Prehospital Performance of Five Early Warning Scores to Predict Long-Term Mortality in Patients with Suspected Respiratory Infections
Abstract
1. Introduction
2. Materials and Methods
2.1. Design
2.2. Setting
2.3. Participants
2.4. Early Warning Score Selection
- National Early Warning Score 2 (NEWS2): A widely used aggregate score based on six physiological variables, designed to detect early clinical deterioration. It is endorsed for use in both hospital and prehospital settings and has been associated with improved outcomes when used for the early recognition of critical illness [11].
- Quick Sequential [Sepsis-related] Organ Failure Assessment (qSOFA) score: A simple bedside tool intended to identify patients at risk of poor outcomes due to sepsis, using three clinical criteria (altered mentation, systolic blood pressure ≤ 100 mmHg, and respiratory rate ≥ 22). It has been validated in out-of-hospital contexts and requires no laboratory tests [13].
- Quick COVID-19 Severity Index (qCSI): Developed specifically for patients with COVID-19-related respiratory failure, this score uses oxygen requirements, respiratory rate, and SpO₂ to estimate the risk of critical illness. Its simplicity makes it suitable for prehospital triage in suspected viral pneumonia cases [8].
- CURB-65 Score for Pneumonia Severity (CURB-65): A well-established pneumonia severity score based on confusion, urea, respiratory rate, blood pressure, and age ≥ 65. Despite requiring a blood test (urea), it has been included due to its strong validation in pneumonia prognosis [14].
- BAP-65 Score for Acute Exacerbation of COPD (BAP-65) score: A score developed for acute exacerbations of COPD, incorporating blood urea nitrogen, altered mental status, pulse ≥ 109 bpm, and age ≥ 65 years. It has shown utility in identifying patients at higher risk of adverse outcomes and can be applied with limited resources [15].
2.5. Outcome
2.6. Data
2.7. Data Analysis
3. Results
3.1. Sample Characteristics
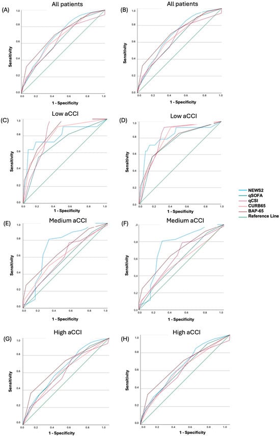
3.2. Early Warning Scores Performance
3.3. Survival Analysis
4. Discussion
Limitations
5. Conclusions
Supplementary Materials
Author Contributions
Funding
Institutional Review Board Statement
Informed Consent Statement
Data Availability Statement
Conflicts of Interest
Abbreviations
| aCCI | Age-adjusted Charlson comorbidity index |
| AECOPD | Acute exacerbation of chronic pulmonary obstructive disease |
| AUC | Area under the curve |
| BAP-65 | BAP-65 Score for Acute Exacerbation of COPD |
| BLS | Basic life support |
| BUN | Blood urea nitrogen |
| CI | Confidence interval |
| COPD | Chronic obstructive pulmonary disease |
| CURB-65 | CURB-65 Score for Pneumonia Severity |
| DBP | Diastolic blood pressure |
| ED | Emergency department |
| EMT | Emergency medical technicians |
| ERN | Emergency registered nurse |
| EWS | Early Warning Scores |
| FiO2 | Fraction of inspired Oxygen |
| GCS | Glasgow coma Scale |
| HR | Heart rate |
| HzR | Hazard ratio |
| ICU | Intensive care unit |
| IMV | Invasive mechanical ventilation |
| IQR | Interquartile ranges |
| M1Y | One-year mortality |
| M2Y | Two-year mortality |
| MBP | Medium blood pressure |
| NEWS2 | National Early Waring Score 2 |
| NIMV | Noninvasive mechanical ventilation |
| PAHO-WHO | Pan American Health Organization |
| PEMS | Prehospital Emergency Medical Services |
| qCSI | Quick COVID-19 Severity Index |
| qSOFA | Quick Sequential [Sepsis-related] Organ Failure Assessment |
| RD | Respiratory disease |
| RI | Respiratory infections |
| ROC | Receiver operating characteristic |
| RR | Respiratory rate |
| SACYL | Castilla y León Public Health System |
| SBP | Systolic blood pressure |
| SpO2 | Peripheral oxygen saturation |
| STROBE | STrengthening the Reporting of OBservational studies in Epidemiology |
| TT | Temperature |
References
- McHenry, R.D.; Moultrie, C.E.; Cadamy, A.J.; Corfield, A.R.; Mackay, D.F.; Pell, J.P. Pre-hospital and retrieval medicine in Scotland: A retrospective cohort study of the workload and outcomes of the emergency medical retrieval service in the first decade of national coverage. Scand. J. Trauma Resusc. Emerg. Med. 2023, 31, 39. [Google Scholar] [CrossRef]
- Ibsen, S.; Dam-Huus, K.B.; Nickel, C.H.; Christensen, E.F.; Søvsø, M.B. Diagnoses and mortality among prehospital emergency patients calling 112 with unclear problems: A population-based cohort study from Denmark. Scand. J. Trauma Resusc. Emerg. Med. 2022, 30, 70. [Google Scholar] [CrossRef]
- Lindskou, T.A.; Pilgaard, L.; Søvsø, M.B.; Kløjgård, T.A.; Larsen, T.M.; Jensen, F.B.; Weinrich, U.M.; Christensen, E.F.; Lazzeri, C. Symptom, diagnosis and mortality among respiratory emergency medical service patients. PLoS ONE 2019, 14, e213145. [Google Scholar] [CrossRef] [PubMed]
- Gea-Izquierdo, E. Mortalidad por neumonía y legionelosis en España: Un estudio de series temporales. Rev. Med. Chil. 2021, 149, 433–438. [Google Scholar] [CrossRef]
- Menéndez, R.; Cilloniz, C.; España, P.P.; Almirall, J.; Uranga, A.; Méndez, R.; Rigau, D.; Torres, A. Community-Acquired Pneumonia. Spanish Society of Pulmonology and Thoracic Surgery (SEPAR) Guidelines. 2020 Update. Arch. Bronconeumol. 2020, 56, 1–10. [Google Scholar] [CrossRef]
- Lindskou, T.A.; Ward, L.M.; Søvsø, M.B.; Mogensen, M.L.; Christensen, E.F. Prehospital Early Warning Scores to Predict Mortality in Patients Using Ambulances. JAMA Netw. Open. 2023, 6, e2328128. [Google Scholar] [CrossRef] [PubMed]
- Tavaré, A.; Pullyblank, A.; Redfern, E.; Collen, A.; Barker, R.O.; Gibson, A. NEWS2 in out-of-hospital settings, the ambulance and the emergency department. Clin. Med. 2022, 22, 525–529. [Google Scholar] [CrossRef]
- Haimovich, A.D.; Ravindra, N.G.; Stoytchev, S.; Young, H.P.; Wilson, F.P.; van Dijk, D.; Schulz, W.L.; Taylor, R.A. Development and Validation of the Quick COVID-19 Severity Index: A Prognostic Tool for Early Clinical Decompensation. Ann. Emerg. Med. 2020, 76, 442–453. [Google Scholar] [CrossRef] [PubMed]
- Grudzinska, F.S.; Aldridge, K.; Hughes, S.; Nightingale, P.; Parekh, D.; Bangash, M.; Dancer, R.; Patel, J.; Sapey, E.; Thickett, D.R.; et al. Early identification of severe community-acquired pneumonia: A retrospective observational study. BMJ Open Respir. Res. 2019, 6, e000438. [Google Scholar] [CrossRef]
- Wade, R.; Deng, N.J.; Umemneku-Chikere, C.; Harden, M.; Fulbright, H.; Hodgson, R.; Eastwood, A.; Churchill, R. Initial assessment and management of adults with suspected acute respiratory infection: A rapid evidence synthesis of reviews and cost-effectiveness studies. Health Technol. Assess. 2024, 1–53. [Google Scholar] [CrossRef]
- Royal College of Physicians. National Early Warning Score (NEWS) 2: Standardising the Assessment of Acute-Illness Severity in the NHS; RCP Press: London, UK, 2017. [Google Scholar]
- Villamor, M.A.C.; Alonso-Sanz, M.; López-Izquierdo, R.; Benito, J.F.D.; Vegas, C.d.P.; Torres, S.L.; Soriano, J.B.; Martín-Conty, J.L.; Sanz-García, A.; Martín-Rodríguez, F. Comparison of eight prehospital early warning scores in life-threatening acute respiratory distress: A prospective, observational, multicentre, ambulance-based, external validation study. Lancet Digit. Health 2024, 6, e166–e175. [Google Scholar] [CrossRef] [PubMed]
- Fernando, S.M.; Rochwerg, B.; Seely, A.J.E. Clinical implications of the third international consensus definitions for sepsis and septic shock (Sepsis-3). Cmaj 2018, 190, e1058–e1059. [Google Scholar] [CrossRef]
- Lim, W.S.; van der Eerden, M.M.; Laing, R.; Boersma, W.G.; Karalus, N.; I Town, G.; A Lewis, S.; Macfarlane, J.T. Defining community acquired pneumonia severity on presentation to hospital: An international derivation and validation study. Thorax 2003, 58, 377–382. [Google Scholar] [CrossRef] [PubMed]
- Shorr, A.F.; Sun, X.; Johannes, R.S.; Yaitanes, A.; Tabak, Y.P. Validation of a novel risk score for severity of illness in acute exacerbations of COPD. Chest 2011, 140, 1177–1183. [Google Scholar] [CrossRef]
- Zhou, J.; Nehme, E.; Dawson, L.; Bloom, J.; Nehme, Z.; Okyere, D.; Cox, S.; Anderson, D.; Stephenson, M.; Smith, K.; et al. Epidemiology, outcomes and predictors of mortality in patients transported by ambulance for dyspnoea: A population-based cohort study. Emergency Med. Australas 2023, 35, 48–55. [Google Scholar] [CrossRef]
- Kelly, A.M.; Holdgate, A.; Keijzers, G.; Klim, S.; Graham, C.A.; Craig, S.; Kuan, W.S.; Jones, P.; Lawoko, C.; Laribi, S.; et al. Epidemiology, prehospital care and outcomes of patients arriving by ambulance with dyspnoea: An observational study. Scand. J. Trauma Resusc. Emerg. Med. 2016, 24, 113. [Google Scholar] [CrossRef] [PubMed]
- Shiroshita, A.; Kimura, Y.; Shiba, H.; Shirakawa, C.; Sato, K.; Matsushita, S.; Tomii, K.; Kataoka, Y. Predicting in-hospital death in pneumonic COPD exacerbation via BAP-65, CURB-65 and machine learning. ERJ Open Res. 2022, 8, 00452–2021. [Google Scholar] [CrossRef] [PubMed]
- Shorr, A.F.; Sun, X.; Johannes, R.S.; Derby, K.G.; Tabak, Y.P. Predicting the need for mechanical ventilation in acute exacerbations of chronic obstructive pulmonary disease: Comparing the CURB-65 and BAP-65 scores. J. Crit. Care 2012, 27, 564–570. [Google Scholar] [CrossRef]
- Global Initiative for Chronic Obstructive Lung Disease (GOLD) Guideline. Global Strategy for the Prevention, Diagnosis and Management of Chronic Obstructive Pulmonary Disease: A Guide for Health Care Professionals. 2023, 1, 261–266. Available online: https://goldcopd.org (accessed on 7 May 2025).
- Hoikka, M.; Silfvast, T.; Ala-Kokko, T.I. Does the prehospital National Early Warning Score predict the short-term mortality of unselected emergency patients? Scand. J. Trauma Resusc. Emerg. Med. 2018, 26, 48. [Google Scholar] [CrossRef]
- Bilben, B.; Grandal, L.; Søvik, S. National Early Warning Score (NEWS) as an emergency department predictor of disease severity and 90-day survival in the acutely dyspneic patient—A prospective observational study. Scand. J. Trauma Resusc. Emerg. Med. 2016, 24, 80. [Google Scholar] [CrossRef]
- Forster, S.; McKeever, T.M.; Churpek, M.; Gonem, S.; Shaw, D. Predicting outcome in acute respiratory admissions using patterns of National Early Warning Scores. Clin. Med. J. R. Coll. Physicians Lond. 2022, 22, 409–415. [Google Scholar] [CrossRef] [PubMed]
- Triantafyllidou, C.; Effraimidis, P.; Vougas, K.; Agholme, J.; Schimanke, M.; Cederquist, K. The Role of Early Warning Scoring Systems NEWS and MEWS in the Acute Exacerbation of COPD. Clin. Med. Insights Circ. Respir. Pulm. Med. 2023, 17. [Google Scholar] [CrossRef] [PubMed]
- Zhou, H.J.; Lan, T.F.; Guo, S.B. Outcome prediction value of National Early Warning Score in septic patients with community-acquired pneumonia in emergency department: A single-center retrospective cohort study. World J. Emerg. Med. 2020, 11, 206–215. [Google Scholar] [CrossRef] [PubMed]
- Kumari, N.; Saifullah, N.; Jafri, S.; Ahmed, A.; Jawad, N.; Ahmed, N. Comparison of NEWS2 and PSI as mortality predictors in patients with community acquired pneumonia. J. Pak. Med. Assoc. 2024, 74, 1156–1159. [Google Scholar] [CrossRef]


| 2-Year Mortality | ||||
|---|---|---|---|---|
| No. with Data a | Total 819 | Survivors 299 (36.5) | Non-Survivors 520 (63.5) | p Value b |
| Sex, Female (%) | 324 (39.6) | 152 (43.8) | 172 (37.1) | 0.059 |
| Age, year | 77 (66–85) | 71 (57–80) | 80 (71–87) | <0.001 |
| Age range (years) | <0.001 | |||
| 18–49 | 67 (8.2) | 44 (14.7) | 23 (4.4) | |
| 50–74 | 291 (35.5) | 137 (45.8) | 154 (29.6) | |
| ≥75 | 461 (56.3) | 118 (39.5) | 343 (66) | |
| Primary health care (%) | 157 (19.2) | 56 (18.7) | 101 (19.4) | 0.808 |
| Nursing homes (%) | 221 (27) | 43 (14.4) | 178 (34.2) | <0.001 |
| Baseline vital signs | ||||
| RR (breaths/minute) | 28 (21–34) | 26 (19–31) | 28 (23–35) | <0.001 |
| SpO2 (%) | 89 (81–95) | 93 (88–96) | 87 (78–93) | <0.001 |
| FiO2 (%) | 0.21 (0.21–0.28) | 0.21 (0.21–0.21) | 0.21 (0.21–0.28) | <0.001 |
| SBP (mmHg) | 134 (114–153) | 139 (120–156) | 132 (110–152) | <0.001 |
| DBP (mmHg) | 76 (62–89) | 78 (68–92) | 73 (60–87) | <0.001 |
| MBP (mmHg) | 95 (81.66–109.66) | 97.33 (87.66–127) | 93.33 (78–107.33) | <0.001 |
| HR (beats/min) | 100 (80–175) | 97 (80–112) | 104 (80–120) | 0.013 |
| Temperature (°C) | 36.6 (36–37.7) | 36.7 (36–37.5) | 36.6 (36–37.7) | 0.327 |
| GCS (points) | 15 (14–15) | 15 (15–15) | 15 (12–15) | <0.001 |
| Prehospital blood analysis | ||||
| Creatinine (mg/dL) | 1.09 (0.83–1.67) | 0.91 (0.76–1.19) | 1.21 (0.87–1.96) | <0.001 |
| Lactate (mmol/L) | 2.76 (1.81–3.86) | 1.93 (1.33–2.82) | 3.21 (2.14–4.73) | <0.001 |
| Urea (mg/dL) | 47.4 (32.4–72.7) | 37.2 (27.6–50.5) | 56.5 (39–85.15) | <0.001 |
| aCCI (points) | 7 (5–9) | 5 (3–7) | 8 (6–10) | <0.001 |
| aCCI range(points) | <0.001 | |||
| Low (1–2) | 76 (9.3) | 62 (20.7) | 14 (2.7) | |
| Medium (3–4) | 103 (12.6) | 51 (17.1) | 52 (10) | |
| High (≥5) | 640 (78.1) | 186 (62.2) | 454 (87.3) | |
| Prehospital oxygen therapy support (%) c | ||||
| Nasal-cannula | 132 (16.1) | 46 (15.4) | 86 (16.5) | 0.665 |
| Venturi mask | 216 (26.4) | 72 (24.1) | 144 (27.7) | 0.259 |
| Nonrebreather mask | 59 (7.2) | 13 (4.3) | 46 (8.8) | 0.0217 |
| NIMV | 180 (22) | 31 (10.4) | 149 (28.7) | <0.001 |
| IMV | 49 (6) | 10 (3.3) | 39 (7.5) | <0.001 |
| Inpatient (%) | 680 (83.2) | 212 (71.7) | 468 (90.2) | <0.001 |
| ICU admission (%) | 108 (13.2) | 29 (9.7) | 79 (15.2) | <0.025 |
| NEWS2 (points) | 9 (6–11) | 8 (4–10) | 10 (8–12) | <0.001 |
| qSOFA (points) | 1 (1–2) | 1 (0–1) | 1 (1–2) | <0.001 |
| qCSI (points) | 7 (5–10) | 6 (5–10) | 10 (7–11) | <0.001 |
| CURB-65 (points) | 2 (2–3) | 2 (2–3) | 3 (2–3) | <0.001 |
| BAP-65 (points) | 2 (1–2) | 1 (1–2) | 2 (1–3) | <0.001 |
| (A) | All Cases (M1Y) | ||||
| NEWS2 | qSOFA | qCSI | CURB-65 | BAP-65 | |
| NEWS2 | 0.683 (0.64–0.71) | <0.001 | 0.002 | 0.060 | 0.062 |
| qSOFA | 0.628 (0.59–0.66) | 0.671 | 0.113 | <0.001 | |
| qCSI | 0.618 (0.58–0.61) | 0.144 | <0.001 | ||
| CURB-65 | 0.652 (0.61–0.69) | <0.001 | |||
| BAP-65 | 0.716 (0.68–0.75) | ||||
| (B) | All Cases (M2Y) | ||||
| NEWS2 | qSOFA | qCSI | CURB-65 | BAP-65 | |
| NEWS2 | 0.694 (0.65–0.73) | <0.001 | 0.006 | 0.052 | 0.357 |
| qSOFA | 0.638 (0.59–0.67) | 0.917 | 0.115 | <0.001 | |
| qCSI | 0.636 (0.59–0.67) | 0.243 | <0.001 | ||
| CURB-65 | 0.663 (0.62–0.70) | 0.003 | |||
| BAP-65 | 0.711 (0.67–0.747) | ||||
| (C) | Low aCCI (M1Y) | ||||
| NEWS2 | qSOFA | qCSI | CURB-65 | BAP-65 | |
| NEWS2 | 0.799 (0.62–0.97) | 0.006 | 0.749 | 0.932 | 0.539 |
| qSOFA | 0.707 (0.53–0.87) | 0.172 | 0.061 | 0.083 | |
| qCSI | 0.829 (0.73–0.92) | 0.938 | 0.758 | ||
| CURB-65 | 0.806 (0.67–0.94) | 0.58 | |||
| BAP-65 | 0.847 (0.744–0.950) | ||||
| (D) | Low aCCI (M2Y) | ||||
| NEWS2 | qSOFA | qCSI | CURB-65 | BAP-65 | |
| NEWS2 | 0.821 (0.68–0.96) | 0.065 | 0.951 | 0.785 | 0.545 |
| qSOFA | 0.744 (0.60–0.88) | 0.414 | 0.248 | 0.792 | |
| qCSI | 0.816 (0.70–0.92) | 0.861 | 0.470 | ||
| CURB-65 | 0.802 (0.68–0.91) | 0.669 | |||
| BAP-65 | 0.768 (0.62–0.91) | ||||
| Time (Days) | Cumulative Survival (%) a | Deaths (%) b |
|---|---|---|
| 1 | 95 | 26 (3.2) |
| 2 | 87.3 | 66 (8.1) |
| 7 | 68.9 | 162 (19.8) |
| 30 | 51.2 | 254 (31) |
| 90 | 33.6 | 346 (42.2) |
| 180 | 21.5 | 409 (49.9) |
| 365 | 12.1 | 458 (55.9) |
| 713 | 0 | 520 (63.5) |
| (A) | |||
| Variable | Wald a | Hazard Ratio | p Value |
| Age | 1.311 | 1.004 | 0.252 |
| RR | 3.847 | 1.01 | 0.05 |
| SpO2 | 4.330 | 0.991 | 0.037 |
| FiO2 | 6.829 | 1.972 | 0.009 |
| SBP | 0.05 | 1 | 0.822 |
| DBP | 0.009 | 1 | 0.923 |
| HR | 0.389 | 1.001 | 0.533 |
| TT | 0.04 | 0.987 | 0.735 |
| Urea b | 0.003 | 1.008 | 0.002 |
| GCS | 44.230 | 0.908 | <0.001 |
| (B) | |||
| Variable | Wald a | Hazard Ratio | p Value |
| Age | 0.816 | 1.003 | 0.366 |
| RR | 1.768 | 1.007 | 0.184 |
| SpO2 | 4.477 | 0.992 | 0.034 |
| FiO2 | 7.577 | 2.019 | 0.006 |
| SBP | 0.042 | 1 | 0.837 |
| DBP | 0.025 | 0.999 | 0.873 |
| HR | 0.636 | 1.001 | 0.425 |
| TT | 0 | 0.999 | 0.985 |
| Urea b | 8.995 | 1.007 | 0.003 |
| GCS | 43.436 | 0.910 | <0.001 |
Disclaimer/Publisher’s Note: The statements, opinions and data contained in all publications are solely those of the individual author(s) and contributor(s) and not of MDPI and/or the editor(s). MDPI and/or the editor(s) disclaim responsibility for any injury to people or property resulting from any ideas, methods, instructions or products referred to in the content. |
© 2025 by the authors. Licensee MDPI, Basel, Switzerland. This article is an open access article distributed under the terms and conditions of the Creative Commons Attribution (CC BY) license (https://creativecommons.org/licenses/by/4.0/).
Share and Cite
Castro-Portillo, E.; López-Izquierdo, R.; Bermúdez Castellanos, I.; Castro Villamor, M.Á.; Sanz-García, A.; Martín-Rodríguez, F. Prehospital Performance of Five Early Warning Scores to Predict Long-Term Mortality in Patients with Suspected Respiratory Infections. Diagnostics 2025, 15, 1565. https://doi.org/10.3390/diagnostics15121565
Castro-Portillo E, López-Izquierdo R, Bermúdez Castellanos I, Castro Villamor MÁ, Sanz-García A, Martín-Rodríguez F. Prehospital Performance of Five Early Warning Scores to Predict Long-Term Mortality in Patients with Suspected Respiratory Infections. Diagnostics. 2025; 15(12):1565. https://doi.org/10.3390/diagnostics15121565
Chicago/Turabian StyleCastro-Portillo, Enrique, Raúl López-Izquierdo, Irene Bermúdez Castellanos, Miguel Á. Castro Villamor, Ancor Sanz-García, and Francisco Martín-Rodríguez. 2025. "Prehospital Performance of Five Early Warning Scores to Predict Long-Term Mortality in Patients with Suspected Respiratory Infections" Diagnostics 15, no. 12: 1565. https://doi.org/10.3390/diagnostics15121565
APA StyleCastro-Portillo, E., López-Izquierdo, R., Bermúdez Castellanos, I., Castro Villamor, M. Á., Sanz-García, A., & Martín-Rodríguez, F. (2025). Prehospital Performance of Five Early Warning Scores to Predict Long-Term Mortality in Patients with Suspected Respiratory Infections. Diagnostics, 15(12), 1565. https://doi.org/10.3390/diagnostics15121565

