green Version]
- Schmölders, R.S.; Hoffmann, T.; Hermsen, D.; Bernhard, M.; Boege, F.; Lau, M.; Hartung, B. Evaluation of alcohol intoxication on primary and secondary haemostasis–results from comprehensive coagulation testing. Int. J. Leg. Med. 2025, 139, 1797–1808. [Google Scholar] [CrossRef] [PubMed]
- Shen, C.J.; Kao, C.H.; Hsu, T.Y.; Chen, C.Y.; Lin, C.L.; Shih, H.M. Effect of alcohol intoxication on the risk of venous thromboembolism: A nationwide retrospective cohort study. Medicine 2017, 96, e8041. [Google Scholar] [CrossRef]
- Ramli, F.F.; Rejeki, P.S.; Abdullayeva, G.; Halim, S. A Mechanistic Review on Toxicity Effects of Methamphetamine. Int. J. Med. Sci. 2025, 22, 482. [Google Scholar] [CrossRef]
- De Luca, C.; Virtuoso, A.; Maggio, N.; Papa, M. Neuro-coagulopathy: Blood coagulation factors in central nervous system diseases. Int. J. Mol. Sci. 2017, 18, 2128. [Google Scholar] [CrossRef]
- Ito, M.; Nagai, T.; Mizoguchi, H.; Fukakusa, A.; Nakanishi, Y.; Kamei, H.; Nabeshima, T.; Takuma, K.; Yamada, K. Possible involvement of protease-activated receptor-1 in the regulation of morphine-induced dopamine release and hyperlocomotion by the tissue plasminogen activator-plasmin system. J. Neurochem. 2007, 101, 1392–1399. [Google Scholar] [CrossRef] [PubMed]
- Nagai, T.; Nabeshima, T.; Yamada, K. Basic and translational research on proteinase-activated receptors: Regulation of nicotine reward by the tissue plasminogen activator (tPA)–plasmin system via proteinase-activated receptor 1. J. Pharmacol. Sci. 2008, 108, 408–414. [Google Scholar] [CrossRef] [PubMed]
- Carter, C.; Laviolette, L.; Bietar, B.; Zhou, J.; Lehmann, C. Cannabis, cannabinoids, and stroke: Increased risk or potential for protection—A narrative review. Curr. Issues Mol. Biol. 2024, 46, 3122–3133. [Google Scholar] [CrossRef] [PubMed]
- Zacharia, G.S.; Jacob, A. Liver disorders in substance abusers. Hepatol. Forum 2024, 6, 34. [Google Scholar] [CrossRef]
- Gazy, P.; Standowicz, S.; Marciniak, S.; Echolc, B.; Mazur, B. The effect of chronic alcohol abuse on liver damage and function–analysis of basic biochemical and coagulological parameters. Alcohol. Drug Addict. Narkom. 2019, 32, 101–108. [Google Scholar] [CrossRef]
- Andrade, B.B.; Hullsiek, K.H.; Boulware, D.R.; Rupert, A.; French, M.A.; Ruxrungtham, K.; Montes, M.L.; Price, H.; Barreiro, P.; Audsley, J.; et al. Biomarkers of inflammation and coagulation are associated with mortality and hepatitis flares in persons coinfected with HIV and hepatitis viruses. J. Infect. Dis. 2013, 207, 1379–1388. [Google Scholar] [CrossRef]
- Cohen, J. Statistical Power Analysis for the Behavioral Sciences; Routledge: Abingdon, UK, 2013. [Google Scholar]
- George, D.; Mallery, P. IBM SPSS Statistics 26 Step by Step: A Simple Guide and Reference; Routledge: Abingdon, UK, 2019. [Google Scholar]
- Yang, R.; Zubair, M.; Moosavi, L. Prothrombin time. In StatPearls; StatPearls Publishing: Treasure Island, FL, USA, 2024. [Google Scholar]
- Khaheshi, I.; Mahjoob, M.P.; Esmaeeli, S.; Eslami, V.; Haybar, H. Simultaneous thrombosis of the left anterior descending artery and the right coronary artery in a 34-year-old crystal methamphetamine abuser. Korean Circ. J. 2015, 45, 158–160. [Google Scholar] [CrossRef]
- Kaye, S.; McKetin, R.; Duflou, J.; Darke, S. Methamphetamine and cardiovascular pathology: A review of the evidence. Addiction 2007, 102, 1204–1211. [Google Scholar] [CrossRef]
- Sharma, T.; Kumar, M.; Rizkallah, A.; Cappelluti, E.; Padmanabhan, P. Cocaine-induced thrombosis: Review of predisposing factors, potential mechanisms, and clinical consequences with a striking case report. Cureus 2019, 11, e4700. [Google Scholar] [CrossRef]
- Levendal, R.A.; Frost, C.L. In vivo effects of Cannabis sativa L. extract on blood coagulation, fat and glucose metabolism in normal and streptozocin-induced diabetic rats. Afr. J. Tradit. Complement. Altern. Med. 2006, 3, 1–12. [Google Scholar] [CrossRef][Green Version]
- Monfort, M.; Larakeb, A.; Gouraud, F. Inhalation de cannabis frelaté, responsable d’une hémoptysie. Arch. Pédiatrie 2013, 20, 637–639. [Google Scholar] [CrossRef]
- Alqahtani, A.; Ammari, Z.; Ramahi, A.; Ahmed, T.S.S.; Klada, E. Cannabis smoking-induced diffuse alveolar hemorrhage. Cureus 2019, 11, e5089. [Google Scholar] [CrossRef]
- Raheemullah, A.; Laurence, T.N. Repeated thrombosis after synthetic cannabinoid use. J. Emerg. Med. 2016, 51, 540–543. [Google Scholar] [CrossRef]
- Khayat, W.; Lehmann, C. The endocannabinoid system: A potential therapeutic target for coagulopathies. Metabolites 2022, 12, 541. [Google Scholar] [CrossRef]
- Moloudi, A.; Sabzi, F.; Shahhosaini, E. Analysis of coagulation tests, proteins C and S, and plasma fibrinogen in addicts and non-addicts with coronary artery disease. J. Kermanshah Univ. Med. Sci. 2014, 17, e74287. [Google Scholar]
- Azdaki, N.; Zardast, M.; Anani-Sarab, G.; Abdorrazaghnaejad, H.; Ghasemian, M.R.; Saburi, A. Comparison between homocysteine, fibrinogen, PT, PTT, INR and CRP in male smokers with/without addiction to opium. Addict. Health 2017, 9, 17. [Google Scholar] [PubMed]
- Han, W.; Huang, R.; Li, B.; Liu, L.; Xu, W.; Zhang, G. Characteristics of FXa-storing platelets in hemophilia B mice and the influence of alcohol on the platelets. Sci. Rep. 2023, 13, 16488. [Google Scholar] [CrossRef] [PubMed]
- Marumo, M.; Wakabayashi, I. Antithrombotic Action of Alcohol in Relation to Platelet Function. Nihon Eiseigaku Zasshi 2024, 79, 24007. [Google Scholar] [CrossRef]
- Harris, J.C.; Leggio, L.; Farokhnia, M. Blood biomarkers of alcohol use: A scoping review. Curr. Addict. Rep. 2021, 8, 500–508. [Google Scholar] [CrossRef]
- Høiseth, G.; Hilberg, T.; Trydal, T.; Husa, A.; Vindenes, V.; Bogstrand, S.T. The alcohol marker phosphatidylethanol is closely related to AST, GGT, ferritin and HDL-C. Basic Clin. Pharmacol. Toxicol. 2022, 130, 182–190. [Google Scholar] [CrossRef] [PubMed]
- Nyblom, H.; Berggren, U.; Balldin, J.; Olsson, R. High AST/ALT ratio may indicate advanced alcoholic liver disease rather than heavy drinking. Alcohol Alcohol. 2004, 39, 336–339. [Google Scholar] [CrossRef]
- Mohammed, N.S.; Ali, Z.Q.; Mohamed, A.S.; Mirza, S.A. The impact of methamphetamine on liver injury in Iraqi male addicts. Toxicol. Rep. 2024, 13, 101806. [Google Scholar] [CrossRef]
- Zhang, K.-K.; Wang, H.; Qu, D.; Chen, L.-J.; Wang, L.-B.; Li, J.-H.; Liu, J.-L.; Xu, L.-L.; Yoshida, J.S.; Xu, J.-T.; et al. Luteolin alleviates methamphetamine-induced hepatotoxicity by suppressing the p53 pathway-mediated apoptosis, autophagy, and inflammation in rats. Front. Pharmacol. 2021, 12, 641917. [Google Scholar]
- Atici, S.; Cinel, I.; Cinel, L.; Doruk, N.; Eskandari, G.; Oral, U. Liver and kidney toxicity in chronic use of opioids: An experimental long term treatment model. J. Biosci. 2005, 30, 245–252. [Google Scholar] [CrossRef]
- Bazmi, S.; Parvaneh, T.; Mohammadi, Z.; Pishdad, P.; Ghaedian, M.; Dehghan, A.; Homayounfar, R.; Farjam, M. Association of prior opium addiction with incident non-alcoholic fatty liver disease: A case-control study. PLoS ONE 2025, 20, e0326889. [Google Scholar] [CrossRef]
- Lien, L.; Bolstad, I.; Bramness, J.G. Smoking among inpatients in treatment for substance use disorders: Prevalence and effect on mental health and quality of life. BMC Psychiatry 2021, 21, 244. [Google Scholar] [CrossRef]
- Ambrose, J.A.; Barua, R.S. The pathophysiology of cigarette smoking and cardiovascular disease: An update. J. Am. Coll. Cardiol. 2004, 43, 1731–1737. [Google Scholar] [CrossRef]
- Elkhalifa, A.M. Effects of cigarette smoking on coagulation screening tests and platelet counts in a Sudanese male adults population. Saudi Med. J. 2018, 39, 897. [Google Scholar] [CrossRef] [PubMed]
- Wu, X.; Liu, Y.; Zou, C.; He, F.; Guo, F.; Liu, S.; Fan, Y.; Zhu, X.; Zhou, Q.; Shu, D. Nicotine’s impact on platelet function: Insights into hemostasis mechanisms. Front. Pharmacol. 2025, 15, 1512142. [Google Scholar] [CrossRef]
- Stevens, A.K.; Gunn, R.L.; Sokolovsky, A.W.; Colby, S.M.; Jackson, K.M. Examining the heterogeneity of polysubstance use patterns in young adulthood by age and college attendance. Exp. Clin. Psychopharmacol. 2022, 30, 701. [Google Scholar] [CrossRef]
- Normand, J.; Salyards, S.D.; Mahoney, J.J. An evaluation of preemployment drug testing. J. Appl. Psychol. 1990, 75, 629–639. [Google Scholar] [CrossRef]
- Moss, H.B.; Chen, C.M.; Yi, H.Y. Measures of substance consumption among substance users: Reliability and validity of survey responses. Drug Alcohol. Depend. 2012, 125, 145–151. [Google Scholar]
- Napper, L.E.; Fisher, D.G.; Johnson, M.E.; Wood, M.M. The reliability and validity of drug users’ self-reports of amphetamine use among primarily heroin and cocaine users. Addict. Behav. 2009, 35, 350–354. [Google Scholar] [PubMed]
- Siwar, M.A.A.L.; Mansour, S.H.E.D.; Aldubayan, M.A.; Alhowail, A.H.; Almogbel, Y.S.; Emara, A.M. Health status outcome among cannabis addicts after treatment of addiction. PLoS ONE 2023, 18, e0290730. [Google Scholar]
- Ratner, J.A.; Blaney, H.; Rastegar, D.A. Management of alcohol withdrawal syndrome in patients with alcohol-associated liver disease. Hepatol. Commun. 2024, 8, e0372. [Google Scholar] [CrossRef] [PubMed]


| Group | p-Value | ||||||||
|---|---|---|---|---|---|---|---|---|---|
| Parameters | Alcohol (n = 110) | Cannabinoid (n = 71) | Methamphetamine (n = 110) | Multiple-Substance (n = 110) | Opiate (n = 50) | Age 30 Control (n = 100) | Age 45 Alcohol Control (n = 50) | ||
| Age, Mean ± SD | 45.67 ± 11.44 | 30.73 ± 7.51 | 28.84 ± 6.05 | 30.93 ± 7.37 | 33.26 ± 8.01 | 29.90 ± 5.47 | 45.38 ± 2.64 | <0.001 | |
| Gender | Female | 5 (4.5%) | 2 (2.8%) | 9 (8.2%) | 6 (5.5%) | 7 (14.0%) | 10 (10.0%) | 5 (10.0%) | 0.178 |
| Male | 105 (95.5%) | 69 (97.2%) | 101 (91.8%) | 104 (94.5%) | 43 (86.0%) | 90 (90.0%) | 45 (90.0%) | ||
| ALT, Mean ± SD | 50.37 ± 54.62 | 30.70 ± 26.33 | 25.35 ± 16.09 | 30.68 ± 31.35 | 22.16 ± 16.84 | 33.51 ± 20.69 | 28.16 ± 13.97 | <0.001 | |
| AST, Mean ± SD | 62.85 ± 77.19 | 24.41 ± 12.69 | 22.84 ± 8.59 | 27.58 ± 16.63 | 22.64 ± 9.27 | 27.68 ± 11.59 | 24.80 ± 8.07 | <0.001 | |
| Anti HCV | S+ | 0 | 0 | 0 | 0 | 9 | 0 | 0 | <0.001 |
| S− | 110 | 71 | 110 | 110 | 41 | 100 | 50 | ||
| HBs AG | S+ | 3 | 2 | 2 | 3 | 0 | 4 | 3 | 0.671 |
| S− | 107 | 69 | 108 | 107 | 50 | 96 | 47 | ||
| Anti HIV | S+ | 0 | 0 | 3 | 0 | 0 | 0 | 0 | 0.074 |
| S− | 110 | 71 | 107 | 110 | 50 | 100 | 50 | ||
| Group | p-Value | |||||||
|---|---|---|---|---|---|---|---|---|
| Alcohol (n = 110) | Cannabinoid (n = 71) | Methamphetamine (n = 110) | Multiple-Substance (n = 110) | Opiate (n = 50) | Age 30 Control (n = 100) | Age 45 Alcohol Control (n = 50) | ||
| Ca, Mean ± SD | 9.46 ± 0.51 | 9.66 ± 0.41 | 9.58 ± 0.39 | 9.60 ± 0.39 | 9.45 ± 0.40 | 9.62 ± 0.40 | 9.46 ± 0.32 | 0.005 |
| PT, Mean ± SD | 11.78 ± 1.60 | 11.79 ± 1.83 | 11.32 ± 1.38 | 11.69 ± 3.86 | 12.01 ± 2.69 | 12.09 ± 1.34 | 11.93 ± 1.52 | <0.001 |
| APTT, Mean ± SD | 29.68 ± 3.23 | 31.67 ± 5.68 | 30.41 ± 3.55 | 29.27 ± 3.14 | 31.13 ± 5.74 | 29.01 ± 3.20 | 30.39 ±10.27 | <0.001 |
| PLT, Mean ± SD | 242.37 ± 90.14 | 278.15 ± 85.76 | 288.05 ± 68.50 | 282.19 ± 76.07 | 272.72 ± 73.15 | 262.08 ± 61.18 | 256.00 ± 58.59 | <0.001 |
| INR, Mean ± SD | 1.17 ± 0.57 | 1.11 ± 0.14 | 1.07 ± 1.10 | 1.14 ± 0.38 | 1.14 ± 0.27 | 1.09 ± 0.12 | 1.09 ± 0.15 | 0.164 |
| Parameter | Non-Smokers (Mean ± SD) n = 66 | Smokers (Mean ± SD) n = 535 | U | p |
|---|---|---|---|---|
| ALT (U/L) | 32.15 ± 21.28 | 32.95 ± 33.33 | 15,864.5 | 0.178 |
| AST (U/L) | 26.62 ± 11.74 | 32.85 ± 39.60 | 17,534.5 | 0.928 |
| Calcium (mg/dL) | 9.60 ± 0.43 | 9.56 ± 0.42 | 16,995.0 | 0.619 |
| PT (s) | 11.92 ± 1.52 | 11.75 ± 2.33 | 15,598.0 | 0.122 |
| aPTT (s) | 29.44 ± 6.31 | 30.12 ± 4.64 | 15,275.5 | 0.074 |
| INR | 1.08 ± 0.14 | 1.12 ± 0.34 | 15,616.0 | 0.125 |
| PLT (×103/µL) | 261.50 ± 56.22 | 270.13 ± 78.51 | 16,624.5 | 0.439 |
Disclaimer/Publisher’s Note: The statements, opinions and data contained in all publications are solely those of the individual author(s) and contributor(s) and not of MDPI and/or the editor(s). MDPI and/or the editor(s) disclaim responsibility for any injury to people or property resulting from any ideas, methods, instructions or products referred to in the content. |
© 2025 by the authors. Licensee MDPI, Basel, Switzerland. This article is an open access article distributed under the terms and conditions of the Creative Commons Attribution (CC BY) license.
Share and Cite
Bardakçı, Ş.; Bardakçı, M.R.; Güzel Erdoğan, D.; Aydın, A.; Yazici, A.B. Comparative Analysis of Coagulation and Liver Parameters in Individuals with Alcohol and Substance Use Disorders and Healthy Controls. Diagnostics 2026, 16, 52. https://doi.org/10.3390/diagnostics16010052
Bardakçı Ş, Bardakçı MR, Güzel Erdoğan D, Aydın A, Yazici AB. Comparative Analysis of Coagulation and Liver Parameters in Individuals with Alcohol and Substance Use Disorders and Healthy Controls. Diagnostics. 2026; 16(1):52. https://doi.org/10.3390/diagnostics16010052
Chicago/Turabian StyleBardakçı, Şeyma, Muhammed Raşit Bardakçı, Derya Güzel Erdoğan, Abdülkadir Aydın, and Ahmet Bulent Yazici. 2026. "Comparative Analysis of Coagulation and Liver Parameters in Individuals with Alcohol and Substance Use Disorders and Healthy Controls" Diagnostics 16, no. 1: 52. https://doi.org/10.3390/diagnostics16010052
APA StyleBardakçı, Ş., Bardakçı, M. R., Güzel Erdoğan, D., Aydın, A., & Yazici, A. B. (2026). Comparative Analysis of Coagulation and Liver Parameters in Individuals with Alcohol and Substance Use Disorders and Healthy Controls. Diagnostics, 16(1), 52. https://doi.org/10.3390/diagnostics16010052

