Systolic Blood Pressure and Pulse Pressure Are Predictors of Future Cardiovascular Events in Patients with True Resistant Hypertension
Abstract
1. Introduction
2. Materials and Methods
2.1. Study Design and Patients
2.2. Clinical Data
2.3. Events
2.4. ABPM
2.5. Statistical Analysis
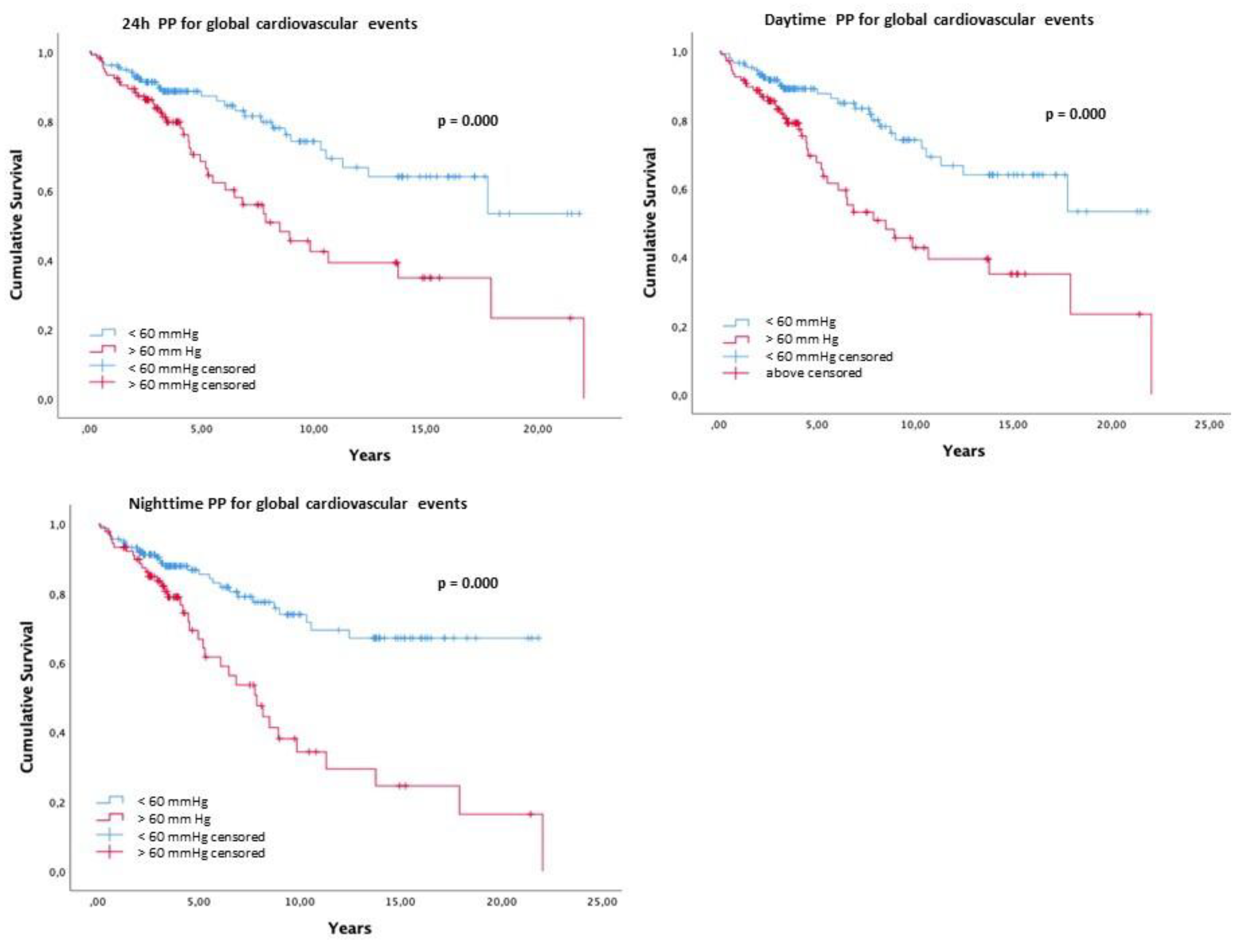
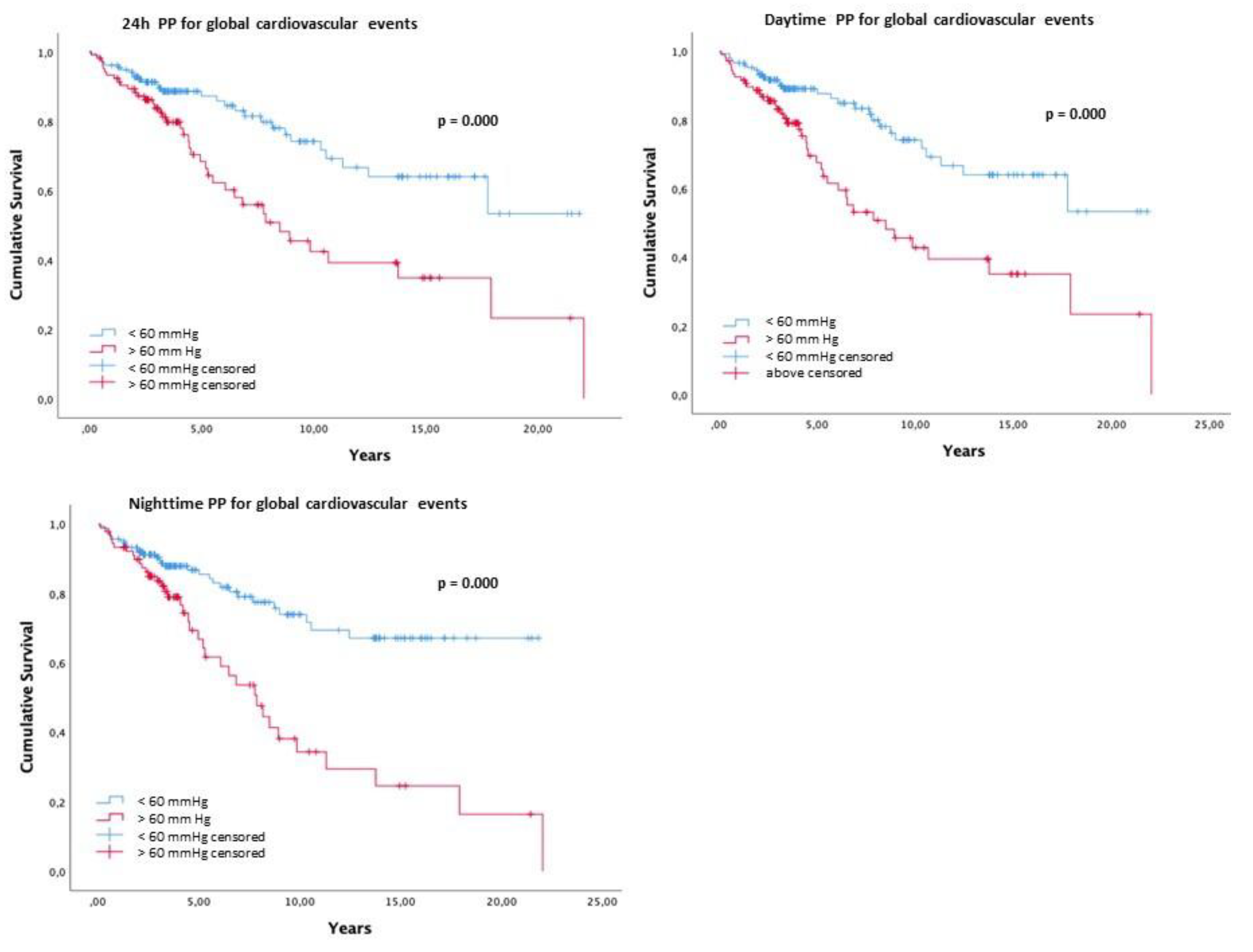
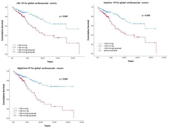
3. Results
4. Discussion
5. Study Limitations
6. Conclusions
Author Contributions
Funding
Institutional Review Board Statement
Informed Consent Statement
Data Availability Statement
Conflicts of Interest
References
- Lazaridis, A.A.; Sarafidis, P.A.; Ruilope, L.M. Ambulatory Blood Pressure Monitoring in the Diagnosis, Prognosis, and Management of Resistant Hypertension: Still a Matter of Our Resistance? Curr. Hypertens. Rep. 2015, 17, 78. [Google Scholar] [CrossRef] [PubMed]
- Smith, S.M.; Gong, Y.; Handberg, E.; Messerli, F.H.; Bakris, G.L.; Ahmed, A.; Bavry, A.A.; Pepine, C.J.; Cooper-Dehoff, R.M. Predictors and Outcomes of Resistant Hypertension among Patients with Coronary Artery Disease and Hypertension. J. Hypertens. 2014, 32, 635. [Google Scholar] [CrossRef] [PubMed]
- Kaczmarski, K.R.; Sozio, S.M.; Chen, J.; Sang, Y.; Shafi, T. Resistant Hypertension and Cardiovascular Disease Mortality in the US: Results from the National Health and Nutrition Examination Survey (NHANES). BMC Nephrol. 2019, 20, 138. [Google Scholar] [CrossRef]
- Egan, B.M.; Li, J.; Hutchison, F.N.; Ferdinand, K.C. Hypertension in the United States, 1999 to 2012: Progress toward Healthy People 2020 Goals. Circulation 2014, 130, 1692–1699. [Google Scholar] [CrossRef] [PubMed]
- Noubiap, J.J.; Nansseu, J.R.; Nyaga, U.F.; Sime, P.S.; Francis, I.; Bigna, J.J. Global Prevalence of Resistant Hypertension: A Meta-Analysis of Data from 3.2 Million Patients. Heart 2019, 105, 98–105. [Google Scholar] [CrossRef]
- Daugherty, S.L.; Powers, J.D.; Magid, D.J.; Tavel, H.M.; Masoudi, F.A.; Margolis, K.L.; O’Connor, P.J.; Selby, J.V.; Ho, P.M. Incidence and Prognosis of Resistant Hypertension in Hypertensive Patients. Circulation 2012, 125, 1635–1642. [Google Scholar] [CrossRef]
- Oliveras, A.; De La Sierra, A. Resistant Hypertension: Patient Characteristics, Risk Factors, Co-Morbidities and Outcomes. J. Hum. Hypertens. 2014, 28, 213–217. [Google Scholar] [CrossRef]
- Acharya, T.; Tringali, S.; Singh, M.; Huang, J. Resistant Hypertension and Associated Comorbidities in a Veterans Affairs Population. J. Clin. Hypertens. 2014, 16, 741–745. [Google Scholar] [CrossRef]
- Holecki, M.; Duława, J.; Chudek, J. Resistant Hypertension in Visceral Obesity. Eur. J. Intern. Med. 2012, 23, 643–648. [Google Scholar] [CrossRef]
- Bakhtar, O.; Ference, B.A.; Levy, P.D.; Nasser, S.A.; Hedquist, L.; Flack, J.M. The Relationship of Resistant Hypertension and Treatment Outcomes with Total Compliance and Brain Natriuretic Peptide in an African American Hypertensive Cohort. J. Clin. Hypertens. 2011, 13, 618–622. [Google Scholar]
- Shalaeva, E.V.; Messerli, F.H. What Is Resistant Arterial Hypertension? Blood Press. 2023, 32, 2185457. [Google Scholar] [CrossRef] [PubMed]
- Calhoun, D.A.; Booth, J.N.; Oparil, S.; Irvin, M.R.; Shimbo, D.; Lackland, D.T.; Howard, G.; Safford, M.M.; Muntner, P. Refractory Hypertension: Determination of Prevalence, Risk Factors, and Comorbidities in a Large, Population-Based Cohort. Hypertension 2014, 63, 451–458. [Google Scholar] [CrossRef] [PubMed]
- Blonsky, R.; Pohl, M.; Nally, J.V.; Thomas, G. 2017 ACC/AHA Hypertension Guidelines: Toward Tighter Control. Cleve Clin. J. Med. 2018, 85, 771–778. [Google Scholar] [CrossRef] [PubMed]
- Williams, B.; Mancia, G.; Spiering, W.; Agabiti Rosei, E.; Azizi, M.; Burnier, M.; Clement, D.L.; Coca, A.; de Simone, G.; Dominiczak, A.; et al. 2018 ESC/ESH Guidelines for the Management of Arterial Hypertension. Eur. Heart J. 2018, 39, 3021–3104. [Google Scholar] [CrossRef]
- Parati, G.; Stergiou, G.; O’Brien, E.; Asmar, R.; Beilin, L.; Bilo, G.; Clement, D.; de la Sierra, A.; de Leeuw, P.; Dolan, E.; et al. European Society of Hypertension Practice Guidelines for Ambulatory Blood Pressure Monitoring. J. Hypertens. 2014, 32, 1359–1366. [Google Scholar] [CrossRef]
- de la Sierra, A.; Segura, J.; Banegas, J.R.; Gorostidi, M.; de la Cruz, J.J.; Armario, P.; Oliveras, A.; Ruilope, L.M. Clinical Features of 8295 Patients with Resistant Hypertension Classified on the Basis of Ambulatory Blood Pressure Monitoring. Hypertension 2011, 57, 898–902. [Google Scholar] [CrossRef]
- Redon, J.; Campos, C.; Narciso, M.L.; Rodicio, J.L.; Pascual, J.M.; Ruilope, L.M. Prognostic Value of Ambulatory Blood Pressure Monitoring in Refractory Hypertension. Hypertension 1998, 31, 712–718. [Google Scholar] [CrossRef]
- Brown, M.A.; Buddle, M.L.; Martin, A. Is Resistant Hypertension Really Resistant? Am. J. Hypertens. 2001, 14, 1263–1269. [Google Scholar] [CrossRef]
- Muxfeldt, E.S.; Bloch, K.V.; Da Rocha Nogueira, A.; Salles, G.F. True Resistant Hypertension: Is It Possible to Be Recognized in the Office? Am. J. Hypertens. 2005, 18, 1534–1540. [Google Scholar] [CrossRef]
- Muxfeldt, E.S.; Bloch, K.V.; Nogueira, A.R.; Salles, G.F. Twenty-Four Hour Ambulatory Blood Pressure Monitoring Pattern of Resistant Hypertension. Blood Press. Monit. 2003, 8, 181–185. [Google Scholar] [CrossRef]
- Veglio, F.; Rabbia, F.; Riva, P.; Martini, G.; Cat Genova, G.; Milan, A.; Paglieri, C.; Carra, R.; Chiandussi, L. Ambulatory Blood Pressure Monitoring and Clinical Characteristics of the True and White-Coat Resistant Hypertension. Clin. Exp. Hypertens. 2001, 23, 203–211. [Google Scholar] [CrossRef] [PubMed]
- Hernández-DelRey, R.; Armario, P.; Martin-Baranera, M.; Sánchez, P.; Cárdenas, G.; Pardell, H. Target-Organ Damage and Cardiovascular Risk Profile in Resistant Hypertension. Influence of the White-Coat Effect. Blood Press. Monit. 1998, 3, 331–337. [Google Scholar]
- Mezzetti, A.; Pierdomenico, S.D.; Costantini, F.; Romano, F.; Bucci, A.; Di Gioacchino, M.; Cuccurullo, F. White-Coat Resistant Hypertension. Am. J. Hypertens. 1997, 10, 1302–1307. [Google Scholar] [CrossRef] [PubMed]
- Magnanini, M.M.F.; Nogueira, A.D.R.; Carvalho, M.S.; Bloch, K. V Ambulatory Blood Pressure Monitoring and Cardiovascular Risk in Resistant Hypertensive Women. Arq. Bras. Cardiol. 2009, 92, 484–489. [Google Scholar] [CrossRef] [PubMed][Green Version]
- Pierdomenico, S.D.; Lapenna, D.; Bucci, A.; Di Tommaso, R.; Di Mascio, R.; Manente, B.M.; Caldarella, M.P.; Neri, M.; Cuccurullo, F.; Mezzetti, A. Cardiovascular Outcome in Treated Hypertensive Patients with Responder, Masked, False Resistant, and True Resistant Hypertension. Am. J. Hypertens. 2005, 18, 1422–1428. [Google Scholar] [CrossRef] [PubMed]
- de la Sierra, A.; Banegas, J.R.; Segura, J.; Gorostidi, M.; Ruilope, L.M. Ambulatory Blood Pressure Monitoring and Development of Cardiovascular Events in High-Risk Patients Included in the Spanish ABPM Registry: The CARDIORISC Event Study. J. Hypertens. 2012, 30, 713–719. [Google Scholar] [CrossRef]
- Cardoso, C.R.L.; Salles, G.F. Prognostic Importance of Ambulatory Blood Pressure Monitoring in Resistant Hypertension: Is It All That Matters? Curr. Hypertens. Rep. 2016, 18, 85. [Google Scholar] [CrossRef]
- Verdecchia, P.; Schillaci, G.; Borgioni, C.; Ciucci, A.; Pede, S.; Porcellati, C. Ambulatory Pulse Pressure: A Potent Predictor of Total Cardiovascular Risk in Hypertension. Hypertension 1998, 32, 983–988. [Google Scholar] [CrossRef]
- Kollias, A.; Stergiou, G.S.; Dolan, E.; O’Brien, E. Ambulatory Arterial Stiffness Index: A Systematic Review and Meta-Analysis. Atherosclerosis 2012, 224, 291–301. [Google Scholar] [CrossRef]
- Safar, M.E. Epidemiological Aspects of Pulse Pressure and Arterial Stiffness. J. Hypertens. Suppl. 1999, 17, S37–S40. [Google Scholar]
- Cheung, A.K.; Chang, T.I.; Cushman, W.C.; Furth, S.L.; Hou, F.F.; Ix, J.H.; Knoll, G.A.; Muntner, P.; Pecoits-Filho, R.; Sarnak, M.J.; et al. Executive Summary of the KDIGO 2021 Clinical Practice Guideline for the Management of Blood Pressure in Chronic Kidney Disease. Kidney Int. 2021, 99, 559–569. [Google Scholar] [CrossRef] [PubMed]
- Williams, B.; Mancia, G.; Spiering, W.; Rosei, E.A.; Azizi, M.; Burnier, M.; Clement, D.L.; Coca, A.; de Simone, G.; Dominiczak, A.; et al. Linee guida ESC/ESH 2018 per la diagnosi e il trattamento dell’ipertensione arteriosa. Task Force per la Diagnosi e il Trattamento dell’Ipertensione Arteriosa della Società Europea di Cardiologia (ESC) e della Società Europea dell’Ipertensione Arteriosa (ESH) [2018 ESC/ESH Guidelines for the management of arterial hypertension. The Task Force for the management of arterial hypertension of the European Society of Cardiology (ESC) and the European Society of Hypertension (ESH)]. G. Ital. Cardiol. 2018, 19 (Suppl. S1), 3S–73S. (In Italian) [Google Scholar] [CrossRef]
- Stergiou, G.S.; Palatini, P.; Asmar, R.; Bilo, G.; De La Sierra, A.; Head, G.; Kario, K.; Mihailidou, A.; Wang, J.; Mancia, G.; et al. Blood Pressure Monitoring: Theory and Practice. European Society of Hypertension Working Group on Blood Pressure Monitoring and Cardiovascular Variability Teaching Course Proceedings. Blood Press. Monit. 2018, 23, 1–8. [Google Scholar] [CrossRef] [PubMed]
- Cardoso, C.R.L.; Leite, N.C.; Bacan, G.; Ataíde, D.S.; Gorgonio, L.K.C.; Salles, G.F. Prognostic Importance of Resistant Hypertension in Patients with Type 2 Diabetes: The Rio de Janeiro Type 2 Diabetes Cohort Study. Diabetes Care 2020, 43, 219–227. [Google Scholar] [CrossRef]
- Sim, J.J.; Bhandari, S.K.; Shi, J.; Reynolds, K.; Calhoun, D.A.; Kalantar-Zadeh, K.; Jacobsen, S.J. Comparative Risk of Renal, Cardiovascular, and Mortality Outcomes in Controlled, Uncontrolled Resistant, and Nonresistant Hypertension. Kidney Int. 2015, 88, 622–632. [Google Scholar] [CrossRef]
- Cardoso, C.R.L.; Salles, G.F. Refractory Hypertension and Risks of Adverse Cardiovascular Events and Mortality in Patients with Resistant Hypertension: A Prospective Cohort Study. J. Am. Heart Assoc. 2020, 9, e017634. [Google Scholar] [CrossRef]
- Smith, S.M. Resistant Hypertension and Susceptible Outcomes: Exploring the Benefits of Aggressive Blood Pressure Control. J. Clin. Hypertens. 2016, 18, 40. [Google Scholar] [CrossRef]
- OECD/European Observatory on Health Systems and Policies (2021); Series: State of Health in the EU; 2021. Available online: https://health.ec.europa.eu/system/files/2021-12/2021_chp_pt_english.pdf (accessed on 14 May 2023).
- O’Rourke, M.F. Isolated Systolic Hypertension, Pulse Pressure, and Arterial Stiffness as Risk Factors for Cardiovascular Disease. Curr. Hypertens. Rep. 1999, 1, 204–211. [Google Scholar] [CrossRef]
- Gavish, B.; Bursztyn, M. Ambulatory Pulse Pressure Components: Concept, Determination and Clinical Relevance. J. Hypertens. 2019, 37, 765–774. [Google Scholar] [CrossRef]
- Salles, G.F.; Cardoso, C.R.L.; Muxfeldt, E.S. Prognostic Influence of Office and Ambulatory Blood Pressures in Resistant Hypertension. Arch. Intern. Med. 2008, 168, 2340–2346. [Google Scholar] [CrossRef]
- Ríos, M.T.; Domínguez-Sardiña, M.; Ayala, D.E.; Gomara, S.; Sineiro, E.; Pousa, L.; Callejas, P.A.; Fontao, M.J.; Fernández, J.R.; Hermida, R.C. Prevalence and Clinical Characteristics of Isolated-Office and True Resistant Hypertension Determined by Ambulatory Blood Pressure Monitoring. Chronobiol. Int. 2013, 30, 207–220. [Google Scholar] [CrossRef]
- Muxfeldt, E.S.; Fiszman, R.; Castelpoggi, C.H.; Salles, G.F. Ambulatory Arterial Stiffness Index or Pulse Pressure: Which Correlates Better with Arterial Stiffness in Resistant Hypertension? Hypertens. Res. 2008, 31, 607–613. [Google Scholar] [CrossRef] [PubMed]
- Muxfeldt, E.S.; Cardoso, C.R.L.; Salles, G.F. Prognostic Value of Nocturnal Blood Pressure Reduction in Resistant Hypertension. Arch. Intern. Med. 2009, 169, 874–880. [Google Scholar] [CrossRef] [PubMed]
- Muxfeldt, E.S.; Salles, G.F. Pulse Pressure or Dipping Pattern: Which One Is a Better Cardiovascular Risk Marker in Resistant Hypertension? J. Hypertens. 2008, 26, 878–884. [Google Scholar] [CrossRef]
- De Nicola, L.; Gabbai, F.B.; Agarwal, R.; Chiodini, P.; Borrelli, S.; Bellizzi, V.; Nappi, F.; Conte, G.; Minutolo, R. Prevalence and Prognostic Role of Resistant Hypertension in Chronic Kidney Disease Patients. J. Am. Coll. Cardiol. 2013, 61, 2461–2467. [Google Scholar] [CrossRef]
- Irvin, M.R.; Booth, J.N.; Sims, M.; Bress, A.P.; Abdalla, M.; Shimbo, D.; Calhoun, D.A.; Muntner, P. The Association of Nocturnal Hypertension and Nondipping Blood Pressure with Treatment-Resistant Hypertension: The Jackson Heart Study. J. Clin. Hypertens. 2018, 20, 438–446. [Google Scholar] [CrossRef]
- Cardoso, C.R.L.; Salles, G.F. Associations of the Nocturnal Blood Pressure Fall and Morning Surge with Cardiovascular Events and Mortality in Individuals with Resistant Hypertension. J. Hypertens. 2021, 39, 1177–1187. [Google Scholar] [CrossRef]
- Li, Y.; Dolan, E.; Wang, J.-G.; Thijs, L.; Zhu, D.-L.; Staessen, J.A.; O’Brien, E.; Stanton, A. Ambulatory Arterial Stiffness Index: Determinants and Outcome. Blood Press. Monit. 2006, 11, 107–110. [Google Scholar] [CrossRef] [PubMed]
- Safar, M.E.; Smulyan, H. Coronary Ischemic Disease, Arterial Stiffness, and Pulse Pressure. Am. J. Hypertens. 2004, 17, 724–726. [Google Scholar] [CrossRef][Green Version]
- Cardoso, C.R.L.; Salles, G.C.; Salles, G.F. Prognostic Importance of On-Treatment Clinic and Ambulatory Blood Pressures in Resistant Hypertension: A Cohort Study. Hypertension 2020, 75, 1184–1194. [Google Scholar] [CrossRef]
- Lempiäinen, P.A.; Ylitalo, A.; Huikuri, H.; Kesäniemi, Y.A.; Ukkola, O.H. Nighttime Ambulatory Pulse Pressure Predicts Cardiovascular and All-Cause Mortality among Middle-Aged Participants in the 21-Year Follow-Up. J. Clin. Hypertens. 2021, 23, 1547–1555. [Google Scholar] [CrossRef] [PubMed]

| Females (n = 100) | Males (n = 158) | Total (n = 258) | |
|---|---|---|---|
| Age (years) | 60.4 ± 12.2 | 60.2 ± 10.5 | 60.4 ± 11.2 |
| Number of antihypertensive drugs (n) | 4.0 ± 0.8 | 4.1 ± 0.8 | 4.1 ± 0.8 |
| Body Mass Index (kg/m2) | 29.5 ± 4.7 | 29.3 ± 4.3 | 29.4 ± 4.5 |
| Blood glucose (mg/dL) | 133.5 ± 54.6 | 121.3 ± 41.4 | 126.0 ± 47.2 |
| HbA1c (%) | 6.9 ± 1.4 | 6.7 ± 1.1 | 6.8 ± 1.2 |
| LDL cholesterol (mg/dL) | 106.8 ± 39.3 | 100.0 ± 34.2 | 102.5 ± 36.2 |
| Serum Creatinine (mg/dL) | 1.3 ± 0.7 | 1.2 ± 0.4 | 1.3 ± 1.0 |
| Dyslipidemia, n (%) | 69 (69%) | 123 (77.8%) | 192 (74.2%) |
| Obesity, n (%) | 44 (44%) | 73 (46.2%) | 117 (45.2%) |
| DM, n (%) | 36 (36%) | 81 (51.3%) | 117 (45.2%) |
| Previous CV event, n (%) | 26 (26%) | 63 (39.9%) * | 89 (34.4%) |
| CKD, n (%) | 36 (36%) | 45 (28.5%) | 81 (31.3%) |
| 24 h Systolic BP (mmHg) | 135.3 ± 18.4 | 133.9 ± 15.4 | 134.5 ± 16.6 |
| 24 h Diastolic BP (mmHg) | 78.2 ± 12.7 | 76.8 ± 10.1 | 77.3 ± 11.2 |
| 24 h PP (mmHg) | 57.2 ± 14.1 | 57.3 ± 13.5 | 57.3 ± 13.7 |
| Daytime Systolic BP (mmHg) | 140.4 ± 18.7 | 138.4 ± 15.7 | 139.2 ± 16.9 |
| Daytime Diastolic BP (mmHg) | 82.5 ± 13.4 | 80.6 ± 10.9 | 81.3 ± 12.0 |
| Daytime PP (mmHg) | 58.1 ± 14.5 | 58.0 ± 14.1 | 58.1 ± 14.2 |
| Nighttime Systolic BP (mmHg) | 126.7 ± 20.3 | 124.6 ± 16.5 | 125.4 ± 18.1 |
| Nighttime Diastolic BP (mmHg) | 70.7 ± 13.1 | 69.5 ± 10.4 | 69.9 ± 11.5 |
| Nighttime PP (mmHg) | 56.1 ± 14.4 | 55.4 ± 13.0 | 55.6 ± 13.6 |
| Nocturnal Systolic dipping (mmHg) | 10.0 ± 8.4 | 9.6 ± 9.9 | 10.6 ± 15.9 |
| Events | Nonfatal Events | Fatal Events | Total |
|---|---|---|---|
| Cerebrovacular events | 23 | 2 | 25 |
| Coronary events | 17 | 3 | 20 |
| Other CV events | 21 | 1 | 22 |
| Sudden Death | 1 | 1 | |
| Total | 61 | 7 | 68 |
| With Event (n = 68) | Without Event (n = 190) | p Value | |
|---|---|---|---|
| Age (years) | 63.2 ± 10.6 | 59.3 ± 11.2 | <0.05 * |
| Male, n (%) | 47 (67.1) | 111 (59.0) | 0.25 |
| BMI | 30 ± 4.4 | 29 ± 4.5 | 0.149 |
| Blood glucose (mg/dL) | 127.6 ± 43.6 | 125.5 ± 48.4 | 0.78 |
| Previous CV event, n (%) | 37 (52.9) | 52 (27.7) | <0.05 * |
| Obesity, n (%) | 35 (50.0) | 82 (43.6) | 0.40 |
| Tabacco, n (%) | 12 (27.3) | 32 (16.8) | 0.57 |
| DM, n (%) | 38 (54.3) | 79 (42.0) | 0.09 |
| Dyslipidemia, n (%) | 53 (75.7) | 139 (73.9) | 0.87 |
| LDL-cholesterol (mg/dL) | 96.4 ± 43.6 | 104.4 ± 33.4 | 0.18 |
| Serum Creatinine (mg/dL) | 1.5 ± 1.8 | 1.3 ± 0.6 | 0.09 |
| GFR (mL/min/m2) | 63.1 ± 32.9 | 74.7 ± 33.2 | <0.05 * |
| CKD, n (%) | 32 (52.5) | 49 (31.2) | <0.05 * |
| Number of drugs (n) | 4.0 ± 0.88 | 4.1 ± 0.73 | 0.54 |
| Left Atrium size (mm) | 42.3 ± 5.3 | 40.3 ± 4.8 | 0.06 |
| LVM gr/m2 (n) | 246 (30) | 232 (91) | 0.34 |
| Ejection fraction % (n) | 60.0 (32) | 60.9 (97) | 0.71 |
| 24 h SBP (mmHg) | 138.9 ± 16.4 | 132.8 ± 16.4 | <0.05 * |
| 24 h DBP (mmHg) | 77.5 ± 10.9 | 76.8 ± 11.9 | 0.62 |
| 24 h PP (mmHg) | 62.3 ± 14.7 | 55.4 ± 12.9 | <0.05 * |
| 24 h P > 60 mmHg, n (%) | 40 (57.1) | 65 (34.6) | <0.05 * |
| Daytime SBP (mmHg) | 143.3 ± 16.1 | 137.7 ± 17.0 | <0.05 * |
| Daytime DBP (mmHg) | 80.6 ± 12.5 | 81.6 ± 11.8 | 0.56 |
| Daytime PP (mmHg) | 63.0 ± 14.9 | 56.2 ± 13.6 | <0.05 * |
| Daytime PP > 60 mmHg, n (%) | 41 (58.6) | 68 (36.2) | <0.05 * |
| Nighttime SBP (mmHg) | 130.1 ± 17.6 | 123.7 ± 17.9 | <0.05 * |
| Nighttime DBP (mmHg) | 69.5 ± 12.5 | 70.1 ± 11.2 | 0.75 |
| Nighttime PP (mmHg) | 60.8 ± 13.8 | 53.8 ± 13.0 | <0.05 * |
| Nighttime PP > 60 mmHg, n (%) | 37 (54.4) | 54 (29.2) | <0.05 * |
| SBP nocturnal dipping (mmHg) | 8.1 ± 8.9 | 11.6 ± 17.8 | 0.14 |
| Cardiovascular Events | Hazards Ratio (95%CI) |
|---|---|
| Univariate Cox Analysis | |
| SBP 24 h | 1.37 (1.08–1.72) * |
| DBP 24 h | 0.86 (0.66–1.13) |
| Daytime SBP | 1.29 (0.99–1.68) |
| Daytime DBP | 0.86 (0.66–1.12) |
| Nighttime SBP | 1.45 (1.13–1.88) * |
| Nighttime DBP | 0.92 (0.70–1.21) |
| 24 h PP | 1.51 (1.20–1.89) * |
| Daytime PP | 1.44 (1.13–1.82) * |
| Nighttime PP | 1.45 (1.13–1.80) * |
| PP > 60 mmHg | 2.31 (1.42–3.75) * |
| Daytime PP > 60 mmHg | 2.42 (1.49–3.94) * |
| Nighttime PP > 60 mmHg | 2.89 (1.76–4.73) * |
| Multivariate Cox Analysis | |
| SBP 24 h | 1.44 (1.10–1.88) * |
| DBP 24 h | 1.18 (0.85–1.63) |
| Daytime SBP | 1.31 (0.99–1.75) |
| Daytime DBP | 1.18 (0.86–1.61) |
| Nighttime SBP | 1.35 (1.01–1.80) * |
| Nighttime DBP | 1.12 (0.81–1.55) |
| 24 h PP | 1.39 (1.02–1.89) * |
| Daytime PP | 1.22 (0.92–1.63) |
| Nighttime PP | 1.18 (0.90–1.56) |
| PP > 60 mmHg | 1.95 (1.01–3.45) * |
| Daytime PP > 60 mmHg | 2.15 (1.21–3.83) * |
| Nighttime PP > 60 mmHg | 2.07 (1.17–3.67) * |
Disclaimer/Publisher’s Note: The statements, opinions and data contained in all publications are solely those of the individual author(s) and contributor(s) and not of MDPI and/or the editor(s). MDPI and/or the editor(s) disclaim responsibility for any injury to people or property resulting from any ideas, methods, instructions or products referred to in the content. |
© 2023 by the authors. Licensee MDPI, Basel, Switzerland. This article is an open access article distributed under the terms and conditions of the Creative Commons Attribution (CC BY) license (https://creativecommons.org/licenses/by/4.0/).
Share and Cite
Mesquita Bastos, J.; Ferraz, L.; Pereira, F.G.; Lopes, S. Systolic Blood Pressure and Pulse Pressure Are Predictors of Future Cardiovascular Events in Patients with True Resistant Hypertension. Diagnostics 2023, 13, 1817. https://doi.org/10.3390/diagnostics13101817
Mesquita Bastos J, Ferraz L, Pereira FG, Lopes S. Systolic Blood Pressure and Pulse Pressure Are Predictors of Future Cardiovascular Events in Patients with True Resistant Hypertension. Diagnostics. 2023; 13(10):1817. https://doi.org/10.3390/diagnostics13101817
Chicago/Turabian StyleMesquita Bastos, J., Lisa Ferraz, Flávio G. Pereira, and Susana Lopes. 2023. "Systolic Blood Pressure and Pulse Pressure Are Predictors of Future Cardiovascular Events in Patients with True Resistant Hypertension" Diagnostics 13, no. 10: 1817. https://doi.org/10.3390/diagnostics13101817
APA StyleMesquita Bastos, J., Ferraz, L., Pereira, F. G., & Lopes, S. (2023). Systolic Blood Pressure and Pulse Pressure Are Predictors of Future Cardiovascular Events in Patients with True Resistant Hypertension. Diagnostics, 13(10), 1817. https://doi.org/10.3390/diagnostics13101817

