Clinical Profiles and Mortality-Associated Risk Factors in Patients with Acute Kidney Injury from Atlixco, Puebla, Mexico
Abstract
1. Introduction
2. Materials and Methods
3. Results
3.1. Clinical Profiles in Patients with Acute Kidney Injury
3.2. Factors Associated with Mortality
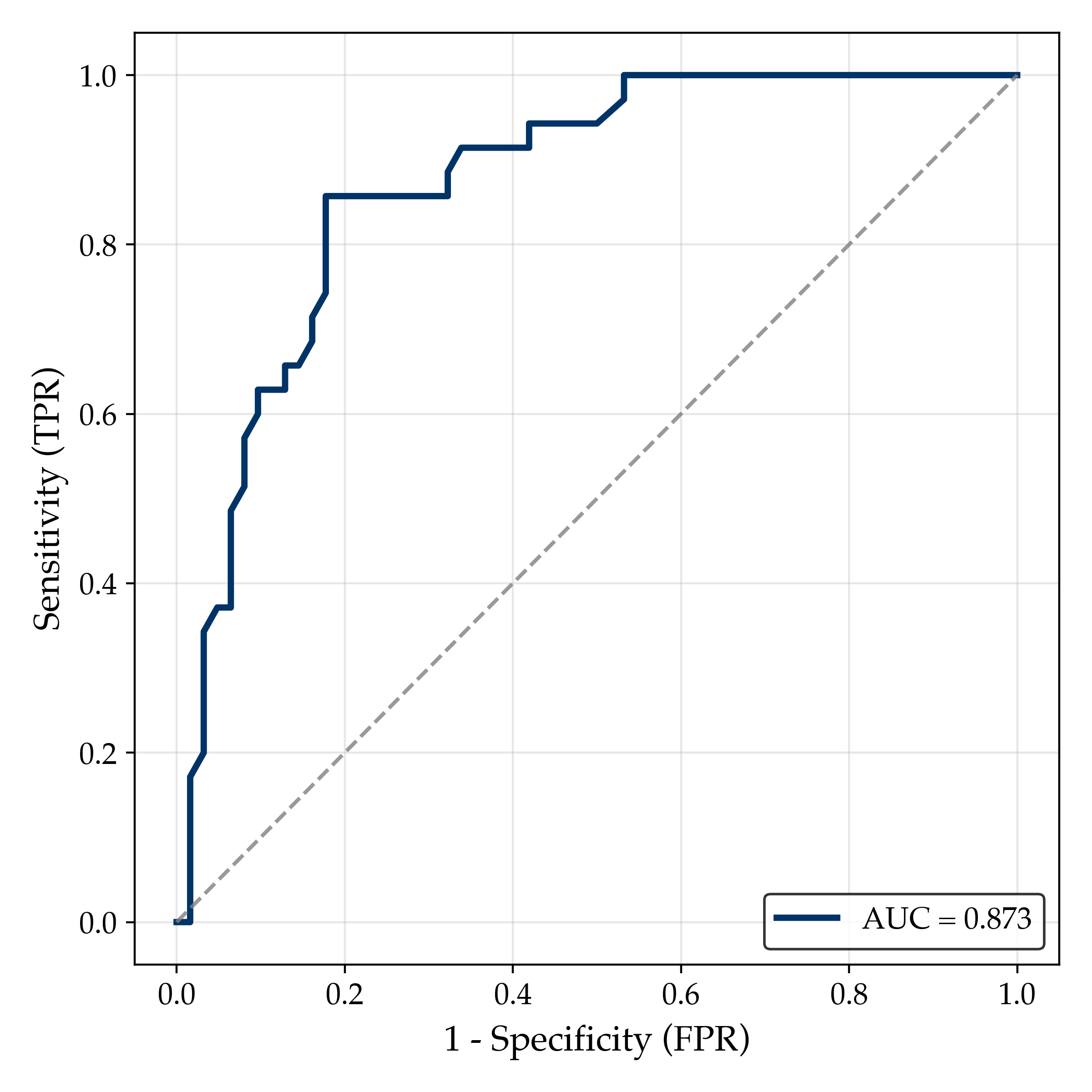
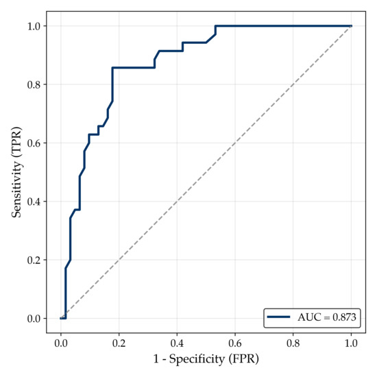
Quantitative and Categorical Parameters Suggest Death Risk Profiles for AKI Stages II and III
4. Discussion
4.1. Clinical Profile of Patients with AKI
4.2. Predictors of Mortality Among Patients with AKI
4.3. Pathophysiological Mechanisms Driving the Development of Acute Kidney Injury (AKI)
4.4. Limitations and Future Directions
- The retrospective design of this study inherently limits the analysis due to potential biases, particularly those related to incomplete or missing data.
- The relatively small sample size (n = 106) may limit the statistical power and generalizability of the findings. However, the inclusion of a multivariable logistic regression model with excellent discriminative and calibration performance (AUC = 0.873; Brier score = 0.139) supports the internal validity and reliability of the results. Larger and more diverse cohorts are still needed to confirm these findings and to extend their applicability to broader populations.
- These findings should be interpreted considering that 53.8% of the patients were admitted with a diagnosis of COVID-19, while the remaining cases were associated with other causes of AKI, such as sepsis and gastrointestinal disorders. Therefore, the results reflect a mixed population of COVID-19 and non-COVID-19 patients.
- Another limitation of this study is the incomplete availability of coagulation parameters such as D-dimer and fibrinogen. Although these biomarkers could provide valuable insight into sepsis-related coagulopathy and its association with mortality, they were not consistently available for all patients and thus could not be included in the multivariable analysis. Future studies should incorporate these and other hemostatic variables into predictive models to better elucidate the contribution of coagulation imbalance to AKI outcomes.
- The study did not include a direct evaluation of the causes of AKI, prerenal, intrinsic or postrenal. Given the hospital-based nature of the cohort, it is plausible that many cases were related to non-kidney-specific conditions. This limits the interpretation of causality and underlines the importance of incorporating etiological characterization in future research.
- Although environmental factors were not part of the present study design, their relevance to AKI should not be underestimated. In the rural region of Atlixco, Puebla, located within the influence area of the Alto Atoyac Basin, high environmental contamination levels may contribute to an increased prevalence of renal injury [13]. In this area, AKI may be partially driven by environmental exposure to volcanic ash from Popocatépetl and by the frequent use of agricultural pesticides associated with local economic activities. Previous studies conducted in the Atlixco, Puebla region have documented the presence of heavy metals (e.g., Pb, Cr, Cd) in volcanic ash and its leachates [75]. Although some of these elements may occur naturally in soil and aquifers, volcanic emissions can increase their environmental burden and bioavailability through contact with water, facilitating incorporation into biological cycles [76]. Pesticide residues has been documented, and these have been linked to genetic damage in local agricultural workers [77]. In Hunan Province, China—an area with high exposure to metals due to mining activity—elevated urinary copper concentrations (>20.92 μg/L) have been linked to abnormal estimated glomerular filtration rate [78]. Similarly, in Taiwan, high urinary copper levels were associated with eGFR < 60 mL/min/1.73 m2 [79]. In northern–central Mexico, in mining areas, chromium exposure has shown a dose-dependent relationship with increased urinary KIM-1, an early biomarker of renal damage [80]. These findings suggest that populations chronically exposed to heavy metals are at increased risk of renal impairment. Future prospective studies should therefore incorporate environmental exposure data to better delineate its contribution to AKI development in vulnerable rural populations.
5. Conclusions
Author Contributions
Funding
Institutional Review Board Statement
Informed Consent Statement
Data Availability Statement
Acknowledgments
Conflicts of Interest
Abbreviations
| AIN | Acute Interstitial Nephritis |
| AKI | Acute kidney injury |
| AKIN | Acute Kidney Injury Network |
| ATIN | Acute tubulointerstitial nephritis |
| AUC | Areas under the curve |
| BCR | Blood urea nitrogen-to-creatinine ratio |
| BUN | Blood urea nitrogen |
| CDK | Chronic kidney disease |
| CI | Confidence intervals |
| CRP | C-reactive protein |
| CRRT | Continuous renal replacement therapy |
| CV | Cardiovascular |
| Cys-C | Cystatin C |
| EPO | Erythropoietin |
| FiO2 | Fraction of inspired oxygen |
| GFR | Glomerular filtration rate |
| HCO3 | Bicarbonate |
| HGZ05 | Hospital General de Zona no. 5 |
| HT | Hypertension |
| ICU | Intensive care unit |
| IGFBP-7 | Insulin-like Growth Factor-Binding Protein 7 |
| IL-18 | Interleukin 18 |
| KDIGO | Kidney Disease Improving Global Outcomes |
| KIM-1 | Kidney Injury Molecule-1 |
| L-FABP | Liver-type Fatty Acid Binding Protein |
| MLR | Monocyte-to-lymphocyte ratio |
| NGAL | Neutrophil Gelatinase-Associated Lipocalin |
| NLR | Neutrophil-to-lymphocyte ratio |
| NPV | Negative Predictive Value |
| NSAIDs | Nonsteroidal anti-inflammatory drugs |
| NTUH | National Taiwan University Hospital |
| OR | Odd ratio |
| PBE | Peripheral blood eosinophilia |
| pCO2 | Partial pressure of carbon dioxide |
| PLR | Platelet-to-lymphocyte ratio |
| pO2 | Partial pressure of oxygen |
| PPIs | Proton pump inhibitors |
| PPV | Positive Predictive Value |
| RIFLE | Risk, Injury, Failure, Loss of Renal Function, and End-stage Renal Disease |
| ROC | Receiver operating characteristic |
| RRT | Renal replacement therapy |
| rUTI | Recurrent urinary tract infections |
| SD | Standard deviation |
| TIMP-2 | Tissue Inhibitor of Metalloproteinase 2 |
| WHO | World Health Organization |
Appendix A


| Comorbidity | OR | 95% CI | p-Value |
|---|---|---|---|
| Stage I | 0.2506 | 0.1017–0.6176 | 0.0031 ** |
| Stage II | 1.3100 | 0.3823–4.4850 | 0.7517 |
| Stage III | 5.5150 | 1.8620–16.3400 | 0.0025 ** |
| 18–30 years | 0.1472 | 0.0078–2.7460 | 0.1558 |
| 31–60 years | 0.4239 | 0.1598–1.1250 | 0.1096 |
| 61–90 years | 3.2940 | 1.2520–8.6710 | 0.0158 * |
| Male | 0.9926 | 0.4331–2.2750 | 1.0000 |
| Female | 1.0070 | 0.4396–2.3090 | 1.0000 |
| COVID-19 | 1.5870 | 0.6797–3.7030 | 0.2979 |
| Polypharmacy | 2.3430 | 1.0000–5.4900 | 0.0586 |
| HT | 1.9250 | 0.8287–4.4720 | 0.1387 |
| Diabetes | 1.4280 | 0.6155–3.3130 | 0.5182 |
| Overweight | 0.7599 | 0.2158–2.6750 | 0.7645 |
| rUTI | 1.6260 | 0.4996–5.2900 | 0.5366 |
| High Creatinine at Admission | 2.0870 | 0.6914–6.3000 | 0.2109 |
| High 2nd Control | 1.8690 | 0.5447–6.4110 | 0.3949 |
| High 3rd Control | 3.4240 | 1.2270–9.5510 | 0.0253 * |
| Low Total Leukocytes | 3.3910 | 0.7572–15.1800 | 0.1267 |
| High Total Leukocytes | 0.8025 | 0.3413–1.8870 | 0.6691 |
| Low Erythrocytes | 1.1790 | 0.4850–2.8680 | 0.8234 |
| High Neutrophils | 0.5574 | 0.0337–9.2030 | 1.0000 |
| Lymphopenia | 0.5500 | 0.0739–4.0880 | 0.6180 |
| Low Monocytes | 0.9308 | 0.3935–2.2020 | 1.0000 |
| High Monocytes | 0.2222 | 0.0410–1.2030 | 0.1241 |
| Low Eosinophils | 4.2450 | 0.8971–20.0900 | 0.0764 |
| High Basophils | 1.0420 | 0.3679–2.9500 | 1.0000 |
| High NLR | 0.5500 | 0.0739–4.0880 | 0.6180 |
| Low MLR | 0.6944 | 0.2227–2.1660 | 0.5903 |
| High MLR | 0.4211 | 0.1804–0.9830 | 0.4211 |
| Low Hemoglobin | 2.3750 | 1.0170–5.5450 | 0.0569 |
| High Hemoglobin | 1.5830 | 0.3906–6.4180 | 0.7239 |
| Low Hematocrit | 1.7290 | 0.6696–4.4630 | 0.3561 |
| Low Platelets | 4.8700 | 1.6310–14.5400 | 0.0054 ** |
| High Platelets | 0.0793 | 0.0044–1.4070 | 0.0242 * |
| Low PLR | 2.6220 | 0.5507–12.4900 | 0.2400 |
| High PLR | 0.5018 | 0.1929–1.3050 | 0.2112 |
| Hypoglycemia | 0.5018 | 0.1929–1.3050 | 0.2112 |
| Hyperglycemia | 0.7664 | 0.2893–2.0300 | 0.6202 |
| High Urea | 3.3730 | 1.3560–8.3930 | 0.0099 ** |
| High BUN | 2.6480 | 1.0840–6.4670 | 0.0338 * |
| Low BCR | 0.6818 | 0.2703–1.7200 | 0.4751 |
| High BCR | 1.7660 | 0.6867–4.5410 | 0.3246 |
| High CRP | 2.6250 | 0.4603–14.9700 | 0.4339 |
| Low Fibrinogen | 4.5450 | 0.3718–55.5800 | 0.2532 |
| High Fibrinogen | 0.7937 | 0.1574–4.0010 | 1.0000 |
| Low Serum Calcium | 2.1250 | 0.7619–5.9270 | 0.1889 |
| High Serum Calcium | 0.1677 | 0.0086–3.2420 | 0.2898 |
| Low Serum Albumin | 3.3540 | 0.6297–17.8700 | 0.1670 |
| Low Serum Chloride | 0.4589 | 0.1500–1.4040 | 0.2016 |
| High Serum Chloride | 4.8180 | 1.1050–21.0100 | 0.0544 |
| Acidemia | 27.5000 | 3.1240–242.1000 | 0.0002 *** |
| Alkalemia | 0.3765 | 0.0980–1.4460 | 0.2047 |
| Low pCO2 | 0.7619 | 0.1878–3.0900 | 0.7339 |
| High pCO2 | 5.8820 | 0.6036–57.3300 | 0.1576 |
| Low PO2 | 3.3170 | 0.9638–11.4200 | 0.0716 |
| Low HCO3 | 3.5000 | 0.6422–19.0800 | 0.1596 |
| Low Oxygen Saturation | 5.0560 | 1.4580–17.5300 | 0.0173 * |
| High FiO2 | 2.3330 | 0.4990–10.9100 | 0.4604 |


| Metric | Value | Interpretation |
|---|---|---|
| AUC-ROC | 0.873 | Excellent discrimination |
| Bootstrap AUC (95% CI) | 0.872 (0.798–0.936) | Robust performance under resampling |
| Cross-validation AUC (5-fold) | 0.796 ± 0.145 | Acceptable model stability |
| Brier score | 0.139 | Good calibration (low prediction error) |
| Optimal threshold (Youden index) | 0.403 | Optimal cutoff for binary classification |
| Sensitivity | 0.857 | Correctly identifies 85.7% of deceased patients |
| Specificity | 0.823 | Correctly identifies 82.3% of survivors |
| Positive predictive value (PPV) | 0.732 | Probability of death among high-risk predictions |
| Negative predictive value (NPV) | 0.911 | Probability of survival among low-risk predictions |
References
- Abdelraheem, M.B. Acute Kidney Injury in Low- and Middle-Income Countries: Investigations, Management and Prevention. Paediatr. Int. Child Health 2017, 37, 269–272. [Google Scholar] [CrossRef] [PubMed]
- Kellum, J.A.; Romagnani, P.; Ashuntantang, G.; Ronco, C.; Zarbock, A.; Anders, H.J. Acute Kidney Injury. Nat. Rev. Dis. Primers 2021, 7, 52. [Google Scholar] [CrossRef] [PubMed]
- Khwaja, A. KDIGO Clinical Practice Guidelines for Acute Kidney Injury. Nephron Clin. Pract. 2012, 120, c179–c184. [Google Scholar] [CrossRef] [PubMed]
- Mehta, R.L.; Kellum, J.A.; Shah, S.V.; Molitoris, B.A.; Ronco, C.; Warnock, D.G.; Levin, A.; Bagga, A.; Bakkaloglu, A.; Bonventre, J.V.; et al. Acute Kidney Injury Network: Report of an Initiative to Improve Outcomes in Acute Kidney Injury. Crit. Care 2007, 11, R31. [Google Scholar] [CrossRef]
- Bellomo, R.; Ronco, C.; Kellum, J.A.; Mehta, R.L.; Palevsky, P. Acute Renal Failure—Definition, Outcome Measures, Animal Models, Fluid Therapy and Information Technology Needs: The Second International Consensus Conference of the Acute Dialysis Quality Initiative (ADQI) Group. Crit. Care 2004, 8, R204. [Google Scholar] [CrossRef]
- Ostermann, M.; Legrand, M.; Meersch, M.; Srisawat, N.; Zarbock, A.; Kellum, J.A. Biomarkers in Acute Kidney Injury. Ann. Intensive Care 2024, 14, 145. [Google Scholar] [CrossRef]
- Kellum, J.A.; Lameire, N.; Aspelin, P.; Barsoum, R.S.; Burdmann, E.A.; Goldstein, S.L.; Herzog, C.A.; Joannidis, M.; Kribben, A.; Levey, A.S.; et al. Diagnosis, Evaluation, and Management of Acute Kidney Injury: A KDIGO Summary (Part 1). Crit. Care 2013, 17, 204. [Google Scholar] [CrossRef]
- Yoon, S.Y.; Kim, J.S.; Jeong, K.H.; Kim, S.K. Acute Kidney Injury: Biomarker-Guided Diagnosis and Management. Medicina 2022, 58, 340. [Google Scholar] [CrossRef]
- Bufkin, K.B.; Karim, Z.A.; Silva, J. Review of the Limitations of Current Biomarkers in Acute Kidney Injury Clinical Practices. SAGE Open Med. 2024, 12, 20503121241228446. [Google Scholar] [CrossRef]
- Chávez-Iñiguez, J.S.; García-García, G.; Lombardi, R. Epidemiology and outcomes of acute kidney injury in Latin America. Gac. Med. Mex. 2018, 154, S6–S14. [Google Scholar] [CrossRef]
- Chávez-Íñiguez, J.S.; Madero, M. Global Perspectives in Acute Kidney Injury: Mexico. Kidney360 2022, 3, 737–739. [Google Scholar] [CrossRef] [PubMed]
- World Health Organization. Global Health Estimates 2020: Disease Burden by Cause, Age, Sex, by Country and by Region, 2000–2019; World Health Organization: Geneva, Switzerland, 2000. [Google Scholar]
- Conahcyt. 1ER Informe Estratégico Cuenca del Alto Atoyac (Tlaxcala y Puebla): Región de Emergencia Sanitaria y Ambiental; Problemática Socioambiental y Recomendaciones Para su Atención Integral; Conahcyt: Mexico City, Mexico, 2023. [Google Scholar]
- Mo, S.; Bjelland, T.W.; Nilsen, T.I.L.; Klepstad, P. Acute Kidney Injury in Intensive Care Patients: Incidence, Time Course, and Risk Factors. Acta Anaesthesiol. Scand. 2022, 66, 961–968. [Google Scholar] [CrossRef] [PubMed]
- Bagshaw, S.M.; George, C.; Bellomo, R. Changes in the Incidence and Outcome for Early Acute Kidney Injury in a Cohort of Australian Intensive Care Units. Crit. Care 2007, 11, R68. [Google Scholar] [CrossRef] [PubMed]
- Silver, S.A.; Beaubien-Souligny, W.; Shah, P.S.; Harel, S.; Blum, D.; Kishibe, T.; Meraz-Munoz, A.; Wald, R.; Harel, Z. The Prevalence of Acute Kidney Injury in Patients Hospitalized With COVID-19 Infection: A Systematic Review and Meta-Analysis. Kidney Med. 2021, 3, 83–98.e1. [Google Scholar] [CrossRef]
- Bagshaw, S.M. Short- and Long-Term Survival after Acute Kidney Injury. Nephrol. Dial. Transplant. 2008, 23, 2126–2128. [Google Scholar] [CrossRef]
- Covic, A.; Schiller, A.; Mardare, N.G.; Petrica, L.; Petrica, M.; Mihaescu, A.; Posta, N. The Impact of Acute Kidney Injury on Short-Term Survival in an Eastern European Population with Stroke. Nephrol. Dial. Transplant. 2008, 23, 2228–2234. [Google Scholar] [CrossRef]
- Tarragón, B.; Valdenebro, M.; Serrano, M.L.; Maroto, A.; Llópez-Carratalá, M.R.; Ramos, A.; Rubio, E.; Huerta, A.; Marques, M.; Portolés, J. Acute renal failure in patients hospitalized for COVID-19. Nefrología 2021, 41, 34–40. [Google Scholar] [CrossRef]
- Cheruiyot, I.; Kipkorir, V.; Ngure, B.; Misiani, M.; Munguti, J.; Henry, B.; Lippi, G. Acute Kidney Injury Is Associated with Worse Prognosis in COVID-19 Patients: A Systematic Review and Meta-Analysis. Acta Bio Med.: Atenei Parm. 2020, 91, e2020029. [Google Scholar] [CrossRef]
- Chen, H.; Li, M.; Liu, L.; Dang, X.; Zhu, D.; Tian, G. Monocyte/Lymphocyte Ratio Is Related to the Severity of Coronary Artery Disease and Clinical Outcome in Patients with Non-ST-Elevation Myocardial Infarction. Medicine 2019, 98, e16267. [Google Scholar] [CrossRef]
- Chan, A.S.; Rout, A. Use of Neutrophil-to-Lymphocyte and Platelet-to-Lymphocyte Ratios in COVID-19. J. Clin. Med. Res. 2020, 12, 448. [Google Scholar] [CrossRef]
- Gürağaç, A.; Demirer, Z. The Neutrophil-to-Lymphocyte Ratio in Clinical Practice. Can. Urol. Assoc. J. 2016, 10, 141. [Google Scholar] [CrossRef][Green Version]
- Risch, L.; Ludin, G.; Sakem, B.; Nydegger, U.E.; Risch, M. Reference Intervals for the Neutrophil to Lymphocyte Ratio (NLR) in the Elderly: Results from the Prospective Seniorlab Study. Blood 2022, 140, 5032. [Google Scholar] [CrossRef]
- Tudurachi, B.S.; Anghel, L.; Tudurachi, A.; Sascău, R.A.; Stătescu, C. Assessment of Inflammatory Hematological Ratios (NLR, PLR, MLR, LMR and Monocyte/HDL–Cholesterol Ratio) in Acute Myocardial Infarction and Particularities in Young Patients. Int. J. Mol. Sci. 2023, 24, 14378. [Google Scholar] [CrossRef]
- Forget, P.; Khalifa, C.; Defour, J.P.; Latinne, D.; Van Pel, M.C.; De Kock, M. What Is the Normal Value of the Neutrophil-to-Lymphocyte Ratio? BMC Res. Notes 2017, 10, 12. [Google Scholar] [CrossRef]
- Schiffl, H.; Lang, S.M. Neutrophil-to-Lymphocyte Ratio-a New Diagnostic and Prognostic Marker of Acute Kidney Injury. Barriers to Broad Clinical Application. Int. Urol. Nephrol. 2023, 55, 101–106. [Google Scholar] [CrossRef]
- National Institute of Statistics and Geography (INEGI). Available online: https://www.inegi.org.mx/ (accessed on 25 March 2025).
- Abdel-Kader, K.; Palevsky, P.M. Acute Kidney Injury in the Elderly. Clin. Geriatr. Med. 2009, 25, 331–358. [Google Scholar] [CrossRef] [PubMed]
- Gaut, J.P.; Liapis, H. Acute Kidney Injury Pathology and Pathophysiology: A Retrospective Review. Clin. Kidney J. 2020, 2, 526–536. [Google Scholar] [CrossRef] [PubMed]
- Vijayan, A.; Abdel-Rahman, E.M.; Liu, K.D.; Goldstein, S.L.; Agarwal, A.; Okusa, M.D.; Cerda, J. Recovery after Critical Illness and Acute Kidney Injury. Clin. J. Am. Soc. Nephrol. 2021, 16, 1601–1609. [Google Scholar] [CrossRef] [PubMed]
- Kellum, J.A.; Sileanu, F.E.; Bihorac, A.; Hoste, E.A.J.; Chawla, L.S. Recovery after Acute Kidney Injury. Am. J. Respir. Crit. Care Med. 2017, 195, 784–791. [Google Scholar] [CrossRef]
- Chen, J.J.; Kuo, G.; Fan, P.C.; Lee, T.H.; Yen, C.L.; Lee, C.C.; Tian, Y.C.; Chang, C.H. Neutrophil-to-Lymphocyte Ratio Is a Marker for Acute Kidney Injury Progression and Mortality in Critically Ill Populations: A Population-Based, Multi-Institutional Study. J. Nephrol. 2022, 35, 911–920. [Google Scholar] [CrossRef]
- Jiang, F.; Lei, J.; Xiang, J.; Chen, Y.; Feng, J.; Xu, W.; Ou, J.; Yang, B.; Zhang, L. Monocyte-to-Lymphocyte Ratio: A Potential Novel Predictor for Acute Kidney Injury in the Intensive Care Unit. Ren. Fail. 2022, 44, 1004–1011. [Google Scholar] [CrossRef]
- Chen, Y.; Feng, F.; Li, M.; Yuan, J.J.; Chang, X.N.; Wei, B.H.; Du, H.; Dong, C.M. Relationship between Platelet/Lymphocyte Ratio and Prognosis of Patients with Septic Acute Kidney Injury: A Pilot Study. J. Chin. Med. Assoc. 2020, 83, 1004–1007. [Google Scholar] [CrossRef] [PubMed]
- Jiang, F.; Shi, Z.; Liu, X.; Xiang, J.; Lei, J.; Yang, B.; Lei, X.; Li, X. The Role of the Monocyte-to-Lymphocyte Ratio in Acute Ischemic Stroke Patients with Acute Kidney Injury. Mediat. Inflamm. 2022, 2022, 7911033. [Google Scholar] [CrossRef] [PubMed]
- Kaur, A.; Sharma, G.S.; Kumbala, D.R. Acute Kidney Injury in Diabetic Patients: A Narrative Review. Medicine 2023, 102, e33888. [Google Scholar] [CrossRef] [PubMed]
- James, M.T.; Grams, M.E.; Woodward, M.; Elley, C.R.; Green, J.A.; Wheeler, D.C.; De Jong, P.; Gansevoort, R.T.; Levey, A.S.; Warnock, D.G.; et al. A Meta-Analysis of the Association of Estimated GFR, Albuminuria, Diabetes Mellitus, and Hypertension with AKI. Am. J. Kidney Dis. 2015, 66, 602. [Google Scholar] [CrossRef]
- Lun, Z.; Mai, Z.; Liu, L.; Chen, G.; Li, H.; Ying, M.; Wang, B.; Chen, S.; Yang, Y.; Liu, J.; et al. Hypertension as a Risk Factor for Contrast-Associated Acute Kidney Injury: A Meta-Analysis Including 2,830,338 Patients. Kidney Blood Press. Res. 2021, 46, 670–692. [Google Scholar] [CrossRef]
- Aklilu, A.M.; Kumar, S.; Nugent, J.; Yamamoto, Y.; Coronel-Moreno, C.; Kadhim, B.; Faulkner, S.C.; O’connor, K.D.; Yasmin, F.; Greenberg, J.H.; et al. COVID-19−Associated Acute Kidney Injury and Longitudinal Kidney Outcomes. JAMA Intern. Med. 2024, 184, 414–423. [Google Scholar] [CrossRef]
- Lombardi, R.; Ferreiro, A.; Ponce, D.; Claure-Del Granado, R.; Aroca, G.; Venegas, Y.; Pereira, M.; Chavez-Iñiguez, J.; Rojas, N.; Villa, A.; et al. Latin American Registry of Renal Involvement in COVID-19 Disease. The Relevance of Assessing Proteinuria throughout the Clinical Course. PLoS ONE 2022, 17, e0261764. [Google Scholar] [CrossRef]
- Patschan, D.; Müller, G.A. Acute Kidney Injury in Diabetes Mellitus. Int. J. Nephrol. 2016, 2016, 6232909. [Google Scholar] [CrossRef]
- Song, X.; Liu, X.; Liu, F.; Wang, C. Comparison of Machine Learning and Logistic Regression Models in Predicting Acute Kidney Injury: A Systematic Review and Meta-Analysis. Int. J. Med. Inform. 2021, 151, 104484. [Google Scholar] [CrossRef]
- Chávez-Íñiguez, J.S.; Maggiani-Aguilera, P.; González-Barajas, D.; Rizo-Topete, L.; Galindo, P.; Rifkin, B.; Chávez-Alonso, G.; Martínez-Aguilar, A.I.; Pérez-Hernández, C.; Hernández-Morales, K.; et al. Urea Reduction in Acute Kidney Injury and Mortality Risk. Kidney Blood Press. Res. 2023, 48, 357–366. [Google Scholar] [CrossRef] [PubMed]
- Gaudry, S.; Hajage, D.; Martin-Lefevre, L.; Lebbah, S.; Louis, G.; Moschietto, S.; Titeca-Beauport, D.; Combe, L.B.; Pons, B.; de Prost, N.; et al. Comparison of Two Delayed Strategies for Renal Replacement Therapy Initiation for Severe Acute Kidney Injury (AKIKI 2): A Multicentre, Open-Label, Randomised, Controlled Trial. Lancet 2021, 397, 1293–1300. [Google Scholar] [CrossRef] [PubMed]
- Salvador, L.G.; Carolina, G.F.; Jesús, R.D.; Virgilia, S.A.M.; Susana, R.A.; Jonathan, C.Í.; Luis, S.P.J.; Claudio, R. A Low BUN/Creatinine Ratio Predicts Histologically Confirmed Acute Interstitial Nephritis. BMC Nephrol. 2023, 24, 75. [Google Scholar] [CrossRef] [PubMed]
- Kang, H.; Hong, H. Risk of Kidney Dysfunction from Polypharmacy among Older Patients: A Nested Case-Control Study of the South Korean Senior Cohort. Sci. Rep. 2019, 9, 10440. [Google Scholar] [CrossRef]
- Chao, C.T.; Tsai, H.B.; Wu, C.Y.; Lin, Y.F.; Hsu, N.C.; Chen, J.S.; Hung, K.Y.; Agarwal, S. Cumulative Cardiovascular Polypharmacy Is Associated with the Risk of Acute Kidney Injury in Elderly Patients. Medicine 2015, 94, e1251. [Google Scholar] [CrossRef]
- Chan, L.; Chaudhary, K.; Saha, A.; Chauhan, K.; Vaid, A.; Zhao, S.; Paranjpe, I.; Somani, S.; Richter, F.; Miotto, R.; et al. AKI in Hospitalized Patients with COVID-19. J. Am. Soc. Nephrol. 2021, 32, 151–160. [Google Scholar] [CrossRef]
- Griffin, B.R.; Jovanovich, A.; You, Z.; Palevsky, P.; Faubel, S.; Jalal, D. Effects of Baseline Thrombocytopenia and Platelet Decrease Following Renal Replacement Therapy Initiation in Patients with Severe Acute Kidney Injury. Crit. Care Med. 2019, 47, E325–E331. [Google Scholar] [CrossRef]
- Medina-González, R.; Zaragoza, J.J.; Hernández-Barajas, E.M.; Correa-de Leon, J.; Claure-Del Granado, R.; Vazquez-Rangel, A.; Pineda-Segura, L.M.; Franco-Garcia, M.K.; Chávez-Alonso, G.; Gómez-Fregoso, J.A.; et al. Decrease in Platelet Count in Patients with AKI and Its Association with Major Adverse Kidney Events. Ren. Fail. 2024, 46, 2359643. [Google Scholar] [CrossRef]
- Han, S.S.; Ahn, S.Y.; Ryu, J.; Baek, S.H.; Kim, K.I.; Chin, H.J.; Na, K.Y.; Chae, D.W.; Kim, S. U-Shape Relationship of White Blood Cells with Acute Kidney Injury and Mortality in Critically Ill Patients. Tohoku J. Exp. Med. 2014, 232, 177–185. [Google Scholar] [CrossRef]
- Lee, J.; Kim, S.G.; Yun, D.; Kang, M.W.; Kim, Y.C.; Kim, D.K.; Oh, K.H.; Joo, K.W.; Kim, Y.S.; Koo, H.S.; et al. Longitudinal Trajectory of Acidosis and Mortality in Acute Kidney Injury Requiring Continuous Renal Replacement Therapy. BMC Nephrol. 2022, 23, 411. [Google Scholar] [CrossRef] [PubMed]
- de Vasconcellos, K.; Skinner, D.L. Hyperchloraemia Is Associated with Acute Kidney Injury and Mortality in the Critically Ill: A Retrospective Observational Study in a Multidisciplinary Intensive Care Unit. J. Crit. Care 2018, 45, 45–51. [Google Scholar] [CrossRef] [PubMed]
- Thongprayoon, C.; Cheungpasitporn, W.; Chewcharat, A.; Mao, M.A.; Bathini, T.; Vallabhajosyula, S.; Thirunavukkarasu, S.; Kashani, K.B. Impact of Admission Serum Ionized Calcium Levels on Risk of Acute Kidney Injury in Hospitalized Patients. Sci. Rep. 2020, 10, 12316. [Google Scholar] [CrossRef] [PubMed]
- Afshinnia, F.; Belanger, K.; Palevsky, P.M.; Young, E.W. Effect of Ionized Serum Calcium on Outcomes in Acute Kidney Injury Needing Renal Replacement Therapy: Secondary Analysis of the Acute Renal Failure Trial Network Study. Ren. Fail. 2013, 35, 1310–1318. [Google Scholar] [CrossRef]
- Legrand, M.; Bell, S.; Forni, L.; Joannidis, M.; Koyner, J.L.; Liu, K.; Cantaluppi, V. Pathophysiology of COVID-19-Associated Acute Kidney Injury. Nat. Rev. Nephrol. 2021, 17, 751–764. [Google Scholar] [CrossRef]
- Pecly, I.M.D.; Azevedo, R.B.; Muxfeldt, E.S.; Botelho, B.G.; Albuquerque, G.G.; Diniz, P.H.P.; Silva, R.; Rodrigues, C.I.S. A Review of Covid-19 and Acute Kidney Injury: From Pathophysiology to Clinical Results. Braz. J. Nephrol. 2021, 43, 551–571. [Google Scholar] [CrossRef]
- Ng, J.H.; Bijol, V.; Sparks, M.A.; Sise, M.E.; Izzedine, H.; Jhaveri, K.D. Pathophysiology and Pathology of Acute Kidney Injury in Patients With COVID-19. Adv. Chronic Kidney Dis. 2020, 27, 365–376. [Google Scholar] [CrossRef]
- Basile, D.P.; Anderson, M.D.; Sutton, T.A. Pathophysiology of Acute Kidney Injury. Compr. Physiol. 2012, 2, 1303–1353. [Google Scholar] [CrossRef]
- Vieira, B.M. Glucocorticoid-Mediated Modulation of Eosinopoiesis in Asthma: A Paradoxical Duality. Allergies 2025, 5, 35. [Google Scholar] [CrossRef]
- Hong, S.G.; Sato, N.; Legrand, F.; Gadkari, M.; Makiya, M.; Stokes, K.; Howe, K.N.; Yu, S.J.; Linde, N.S.; Clevenger, R.R.; et al. Glucocorticoid-Induced Eosinopenia Results from CXCR4-Dependent Bone Marrow Migration. Blood 2020, 136, 2667–2678. [Google Scholar] [CrossRef]
- Khoury, P.; Stokes, K.; Gadkari, M.; Makiya, M.A.; Legrand, F.; Hu, Z.; Klion, A.; Franco, L.M. Glucocorticoid-Induced Eosinopenia in Humans Can Be Linked to Early Transcriptional Events. Allergy 2018, 73, 2076–2079. [Google Scholar] [CrossRef] [PubMed]
- Nishimoto, M.; Murashima, M.; Kokubu, M.; Eriguchi, M.; Samejima, K.I.; Akai, Y.; Tsuruya, K. Anemia Following Acute Kidney Injury after Noncardiac Surgery and Long-Term Outcomes: The NARA-AKI Cohort Study. Clin. Kidney J. 2021, 14, 673–680. [Google Scholar] [CrossRef] [PubMed]
- Ysebaert, D.K.; De Greef, K.E.; Vercauteren, S.R.; Ghielli, M.; Verpooten, G.A.; Eyskens, E.J.; De Broe, M.E. Identification and Kinetics of Leukocytes after Severe Ischaemia/Reperfusion Renal Injury. Nephrol. Dial. Transplant. 2000, 15, 1562–1574. [Google Scholar] [CrossRef] [PubMed]
- Lee, S.; Huen, S.; Nishio, H.; Nishio, S.; Lee, H.K.; Choi, B.S.; Ruhrberg, C.; Cantley, L.G. Distinct Macrophage Phenotypes Contribute to Kidney Injury and Repair. J. Am. Soc. Nephrol. 2011, 22, 317–326. [Google Scholar] [CrossRef]
- Ferenbach, D.A.; Bonventre, J.V. Mechanisms of Maladaptive Repair after AKI Leading to Accelerated Kidney Ageing and CKD. Nat. Rev. Nephrol. 2015, 11, 264–276. [Google Scholar] [CrossRef]
- Rae, F.; Woods, K.; Sasmono, T.; Campanale, N.; Taylor, D.; Ovchinnikov, D.A.; Grimmond, S.M.; Hume, D.A.; Ricardo, S.D.; Little, M.H. Characterisation and Trophic Functions of Murine Embryonic Macrophages Based upon the Use of a Csf1r-EGFP Transgene Reporter. Dev. Biol. 2007, 308, 232–246. [Google Scholar] [CrossRef]
- Lin, S.L.; Li, B.; Rao, S.; Yeo, E.J.; Hudson, T.E.; Nowlin, B.T.; Pei, H.; Chen, L.; Zheng, J.J.; Carroll, T.J.; et al. Macrophage Wnt7b Is Critical for Kidney Repair and Regeneration. Proc. Natl. Acad. Sci. USA 2010, 107, 4194–4199. [Google Scholar] [CrossRef]
- Jang, H.S.; Kim, J.; Park, Y.K.; Park, K.M. Infiltrated Macrophages Contribute to Recovery after Ischemic Injury but Not to Ischemic Preconditioning in Kidneys. Transplantation 2008, 85, 447–455. [Google Scholar] [CrossRef]
- Molitoris, B.A. Therapeutic Translation in Acute Kidney Injury: The Epithelial/Endothelial Axis. J. Clin. Investig. 2014, 124, 2355–2363. [Google Scholar] [CrossRef]
- Li, L.; Huang, L.; Vergis, A.L.; Ye, H.; Bajwa, A.; Narayan, V.; Strieter, R.M.; Rosin, D.L.; Okusa, M.D. IL-17 Produced by Neutrophils Regulates IFN-γ-Mediated Neutrophil Migration in Mouse Kidney Ischemia-Reperfusion Injury. J. Clin. Investig. 2010, 120, 331–342. [Google Scholar] [CrossRef]
- Lee, K.; Jang, H.R.; Rabb, H. Lymphocytes and Innate Immune Cells in Acute Kidney Injury and Repair. Nat. Rev. Nephrol. 2024, 20, 789–805. [Google Scholar] [CrossRef]
- Leaf, D.E.; Christov, M. Dysregulated Mineral Metabolism in AKI. Semin. Nephrol. 2019, 39, 41–56. [Google Scholar] [CrossRef] [PubMed]
- Silvia-Gomez, S.E.; Muñoz-Orozco, A.; de la isla-de Bauer, M.D.L.; Infante-Gil, S. Environmental pollution in the Atlixco region: 1. Water. TERRA Latinoam. 2002, 20, 243–251. [Google Scholar]
- Santamaría-Juárez, J.D.; Linares Ruíz, V.; Castañeda-Antonio, M.D.; Ramírez-Guzman, M.E.; Juárez, M.; Velasco, Á.; Águila, E.; Munguía, R.; Rivera, A.; Báez, A.; et al. Physicochemical characterization of particulate matter from Popocatépetl, Atlixco-Puebla route, and its impact on health and the environment. Acta Univ. 2022, 32, e3489. [Google Scholar] [CrossRef]
- Ortega-Martínez, L.D.; Pérez-Armendáriz, B.; Gómez-Arroyo, S.; Baños-Lara, M.D.R.; Terán-Cervantes, M.; Castro-Carranza, G.; Martínez-Valenzuela, M.D.C. View of Genetic and Cytotoxic Damage Caused by Pesticides in Day Laborers Working in Greenhouses in Atlixco, Puebla, Mexico. Available online: https://www.revistascca.unam.mx/rica/index.php/rica/article/view/RICA.2019.35.02.01/46825 (accessed on 12 May 2025).
- Yang, F.; Yi, X.; Guo, J.; Xu, S.; Xiao, Y.; Huang, X.; Duan, Y.; Luo, D.; Xiao, S.; Huang, Z.; et al. Association of Plasma and Urine Metals Levels with Kidney Function: A Population-Based Cross-Sectional Study in China. Chemosphere 2019, 226, 321–328. [Google Scholar] [CrossRef]
- Tsai, H.J.; Hung, C.H.; Wang, C.W.; Tu, H.P.; Li, C.H.; Tsai, C.C.; Lin, W.Y.; Chen, S.C.; Kuo, C.H. Associations among Heavy Metals and Proteinuria and Chronic Kidney Disease. Diagnostics 2021, 11, 282. [Google Scholar] [CrossRef]
- Cárdenas-González, M.; Osorio-Yáñez, C.; Gaspar-Ramírez, O.; Pavković, M.; Ochoa-Martínez, A.; López-Ventura, D.; Medeiros, M.; Barbier, O.C.; Pérez-Maldonado, I.N.; Sabbisetti, V.S.; et al. Environmental Exposure to Arsenic and Chromium in Children Is Associated with Kidney Injury Molecule-1. Environ. Res. 2016, 150, 653–662. [Google Scholar] [CrossRef]



| Variables | Stage I | Stage II | Stage III | Total | |
|---|---|---|---|---|---|
| General Characteristics | |||||
| Number of Patients (%) | 66 (62.3%) | 16 (15.1%) | 24 (22.6%)) | 106 (100%) | |
| 18–30 years (%) | 5 (4.7%) | - | - | 5 (4.7%) | |
| 31–60 years (%) | 22 (20.8%) | 6 (5.7%) | 7 (6.6%) | 35 (33.0%) | |
| 61–90 years (%) | 39 (36.8%) | 10 (9.4%) | 17 (16.0%) | 66 (62.3%) | |
| Male (%) | 33 (31.1%) | 7 (6.6%) | 15 (14.2%) | 55 (51.9%) | |
| Female (%) | 33 (31.1%) | 9 (8.5%) | 9 (8.5%) | 51 (48.1%) | |
| Recovery (%) | 49 (46.2%) | 7 (6.6%) | 6 (5.7%) | 62 (58.5%) | |
| Death (%) | 17 (16.0%) | 5 (4.7%) | 13 (12.3%) | 35 (33.0%) | |
| Voluntary discharge (%) | - | 4 (3.8%) | 5 (4.7%) | 9 (8.5%) | |
| Comorbidities and polypharmacy | |||||
| COVID-19 (%) | 43 (40.6%) | 5 (4.7%) | 9 (8.5%) | 57 (53.8%) | |
| Polypharmacy (%) | 28 (26.4%) | 9 (8.5%) | 14 (13.2%) | 51 (48.1%) | |
| HT (%) | 23 (21.7%) | 9 (8.5%) | 15 (14.2%) | 47 (44.3%) | |
| Diabetes (%) | 26 (24.5%) | 5 (4.7%) | 14 (13.2%) | 45 (42.5%) | |
| Overweight (%) | 8 (7.5%) | 3 (2.8%) | 4 (3.8%) | 15 (14.2%) | |
| rUTI (%) | 8 (7.5%) | 3 (2.8%) | 3 (2.8%) | 14 (13.2%) | |
| Laboratory Data | Reference values | ||||
| Creatinine at Admission (mg/dL) | 1.12 ± 0.33 ** | 1.79 ± 0.54 **** | 3.95 ± 2.01 **** | 1.86 ± 1.53 | 0.5–0.9 |
| 2nd Creatinine follow-up (mg/dL) | 1.04 ± 0.29 ** | 1.87 ± 0.49 **** | 3.33 ± 1.43 **** | 1.63 ± 1.15 | 0.5–0.9 |
| 3rd Creatinine follow-up (mg/dL) | 0.84 ± 0.26 | 1.92 ± 0.46 **** | 3.01 ± 1.86 **** | 1.44 ± 1.26 | 0.5–0.9 |
| Total Leukocytes (103/uL) | 9.91 ± 6.95 * | 9.88 ± 5.14 | 12.03 ± 5.37 *** | 10.37 ± 6.40 | 4.8–10 |
| Erythrocytes (106/uL) | 4.26 ± 0.83 **** | 3.87 ± 0.88 **** | 4.27 ± 0.76 **** | 4.20 ± 0.83 | 4.59–6.50 |
| Neutrophils (%) | 83.64 ± 7.77 **** | 77.93 ± 12.50 **** | 84.73 ± 6.39 **** | 83.02 ± 8.57 | 44–63.9 |
| Lymphocytes (%) | 9.77 ± 5.73 **** | 15.80 ± 10.64 **** | 9.77 ± 4.77 **** | 10.68 ± 6.79 | 24–42 |
| Monocytes (%) | 4.95 ± 3.40 **** | 5.00 ± 2.74 *** | 4.10 ± 3.08 **** | 4.76 ± 3.23 | 5.8–9.6 |
| Eosinophils (%) | 0.35 ± 0.72 **** | 0.65 ± 1.10 **** | 0.55 ± 0.85 **** | 0.44 ± 0.82 | 1.0–4.3 |
| Basophils (%) | 1.11 ± 1.30 * | 0.41 ± 0.64 | 0.57 ± 0.55 | 0.88 ± 1.13 | 0.0–1.3 |
| NLR | 14.04 ± 15.12 **** | 8.97 ± 9.68 * | 11.04 ± 5.94 *** | 12.61 ± 12.95 | 1–3 [24,25,26,27] |
| MLR | 0.62 ± 0.57 **** | 0.44 ± 0.34 | 0.46 ± 0.37 | 0.56 ± 0.50 | 0.2–0.4 [25] |
| Hemoglobin (g/dL) | 13.18 ± 2.95 *** | 12.08 ± 3.06 **** | 12.70 ± 2.50 *** | 12.90 ± 2.87 | 12.8–16.7 |
| Hematocrit (%) | 36.83 ± 7.19 **** | 35.44 ± 8.75 **** | 36.34 ± 7.41 **** | 36.51 ± 7.43 | 40.5–52 |
| Platelets (103/uL) | 287.3 ± 132.3 | 243.5 ± 100.2 | 225.9 ± 106.7 ** | 266.8 ± 124.4 | 150–450 |
| PLR | 451.6 ± 375.8 **** | 276.2 ± 287.6 | 234.8 ± 118.5 | 377.4 ± 335.8 | 100–200 [25] |
| Glucose (mg/dL) | 152.7 ± 84.85 **** | 140.6 ± 66.69 | 196.8 ± 134.0 **** | 160.8 ± 97.08 | 85–100 |
| Urea (mg/dL) | 52.17 ± 31.32 ** | 53.03 ± 23.24 | 125.60 ± 71.36 **** | 68.38 ± 51.92 | 16.60–49.50 |
| BUN (mg/dL) | 24.82 ± 14.35 ** | 30.14 ± 16.51 ** | 56.13 ± 35.14 **** | 32.51 ± 24.37 | 8–23 |
| BCR | 19.08 ± 10.73 | 13.73 ± 6.776 * | 13.24 ± 6.897 *** | 16.69 ± 10.01 | 20 |
| CRP (mg/L) | 91.60 ± 99.37 **** | 69.81 ± 69.03 | 161.9 ± 71.71 **** | 104.6 ± 96.20 | <15 |
| Fibrinogen (mg/dL) | 765.8 ± 400.6 **** | 680.6 ± 461.2 * | 1137 ± 273.3 **** | 809.7 ± 406.0 | 200–400 |
| Serum Calcium (mmol/L) | 8.40 ± 1.24 **** | 8.66 ± 1.11 | 8.40 ± 0.51 *** | 8.43 ± 1.07 | 8.2–10.2 |
| Serum Albumin (g/dL) | 3.21 ± 0.76 **** | 3.60 ± 0.85 ** | 2.85 ± 0.53 **** | 3.15 ± 0.74 | 4–5 |
| Serum Chloride (mmol/L) | 100.6 ± 8.62 | 103.9 ± 5.07 | 101.1 ± 22.91 | 101.1 ± 13.31 | 98–110 |
| pH | 7.40 ± 0.14 | 7.37 ± 0.13 | 7.32 ± 0.13 ** | 7.37 ± 0.14 | 7.35–7.45 |
| pCO2 (mmHg) | 35.08 ± 20.82 | 28.13 ± 10.91 | 27.88 ± 12.94 * | 31.66 ± 17.39 | 35–45 |
| pO2 (mmHg) | 78.46 ± 46.76 | 66.00 ± 13.44 | 76.93 ± 20.74 * | 75.96 ± 36.20 | >60 |
| HCO3 (mmol/L) | 19.89 ± 5.54 **** | 16.10 ± 4.10 **** | 14.32 ± 4.47 **** | 17.50 ± 5.55 | 22–29 |
| Oxygen Saturation (%) | 82.00 ± 25.53 | 89.33 ± 6.63 | 92.41 ± 5.81 | 86.67 ± 18.98 | >90 |
| FiO2 (%) | 57.10 ± 27.69 **** | 24.00 ± 4.64 | 45.14 ± 27.25 *** | 48.17 ± 27.57 | 21 |
| Variable | aOR | CI95-Low | CI95-High | p-Value | Sig |
|---|---|---|---|---|---|
| Age > 60 | 2.58 | 0.72 | 9.28 | 0.1464 | |
| Diabetes | 0.96 | 0.29 | 3.15 | 0.9487 | |
| Hypertension | 1.08 | 0.34 | 3.48 | 0.897 | |
| Polypharmacy | 3.86 | 1.15 | 12.97 | 0.0289 | * |
| Stage III | 8.24 | 1.76 | 38.57 | 0.0074 | * |
| Low Eosinophils | 22.46 | 2.18 | 231.61 | 0.0089 | * |
| Low Platelets | 7.06 | 1.71 | 29.18 | 0.0069 | * |
| High Urea | 1.88 | 0.53 | 6.7 | 0.3277 | |
| COVID-19 | 3.68 | 1.1 | 12.29 | 0.0343 | * |
Disclaimer/Publisher’s Note: The statements, opinions and data contained in all publications are solely those of the individual author(s) and contributor(s) and not of MDPI and/or the editor(s). MDPI and/or the editor(s) disclaim responsibility for any injury to people or property resulting from any ideas, methods, instructions or products referred to in the content. |
© 2025 by the authors. Licensee MDPI, Basel, Switzerland. This article is an open access article distributed under the terms and conditions of the Creative Commons Attribution (CC BY) license (https://creativecommons.org/licenses/by/4.0/).
Share and Cite
Zúñiga-Fernández, N.K.; Gaspar-Mendoza, P.A.; Torres-Pineda, L.; Baez-Baez, E.; Alvarado-Dardón, K.; Gutiérrez-de Anda, K.V.; Ayón-Aguilar, J.; Romo-Rodríguez, R.; Pelayo, R.; Casique-Aguirre, D. Clinical Profiles and Mortality-Associated Risk Factors in Patients with Acute Kidney Injury from Atlixco, Puebla, Mexico. Diagnostics 2025, 15, 2889. https://doi.org/10.3390/diagnostics15222889
Zúñiga-Fernández NK, Gaspar-Mendoza PA, Torres-Pineda L, Baez-Baez E, Alvarado-Dardón K, Gutiérrez-de Anda KV, Ayón-Aguilar J, Romo-Rodríguez R, Pelayo R, Casique-Aguirre D. Clinical Profiles and Mortality-Associated Risk Factors in Patients with Acute Kidney Injury from Atlixco, Puebla, Mexico. Diagnostics. 2025; 15(22):2889. https://doi.org/10.3390/diagnostics15222889
Chicago/Turabian StyleZúñiga-Fernández, Nancy K., Pedro A. Gaspar-Mendoza, Lizeth Torres-Pineda, Elizabeth Baez-Baez, Karina Alvarado-Dardón, Karla V. Gutiérrez-de Anda, Jorge Ayón-Aguilar, Rubí Romo-Rodríguez, Rosana Pelayo, and Diana Casique-Aguirre. 2025. "Clinical Profiles and Mortality-Associated Risk Factors in Patients with Acute Kidney Injury from Atlixco, Puebla, Mexico" Diagnostics 15, no. 22: 2889. https://doi.org/10.3390/diagnostics15222889
APA StyleZúñiga-Fernández, N. K., Gaspar-Mendoza, P. A., Torres-Pineda, L., Baez-Baez, E., Alvarado-Dardón, K., Gutiérrez-de Anda, K. V., Ayón-Aguilar, J., Romo-Rodríguez, R., Pelayo, R., & Casique-Aguirre, D. (2025). Clinical Profiles and Mortality-Associated Risk Factors in Patients with Acute Kidney Injury from Atlixco, Puebla, Mexico. Diagnostics, 15(22), 2889. https://doi.org/10.3390/diagnostics15222889

