Performance Assessment of a Multiplex Real-Time PCR Assay for Detection of Viruses Causing Respiratory Tract Infections
Abstract
1. Introduction
2. Materials and Methods
2.1. Multiplex Expanded Panel Testing
2.2. Multiplex Single Panel Testing
2.3. Biofire® FilmArray® Torch System Testing
2.4. Statistical Analysis
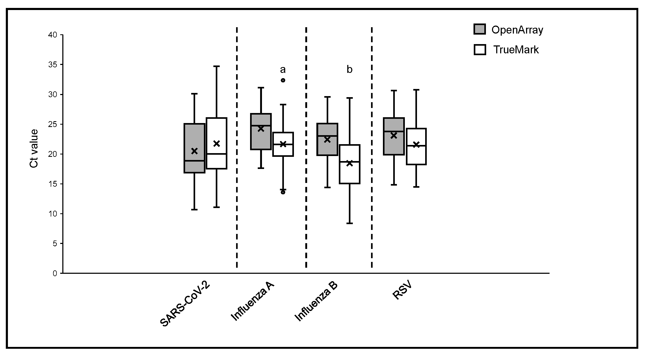
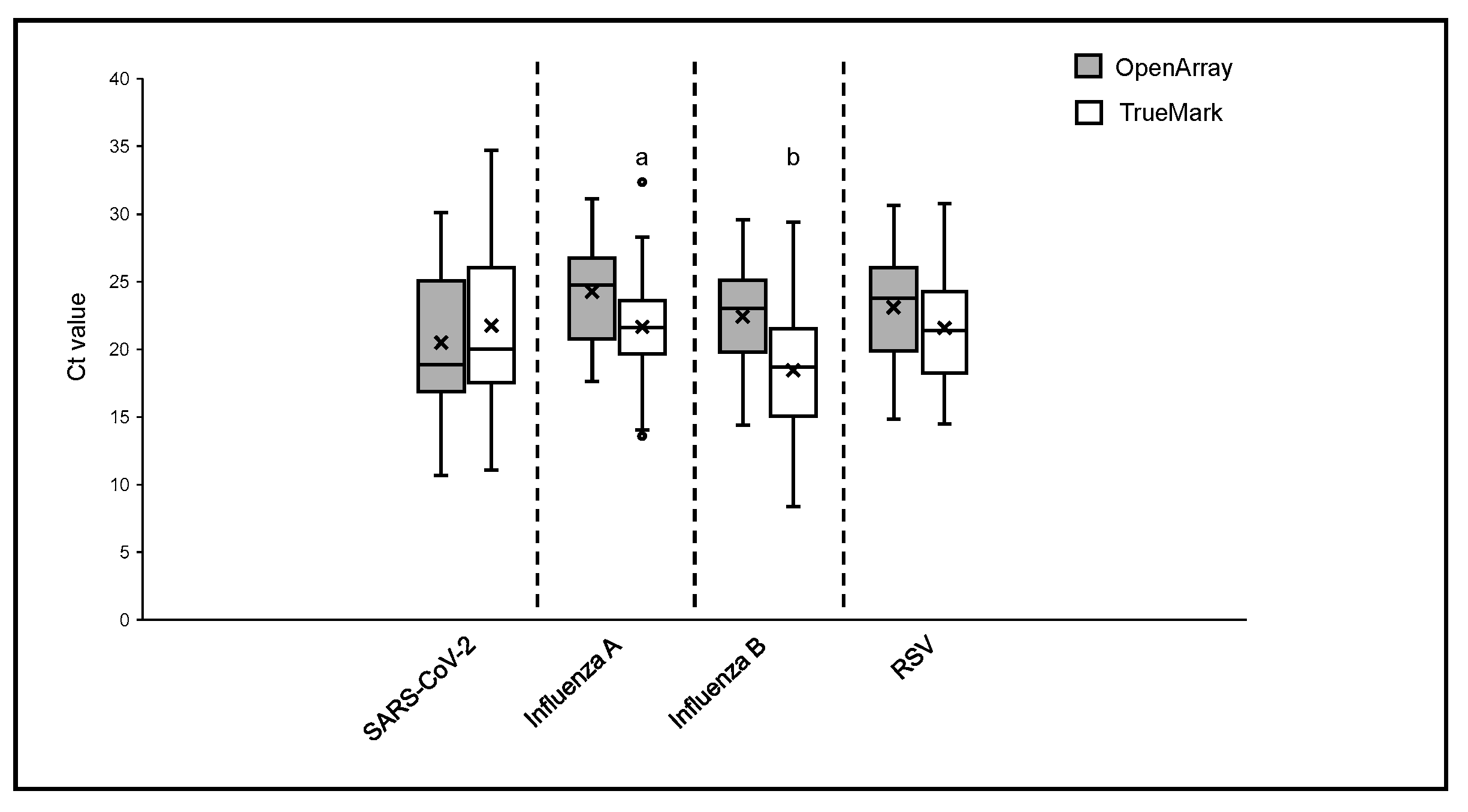
3. Results
4. Discussion
5. Conclusions
Author Contributions
Funding
Institutional Review Board Statement
Informed Consent Statement
Data Availability Statement
Conflicts of Interest
References
- Bloom, D.E.; Cadarette, D. Infectious disease threats in the twenty-first century: Strengthening the global response. Front. Immunol. 2019, 10, 549. [Google Scholar] [CrossRef] [PubMed]
- Centers for Disease Control and Prevention (CDC). Economic Burden of Influenza. Available online: https://www.cdc.gov/flu/about/burden/index.html (accessed on 18 June 2024).
- Centers for Disease Control and Prevention (CDC). Estimated COVID-19 Burden. Available online: https://www.cdc.gov/coronavirus/2019-ncov/cases-updates/burden.html (accessed on 18 June 2024).
- Grace, M.; Colosia, A.; Wolowacz, S.; Panozzo, C.; Ghaswalla, P. Economic burden of respiratory syncytial virus infection in adults: A systematic literature review. J. Med. Econ. 2023, 26, 742–759. [Google Scholar] [CrossRef]
- Olsen, S.J.; Azziz-Baumgartner, E.; Budd, A.P.; Brammer, L.; Sullivan, S.; Pineda, R.F.; Cohen, C.; Fry, A.M. Decreased influenza activity during the COVID-19 Pandemic—United States, Australia, Chile, and South Africa, 2020. MMWR Morb Mortal Wkly Rep. 2020, 69, 1305–1309. [Google Scholar] [CrossRef] [PubMed] [PubMed Central]
- Agha, R.; Avner, J.R. Delayed seasonal RSV surge observed during the COVID-19 pandemic. Pediatrics 2021, 148, e2021052089. [Google Scholar] [CrossRef] [PubMed]
- Patel, T.A.; Jain, B.; Raifman, J. Revamping public health systems: Lessons learned from the tripledemic. Am. J. Prevent Med. 2024, 66, 185–188. [Google Scholar] [CrossRef]
- Centers for Disease Control and Prevention (CDC). 2023-224 Respiratory Virus Season is Likely Past Peak but Far from Over. Available online: https://www.cdc.gov/ncird/whats-new/2023-2024-season-not-over.html#:~:text=As%20we%20saw%20last%20season,typically%20saw%20before%20the%20pandemic (accessed on 8 April 2024).
- Yeoh, D.K.; Foley, D.A.; Minney-Smith, C.A.; Martin, A.C.; Mace, A.O.; Sikazwe, C.T.; Le, H.; Levy, A.; Blyth, C.C.; Moore, H.C. Impact of Coronavirus disease 2019 public health measures on detections of influenza and respiratory syncytial virus in children during the 2020 Australian Winter. Clin Infect Dis. 2021, 72, 2199–2202. [Google Scholar] [CrossRef]
- Centers for Disease Control and Prevention (CDC). Clinical Guidance for Patients with Acute Respiratory Illness Being Hospitalized when SARS-CoV-2 and Influenza Viruses Are Co-Circulating. Available online: https://www.cdc.gov/flu/professionals/diagnosis/testing-guidance-for-clinicians-hospitalized.htm (accessed on 10 May 2024).
- Gibson, J.; Schechter-Perkins, E.M.; Mitchell, P.; Mace, S.; Tian, Y.; Williams, K.; Luo, R.; Yen-Lieberman, B. Multi-center evaluation of the cobas® Liat® Influenza A/B & RSV assay for rapid point of care diagnosis. J. Clin Virol. 2017, 95, 5–9. [Google Scholar] [CrossRef]
- Upadhyay, P.; Reddy, J.; Proctor, T.; Sorel, O.; Veereshlingam, H.; Gandhi, M.; Wang, X.; Singh, V. Expanded PCR panel testing for identification of respiratory pathogens and coinfections in influenza-like illness. Diagnostics 2013, 13, 2014. [Google Scholar] [CrossRef]
- Virk, S.; Quazi, M.A.; Nasrullah, A.; Shah, A.; Kudron, E.; Chourasia, P.; Sheikh, A.B. Comparing clinical outcomes of COVID-19 and influenza-induced acute respiratory distress syndrome: A propensity-matched analysis. Viruses 2023, 15, 922. [Google Scholar] [CrossRef]
- Surie, D.; Yuengling, K.A.; DeCuir, J.; Zhu, Y.; Lauring, A.S.; Gaglani, M.; Ghamande, S.; Peltan, I.D.; Brown, S.M.; Ginde, A.A.; et al. Severity of respiratory syncytial virus vs. COVID-19 and influenza among hospitalized US adults. JAMA Netw. Open 2024, 7, e244954. [Google Scholar]
- O’Brien, K.L.; Baggett, H.C.; Brooks, W.A.; Feikin, D.; Hammitt, L.L.; Higdon, M.M.; Knoll, M.D.; Kotloff, K.L.; Levine, O.S.; Zaman, S.M.; et al. Causes of severe pneumonia requiring hospital admission in children without HIV infection from Africa and Asia: The PERCH multi-country case-control study. Lancet 2019, 394, 757–779. [Google Scholar] [CrossRef]
- Kodama, F.; Nace, D.A.; Jump, R.L. Respiratory syncytial virus and other noninfluenza respiratory viruses in older adults. Infect. Dis. Clin. 2017, 31, 767–790. [Google Scholar] [CrossRef]
- Izu, A.; Nunes, M.C.; Solomon, F.; Baillie, V.; Serafin, N.; Verwey, C.; Moore, D.P.; Laubscher, M.; Ncube, M.; Madhi, S.A.; et al. All-cause and pathogen-specific lower respiratory tract infection hospital admissions in children younger than 5 years during the COVID-19 pandemic (2020–2022) compared with the pre-pandemic period (2015–2019) in South Africa: An observational study. Lancet Infec Dis. 2023, 23, 1031–1041. [Google Scholar] [CrossRef]
- Geismar, C.; Nguyen, V.; Fragaszy, E.; Shrotri, M.; Navaratnam, A.M.; Beale, S.; Byrne, T.E.; Fong, W.L.E.; Yavlinsky, A.; Kovar, J.; et al. Symptom profiles of community cases infected by influenza, RSV, rhinovirus, seasonal coronavirus, and SARS-CoV-2 variants of concern. Sci. Rep. 2023, 13, 12511. [Google Scholar] [CrossRef]
- Bouzid, D.; Vila, J.; Hansen, G.; Manissero, D.; Pareja, J.; Rao, S.N.; Visseaux, B. Systematic review on the association between respiratory virus real-time PCR cycle threshold values and clinical presentation or outcomes. J. Antimicrob. Chemother. 2021, 76, iii33–iii49. [Google Scholar] [CrossRef]
- Bonacorsi, S.; Visseaux, B.; Bouzid, D.; Pareja, J.; Rao, S.N.; Manissero, D.; Vila, J. Systematic review on the correlation of quantitative PCR cycle threshold values of gastrointestinal pathogens with patient clinical presentation and outcomes. Front. Med. 2021, 8, 711809. [Google Scholar] [CrossRef]
- Lepak, A.J.; Taylor, L.N.; Stone, C.A.; Schulz, L.T.; Anderson, M.C.; Fox, B.C.; Temte, J.L. Association of changes in seasonal respiratory virus activity and ambulatory antibiotic prescriptions with the COVID-19 pandemic. JAMA Int. Med. 2021, 181, 1399–1402. [Google Scholar] [CrossRef]
- Piralla, A.; Lunghi, G.; Percivalle, E.; Viganò, C.; Nasta, T.; Pugni, L.; Mosca, F.; Stronati, M.; Torresani, E.; Baldanti, F. FilmArray® respiratory panel performance in respiratory samples from neonatal care units. Diag Microbiol. Infect. Dis. 2014, 79, 183–186. [Google Scholar] [CrossRef]
- Busson, L.; Bartiaux, M.; Brahim, S.; Konopnicki, D.; Dauby, N.; Gérard, M.; De Backer, P.; Van Vaerenbergh, K.; Mahadeb, B.; De Foor, M.; et al. Prospective evaluation of diagnostic tools for respiratory viruses in children and adults. J. Virol. Methods 2019, 266, 1–6. [Google Scholar] [CrossRef]
- Hammond, S.P.; Gagne, L.S.; Stock, S.R.; Marty, F.M.; Gelman, R.S.; Marasco, W.A.; Portiz, M.A.; Baden, L.R. Respiratory virus detection in immunocompromised patients with FilmArray respiratory panel compared to conventional methods. J. Clin. Microbiol. 2021, 50, 3216–3221. [Google Scholar] [CrossRef]
- Yang, S.; Li, H.; Tang, Y.; Yu, F.; Ma, C.; Zhang, H.; Pang, L.; Zhao, H.; Wang, L. Multiplex tests for respiratory tract infections: The direct utility of the FilmArray respiratory panel in emergency department. Canad Resp. J. 2020, 1, 6014563. [Google Scholar] [CrossRef]
- Chambe, E.; Bortolotti, P.; Diesnis, R.; Laurans, C.; Héquette-Ruz, R.; Panaget, S.; Herbecq, P.; Vachee, A.; Meybeck, A. Performance and Impact on antibiotic prescriptions of a multiplex PCR in a real-life cohort of critically ill patients with suspected ventilated pneumonia: A retrospective monocentric observational study. Antibiotics 2023, 12, 1646. [Google Scholar] [CrossRef]
- Markussen, D.L.; Serigstad, S.; Ritz, C.; Knoop, S.T.; Ebbesen, M.H.; Faurholt-Jepsen, D.; Heggelund, L.; van Werkhoven, C.H.; Clark, T.W.; Bjørneklett, R.O.; et al. Diagnostic stewardship in community-acquired pneumonia with syndromic molecular testing: A randomized clinical trial. JAMA Netw. Open 2024, 7, e240830. [Google Scholar] [CrossRef]
- Barenfanger, J.; Drake, C.; Leon, N.; Mueller, T.; Troutt, T. Clinical and financial benefits of rapid detection of respiratory viruses: An outcomes study. J. Clin. Microbiol. 2000, 38, 2824–2828. [Google Scholar] [CrossRef]
- Clark, T.W.; Lindsley, K.; Wigmosta, T.B.; Bhagat, A.; Hemmert, R.B.; Uyei, J.; Timbrook, T.T. Rapid multiplex PCR for respiratory viruses reduces time to result and improves clinical care: Results of a systematic review and meta-analysis. J. Infect. 2023, 86, 462–475. [Google Scholar] [CrossRef]
- Caliendo, A.M. Multiplex PCR and emerging technologies for the detection of respiratory pathogens. Clin. Infect. Dis. 2011, 52, S326–S330. [Google Scholar] [CrossRef]



| TrueMArkTM SARS-CoV-2, FluA, FluB, RSV Panel | OpenArray® SARS-CoV-2, FluA, FluB, RSV Panel | ||||||||
| SARS-CoV-2 | Influenza A | Influenza B | RSV | ||||||
| Positive | Negative | Positive | Negative | Positive | Negative | Positive | Negative | ||
| Positive | 40 | 0 | 40 | 0 | 40 | 0 | 40 | 0 | |
| Negative | 0 | 160 | 0 | 160 | 0 | 160 | 0 | 160 | |
| PPA | 100% (91.24% to 100%) | 100% (91.24% to 100%) | 100% (91.24% to 100%) | 100% (91.24% to 100%) | |||||
| NPA | 100% (97.66% to 100%) | 100% (97.66% to 100%) | 100% (97.66% to 100%) | 100% (97.66% to 100%) | |||||
| TrueMarkTM/OpenArray® SARS-CoV-2, FluA, FluB, RSV Panel | BioFire® Respiratory 2.1 (RP2.1) Panel | ||||||||
| SARS-CoV-2 | Influenza A | Influenza B | RSV | ||||||
| Positive | Negative | Positive | Negative | Positive | Negative | Positive | Negative | ||
| Positive | 24 | 0 | 30 | 0 | 30 | 0 | 25 | 0 | |
| Negative | 0 | 117 | 0 | 112 | 0 | 112 | 0 | 109 | |
| PPA | 100% (85.75% to 100%) | 100% (88.43% to 100%) | 100% (88.43% to 100%) | 100% (86.28% to 100%) | |||||
| NPA | 100% (96.90% to 100%) | 100% (96.76% to 100%) | 100% (96.76% to 100%) | 100% (96.76% to 100%) | |||||
Disclaimer/Publisher’s Note: The statements, opinions and data contained in all publications are solely those of the individual author(s) and contributor(s) and not of MDPI and/or the editor(s). MDPI and/or the editor(s) disclaim responsibility for any injury to people or property resulting from any ideas, methods, instructions or products referred to in the content. |
© 2024 by the authors. Licensee MDPI, Basel, Switzerland. This article is an open access article distributed under the terms and conditions of the Creative Commons Attribution (CC BY) license (https://creativecommons.org/licenses/by/4.0/).
Share and Cite
Upadhyay, P.; Surur, F.; Singh, V. Performance Assessment of a Multiplex Real-Time PCR Assay for Detection of Viruses Causing Respiratory Tract Infections. Diagnostics 2024, 14, 2350. https://doi.org/10.3390/diagnostics14212350
Upadhyay P, Surur F, Singh V. Performance Assessment of a Multiplex Real-Time PCR Assay for Detection of Viruses Causing Respiratory Tract Infections. Diagnostics. 2024; 14(21):2350. https://doi.org/10.3390/diagnostics14212350
Chicago/Turabian StyleUpadhyay, Pallavi, Fahida Surur, and Vijay Singh. 2024. "Performance Assessment of a Multiplex Real-Time PCR Assay for Detection of Viruses Causing Respiratory Tract Infections" Diagnostics 14, no. 21: 2350. https://doi.org/10.3390/diagnostics14212350
APA StyleUpadhyay, P., Surur, F., & Singh, V. (2024). Performance Assessment of a Multiplex Real-Time PCR Assay for Detection of Viruses Causing Respiratory Tract Infections. Diagnostics, 14(21), 2350. https://doi.org/10.3390/diagnostics14212350

