Postoperative Bladder Neck to Pubic Symphysis Ratio Predictive for De Novo Overactive Bladder after Robot-Assisted Radical Prostatectomy
Abstract
:1. Introduction
2. Materials and Methods
2.1. Inclusion Criteria for Patient Enrolment
2.2. Pre- and Post-Operative Assessment and Data Collection
2.3. Statistics
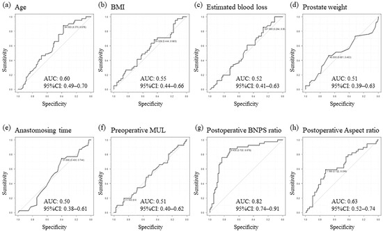
3. Results
3.1. Characteristics and Patient Outcomes by Retrospective Study
3.2. Identification of Prognostic Factors for the Emergence of De Novo OAB
4. Discussion
Author Contributions
Funding
Institutional Review Board Statement
Informed Consent Statement
Data Availability Statement
Conflicts of Interest
References
- Albertsen, P.C.; Hanley, J.A.; Gleason, D.F.; Barry, M.J. Competing risk analysis of men aged 55 to 74 years at diagnosis managed conservatively for clinically localized prostate cancer. JAMA 1998, 280, 975–980. [Google Scholar] [CrossRef]
- Wilt, T.J.; Vo, T.N.; Langsetmo, L.; Dahm, P.; Wheeler, T.; Aronson, W.J.; Cooperberg, M.R.; Taylor, B.C.; Brawer, M.K. Radical Prostatectomy or Observation for Clinically Localized Prostate Cancer: Extended Follow-up of the Prostate Cancer Intervention Versus Observation Trial (PIVOT). Eur. Urol. 2020, 77, 713–724. [Google Scholar] [CrossRef] [PubMed]
- Porena, M.; Mearini, E.; Mearini, L.; Vianello, A.; Giannantoni, A. Voiding dysfunction after radical retropubic prostatectomy: More than external urethral sphincter deficiency. Eur. Urol. 2007, 52, 38–45. [Google Scholar] [CrossRef] [PubMed]
- Sallami, S. Predictive factors of urinary incontinence after radical prostatectomy: Systematic review. La Tunis. Med. 2017, 95, 229–235. [Google Scholar]
- Asimakopoulos, A.D.; Annino, F.; D’Orazio, A.; Pereira, C.F.; Mugnier, C.; Hoepffner, J.L.; Piechaud, T.; Gaston, R. Complete periprostatic anatomy preservation during robot-assisted lapa-roscopic radical prostatectomy (RALP): The new pubovesical complex-sparing technique. Eur. Urol. 2010, 58, 407–417. [Google Scholar] [CrossRef]
- Boettcher, M.; Haselhuhn, A.; Jakse, G.; Brehmer, B.; Kirschner-Hermanns, R. Overactive bladder syndrome: An underestimated long-term problem after treatment of patients with localized prostate cancer? BJU Int. 2012, 109, 1824–1830. [Google Scholar] [CrossRef] [PubMed]
- Galfano, A.; Ascione, A.; Grimaldi, S.; Petralia, G.; Strada, E.; Bocciardi, A.M. A new anatomic approach for robot-assisted laparoscopic prostatectomy: A feasibility study for completely intrafascial surgery. Eur. Urol. 2010, 58, 457–461. [Google Scholar] [CrossRef] [PubMed]
- Galfano, A.; Di Trapani, D.; Sozzi, F.; Strada, E.; Petralia, G.; Bramerio, M.; Ascione, A.; Gambacorta, M.; Bocciardi, A.M. Beyond the learning curve of the Retzius-sparing approach for robot-assisted lapa-roscopic radical prostatectomy: Oncologic and functional results of the first 200 patients with >/= 1 year of follow-up. Eur. Urol. 2013, 64, 974–980. [Google Scholar] [CrossRef]
- Dalela, D.; Jeong, W.; Prasad, M.-A.; Sood, A.; Abdollah, F.; Diaz, M.; Karabon, P.; Sammon, J.; Jamil, M.; Baize, B.; et al. A Pragmatic Randomized Controlled Trial Examining the Impact of the Retzius-sparing Approach on Early Urinary Continence Recovery After Robot-assisted Radical Prostatectomy. Eur. Urol. 2017, 72, 677–685. [Google Scholar] [CrossRef]
- Menon, M.; Dalela, D.; Jamil, M.; Diaz, M.; Tallman, C.; Abdollah, F.; Sood, A.; Lehtola, L.; Miller, D.; Jeong, W. Functional Recovery, Oncologic Outcomes and Postoperative Complications after Ro-bot-Assisted Radical Prostatectomy: An Evidence-Based Analysis Comparing the Retzius Sparing and Standard Approaches. J. Urol. 2018, 199, 1210–1217. [Google Scholar] [CrossRef]
- Ota, Y.; Hamamoto, S.; Matsuyama, N.; Hamakawa, T.; Iwatsuki, S.; Etani, T.; Taguchi, K.; Naiki, T.; Ando, R.; Nakane, A.; et al. Pelvic Anatomical Features After Retzius-Sparing Robot-Assisted Radical Prosta-tectomy Intended for Early Recovery of Urinary Symptoms. J. Endourol. 2021, 35, 296–304. [Google Scholar] [CrossRef] [PubMed]
- Olgin, G.; Alsyouf, M.; Han, D.; Li, R.; Lightfoot, M.; Smith, D.L.; Nicolay, L.; Ruckle, H.C.; Baldwin, D.D. Postoperative cystogram findings predict incontinence following robot-assisted radical prostatectomy. J. Endourol. 2014, 28, 1460–1463. [Google Scholar] [CrossRef] [PubMed]
- Mungovan, S.F.; Sandhu, J.S.; Akin, O.; Smart, N.A.; Graham, P.L.; Patel, M.I. Preoperative Membranous Urethral Length Measurement and Continence Recovery Following Radical Prostatectomy: A Systematic Review and Meta-analysis. Eur. Urol. 2017, 71, 368–378. [Google Scholar] [CrossRef] [PubMed]
- Xu, J.-N.; Xu, Z.-Y.; Yin, H.-M. Comparison of Retzius-Sparing Robot-Assisted Radical Prostatectomy vs. Conventional Robot-Assisted Radical Prostatectomy: An Up-to-Date Meta-Analysis. Front. Surg. 2021, 8, 738421. [Google Scholar] [CrossRef] [PubMed]
- Hosier, G.W.; Tennankore, K.K.; Himmelman, J.G.; Gajewski, J.; Cox, A.R. Overactive Bladder and Storage Lower Urinary Tract Symptoms Following Radical Prostatectomy. Urology 2016, 94, 193–197. [Google Scholar] [CrossRef]
- Ficazzola, M.A.; Nitti, V.W. The etiology of post-radical prostatectomy incontinence and correlation of symptoms with urody-namic findings. J. Urol. 1998, 160, 1317–1320. [Google Scholar] [CrossRef] [PubMed]
- Groutz, A.; Blaivas, J.G.; Chaikin, D.C.; Weiss, J.P.; Verhaaren, M. The pathophysiology of post-radical prostatectomy incontinence: A clinical and video urodynamic study. J. Urol. 2000, 163, 1767–1770. [Google Scholar] [CrossRef]
- Heesakkers, J.; Farag, F.; Bauer, R.M.; Sandhu, J.; De Ridder, D.; Stenzl, A. Pathophysiology and Contributing Factors in Postprostatectomy Incontinence: A Review. Eur. Urol. 2017, 71, 936–944. [Google Scholar] [CrossRef]
- Shafik, A.; el-Sibai, O.; Ahmed, I. Effect of urethral dilation on vesical motor activity: Identification of the urethrovesical reflex and its role in voiding. J. Urol. 2003, 169, 1017–1019. [Google Scholar] [CrossRef]
- Matsukawa, Y.; Yoshino, Y.; Ishida, S.; Fujita, T.; Majima, T.; Funahashi, Y.; Sassa, N.; Kato, M.; Gotoh, M. De novo overactive bladder after robot-assisted laparoscopic radical prostatectomy. Neurourol. Urodyn. 2018, 37, 2008–2014. [Google Scholar] [CrossRef]
- Peyronnet, B.; Brucker, B.M. Management of Overactive Bladder Symptoms After Radical Prostatectomy. Curr. Urol. Rep. 2018, 19, 95. [Google Scholar] [CrossRef]
- Jeong, S.J.; Yi, J.; Chung, M.S.; Kim, D.S.; Lee, W.K.; Park, H.; Yoon, C.Y.; Hong, S.K.; Byun, S.S.; Lee, S.E. Early recovery of urinary continence after radical prostatectomy: Correlation with vesi-co-urethral anastomosis location in the pelvic cavity measured by postoperative cystography. Int. J. Urol. 2011, 18, 444–451. [Google Scholar] [CrossRef] [PubMed]
- Paparel, P.; Akin, O.; Sandhu, J.S.; Otero, J.R.; Serio, A.M.; Scardino, P.T.; Hricak, H.; Guillonneau, B. Recovery of urinary continence after radical prostatectomy: Association with urethral length and urethral fibrosis measured by preoperative and postoperative endorectal magnetic resonance imaging. Eur. Urol. 2009, 55, 629–639. [Google Scholar] [CrossRef] [PubMed]
- Haga, N.; Ogawa, S.; Yabe, M.; Akaihata, H.; Hata, J.; Sato, Y.; Ishibashi, K.; Hasegawa, O.; Kikuchi, K.; Shishido, F.; et al. Association between postoperative pelvic anatomic features on magnetic resonance imaging and lower tract urinary symptoms after radical prostatectomy. Urology 2014, 84, 642–649. [Google Scholar] [CrossRef] [PubMed]
- Koguchi, T.; Haga, N.; Matsuoka, K.; Yabe, M.; Hoshi, S.; Ogawa, S.; Kataoka, M.; Akaihata, H.; Sato, Y.; Hata, J.; et al. Atherosclerosis as a predictor of transient exacerbation of overactive bladder symptoms after robot-assisted laparoscopic radical prostatectomy. Int. J. Urol. 2019, 26, 234–240. [Google Scholar] [CrossRef]
- Watanabe, K.; Otsuka, A.; Sano, A.; Sato, R.; Matsushita, Y.; Watanabe, H.; Tamura, K.; Motoyama, D.; Ito, T.; Sugiyama, T.; et al. Predictive factors of de novo overactive bladder in clinically localized prostate cancer patients after robot-assisted radical prostatectomy. Int. J. Urol. 2023, 30, 57–61. [Google Scholar] [CrossRef]




| Characteristics | CON-RARP Group (n = 81) | RS-RARP Group (n = 32) | p Value | |
|---|---|---|---|---|
| Median age, years (range) | 68 (53–78) | 67 (54–79) | 0.16 | |
| Median BMI, kg/m2 (range) | 23.9 (16.8–34.0) | 24.0 (19.6–33.3) | 0.30 | |
| Median prostate weight, g (range) | 42.0 (24.0–106.0) | 39.0 (26.0–66.0) | 0.20 | |
| ISUP grade group, n (%) | 1 | 11 (13.6) | 6 (18.8) | 0.24 |
| 2 | 41 (50.6) | 10 (31.2) | ||
| 3 | 25 (30.9) | 14 (43.8) | ||
| 4 | 2 (2.5) | 2 (6.2) | ||
| 5 | 2 (2.5) | 0 (0) | ||
| BMI, n (%) | ≤24.5 kg/m2 | 49 (60.5) | 19 (59.4) | 1 |
| >24.5 kg/m2 | 32 (39.5) | 13 (40.6) | ||
| Estimated blood loss, n (%) | ≤507.0 mL | 63 (77.8) | 24 (75.0) | 0.81 |
| >507.0 mL | 18 (22.2) | 8 (25.0) | ||
| Prostate weight, n (%) | ≤46.0 g | 48 (59.3) | 23 (71.9) | 0.28 |
| >46.0 g | 33 (40.7) | 9 (28.1) | ||
| Anastomosing time, n (%) | ≤31.0 min | 54 (70.1) | 12 (37.5) | <0.01 ** |
| >31.0 min | 23 (29.9) | 20 (62.5) | ||
| Preoperative MUL, n (%) | ≤11.1 mm | 12 (14.8) | 5 (15.6) | 1 |
| >11.1 mm | 69 (85.2) | 27 (84.4) | ||
| Postoperative BNPS ratio, n (%) | ≤0.44 | 31 (38.3) | 26 (81.2) | <0.001 *** |
| >0.44 | 50 (61.7) | 6 (18.8) | ||
| Postoperative Aspect ratio, n (%) | ≤1.18 | 39 (49.4) | 30 (93.8) | <0.001 *** |
| >1.18 | 40 (50.6) | 2 (6.2) | ||
| The incidence of de novo OAB, n (%) | 33 (40.7) | 8 (25.0) | 0.13 | |
| Parameters | Univariate | Multivariate | ||||
|---|---|---|---|---|---|---|
| OR | 95% CI | p Value | OR | 95% CI | p Value | |
| Age, >64 vs. ≤64 | 4.32 | 1.51–12.3 | <0.01 ** | 2.73 | 0.80–9.3 | 0.11 |
| BMI, >24.5 vs. ≤24.5 | 0.58 | 0.26–1.3 | 0.19 | - | - | - |
| The choice of surgical approach, Retzius-sparing vs. conventional | 0.49 | 0.19–1.21 | 0.12 | - | - | - |
| Estimated loss of bleeding, >507 vs. ≤507 | 0.57 | 0.22–1.51 | 0.26 | - | - | - |
| Prostate weight, >46.0 vs. ≤46.0 | 1.84 | 0.84–450 | 0.13 | - | - | - |
| Anastomosing time, >31.0 vs. ≤31.0 | 0.67 | 0.30–1.51 | 0.33 | - | - | - |
| Preoperative MUL, >11.1 vs. ≤11.1 | 0.78 | 0.27–2.24 | 0.65 | - | - | - |
| Postoperative BNPS ratio, >0.44 vs. ≤0.44 | 8.7 | 6.43–54.5 | <0.0001 **** | 13.3 | 4.33–41.1 | <0.0001 **** |
| Postoperative Aspect ratio, >1.18 vs. ≤1.18 | 3.36 | 1.49–7.61 | <0.01 ** | 1.56 | 0.57–4.26 | 0.38 |
Disclaimer/Publisher’s Note: The statements, opinions and data contained in all publications are solely those of the individual author(s) and contributor(s) and not of MDPI and/or the editor(s). MDPI and/or the editor(s) disclaim responsibility for any injury to people or property resulting from any ideas, methods, instructions or products referred to in the content. |
© 2023 by the authors. Licensee MDPI, Basel, Switzerland. This article is an open access article distributed under the terms and conditions of the Creative Commons Attribution (CC BY) license (https://creativecommons.org/licenses/by/4.0/).
Share and Cite
Matsuyama, N.; Naiki, T.; Hamamoto, S.; Sugiyama, Y.; Kubota, Y.; Hamakawa, T.; Etani, T.; Iwatsuki, S.; Taguchi, K.; Ota, Y.; et al. Postoperative Bladder Neck to Pubic Symphysis Ratio Predictive for De Novo Overactive Bladder after Robot-Assisted Radical Prostatectomy. Diagnostics 2023, 13, 3173. https://doi.org/10.3390/diagnostics13203173
Matsuyama N, Naiki T, Hamamoto S, Sugiyama Y, Kubota Y, Hamakawa T, Etani T, Iwatsuki S, Taguchi K, Ota Y, et al. Postoperative Bladder Neck to Pubic Symphysis Ratio Predictive for De Novo Overactive Bladder after Robot-Assisted Radical Prostatectomy. Diagnostics. 2023; 13(20):3173. https://doi.org/10.3390/diagnostics13203173
Chicago/Turabian StyleMatsuyama, Nayuka, Taku Naiki, Shuzo Hamamoto, Yosuke Sugiyama, Yasue Kubota, Takashi Hamakawa, Toshiki Etani, Shoichiro Iwatsuki, Kazumi Taguchi, Yuya Ota, and et al. 2023. "Postoperative Bladder Neck to Pubic Symphysis Ratio Predictive for De Novo Overactive Bladder after Robot-Assisted Radical Prostatectomy" Diagnostics 13, no. 20: 3173. https://doi.org/10.3390/diagnostics13203173
APA StyleMatsuyama, N., Naiki, T., Hamamoto, S., Sugiyama, Y., Kubota, Y., Hamakawa, T., Etani, T., Iwatsuki, S., Taguchi, K., Ota, Y., Gonda, M., Aoki, M., Morikawa, T., Kato, T., Okada, A., & Yasui, T. (2023). Postoperative Bladder Neck to Pubic Symphysis Ratio Predictive for De Novo Overactive Bladder after Robot-Assisted Radical Prostatectomy. Diagnostics, 13(20), 3173. https://doi.org/10.3390/diagnostics13203173

