Analysis of the Effectiveness of Metaheuristic Methods on Bayesian Optimization in the Classification of Visual Field Defects
Abstract
1. Introduction
- To optimize the exploration and exploitation process by incorporating with the swarm-based metaheuristic methods (PSO, ABC, HHO, and SFO) with BO default acquisition function, EI.
- To conduct a comprehensive investigation and analysis of the performance of the acquisition function in BO when incorporated with four different metaheuristic methods against the VGGNet pre-trained models.
- To evaluate the performance of VGGNet pre-trained models after the BO enhancement in a multi-class image classification problem for VF defects images.
2. Methodology
2.1. Data Collection
2.2. Multi-Class Classification of VF Defect Using Transfer Learning
2.3. Combination of Bayesian Optimization with Metaheuristics Methods
- Expected Improvement (EI).
- Probability Improvement (PI).
- Upper Confidence Bound (UCB).
- Lower Confidence Bound (LCB).
- Particle Swarm Optimization (PSO) [5,21] is an algorithm inspired by the behavior of a flock of birds or a school of fish. It is developed in the form of population-based stochastic optimization. In PSO, the optimal solution is obtained if the algorithm has reached convergence. If the algorithm has reached convergence, it is influenced by the particle’s position and velocity.
- Artificial Bee Colony (ABC) Optimization [13,22] contains four phases: initialization phase, employed bee phase, onlooker bee phase, and scout bee phase. Different kinds of bees can change their roles iteratively until the termination condition is met. Note that there is an associated counter for each food source. If one food source is not improved, the increment of its corresponding counter is 1; otherwise, the counter resets to 0. If the quality of a solution has not been enhanced more than the limit (present parameter), the employed bee would be transformed into a scout bee.
- Harris Hawks Optimization (HHO) [23] is the cooperative behavior in which the chasing style of Harris’ hawks in nature is called surprise pounce. HHO can reveal various chasing patterns based on the dynamic nature of scenarios and escaping patterns of the prey. The effectiveness of the HHO optimizer underwent 29 benchmark problems and several real-world engineering problems through a comparison with other nature-inspired techniques to check the optimizer’s performance.
- Sailfish Optimization (SFO) [24] is inspired by a group of hunting sailfish. This method consists of two tips of populations, the sailfish population for intensification of the search around the best so far and the sardine population for diversification of the search space. This technique indicates competitive results for improving exploration and exploitation phases, avoiding local optima, and high-speed convergence, especially on large-scale global optimization.
| Algorithm 1: Psuedocode of the BO Enhancement: Enhance Bayesian Optimization with Metaheuristic Method |
| Required: An acquisition function 1: Inputs: Bayesian Optimization process 2: While the stop criteria are not fulfilled, do the following: 3: Select the next point to evaluate based on an acquisition function (Expected Improvement), which balances the exploration of new points and the the exploitation of promising areas of the search space until maximize accuracy is obtained: |
| . |
| 4: Calculation of EI for each set of hyperparameters and fine-tuning layers using the probabilistic model provides: |
| 5: Evaluate the mean µ(x) and varianceof the probabilistic model at x. These values are estimated based on the observed values of the objective function at previous evaluation points. 6: Initialize the population of mean µ(x) and varianceof the probabilistic model at x. 7: From the set of a population of mean µ(x) and variancemaximize by me taheuristic method (PSO, ABC, HHO and SFO). The goal is to explore the search space and generate a diverse set of hyperparameters and fine-tuned layers solution. 8: Evaluate the objective function for each new set of hyperparameters and fine-tuned layers solution in the population. 9: Select the best hyperparameter and fine-tuned layers from the entire population based on the objective function values. 10: End while |
2.4. Evaluation
- = the size of the iteration.
- = each accuracy value from the BO iteration.
- = the iteration mean.
3. Experimental Results and Discussion
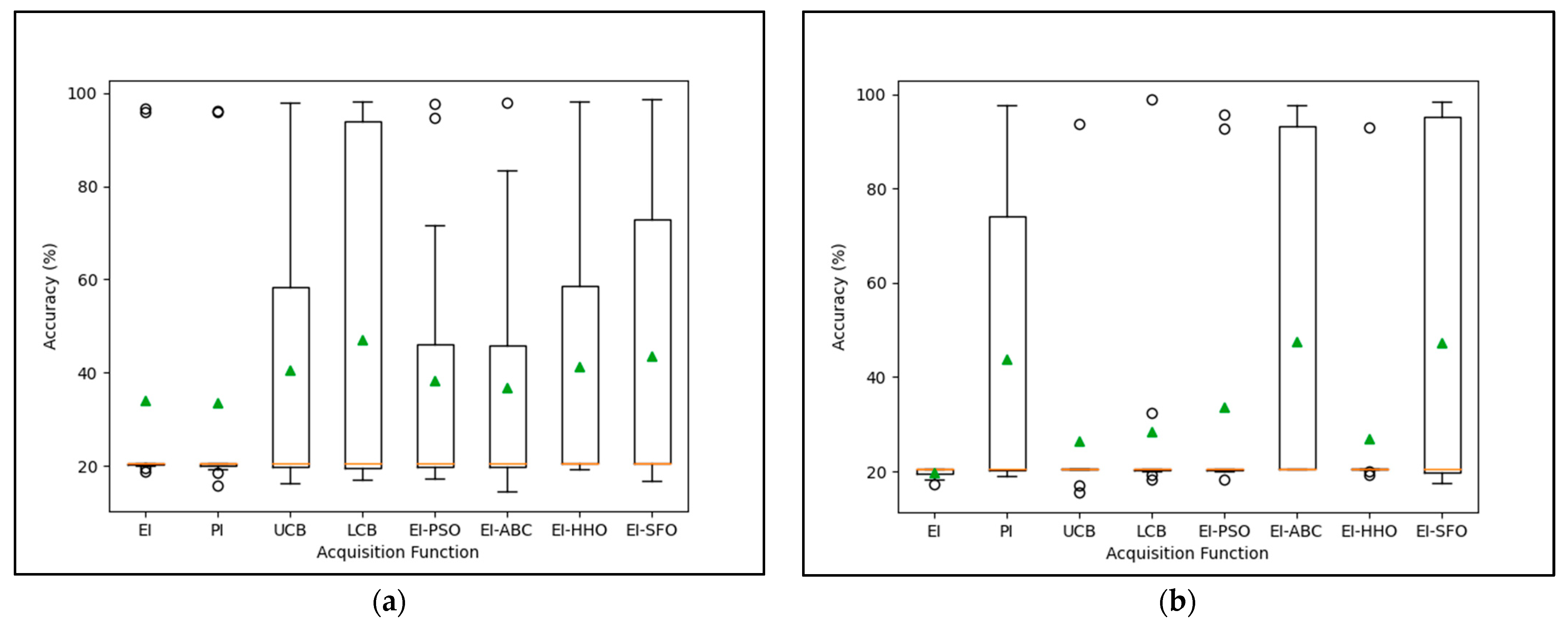
3.1. Validation Analyses of Pre-Trained Models Enhanced by Bayesian Optimization Based on Different Acquisition Functions
3.2. Performance Analyses of Pre-Trained Models Enhanced by Bayesian Optimization Based on Different Acquisition Functions
4. Conclusions
Author Contributions
Funding
Institutional Review Board Statement
Informed Consent Statement
Data Availability Statement
Conflicts of Interest
References
- Ian, G.; Bengio, Y.; Courville, A. Deep Learning Book Review; MIT Press: Cambridge, MA, USA, 2016. [Google Scholar]
- Pan, S.J.; Yang, Q. A Survey on Transfer Learning. IEEE Trans. Knowl. Data Eng. 2010, 22, 1345–1359. [Google Scholar] [CrossRef]
- Bai, T.; Li, Y.; Shen, Y.; Zhang, X.; Zhang, W.; Cui, B. Transfer Learning for Bayesian Optimization: A Survey. J. ACM 2023, 1, 1–35. Available online: http://arxiv.org/abs/2302.05927 (accessed on 16 February 2023).
- Zhuang, F.; Qi, Z.; Duan, K.; Xi, D.; Zhu, Y.; Zhu, H.; Xiong, H.; He, Q. A Comprehensive Survey on Transfer Learning. Proc. IEEE 2021, 109, 43–76. [Google Scholar] [CrossRef]
- Li, Y.; Zhang, Y.; Zhou, G.; Gong, Y. Bayesian Optimization with Particle Swarm. In Proceedings of the 2021 International Joint Conference on Neural Networks, Shenzhen, China, 18–22 July 2021. [Google Scholar] [CrossRef]
- Dewancker, I.; McCourt, M.; Clark, S. Bayesian Optimization Primer. 2018. Available online: https://static.sigopt.com/b/20a144d208ef255d3b981ce419667ec25d8412e2/static/pdf/SigOpt_Bayesian_Optimization_Primer.pdf (accessed on 11 January 2021).
- Frazier, P.I. A Tutorial on Bayesian Optimization. arXiv 2018, arXiv:1807.02811. Available online: http://arxiv.org/abs/1807.02811 (accessed on 17 November 2022).
- He, C.; Wang, D.; Yu, Y.; Cai, Z. A Hybrid Deep Learning Model for Link Dynamic Vehicle Count Forecasting with Bayesian Optimization. J. Adv. Transp. 2023, 2023, 5070504. [Google Scholar] [CrossRef]
- Tran-The, S.V.H.; Gupta, S.; Rana, S.; Tran-Thanh, L. Expected Improvement-based Contextual Bandits. 2022, pp. 1–23. Available online: https://openreview.net/forum?id=GIBm-_kax6 (accessed on 13 January 2023).
- Shankar, K.; Zhang, Y.; Liu, Y.; Wu, L.; Chen, C.H. Hyperparameter Tuning Deep Learning for Diabetic Retinopathy Fundus Image Classification. IEEE Access 2020, 8, 118164–118173. [Google Scholar] [CrossRef]
- Abu, M.; Zahri, N.A.H.; Amir, A.; Ismail, M.I.; Yaakub, A.; Anwar, S.A.; Ahmad, M.I. A Comprehensive Performance Analysis of Transfer Learning Optimization in Visual Field Defect Classification. Diagnostics 2022, 12, 1258. [Google Scholar] [CrossRef]
- Loshchilov, I.; Hutter, F. CMA-ES for Hyperparameter Optimization of Deep Neural Networks. 2016. Available online: http://arxiv.org/abs/1604.07269 (accessed on 6 March 2023).
- Alamri, N.M.H.; Packianather, M.; Bigot, S. Deep Learning: Parameter Optimization Using Proposed Novel Hybrid Bees Bayesian Convolutional Neural Network. Appl. Artif. Intell. 2022, 36, 2031815. [Google Scholar] [CrossRef]
- Mukesh, M.; Sarkar, K.; Singh, U.K. The joint application of metaheuristic algorithm and Bayesian Statistics approach for uncertainty and stability assessment of nonlinear Magnetotelluric data. Nonlinear Process. Geophys. 2023, 2023. [Google Scholar]
- Reddy, K.; Saha, A.K. A review of swarm-based metaheuristic optimization techniques and their application to doubly fed induction generator. Heliyon 2022, 8, e10956. [Google Scholar] [CrossRef]
- Bhattacharyya, T.; Chatterjee, B.; Singh, P.K.; Yoon, J.H.; Geem, Z.W.; Sarkar, R. Mayfly in Harmony: A new hybrid meta-heuristic feature selection algorithm. IEEE Access 2020, 8, 195929–195945. [Google Scholar] [CrossRef]
- He, J.; Zhu, Q.; Zhang, K.; Yu, P.; Tang, J. An evolvable adversarial network with gradient penalty for COVID-19 infection segmentation. Appl. Soft Comput. 2021, 113, 107947. [Google Scholar] [CrossRef]
- Guilmeau, T.; Chouzenoux, E.; Elvira, V. Simulated Annealing: A Review and a New Scheme. IEEE Work. Stat. Signal Process. Proc. 2021, 2021, 101–105. [Google Scholar] [CrossRef]
- Tameswar, K.; Suddul, G.; Dookhitram, K. A hybrid deep learning approach with genetic and coral reefs metaheuristics for enhanced defect detection in software. Int. J. Inf. Manag. Data Insights 2022, 2, 100105. [Google Scholar] [CrossRef]
- Gundluru, N.; Rajput, D.S.; Lakshmanna, K.; Kaluri, R.; Shorfuzzaman, M.; Uddin, M.; Khan, M.A.R. Enhancement of Detection of Diabetic Retinopathy Using Harris Hawks Optimization with Deep Learning Model. Comput. Intell. Neurosci. 2022, 2022, 8512469. [Google Scholar] [CrossRef]
- Cosma, G.; Brown, D.; Archer, M.; Khan, M.; Pockley, A.G. A Survey on Computational Intelligence Approaches for Predictive Modeling in Prostate Cancer. Expert Syst. Appl. 2017, 70, 1–19. [Google Scholar] [CrossRef]
- Wang, C.; Shang, P.; Shen, P. An improved artificial bee colony algorithm based on Bayesian estimation. Complex Intell. Syst. 2022, 8, 4971–4991. [Google Scholar] [CrossRef]
- Heidari, A.A.; Mirjalili, S.; Faris, H.; Aljarah, I.; Mafarja, M.; Chen, H. Harris hawks optimization: Algorithm and applications. Futur. Gener. Comput. Syst. 2019, 97, 849–872. [Google Scholar] [CrossRef]
- Shadravan, S.; Naji, H.; Bardsiri, V. The Sailfish Optimizer: A novel nature-inspired metaheuristic algorithm for solving constrained engineering optimization problems. Eng. Appl. Artif. Intell. 2019, 80, 20–34. [Google Scholar] [CrossRef]
- Hussain, K.; Salleh, M.N.M.; Cheng, S.; Shi, Y. Comparative analysis of swarm-based metaheuristic algorithms on benchmark functions. Lect. Notes Comput. Sci. 2017, 10385, 3–11. [Google Scholar] [CrossRef]
- Google. Dataset Search. 2023. Available online: https://datasetsearch.research.google.com/ (accessed on 23 September 2021).
- Gessesse, G.W.; Tamrat, L.; Damji, K.F. 10–2 Humphrey SITA standard visual field test and white on black amsler grid test results among 200 eyes. PLoS ONE 2020, 15, e0230017. [Google Scholar] [CrossRef]
- Bryan, S.; Colen, T.; Jaakke, S.; Koolwijk, L.; Lemij, H.; Mai, T.; Nic, R.; Josine, S.; Gijs, T.; Mieke, T.; et al. Longitudinal Glaucomatous Visual Field Data. Rotterdam Ophthalmic Data Repos. 2014. Available online: http://www.rodrep.com/longitudinal-glaucomatous-vf-data---description.html (accessed on 23 September 2021).
- Erler, N.S.; Bryan, S.R.; Eilers, P.H.C.; Lesaffre, E.M.E.H.; Lemij, H.G.; Vermeer, K.A. Optimizing Structure-function Relationship by Maximizing Correspondence between Glaucomatous Visual Fields and Mathematical Retinal Nerve Fiber Models. Investig. Ophthalmol. Vis. Sci. 2014, 55, 2350–2357. [Google Scholar] [CrossRef] [PubMed]
- Kucur, Ş.S.; Holló, G.; Sznitman, R. A Deep Learning Approach to Automatic Detection of Early Glaucoma from Visual Fields. PLoS ONE 2018, 13, e0206081. [Google Scholar] [CrossRef] [PubMed]
- Kucur, Ş.S. Early Glaucoma Identification. GitHub. 2018. Available online: https://github.com/serifeseda/early-glaucoma-identification (accessed on 23 September 2021).
- Simonyan, K.; Zisserman, A. Very deep convolutional networks for large-scale image recognition. In Proceedings of the 3rd International Conference on Learning Representations, ICLR 2015—Conference Track Proceedings, San Diego, CA, USA, 7–9 May 2015; pp. 1–14. [Google Scholar]
- KHe, K.; Zhang, X.; Ren, S.; Sun, J. Deep residual learning for image recognition. In Proceedings of the IEEE Computer Society Conference on Computer Vision and Pattern Recognition, Las Vegas, NV, USA, 27–30 June 2016; pp. 770–778. [Google Scholar] [CrossRef]
- Howard, A.G.; Zhu, M.; Chen, B.; Kalenichenko, D.; Wang, W.; Weyand, T.; Andreetto, M.; Adam, H. MobileNets: Efficient Convolutional Neural Networks for Mobile Vision Applications. 2017. Available online: http://arxiv.org/abs/1704.04861 (accessed on 6 March 2023).
- Sandler, M.; Howard, A.; Zhu, M.; Zhmoginov, A.; Chen, L. MobileNetV2: Inverted Residuals and Linear Bottlenecks. In Proceedings of the IEEE/CVF Conference on Computer Vision and Pattern Recognition, Salt Lake City, UT, USA, 18–23 June 2018; pp. 4510–4520. [Google Scholar] [CrossRef]
- Huang, G.; Liu, Z.; Van Der Maaten, L.; Weinberger, K.Q. Densely connected convolutional networks. In Proceedings of the 2017 IEEE Conference on Computer Vision and Pattern Recognition, Honolulu, HI, USA, 21–26 July 2017; pp. 2261–2269. [Google Scholar] [CrossRef]
- Garnett, R. Bayesian Optimization. 2015. Available online: https://www.cse.wustl.edu/~garnett/cse515t/spring_2015/files/lecture_notes/12.pdf (accessed on 17 August 2022).
- Koehrsen, W. A conceptual explanation of bayesian hyperparameter optimization for machine learning. Towar. Data Sci. 2018, 5. Available online: https://towardsdatascience.com/a-conceptual-explanation-of-bayesian-model-based-hyperparameter-optimization-for-machine-learning-b8172278050f (accessed on 14 February 2021).
- Atteia, G.; Alhussan, A.A.; Samee, N.A. BO-ALLCNN: Bayesian-Based Optimized CNN for Acute Lymphoblastic Leukemia Detection in Microscopic Blood Smear Images. Sensor 2022, 22, 5520. [Google Scholar] [CrossRef]
- Noè, U.; Husmeier, D. On a New Improvement-Based Acquisition Function for Bayesian Optimization. 2018. Available online: http://arxiv.org/abs/1808.06918 (accessed on 11 February 2023).
- Wang, H.; van Stein, B.; Emmerich, M.; Back, T. A new acquisition function for Bayesian optimization based on the moment-generating function. In Proceedings of the IEEE International Conference on Systems, Man and Cybernetics, Banff, AB, Canada, 5–8 October 2017; pp. 507–512. [Google Scholar] [CrossRef]
- Shahriari, B.; Swersky, K.; Wang, Z.; Adams, R.P.; De Freitas, N. Taking the Human Out of the Loop: A Review of Bayesian Optimization. Proc. IEEE 2016, 104, 148–175. [Google Scholar] [CrossRef]
- Zuhal, L.R.; Palar, P.S.; Shimoyama, K. A comparative study of multi-objective expected improvement for aerodynamic design. Aerosp. Sci. Technol. 2019, 91, 548–560. [Google Scholar] [CrossRef]



| Type of Visual Field Defect | No. of Record |
|---|---|
| Central scotoma | 204 |
| Right/Left hemianopia | 223 |
| Right/left/upper/lower quadrantanopia | 160 |
| Tunnel vision | 226 |
| Superior/inferior defect field | 181 |
| Normal | 274 |
| Acquisition Function | Iteration | Hyperparameter | Fine-Tuned Layer | Validation Accuracy (%) | |||||||||
|---|---|---|---|---|---|---|---|---|---|---|---|---|---|
| Feature Map | Filter Size | Activation Function | Pool Size | Optimizer | Learning Rate | Batch Size | Epoch | Dropout Rate | Upper Layer | Lower Layer | |||
| CMA-ES [12] | 1 | 45 | 1 | ReLU | 1 | SGD | 0.0001 | 25 | 49 | 0.3 | FALSE | TRUE | 20.55 |
| 2 | 56 | 1 | ReLU | 2 | ADAM | 0.0053 | 20 | 189 | 0.8 | FALSE | FALSE | 20.55 | |
| 3 | 34 | 1 | Sigmoid | 1 | SGD | 0.0023 | 4 | 89 | 0.2 | FALSE | TRUE | 20.55 | |
| 4 | 53 | 3 | Sigmoid | 2 | ADAM | 0.0225 | 6 | 122 | 0.4 | FALSE | FALSE | 20.55 | |
| 5 | 51 | 1 | ReLU | 2 | ADAM | 0.0049 | 4 | 131 | 0.3 | TRUE | TRUE | 20.55 | |
| 6 | 42 | 3 | Sigmoid | 1 | Adadelta | 0.0711 | 4 | 127 | 0.3 | TRUE | FALSE | 20.55 | |
| 7 | 45 | 3 | Sigmoid | 2 | Adadelta | 0.0033 | 1 | 142 | 0.8 | TRUE | TRUE | 20.55 | |
| 8 | 61 | 2 | ReLU | 2 | ADAM | 0.0289 | 11 | 29 | 0.2 | TRUE | TRUE | 20.55 | |
| 9 | 48 | 2 | ReLU | 1 | RMSprop | 0.0028 | 16 | 105 | 0.6 | FALSE | TRUE | 20.55 | |
| 10 | 48 | 2 | Sigmoid | 2 | ADAM | 0.0031 | 17 | 105 | 0.6 | FALSE | FALSE | 15.67 | |
| 11 | 48 | 2 | ReLU | 2 | RMSprop | 0.0030 | 16 | 105 | 0.5 | TRUE | TRUE | 20.55 | |
| EI [39] | 1 | 64 | 3 | ReLU | 2 | ADAM | 0.001 | 32 | 200 | 0.2 | FALSE | FALSE | 20.55 |
| 2 | 58 | 2 | ReLU | 1 | RMSprop | 0.0009 | 24 | 29 | 0.5 | TRUE | FALSE | 95.97 | |
| 3 | 38 | 2 | Sigmoid | 1 | ADAM | 0.0022 | 10 | 51 | 0.2 | TRUE | TRUE | 20.55 | |
| 4 | 33 | 1 | Sigmoid | 1 | Adadelta | 0.0031 | 26 | 40 | 0.8 | FALSE | FALSE | 20.55 | |
| 5 | 38 | 2 | Sigmoid | 1 | SGD | 0.0117 | 13 | 23 | 0.7 | TRUEs | FALSE | 19.96 | |
| 6 | 46 | 2 | Sigmoid | 2 | RMSprop | 0.0019 | 18 | 34 | 0.6 | TRUE | FALSE | 20.55 | |
| 7 | 41 | 2 | Sigmoid | 2 | ADAM | 0.0003 | 11 | 76 | 0.9 | FALSE | FALSE | 20.55 | |
| 8 | 35 | 2 | ReLU | 1 | ADAM | 0.0007 | 29 | 94 | 0.1 | FALSE | FALSE | 96.74 | |
| 9 | 47 | 1 | ReLU | 2 | RMSprop | 0.0068 | 2 | 167 | 0.9 | TRUE | TRUE | 20.55 | |
| 10 | 56 | 2 | ReLU | 1 | RMSprop | 0.0264 | 6 | 97 | 0.4 | TRUE | FALSE | 18.81 | |
| 11 | 64 | 2 | ReLU | 2 | SGD | 0.0226 | 27 | 200 | 0.9 | TRUE | TRUE | 97.92 | |
| EI-PSO | 1 | 64 | 3 | ReLU | 2 | ADAM | 0.001 | 32 | 200 | 0.2 | FALSE | FALSE | 20.55 |
| 2 | 32 | 1 | ReLU | 2 | ADAM | 0.0006 | 9 | 42 | 0.1 | FALSE | TRUE | 94.75 | |
| 3 | 29 | 2 | ReLU | 2 | Adadelta | 0.0008 | 12 | 118 | 0.8 | FALSE | FALSE | 71.57 | |
| 4 | 17 | 2 | Sigmoid | 2 | RMSprop | 0.0774 | 10 | 156 | 0.4 | TRUE | FALSE | 17.16 | |
| 5 | 21 | 2 | Sigmoid | 1 | RMSprop | 0.0032 | 10 | 122 | 0.4 | TRUE | FALSE | 20.55 | |
| 6 | 24 | 2 | ReLU | 2 | RMSprop | 0.0002 | 7 | 180 | 0.7 | FALSE | TRUE | 97.80 | |
| 7 | 30 | 2 | ReLU | 1 | RMSprop | 0.0849 | 10 | 53 | 0.6 | FALSE | FALSE | 19.03 | |
| 8 | 32 | 3 | Sigmoid | 2 | RMSprop | 0.001 | 11 | 69 | 0.2 | TRUE | FALSE | 20.55 | |
| 9 | 25 | 1 | Sigmoid | 1 | ADAM | 0.0354 | 14 | 76 | 0.5 | FALSE | TRUE | 19.41 | |
| 10 | 18 | 1 | Sigmoid | 2 | RMSprop | 0.0297 | 9 | 164 | 0.8 | TRUE | FALSE | 19.96 | |
| 11 | 18 | 2 | Sigmoid | 2 | ADAM | 0.0001 | 14 | 128 | 0.9 | FALSE | FALSE | 20.55 | |
| EI-ABC | 1 | 64 | 2 | ReLU | 2 | ADAM | 0.001 | 32 | 200 | 0.2 | FALSE | FALSE | 20.55 |
| 2 | 19 | 2 | ReLU | 2 | ADAM | 0.0193 | 5 | 168 | 0.5 | TRUE | TRUE | 19.45 | |
| 3 | 29 | 1 | Sigmoid | 1 | Adadelta | 0.0231 | 5 | 141 | 0.8 | FALSE | TRUE | 20.55 | |
| 4 | 28 | 2 | Sigmoid | 2 | ADAM | 0.0213 | 15 | 30 | 0.6 | FALSE | TRUE | 15.93 | |
| 5 | 17 | 2 | ReLU | 2 | Adadelta | 0.0006 | 1 | 126 | 0.6 | FALSE | TRUE | 83.31 | |
| 6 | 26 | 2 | Sigmoid | 2 | SGD | 0.0014 | 6 | 75 | 0.7 | FALSE | FALSE | 20.00 | |
| 7 | 32 | 2 | ReLU | 2 | SGD | 0.0118 | 6 | 89 | 0.5 | TRUE | FALSE | 97.84 | |
| 8 | 18 | 1 | ReLU | 1 | ADAM | 0.0524 | 14 | 103 | 0.2 | FALSE | TRUE | 20.55 | |
| 9 | 26 | 1 | ReLU | 1 | Adadelta | 0.0009 | 11 | 184 | 0.5 | TRUE | TRUE | 71.19 | |
| 10 | 29 | 2 | Sigmoid | 2 | RMSprop | 0.0152 | 2 | 190 | 0.5 | TRUE | TRUE | 14.41 | |
| 11 | 22 | 2 | ReLU | 2 | ADAM | 0.0229 | 14 | 64 | 0.4 | FALSE | TRUE | 20.55 | |
| EI-HHO | 1 | 64 | 3 | ReLU | 2 | ADAM | 0.001 | 32 | 200 | 0.2 | FALSE | FALSE | 20.55 |
| 2 | 20 | 1 | Sigmoid | 1 | SGD | 0.0004 | 5 | 184 | 0.3 | FALSE | FALSE | 19.41 | |
| 3 | 30 | 3 | Sigmoid | 1 | SGD | 0.0005 | 1 | 193 | 0.4 | FALSE | FALSE | 20.55 | |
| 4 | 27 | 2 | ReLU | 2 | RMSprop | 0.0139 | 8 | 141 | 0.3 | FALSE | FALSE | 20.55 | |
| 5 | 22 | 2 | ReLU | 1 | ADAM | 0.0077 | 9 | 42 | 0.3 | TRUE | FALSE | 20.55 | |
| 6 | 23 | 2 | ReLU | 1 | ADAM | 0.0165 | 11 | 56 | 0.2 | TRUE | FALSE | 19.36 | |
| 7 | 18 | 2 | ReLU | 1 | ADAM | 0.0001 | 8 | 148 | 0.8 | FALSE | TRUE | 97.03 | |
| 8 | 26 | 2 | Sigmoid | 2 | ADAM | 0.0002 | 10 | 159 | 0.7 | FALSE | FALSE | 20.55 | |
| 9 | 18 | 1 | Sigmoid | 2 | ADAM | 0.0103 | 13 | 89 | 0.3 | TRUE | TRUE | 20.55 | |
| 10 | 24 | 2 | ReLU | 2 | SGD | 0.0035 | 2 | 172 | 0.8 | FALSE | TRUE | 98.26 | |
| 11 | 18 | 3 | ReLU | 2 | RMSprop | 0.0006 | 15 | 53 | 0.5 | FALSE | TRUE | 96.53 | |
| EI-SFO | 1 | 64 | 3 | ReLU | 2 | ADAM | 0.001 | 32 | 200 | 0.2 | FALSE | FALSE | 20.55 |
| 2 | 30 | 2 | ReLU | 1 | RMSprop | 0.0018 | 11 | 93 | 0.6 | TRUE | FALSE | 94.87 | |
| 3 | 21 | 2 | ReLU | 1 | Adadelta | 0.0013 | 8 | 48 | 0.8 | FALSE | FALSE | 52.92 | |
| 4 | 25 | 2 | Sigmoid | 1 | Adadelta | 0.0791 | 3 | 164 | 0.4 | FALSE | TRUE | 20.55 | |
| 5 | 19 | 1 | ReLU | 2 | SGD | 0.034 | 9 | 58 | 0.8 | TRUE | FALSE | 92.84 | |
| 6 | 27 | 3 | ReLU | 2 | RMSprop | 0.0002 | 15 | 86 | 0.5 | TRUE | TRUE | 98.60 | |
| 7 | 25 | 1 | ReLU | 1 | ADAM | 0.0466 | 4 | 150 | 0.5 | TRUE | FALSE | 19.45 | |
| 8 | 19 | 3 | Sigmoid | 2 | ADAM | 0.0055 | 14 | 169 | 0.1 | TRUE | FALSE | 16.65 | |
| 9 | 29 | 1 | Sigmoid | 2 | RMSprop | 0.0279 | 14 | 23 | 0.3 | TRUE | FALSE | 20.55 | |
| 10 | 18 | 2 | Sigmoid | 2 | RMSprop | 0.0001 | 3 | 118 | 0.6 | TRUE | TRUE | 20.55 | |
| 11 | 30 | 1 | Sigmoid | 1 | RMSprop | 0.0001 | 9 | 77 | 0.1 | TRUE | FALSE | 20.55 | |
| PI | 1 | 64 | 3 | ReLU | 2 | ADAM | 0.001 | 32 | 200 | 0.2 | FALSE | FALSE | 20.55 |
| 2 | 50 | 3 | Sigmoid | 1 | SGD | 0.0906 | 1 | 46 | 0.8 | FALSE | FALSE | 15.68 | |
| 3 | 63 | 2 | ReLU | 2 | RMSprop | 0.0158 | 8 | 127 | 0.8 | FALSE | FALSE | 20.55 | |
| 4 | 62 | 2 | ReLU | 1 | RMSprop | 0.0278 | 8 | 74 | 0.8 | TRUE | TRUE | 20.55 | |
| 5 | 36 | 3 | ReLU | 1 | RMSprop | 0.0013 | 14 | 57 | 0.4 | TRUE | FALSE | 95.85 | |
| 6 | 33 | 2 | Sigmoid | 1 | RMSprop | 0.0007 | 2 | 44 | 0.8 | TRUE | FALSE | 20.55 | |
| 7 | 46 | 2 | ReLU | 1 | Adadelta | 0.0444 | 19 | 71 | 0.7 | FALSE | FALSE | 96.23 | |
| 8 | 46 | 3 | Sigmoid | 2 | Adadelta | 0.0071 | 17 | 95 | 0.5 | TRUE | TRUE | 20.55 | |
| 9 | 49 | 2 | ReLU | 1 | RMSprop | 0.0954 | 3 | 40 | 0.7 | TRUE | FALSE | 18.52 | |
| 10 | 47 | 3 | Sigmoid | 1 | ADAM | 0.0017 | 19 | 47 | 0.8 | FALSE | FALSE | 19.36 | |
| 11 | 44 | 3 | Sigmoid | 1 | Adadelta | 0.00717 | 27 | 116 | 0.4 | TRUE | TRUE | 20.55 | |
| UCB | 1 | 64 | 3 | ReLU | 2 | ADAM | 0.001 | 32 | 200 | 0.2 | FALSE | FALSE | 97.88 |
| 2 | 61 | 2 | ReLU | 1 | RMSprop | 0.0029 | 22 | 143 | 0.6 | FALSE | FALSE | 20.55 | |
| 3 | 58 | 3 | ReLU | 2 | SGD | 0.0077 | 7 | 53 | 0.1 | TRUE | FALSE | 96.31 | |
| 4 | 44 | 3 | ReLU | 1 | SGD | 0.0075 | 14 | 162 | 0.2 | FALSE | FALSE | 96.86 | |
| 5 | 52 | 2 | ReLU | 1 | ADAM | 0.0023 | 1 | 115 | 0.9 | FALSE | TRUE | 20.55 | |
| 6 | 53 | 2 | Sigmoid | 2 | ADAM | 0.0033 | 5 | 188 | 0.4 | TRUE | TRUE | 19.07 | |
| 7 | 51 | 2 | Sigmoid | 2 | RMSprop | 0.0164 | 7 | 99 | 0.5 | FALSE | FALSE | 16.19 | |
| 8 | 37 | 1 | Sigmoid | 1 | ADAM | 0.0001 | 21 | 172 | 0.6 | TRUE | TRUE | 20.55 | |
| 9 | 41 | 3 | ReLU | 2 | RMSprop | 0.0046 | 8 | 142 | 0.2 | TRUE | FALSE | 20.55 | |
| 10 | 60 | 2 | Sigmoid | 2 | RMSprop | 0.0017 | 25 | 173 | 0.5 | TRUE | FALSE | 20.55 | |
| 11 | 35 | 3 | Sigmoid | 2 | ADAM | 0.0383 | 29 | 52 | 0.9 | FALSE | TRUE | 17.46 | |
| LCB | 1 | 64 | 3 | ReLU | 2 | ADAM | 0.001 | 32 | 200 | 0.2 | FALSE | FALSE | 98.26 |
| 2 | 40 | 3 | ReLU | 1 | SGD | 0.0313 | 9 | 14 | 0.3 | FALSE | TRUE | 94.28 | |
| 3 | 50 | 2 | Sigmoid | 2 | ADAM | 0.0498 | 21 | 167 | 0.1 | FALSE | FALSE | 18.31 | |
| 4 | 44 | 1 | Sigmoid | 1 | ADAM | 0.0010 | 10 | 34 | 0.9 | FALSE | TRUE | 20.55 | |
| 5 | 54 | 1 | Sigmoid | 2 | RMSprop | 0.0016 | 21 | 120 | 0.4 | FALSE | TRUE | 20.55 | |
| 6 | 52 | 2 | Sigmoid | 1 | RMSprop | 0.0003 | 17 | 113 | 0.8 | TRUE | TRUE | 20.55 | |
| 7 | 54 | 1 | Sigmoid | 2 | ADAM | 0.0925 | 5 | 76 | 0.2 | TRUE | FALSE | 17.33 | |
| 8 | 39 | 2 | ReLU | 2 | ADAM | 0.0002 | 21 | 100 | 0.9 | TRUE | FALSE | 98.22 | |
| 9 | 64 | 2 | Sigmoid | 2 | RMSprop | 0.0087 | 29 | 59 | 0.4 | FALSE | FALSE | 16.91 | |
| 10 | 59 | 1 | Sigmoid | 2 | RMSprop | 0.0003 | 26 | 183 | 0.5 | FALSE | TRUE | 20.55 | |
| 11 | 55 | 1 | ReLU | 2 | Adadelta | 0.0791 | 32 | 105 | 0.8 | FALSE | TRUE | 93.43 | |
| Acquisition Function | Iteration | Hyperparameter | Fine-Tuned | Validation Accuracy (%) | |||||||||
|---|---|---|---|---|---|---|---|---|---|---|---|---|---|
| Feature Map | Filter Size | Activation Function | Pool Size | Optimizer | Learning Rate | Batch Size | Epoch | Dropout Rate | Upper Layer | Lower Layer | |||
| CMA-ES [12] | 1 | 37 | 2 | ReLU | 2 | Adadelta | 0.0001 | 3 | 192 | 0.4 | TRUE | FALSE | 20.55 |
| 2 | 48 | 1 | ReLU | 2 | RMSprop | 0.0528 | 7 | 92 | 0.3 | FALSE | TRUE | 17.80 | |
| 3 | 42 | 3 | ReLU | 2 | RMSprop | 0.0193 | 3 | 79 | 0.8 | FALSE | FALSE | 20.55 | |
| 4 | 63 | 3 | ReLU | 2 | RMSprop | 0.0002 | 2 | 77 | 0.4 | FALSE | TRUE | 97.03 | |
| 5 | 58 | 2 | Sigmoid | 2 | RMSprop | 0.0436 | 14 | 173 | 0.3 | TRUE | TRUE | 17.58 | |
| 6 | 44 | 3 | Sigmoid | 1 | RMSprop | 0.0026 | 1 | 25 | 0.3 | FALSE | TRUE | 17.58 | |
| 7 | 32 | 1 | Sigmoid | 2 | Adadelta | 0.0016 | 7 | 13 | 0.5 | TRUE | TRUE | 20.55 | |
| 8 | 63 | 2 | ReLu | 2 | RMSprop | 0.0006 | 13 | 37 | 0.4 | TRUE | TRUE | 93.64 | |
| 9 | 48 | 2 | Sigmoid | 2 | RMSprop | 0.0041 | 16 | 105 | 0.7 | FALSE | TRUE | 20.55 | |
| 10 | 48 | 2 | ReLU | 1 | ADAM | 0.0023 | 16 | 105 | 0.4 | FALSE | TRUE | 20.55 | |
| 11 | 48 | 2 | ReLU | 1 | Adadelta | 0.0037 | 16 | 105 | 0.6 | TRUE | FALSE | 92.16 | |
| EI [39] | 1 | 64 | 3 | ReLU | 2 | ADAM | 0.001 | 32 | 200 | 0.2 | FALSE | FALSE | 20.55 |
| 2 | 39 | 2 | Sigmoid | 1 | SGD | 0.0041 | 32 | 60 | 0.4 | TRUE | TRUE | 19.11 | |
| 3 | 62 | 2 | ReLU | 1 | ADAM | 0.0019 | 3 | 110 | 0.8 | TRUE | FALSE | 20.55 | |
| 4 | 39 | 2 | Sigmoid | 1 | RMSprop | 0.0015 | 31 | 99 | 0.6 | TRUE | TRUE | 20.55 | |
| 5 | 44 | 3 | ReLU | 1 | RMSprop | 0.0724 | 27 | 90 | 0.3 | FALSE | FALSE | 19.96 | |
| 6 | 32 | 2 | Sigmoid | 1 | ADAM | 0.0003 | 1 | 154 | 0.4 | TRUE | TRUE | 20.55 | |
| 7 | 36 | 1 | ReLU | 2 | RMSprop | 0.0874 | 18 | 58 | 0.7 | FALSE | TRUE | 18.22 | |
| 8 | 52 | 3 | Sigmoid | 2 | RMSprop | 0.0846 | 3 | 97 | 0.8 | TRUE | FALSE | 17.37 | |
| 9 | 55 | 2 | ReLU | 1 | RMSprop | 0.0029 | 10 | 172 | 0.8 | TRUE | TRUE | 20.55 | |
| 10 | 53 | 2 | Sigmoid | 1 | ADAM | 0.0001 | 27 | 142 | 0.6 | FALSE | TRUE | 20.55 | |
| 11 | 51 | 1 | Sigmoid | 1 | ADAM | 0.0019 | 4 | 135 | 0.7 | TRUE | TRUE | 18.52 | |
| EI-PSO | 1 | 64 | 3 | ReLU | 2 | ADAM | 0.001 | 32 | 200 | 0.2 | FALSE | FALSE | 20.55 |
| 2 | 24 | 2 | Sigmoid | 2 | ADAM | 0.0068 | 4 | 53 | 0.2 | FALSE | TRUE | 18.26 | |
| 3 | 31 | 3 | Sigmoid | 2 | Adadelta | 0.0532 | 5 | 72 | 0.6 | FALSE | TRUE | 20.55 | |
| 4 | 21 | 1 | Sigmoid | 1 | ADAM | 0.0453 | 11 | 53 | 0.3 | FALSE | TRUE | 19.96 | |
| 5 | 24 | 1 | ReLU | 2 | ADAM | 0.0001 | 7 | 65 | 0.9 | FALSE | FALSE | 92.67 | |
| 6 | 26 | 3 | ReLU | 1 | Adadelta | 0.0019 | 9 | 192 | 0.2 | FALSE | TRUE | 95.64 | |
| 7 | 31 | 1 | ReLU | 2 | Adadelta | 0.0003 | 14 | 67 | 0.6 | FALSE | TRUE | 20.55 | |
| 8 | 21 | 1 | Sigmoid | 1 | SGD | 0.0004 | 4 | 147 | 0.3 | TRUE | FALSE | 20.55 | |
| 9 | 30 | 1 | Sigmoid | 1 | RMSprop | 0.0002 | 5 | 45 | 0.8 | FALSE | FALSE | 20.55 | |
| 10 | 18 | 3 | ReLU | 1 | ADAM | 0.0006 | 4 | 82 | 0.7 | FALSE | FALSE | 20.55 | |
| 11 | 28 | 3 | ReLU | 2 | RMSprop | 0.06234 | 12 | 174 | 0.2 | FALSE | TRUE | 19.96 | |
| EI-ABC | 1 | 64 | 3 | ReLU | 2 | ADAM | 0.001 | 32 | 200 | 0.2 | FALSE | FALSE | 97.63 |
| 2 | 21 | 2 | Sigmoid | 2 | ADAM | 0.0005 | 1 | 114 | 0.8 | TRUE | TRUE | 20.55 | |
| 3 | 25 | 2 | ReLU | 2 | RMSprop | 0.0001 | 7 | 14 | 0.7 | TRUE | TRUE | 94.19 | |
| 4 | 19 | 2 | Sigmoid | 2 | RMSprop | 0.0016 | 14 | 112 | 0.4 | FALSE | TRUE | 20.55 | |
| 5 | 17 | 3 | Sigmoid | 1 | ADAM | 0.0005 | 13 | 116 | 0.4 | TRUE | FALSE | 20.55 | |
| 6 | 26 | 1 | Sigmoid | 2 | ADAM | 0.0017 | 10 | 114 | 0.6 | TRUE | FALSE | 20.55 | |
| 7 | 32 | 2 | Sigmoid | 2 | RMSprop | 0.0003 | 8 | 144 | 0.9 | FALSE | TRUE | 20.55 | |
| 8 | 21 | 2 | Sigmoid | 2 | Adadelta | 0.0001 | 2 | 78 | 0.8 | FALSE | FALSE | 20.55 | |
| 9 | 23 | 1 | ReLU | 2 | ADAM | 0.0015 | 15 | 131 | 0.8 | TRUE | FALSE | 94.53 | |
| 10 | 16 | 3 | Sigmoid | 2 | RMSprop | 0.0018 | 14 | 169 | 0.2 | FALSE | TRUE | 20.55 | |
| 11 | 17 | 2 | ReLU | 1 | RMSprop | 0.0001 | 11 | 16 | 0.9 | FALSE | TRUE | 92.12 | |
| EI-HHO | 1 | 64 | 3 | ReLU | 2 | ADAM | 0.001 | 32 | 200 | 0.2 | FALSE | FALSE | 20.55 |
| 2 | 28 | 1 | ReLU | 1 | ADAM | 0.0056 | 4 | 174 | 0.6 | FALSE | TRUE | 20.55 | |
| 3 | 25 | 3 | ReLU | 1 | SGD | 0.0047 | 2 | 27 | 0.8 | FALSE | TRUE | 92.88 | |
| 4 | 19 | 2 | ReLU | 2 | RMSprop | 0.0053 | 4 | 76 | 0.23 | TRUE | TRUE | 20.55 | |
| 5 | 18 | 2 | ReLU | 1 | ADAM | 0.0312 | 12 | 94 | 0.7 | TRUE | TRUE | 20.00 | |
| 6 | 20 | 1 | ReLU | 2 | ADAM | 0.0042 | 6 | 115 | 0.5 | FALSE | FALSE | 20.55 | |
| 7 | 23 | 2 | Sigmoid | 2 | Adadelta | 0.0167 | 8 | 191 | 0.5 | FALSE | FALSE | 20.55 | |
| 8 | 18 | 2 | Sigmoid | 2 | Adadelta | 0.0007 | 14 | 52 | 0.7 | TRUE | TRUE | 20.55 | |
| 9 | 29 | 3 | Sigmoid | 2 | RMSprop | 0.0015 | 8 | 132 | 0.1 | TRUE | TRUE | 20.55 | |
| 10 | 22 | 1 | Sigmoid | 1 | ADAM | 0.0361 | 12 | 186 | 0.4 | TRUE | FALSE | 19.41 | |
| 11 | 26 | 2 | Sigmoid | 2 | Adadelta | 0.0333 | 10 | 140 | 0.1 | TRUE | TRUE | 20.55 | |
| EI-SFO | 1 | 64 | 3 | ReLU | 2 | ADAM | 0.001 | 32 | 200 | 0.2 | FALSE | FALSE | 20.55 |
| 2 | 20 | 1 | ReLU | 1 | RMSprop | 0.0343 | 10 | 124 | 0.7 | TRUE | FALSE | 20.00 | |
| 3 | 22 | 1 | ReLU | 1 | RMSprop | 0.0009 | 16 | 137 | 0.8 | FALSE | FALSE | 94.87 | |
| 4 | 20 | 2 | Sigmoid | 2 | RMSprop | 0.0768 | 13 | 134 | 0.8 | TRUE | FALSE | 18.77 | |
| 5 | 21 | 2 | Sigmoid | 2 | SGD | 0.0196 | 14 | 35 | 0.7 | FALSE | FALSE | 20.55 | |
| 6 | 27 | 3 | Sigmoid | 2 | RMSprop | 0.0080 | 7 | 191 | 0.7 | FALSE | FALSE | 17.58 | |
| 7 | 29 | 1 | ReLU | 2 | RMSprop | 0.0169 | 11 | 107 | 0.4 | FALSE | TRUE | 20.00 | |
| 8 | 19 | 2 | ReLU | 2 | RMSprop | 0.0677 | 12 | 173 | 0.2 | FALSE | FALSE | 19.37 | |
| 9 | 31 | 1 | ReLU | 2 | ADAM | 0.0005 | 5 | 111 | 0.5 | FALSE | TRUE | 95.55 | |
| 10 | 29 | 1 | ReLU | 1 | ADAM | 0.0004 | 5 | 55 | 0.5 | TRUE | TRUE | 95.89 | |
| 11 | 20 | 2 | ReLU | 2 | ADAM | 0.0003 | 7 | 107 | 0.6 | TRUE | TRUE | 98.35 | |
| PI | 1 | 64 | 3 | ReLU | 2 | ADAM | 0.001 | 32 | 200 | 0.2 | FALSE | FALSE | 20.55 |
| 2 | 51 | 3 | Sigmoid | 1 | RMSprop | 0.0007 | 14 | 83 | 0.7 | TRUE | TRUE | 20.55 | |
| 3 | 48 | 3 | Sigmoid | 1 | RMSprop | 0.0678 | 16 | 108 | 0.3 | TRUE | TRUE | 18.98 | |
| 4 | 35 | 1 | ReLU | 2 | Adadelta | 0.0001 | 8 | 147 | 0.5 | TRUE | TRUE | 20.55 | |
| 5 | 44 | 2 | ReLU | 1 | RMSprop | 0.0002 | 21 | 199 | 0.8 | FALSE | FALSE | 97.67 | |
| 6 | 50 | 2 | ReLU | 2 | SGD | 0.001 | 13 | 70 | 0.1 | TRUE | TRUE | 76.99 | |
| 7 | 54 | 3 | ReLU | 1 | ADAM | 0.001 | 4 | 41 | 0.2 | TRUE | TRUE | 97.12 | |
| 8 | 47 | 1 | ReLU | 2 | SGD | 0.0013 | 13 | 65 | 0.7 | FALSE | TRUE | 71.31 | |
| 9 | 58 | 1 | ReLU | 2 | ADAM | 0.0027 | 5 | 145 | 0.3 | FALSE | FALSE | 20.55 | |
| 10 | 40 | 2 | Sigmoid | 1 | ADAM | 0.0017 | 20 | 25 | 0.8 | TRUE | TRUE | 19.96 | |
| 11 | 40 | 1 | ReLU | 1 | RMSprop | 0.0372 | 29 | 23 | 0.9 | FALSE | TRUE | 19.41 | |
| UCB | 1 | 64 | 3 | ReLU | 2 | ADAM | 0.001 | 32 | 200 | 0.2 | FALSE | FALSE | 20.55 |
| 2 | 46 | 1 | Sigmoid | 1 | RMSprop | 0.0255 | 14 | 195 | 0.7 | TRUE | TRUE | 16.95 | |
| 3 | 54 | 2 | ReLU | 1 | ADAM | 0.0028 | 5 | 112 | 0.5 | TRUE | FALSE | 20.55 | |
| 4 | 40 | 1 | ReLU | 2 | RMSprop | 0.0004 | 5 | 37 | 0.3 | FALSE | TRUE | 93.64 | |
| 5 | 57 | 1 | Sigmoid | 1 | ADAM | 0.0036 | 26 | 171 | 0.7 | TRUE | TRUE | 20.55 | |
| 6 | 55 | 1 | Sigmoid | 2 | ADAM | 0.0006 | 16 | 160 | 0.1 | TRUE | TRUE | 20.55 | |
| 7 | 63 | 3 | ReLU | 2 | ADAM | 0.0022 | 5 | 129 | 0.8 | TRUE | TRUE | 20.55 | |
| 8 | 55 | 1 | Sigmoid | 2 | ADAM | 0.0002 | 18 | 180 | 0.4 | FALSE | TRUE | 20.55 | |
| 9 | 42 | 3 | Sigmoid | 2 | ADAM | 0.0249 | 3 | 92 | 0.4 | TRUE | FALSE | 15.47 | |
| 10 | 50 | 3 | ReLU | 1 | ADAM | 0.0022 | 14 | 112 | 0.8 | TRUE | FALSE | 20.55 | |
| 11 | 40 | 1 | ReLU | 2 | RMSprop | 0.0004 | 5 | 37 | 0.3 | FALSE | TRUE | 93.60 | |
| LCB | 1 | 64 | 3 | ReLU | 2 | ADAM | 0.001 | 32 | 200 | 0.2 | FALSE | FALSE | 20.55 |
| 2 | 48 | 2 | ReLU | 2 | SGD | 0.0116 | 4 | 63 | 0.6 | FALSE | TRUE | 98.00 | |
| 3 | 39 | 2 | Sigmoid | 2 | ADAM | 0.0016 | 19 | 151 | 0.6 | TRUE | TRUE | 19.36 | |
| 4 | 53 | 2 | Sigmoid | 1 | ADAM | 0.0312 | 19 | 172 | 0.9 | FALSE | TRUE | 18.18 | |
| 5 | 64 | 2 | ReLU | 2 | SGD | 0.0002 | 10 | 16 | 0.2 | TRUE | TRUE | 20.55 | |
| 6 | 59 | 1 | Sigmoid | 2 | RMSprop | 0.0002 | 11 | 130 | 0.8 | TRUE | TRUE | 20.55 | |
| 7 | 34 | 2 | Sigmoid | 2 | Adadelta | 0.0247 | 13 | 120 | 0.7 | TRUE | FALSE | 20.55 | |
| 8 | 33 | 2 | Sigmoid | 2 | RMSprop | 0.0003 | 6 | 56 | 0.6 | TRUE | FALSE | 20.55 | |
| 9 | 38 | 2 | Sigmoid | 2 | ADAM | 0.0042 | 16 | 95 | 0.2 | FALSE | FALSE | 19.96 | |
| 10 | 34 | 3 | ReLU | 2 | RMSprop | 0.0056 | 16 | 161 | 0.2 | TRUE | FALSE | 20.55 | |
| 11 | 52 | 1 | ReLU | 1 | SGD | 0.0004 | 27 | 110 | 0.6 | TRUE | TRUE | 32.46 | |
| Acquisition Function | Transfer Learning Model | Mean Accuracy (%) | Max Accuracy (%) | Min Accuracy (%) |
|---|---|---|---|---|
| CMA-ES [12] | VGG-16 | 20.10 | 20.55 | 15.67 |
| VGG-19 | 39.87 | 97.03 | 17.58 | |
| EI | VGG-16 | 34.03 | 97.92 | 18.81 |
| VGG-19 | 19.86 | 20.55 | 17.37 | |
| EI-PSO | VGG-16 | 38.35 | 97.80 | 17.16 |
| VGG-19 | 33.62 | 95.64 | 17.54 | |
| EI-ABC | VGG-16 | 36.76 | 97.84 | 14.41 |
| VGG-19 | 47.48 | 97.63 | 20.55 | |
| EI-HHO | VGG-16 | 41.46 | 98.26 | 19.36 |
| VGG-19 | 26.97 | 92.88 | 19.41 | |
| EI-SFO | VGG-16 | 43.63 | 98.60 | 16.65 |
| VGG-19 | 47.40 | 98.34 | 15.51 | |
| PI | VGG-16 | 33.54 | 96.23 | 15.68 |
| VGG-19 | 43.97 | 97.66 | 18.98 | |
| UCB | VGG-16 | 30.59 | 97.88 | 16.18 |
| VGG-19 | 26.40 | 93.64 | 15.47 | |
| LCB | VGG-16 | 47.17 | 98.26 | 16.91 |
| VGG-19 | 28.37 | 98.81 | 18.18 |
Disclaimer/Publisher’s Note: The statements, opinions and data contained in all publications are solely those of the individual author(s) and contributor(s) and not of MDPI and/or the editor(s). MDPI and/or the editor(s) disclaim responsibility for any injury to people or property resulting from any ideas, methods, instructions or products referred to in the content. |
© 2023 by the authors. Licensee MDPI, Basel, Switzerland. This article is an open access article distributed under the terms and conditions of the Creative Commons Attribution (CC BY) license (https://creativecommons.org/licenses/by/4.0/).
Share and Cite
Abu, M.; Zahri, N.A.H.; Amir, A.; Ismail, M.I.; Yaakub, A.; Fukumoto, F.; Suzuki, Y. Analysis of the Effectiveness of Metaheuristic Methods on Bayesian Optimization in the Classification of Visual Field Defects. Diagnostics 2023, 13, 1946. https://doi.org/10.3390/diagnostics13111946
Abu M, Zahri NAH, Amir A, Ismail MI, Yaakub A, Fukumoto F, Suzuki Y. Analysis of the Effectiveness of Metaheuristic Methods on Bayesian Optimization in the Classification of Visual Field Defects. Diagnostics. 2023; 13(11):1946. https://doi.org/10.3390/diagnostics13111946
Chicago/Turabian StyleAbu, Masyitah, Nik Adilah Hanin Zahri, Amiza Amir, Muhammad Izham Ismail, Azhany Yaakub, Fumiyo Fukumoto, and Yoshimi Suzuki. 2023. "Analysis of the Effectiveness of Metaheuristic Methods on Bayesian Optimization in the Classification of Visual Field Defects" Diagnostics 13, no. 11: 1946. https://doi.org/10.3390/diagnostics13111946
APA StyleAbu, M., Zahri, N. A. H., Amir, A., Ismail, M. I., Yaakub, A., Fukumoto, F., & Suzuki, Y. (2023). Analysis of the Effectiveness of Metaheuristic Methods on Bayesian Optimization in the Classification of Visual Field Defects. Diagnostics, 13(11), 1946. https://doi.org/10.3390/diagnostics13111946

