Next Article in Journal
Spectral CT: Current Liver Applications
Next Article in Special Issue
Routine Brain MRI Findings on the Long-Term Effects of COVID-19: A Scoping Review
Previous Article in Journal
Identification and Experimental Validation of LINC00582 Associated with B Cell Immune and Development of Pulpitis: Bioinformatics and In Vitro Analysis
Previous Article in Special Issue
Blood Type Associated with the Risk of COVID-19 Infection in Pregnant Women
 
 
Font Type:
Arial Georgia Verdana
Font Size:
Aa Aa Aa
Line Spacing:
Column Width:
Background:
Article

Effects of SARS-CoV-2 on Pulmonary Function and Muscle Strength Testing in Military Subjects According to the Period of Infection: Cross-Sectional Study

1
Respiratory Medicine, Policlinico Tor Vergata Foundation, 00133 Rome, Italy
2
Respiratory Medicine, Department of Experimental Medicine, Tor Vergata University, 00133 Rome, Italy
3
Physical Medicine and Rehabilitation Unit, Italian Army Medical Hospital, 00184 Rome, Italy
4
Physchiatry Section, Phychophysiological Selection Office, Italian Army National Recruitment and Selection Center, 06034 Foligno, Italy
*
Author to whom correspondence should be addressed.
Diagnostics 2023, 13(10), 1679; https://doi.org/10.3390/diagnostics13101679
Submission received: 29 March 2023 / Revised: 30 April 2023 / Accepted: 6 May 2023 / Published: 9 May 2023
(This article belongs to the Special Issue Diagnosis and Management in COVID-19 Patient)

Abstract

Background: Pulmonary function can be impaired as a long-term consequence of SARS-CoV-2 infection. The aim of this study was to evaluate the effect of SARS-CoV-2 infection on pulmonary function, exercise tolerance, and muscle strength in healthy middle-aged military outpatients according during the period of infection. Methods: A cross-sectional study was carried out from March 2020 to November 2022 at the Military Hospital “Celio” (Rome, Italy). If someone had a diagnosis of SARS-CoV-2 infection certified by molecular nasal swab and if they performed pulmonary function tests, diffusion of carbon monoxide (DL’co), a six Minute Walk Test (6MWT), a Handgrip (HG) Test, and a One Minute Sit to Stand Test (1′STST). The included subjects were divided into two groups, A and B, according to the period of infection: A) from March 2020 to August 2021 and B) from September 2021 to October 2022. Results: One hundred fifty-three subjects were included in the study: 79 in Group A and 74 in Group B. Although the values were within the normal range, Group A had smaller FVC, FEV1, and DL’co compared to Group B. Group A also walked a shorter distance at the 6MWT and performed fewer repetitions in the 1′STS test compared to Group B. In both groups, the DL’co (%predicted) correlated with the 6MWT distance (R2 = 0.107, p < 0.001), the number of repetitions of the 1′STST (R2 = 0.086, p = 0.001), and the strength at the HG test (R2 = 0.08, p < 0.001). Conclusions: This study shows that the SARS-CoV-2 infection in healthy middle-aged military outpatients was more severe in the first waves than in the later ones and that, in healthy and physically fit individuals, even a marginal reduction in resting respiratory test values can have a major impact on exercise tolerance and muscles strength. Moreover, it shows that those infected more recently had symptoms related to the upper respiratory tract infection compared to those of the first waves.

1. Introduction

Coronavirus disease 2019 (COVID-19) is a disease caused by severe acute respiratory syndrome coronavirus 2 (SARS-CoV-2) that can clinically present itself as a broad variety of symptoms from mild illness to a serious disease leading to hospitalization [1].
So far, many countries have experienced several waves of the disease related to different circulating variants named using the Greek alphabet proposed by the World Health Organization (WHO) [2]. The main variants were: the Alpha variant (alias of B.1.1.7), first detected in the United Kingdom by the end of September 2020; the Beta variant (alias of B.1.351), which emerged independently in South Africa in May 2020; the Gamma variant (alias of P.1), first identified in Brazilian travelers in Japan; the Delta variant (alias of B.1.617.2) first detected in India in May 2021; the Omicron (alias of B.1.1.529) variant in late November 2021 in Botswana and South Africa.
In Italy, three different variants have been predominant: the Alpha (December 2020–July 2021), the Delta (June 2021–September 2021), and the Omicron variant (October 2021–January 2023) [3], and although five different waves have been identified, the first three occurred between Dec 2020 and the summer of 2021 corresponding to the variant Alpha, Beta, Gamma and Delta and the latter two between Fall 2021 and the present [3].
Another turning point in the evolution of the epidemic was vaccination. In Italy, three different vaccines (Pfizer BNT162b2, Moderna mRNA-1273, Janssen Ad26.COV2.S) have been approved, and based on data from the Italian Ministry of Health covering more than 90.24% of the over 12 population. Interestingly, neutralizing antibodies induced by all primary vaccine regimens showed little cross-reactivity with Omicron [4], although T-cell responses induced by vaccines have very good (>80%) cross-reactivity to Omicron and prior variants [5].
Nowadays, although the epidemic seems to be in its descendent phase, the consequences of the infection are becoming more dominant, and this syndrome is called “long-COVID” [6]. Symptoms of COVID-19 can appear 2–14 days after exposure to the virus and may range from mild to severe, although some subjects may be asymptomatic. The most common symptoms are fever, cough, and tiredness, but many other symptoms may also be present, such as shortness of breath or difficulty breathing, muscle pain, headache, loss of taste or smell, sore throat, runny nose, nausea or vomiting, diarrhea [6]. Nevertheless, symptoms can differ according to the viral variant, immune state, and vaccination [7]. As COVID-19 is a multi-systemic disease, complications of the infection may involve any system, although the involvement of the respiratory tract is predominant. The acute infection can last 2–3 weeks depending on clinical severity presentation; however, many patients may present symptoms lasting more than 12 weeks [8,9,10,11]. This syndrome is defined differently as Long-COVID Syndrome (‘Long-COVID’ in the United Kingdom or ‘long-haulers’ in the United States), post-acute COVID-19 syndrome (PACS), or post-COVID-19 syndrome (PCS) [6]. In a pooled analysis of the prevalence of post-COVID symptoms, including 27 papers, Aiyegbushi et al. [8] found that the most prevalent reported symptoms were fatigue 47% and dyspnea (shortness of breath) 32%.
Some studies have already shown some pathological abnormal lung function in COVID-19 survivors, characterized by altered lung diffusion capacity of carbon monoxide (DL’co), but not the DL’co/Alveolar Ventilation (VA) and a restrictive ventilatory defect [12,13,14,15,16]. We have already demonstrated that in 75 post-COVID survivors, PFTs were within the normal range, although after six months, a mild restrictive spirometric pattern could be detected just in very severe subjects [16]. Moreover, the only persistent pathological sequelae of SARS-CoV-2 infection were a mild desaturation at 6MWT, unrelated to the severity of the infection [16,17].
Those data are mostly referred to the first waves of infection, and maybe they could not be representative of the evolution of the virus. So far, it is not clear if the new variants (mostly Omicron) have a different effect on pulmonary function tests [18].
The aim of this study was to compare the different effects of SARS-CoV-2 infection on pulmonary function tests and exercise tolerance in healthy subjects according to the period of infection.

2. Materials and Methods

This was a retrospective cross-sectional study performed at the Military Hospital “Celio” (Rome, Italy) and was conducted according to the STROBE guidelines [19,20] (checklist in the Supplementary Materials). Subjects were recruited if they had a diagnosis of SARS-CoV-2 infection certified by molecular nasal swab and if they performed pulmonary function tests (PFTs), 6MWT, Handgrip test (HGT), and 1 min Sit to Stand test (1′STST). All subjects belonged to the four-Armed Forces (Italian Army, Carabinieri, Navy, Air Force) and were eligible for Unconditional Military Service. Subjects were excluded if they were unable to perform functional motor and/or respiratory tests with adequate cooperation, if they were not eligible for Unconditional Military Service, or if there were missing data.
All subjects were evaluated after the SARS-CoV-2 infection by a special team composed of a pulmonologist, a sports doctor, a physiatrist, and a physiotherapist.
Subjects were divided into two groups according to the time of infection: Group A if subjects were infected before September 2021 and Group B if they were infected after September 2021. Although the decision was arbitrary, based on epidemiological data of the occurrence of the various waves, it reflects the probability of Omicron infection of Group B [3] and the vaccination trend of the study population. However, molecular analysis of variants has not been recorded as it is not routinely performed. The investigations were carried out following the rules of the Declaration of Helsinki of 1975, revised in 2013. This study was approved by the ethics board of “Celio” Rome (n. CE/2022u/04/e-31/12/2022).

2.1. Pulmonary Function Testing

Complete PFTs, including forced vital capacity (FVC) and DL’co, determined with the single breath technique (SB), were carried out according to the America Thoracic Society (ATS) guidelines [21] on a Quark PFT (Cosmed, Roma, Italy) using ERS 93 extended reference values [22].

2.2. Six-Minute Walk TEST (6MWT)

The 6MWT was performed in a 25 m, straight indoor hallway according to ATS guidelines [23]. All patients were tested under standardized conditions by trained operators. Heart rate and oxygen saturation were measured continuously at rest (baseline) and during the test until recovery. The Chekme Pro was used to measure oxygen levels during the test (Viatom Technology Co., Shenzhen, Cina). The 6MWT distance was expressed both as an absolute value in meters and as a %predicted value (%pr) using the Enright and Sherill equations [24].

2.3. Handgrip Test (HGT)

The handgrip test was performed according to ‘The American Society of Hand Therapists’ protocol [25]. Grip strength was measured in a seated position, with the shoulder abducted, elbow flexed at 90 degrees, and forearm in a neutral position. We selected the mean value of three maximum grip efforts of both dominant and non-dominant hands, and we evaluated the results according to male grip-strength values and female grip-strength values [26].

2.4. Minute Sit-to-Stand Test (1′STST)

All 1′STSTs were performed according to a standardized protocol by trained staff [27]. We used a standard chair (height 46–48 cm) with a flat seat and no armrests, stabilized against a wall. Patients were asked to sit with their legs hip-width apart and flexed to 90°, with their hands stationary on the hips without using the hands or arms to assist movement. They were instructed to stand completely straight and touch the chair with their bottom when sitting, but they need not sit fully back on the chair. Patients were monitored during the test; in particular, we recorded: heart rate (HR), SpO2, the number of repetitions, and the rating of perceived exertion (RPE) for dyspnea and leg fatigue (using Borg Scale), before and after the test.

2.5. Chest CT Scan

Chest CT scans were performed only when clinically necessary and given a qualitative score as follows: Score 0: normal lung; Score 1: ground glass opacity (GG); Score 2: crazy paving pattern or GG opacity with consolidation; Score 3: diffuse consolidation [28].

2.6. Statistical Analysis

Statistical analysis was carried out employing Microsoft Excel software. Group comparisons were made using Student’s t-test or two-way analysis of variance (ANOVA) as appropriate. For categorical variables, the chi-square test was used. A p-value < 0.05 was considered statistically significant. Univariate correlations were examined using Pearson’s product-moment correlation. Data are presented as average ± standard deviation (SD) if not differently specified.

3. Result

3.1. Subjects

Subjects’ characteristics are shown in Table 1. Of the 170 subjects evaluated, 5 were excluded due to lack of PFR and 12 due to lack of follow-up. One hundred fifty-three subjects were included in the study: 79 were infected before September 2021 (Group A), and 74 were infected after September 2021 (Group B). A total of 16 subjects were not included in the analysis because either the date of infection (12) or the PFT (4) was unavailable.
The mean follow-up was six months (140 ± 88 days), longer in group A (40 days, p = 0.006) mainly because these were the first cases to occur. The main difference between the two groups was the number of hospitalized patients (in Group A, 72% of patients were hospitalized compared to 12.2% of patients in Group B, p < 0.01), the severity of the infection evaluated by the need for oxygen supplementation or high flow nasal oxygen or non-invasive mechanical ventilation (Table 1). Comorbidities are reported in Table 1. In Group A, systemic arterial hypertension was more prevalent than in Group B. On the other hand, metabolic disorders were more common in Group B compared to Group A.
Vaccination status was different between the two groups. In Group A, only three subjects had been vaccinated, while in Group B, 66 subjects had more than one dose of the vaccine, one subject had a single dose of vaccine, and two had a previous SARS-CoV-2 infection. Four subjects in the group were not vaccinated.
A CT scan was performed only in more severe subjects when clinically necessary.
A total of 59 subjects had chest CT scans, 42 in Group A and 17 in Group B. In Group A, 4 subjects had a normal CT scan, 19 showed GG opacity, 9 GG opacity and consolidation, and 10 diffuse consolidations. In Group B, none had a normal CT scan, 19 presented GG opacity, 9 GG opacity and consolidation, and 10 diffuse consolidations.

3.2. Pulmonary Function Tests

PFTs are summarized in Table 2. On average pulmonary function values were within the normal range for all the groups, although in Group A, FVC, and FEV1 were slightly smaller (FEV1 Group A: 99.8%pr ± 13.5 vs. FEV1 Group B 104.3%pr ± 12.6; p = 0.04 and FVC Group A: 100.8%pr ± 14.8 vs. FVC Group B 107.4%pr ± 12.1; p =0.003). Similarly, DL’co was within the normal range but smaller in group A (DL’co Group A: 89.6%pr ± 15.3 vs. DL’co Group B 92.4%pr ± 13.4; p = 0.023). The DL’co/VA was similar between groups (DL’co Group A: 98.9%pr ± 18.1 vs. DL’co Group B: 98.1%pr ± 19.5; p = 0.806).

3.3. Symptoms

Table 3 describes the symptoms of the studied population. Fever (58%), cough (40%), fatigue (30%), and dyspnea (27%) were the symptoms most described by the entire population. Between the two populations, there was a significant difference in the frequency distribution of symptoms (p < 0.004). In Group A, the most common symptoms were fever (48%) and dyspnea (37%), followed by cough (28%) and fatigue (28%), in group B instead the most common symptoms were fever (69%) and cough (53%) followed by fatigue (32%) and headache (24%).

3.4. Exercise Tests

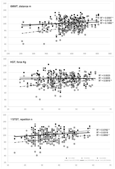
MWT, HG, and 1′MSTS are shown in Table 2 and Figure 1.
Six subjects did not perform the HGT (4 in Group A and 2 in Group B). In the 6MWT, Group A walked a significantly shorter distance with a lower nadir saturation compared to Group B (6MWT distance Group A: 549 m ± 115 vs. Group B 606 m ± 90; p = 0.001).
Thirty-two subjects did not perform the 1′STST (28 in Group A and 4 in Group B). In the 1′STST, Group A performed fewer repetitions with a lower nadir saturation than Group B (1′STS repetition Group A: 32.3 ± 8.5 vs. Group B 35.4 ± 8.9; p = 0.05).
Eleven subjects did not perform the HGT (8 in Group A and 3 in Group B). No differences between groups were observed at the HG test.

3.5. Correlations

Regression analysis is shown in Figure 1. The 6MWT distance correlated with FVC, %pr (R2 = 0.059, p = 0.005) and DL’co, %pr (R2 = 0.107, p < 0.001), while it showed no correlation with FEV1, %pr (R2 = 0.014, p = 0.177). The number of repetitions correlated with FVC, %pr (R2 = 0.078, p. = 0.002) and DL’co, %pr (R2 = 0.086, p = 0.001), while it showed no correlation with FEV1, %pr (R2 = 0.032, p = 0.052). The strength at the HGT correlated only with DL’co, %pr (R2 = 0.08, p < 0.001), while it showed no correlation with FVC, %pr (R2 = 0.002, p = 0.582) and FEV1, %pr (R2 = 0.000, p = 0.799).

4. Discussion

These data from our study confirm that in the majority of subjects, the impairment of respiratory function, even if minimal, has an impact on exercise tolerance, presenting in the last few waves a lower impairment of respiratory function and stress tests. This is the first study that has shown that those infected in recent waves and likely with the omicron variant have less impairment in lung function and exercise tolerance.
As SARS-CoV-2 evolves by acquiring mutations, clinical phenotypes are also changing. Previous studies have shown that in post-COVID-19 survivors, the main pulmonary function abnormalities were a reduction in DL’co with an almost normal DL’co/VA and a reduction in FVC and TLC with an increase in the FEV1/FVC ratio [12,13,14,29,30,31,32,33]. Our group has already demonstrated that about six months after COVID, PFTs were mostly normal, with a slight difference in patients with a more severe clinical presentation of the disease, where the FVC and TLC were statistically significantly reduced, although clinically within the normal range [16,17]. The present study confirms our previous findings even in a highly selected category of subjects such as healthy and fit military personnel.
Pulmonary function tests were within the normal range; nevertheless, in Group A, the FEV1, FVC, and DL’co, but not the DL’co/VA, were slightly reduced compared to Group B (Table 2). So, this study, compared to previous studies, adds another piece of information, which is that impairment of lung function decreases with the mutation of viral infection. Two datapoints seem to support this hypothesis, the lower lung damage of group B (in this group, the pulmonary impairment is negligible) and the lower need for hospitalization.
There are not many studies exploring the effect of the different variants on clinical presentations, and as in our study, the SARS-CoV-2 variant was inferred from the period of infection. For example, a recent study demonstrated that liver injury is more common in patients infected with Delta variants [34], and the studied patients were divided into “pre-Delta period” if they were infected between 1 February and 30 November 2020 or in the Delta period between 1 August and 31 August 2021. Yoon et al. [35] compared the pulmonary involvement at the Chest CT scan in 88 patients with the Omicron variant to 88 patients with the Delta variant and demonstrated that in hospitalized patients with similar disease severity, the Omicron SARS-CoV-2 variant showed nontypical peribronchovascular pneumonia and less pulmonary vascular involvement than the Delta variant. In addition, in this case the variant of the virus was inferred from the period of infection, as CT images were collected in November 2021 (Delta variant) and February 2022 (Omicron variant).
Several studies have demonstrated a reduction in DL’co in COVID patients [36,37]. DL’co may be lower in COVID-19 patients due to a combination of lung inflammation, pulmonary fibrosis, blood clotting, and ventilation-perfusion mismatch [12]. In our study, although within the normal limits, DL’co was reduced than DL’co/VA. Likely, this was related to an impairment of the diffusion linked mainly to the reduction in alveolar volume [12]. Barisione et al. demonstrated that in subjects recovering from COVID-19 pneumonia, lung diffusion of nitric oxide, which is more specific to detect lung diffusion abnormalities, independently from the pulmonary capillary blood volume, was more frequently impaired, confirming that there mainly is alveolar-capillary damage and loss of alveolar units with capillary volume relatively preserved [38].
However, this study shows that even small variations of DL’co in healthy, fit subjects can cause a limitation in exercise tolerance, that in athletes or soldiers can have a major clinical impact. Previously we have already demonstrated that in COVID survivors, there was a desaturation during the 6MWT and that the DL’co correlated with the desaturation distance ratio at the 6MWT, which is an index to assess the involvement of the alveolar-capillary membrane [16]. In the current study, we did not demonstrate any desaturation during the 6MWT, but the DL’co was the best measurement to correlate with 6MWT distance, HGT forces, and 1′STST repetition (Figure 1), all measurements of exercise tolerance and muscle strength.
DL’co is a measure of the lung’s ability to transfer gas from the alveoli into the blood and depends on several factors: alveolar surface area, the thickness of the alveolar-capillary membrane, hemoglobin concentration, ventilation-perfusion mismatch, lung volumes [12,39]. Exercise increases the demand on the lungs to transfer gases across the alveolar-capillary membrane. In this sense, a small decreased DL’co at rest could indicate that the lung is less able to transfer gas efficiently during exercise. In fact, a common finding from the cardiopulmonary exercise test in post-COVID subjects is a ventilatory inefficiency suggesting an abnormal response to carbon dioxide production [40].
This study has also shown that there is a different distribution of the presentation of symptoms depending on the period of infection and, therefore, on the different variants. Fever is still the most common symptom in the whole population, but the group of subjects infected before September 2021 presented a higher frequency of dyspnea and a lower frequency of cough (Table 3). On the other hand, Group B, infected with the most recent variants, showed symptoms of infection more typical of the upper respiratory tract (sore throat or cough) or general symptoms such as headache, fatigue, or joint/muscle pain. This difference may be due to several reasons. First of all, a different tropism of the variants. Hui et al. compared the replication competence and cellular tropism of Alpha, Beta, Delta, and Omicron variants in ex vivo explant cultures of human bronchi and lungs [41] and demonstrated that Omicron replicates faster than all other SARS-CoV-2 variants in the bronchi but less efficiently in the lung parenchyma. This could explain the reduced severity of Omicron and the difference in symptoms in Group B compared to Group A. Moreover, different immunological and vaccination statuses may have affected the response to the virus and clinical presentation.
The main limitation of this study is that the analysis of the SARS-CoV-2 variants has not been carried out, and it is not possible to affirm with confidence that two populations were infected by different variants. Nevertheless, the Italian epidemiological data [3] seems to strongly support the hypothesis that in the first group, the beta and gamma variants were predominant, while in the second group, the omicron variant was predominant. Other limitations of the present study are mainly related to its retrospective nature. There is an age difference between the two groups. This could either refer to a change in the ability of the virus to infect younger people or a bias in our data. Moreover, the follow-up differs between groups, although it was longer in Group A with the worst PFTs, that which could suggest an underestimation of their values and so a bigger difference between groups. Some data are missing, mainly on HGT, as well as the possibility of comparing pulmonary function tests before SARS-CoV-2 infection for an assessment of the real impact of infection on lung function [34]. Moreover, the Chest CT scan was not performed for all subjects, and a qualitative analysis was performed.

5. Conclusions

This study shows that the SARS-CoV-2 infection in healthy middle-aged military outpatients was more severe in the first waves than in the later ones and that, in healthy and physically fit individuals, even a marginal reduction in resting respiratory test values can have a major impact on exercise tolerance and muscles strength. Despite it being difficult to know which is the determining factor, the combination of the vaccination strategy, the change in the virus virulence, or differences in the management, the latest waves of infection have been characterized by more symptoms of the upper respiratory tract and less lung involvement compared to the previous ones.

Supplementary Materials

The following supporting information can be downloaded at: https://www.mdpi.com/article/10.3390/diagnostics13101679/s1, STROBE Statement—Checklist of items that should be included in reports of cross-sectional studies.

Author Contributions

All authors contributed to the substantial conception and design of the work; J.O., P.R., F.F., M.V., L.V., G.P., F.D.C., R.F. and T.S. contributed in running the experiments and writing the paper; G.P. carried out the statistics, J.O., P.R. and T.S. contributed to the interpretation of data for the work; J.O., P.R. and T.S. drafted the work and revised it critically for important intellectual content. All authors have read and agreed to the published version of the manuscript.

Funding

This research received no external funding.

Institutional Review Board Statement

The study was conducted in accordance with the Declaration of Helsinki. This study was approved by the ethics board of “Celio” Rome (n. CE/2022u/04/e-31/12/2022).

Informed Consent Statement

Patient consent was waived due to retrospective design of the study.

Data Availability Statement

The data presented in this study are available on request from the corresponding author.

Conflicts of Interest

The authors declare no conflict of interest for this topic.

Abbreviations

%pr%Predicted Value
1′STSTOne Minute Sit To Stand Test
6MWTSix-Minute Walk Test
ANOVAOne-Way Analysis Of Variance
ATSAmerican Thoracic Society
COVID-19Coronavirus Disease 2019
CTComputer Tomography
DL’co-SBDiffusing Lung Capacity for Carbon Monoxide—Single Breath
FEV1Forced Expiratory Volume in 1 s
FVCForced Vital Capacity
GGGround Glass
HGTHand Grip Test
HRHeart Rate
mMRCmodified Medical Research Council Dyspnea Scale
PFTPulmonary Function Test
RPERating Of Perceived Exertion
SARS-CoV-2Severe Acute Respiratory Syndrome CoronaVirus-2
SDStandard Deviation
SpO2Peripheral Saturation Of Oxygen
TLCTotal Lung Capacity
VAAlveolar Ventilation
WHOWorld Health Organization

References

  1. Wiersinga, W.J.; Rhodes, A.; Cheng, A.C.; Peacock, S.J.; Prescott, H.C. Pathophysiology, Transmission, Diagnosis, and Treatment of Coronavirus Disease 2019 (COVID-19): A Review. JAMA 2020, 324, 782–793. [Google Scholar] [CrossRef]
  2. Tosta, S.; Moreno, K.; Schuab, G.; Fonseca, V.; Segovia, F.M.C.; Kashima, S.; Elias, M.C.; Sampaio, S.C.; Ciccozzi, M.; Alcantara, L.C.J.; et al. Global SARS-CoV-2 Genomic Surveillance: What We Have Learned (so Far). Infect. Genet. Evol. 2023, 108, 105405. [Google Scholar] [CrossRef]
  3. Istituto Superiore Di Sanità—Rapporto Prevalenza. Available online: https://www.Epicentro.Iss.It/Coronavirus/Pdf/Sars-Cov-2-Monitoraggio-Varianti-Rapporti-Periodici-3-Febbraio-2023.Pdf2023 (accessed on 1 May 2023).
  4. Carreño, J.M.; Alshammary, H.; Tcheou, J.; Singh, G.; Raskin, A.J.; Kawabata, H.; Sominsky, L.A.; Clark, J.J.; Adelsberg, D.C.; Bielak, D.A.; et al. Activity of Convalescent and Vaccine Serum against SARS-CoV-2 Omicron. Nature 2022, 602, 682–688. [Google Scholar] [CrossRef]
  5. Liu, J.; Chandrashekar, A.; Sellers, D.; Barrett, J.; Jacob-Dolan, C.; Lifton, M.; McMahan, K.; Sciacca, M.; VanWyk, H.; Wu, C.; et al. Vaccines Elicit Highly Conserved Cellular Immunity to SARS-CoV-2 Omicron. Nature 2022, 603, 493–496. [Google Scholar] [CrossRef]
  6. Ora, J.; Calzetta, L.; Frugoni, C.; Puxeddu, E.; Rogliani, P. Expert Guidance on the Management and Challenges of Long-COVID Syndrome: A Systematic Review. Expert. Opin. Pharm. 2023, 24, 315–330. [Google Scholar] [CrossRef]
  7. Babouee Flury, B.; Güsewell, S.; Egger, T.; Leal, O.; Brucher, A.; Lemmenmeier, E.; Meier Kleeb, D.; Möller, J.C.; Rieder, P.; Rütti, M.; et al. Risk and Symptoms of COVID-19 in Health Professionals According to Baseline Immune Status and Booster Vaccination during the Delta and Omicron Waves in Switzerland-A Multicentre Cohort Study. PLoS Med. 2022, 19, e1004125. [Google Scholar] [CrossRef]
  8. Aiyegbusi, O.L.; Hughes, S.E.; Turner, G.; Rivera, S.C.; McMullan, C.; Chandan, J.S.; Haroon, S.; Price, G.; Davies, E.H.; Nirantharakumar, K.; et al. Symptoms, Complications and Management of Long COVID: A Review. J. R. Soc. Med. 2021, 114, 428–442. [Google Scholar] [CrossRef]
  9. Gluckman, T.J.; Bhave, N.M.; Allen, L.A.; Chung, E.H.; Spatz, E.S.; Ammirati, E.; Baggish, A.L.; Bozkurt, B.; Cornwell, W.K.; Harmon, K.G.; et al. 2022 ACC Expert Consensus Decision Pathway on Cardiovascular Sequelae of COVID-19 in Adults: Myocarditis and Other Myocardial Involvement, Post-Acute Sequelae of SARS-CoV-2 Infection, and Return to Play. J. Am. Coll. Cardiol. 2022, 79, 1717–1756. [Google Scholar] [CrossRef]
  10. Cavigli, L.; Fusi, C.; Focardi, M.; Mandoli, G.E.; Pastore, M.C.; Cameli, M.; Valente, S.; Zorzi, A.; Bonifazi, M.; D’Andrea, A.; et al. Post-Acute Sequelae of COVID-19: The Potential Role of Exercise Therapy in Treating Patients and Athletes Returning to Play. J. Clin. Med. 2022, 12, 288. [Google Scholar] [CrossRef]
  11. Carfì, A.; Bernabei, R.; Landi, F.; for the Gemelli Against COVID-19 Post-Acute Care Study Group. Persistent Symptoms in Patients After Acute COVID-19. JAMA 2020, 324, 603. [Google Scholar] [CrossRef]
  12. Laveneziana, P.; Sesé, L.; Gille, T. Pathophysiology of Pulmonary Function Anomalies in COVID-19 Survivors. Breathe 2021, 17, 210065. [Google Scholar] [CrossRef] [PubMed]
  13. Anastasio, F.; Barbuto, S.; Scarnecchia, E.; Cosma, P.; Fugagnoli, A.; Rossi, G.; Parravicini, M.; Parravicini, P. Medium-Term Impact of COVID-19 on Pulmonary Function, Functional Capacity and Quality of Life. Eur. Respir. J. 2021, 58, 2004015. [Google Scholar] [CrossRef] [PubMed]
  14. Cortés-Telles, A.; López-Romero, S.; Figueroa-Hurtado, E.; Pou-Aguilar, Y.N.; Wong, A.W.; Milne, K.M.; Ryerson, C.J.; Guenette, J.A. Pulmonary Function and Functional Capacity in COVID-19 Survivors with Persistent Dyspnoea. Respir. Physiol. Neurobiol. 2021, 288, 103644. [Google Scholar] [CrossRef] [PubMed]
  15. Lerum, T.V.; Aaløkken, T.M.; Brønstad, E.; Aarli, B.; Ikdahl, E.; Lund, K.M.A.; Durheim, M.T.; Rodriguez, J.R.; Meltzer, C.; Tonby, K.; et al. Dyspnoea, Lung Function and CT Findings 3 Months after Hospital Admission for COVID-19. Eur. Respir. J. 2021, 57, 2003448. [Google Scholar] [CrossRef]
  16. Ora, J.; Zerillo, B.; De Marco, P.; Manzetti, G.M.; De Guido, I.; Calzetta, L.; Rogliani, P. Effects of SARS-CoV-2 Infection on Pulmonary Function Tests and Exercise Tolerance. J. Clin. Med. 2022, 11, 4936. [Google Scholar] [CrossRef]
  17. Rogliani, P.; Calzetta, L.; Coppola, A.; Puxeddu, E.; Sergiacomi, G.; D’Amato, D.; Orlacchio, A. Are There Pulmonary Sequelae in Patients Recovering from COVID-19? Respir. Res. 2020, 21, 286. [Google Scholar] [CrossRef]
  18. Open DATA Vaccini. Available online: https://Github.Com/Italia/Covid19-Opendata-Vaccini (accessed on 19 March 2023).
  19. Cuschieri, S. The STROBE Guidelines. Saudi J. Anaesth. 2019, 13, 31. [Google Scholar] [CrossRef]
  20. von Elm, E.; Altman, D.G.; Egger, M.; Pocock, S.J.; Gøtzsche, P.C.; Vandenbroucke, J.P. STROBE Initiative The Strengthening the Reporting of Observational Studies in Epidemiology (STROBE) Statement: Guidelines for Reporting Observational Studies. Lancet 2007, 370, 1453–1457. [Google Scholar] [CrossRef]
  21. Miller, M.R.; Hankinson, J.; Brusasco, V.; Burgos, F.; Casaburi, R.; Coates, A.; Crapo, R.; Enright, P.; van der Grinten, C.P.M.; Gustafsson, P.; et al. Standardisation of Spirometry. Eur. Respir. J. 2005, 26, 319–338. [Google Scholar] [CrossRef]
  22. Quanjer, P.H.; Tammeling, G.J.; Cotes, J.E.; Pedersen, O.F.; Peslin, R.; Yernault, J.C. Lung Volumes and Forced Ventilatory Flows. Report Working Party Standardization of Lung Function Tests, European Community for Steel and Coal. Official Statement of the European Respiratory Society. Eur. Respir. J. Suppl. 1993, 16, 5–40. [Google Scholar] [CrossRef]
  23. ATS Committee on Proficiency Standards for Clinical Pulmonary Function Laboratories ATS Statement: Guidelines for the Six-Minute Walk Test. Am. J. Respir. Crit. Care Med. 2002, 166, 111–117. [CrossRef] [PubMed]
  24. Enright, P.L.; Sherrill, D.L. Reference Equations for the Six-Minute Walk in Healthy Adults. Am. J. Respir. Crit. Care Med. 1998, 158, 1384–1387. [Google Scholar] [CrossRef] [PubMed]
  25. Bohannon, R.W.; Peolsson, A.; Massy-Westropp, N.; Desrosiers, J.; Bear-Lehman, J. Reference Values for Adult Grip Strength Measured with a Jamar Dynamometer: A Descriptive Meta-Analysis. Physiotherapy 2006, 92, 11–15. [Google Scholar] [CrossRef]
  26. Dodds, R.M.; Syddall, H.E.; Cooper, R.; Benzeval, M.; Deary, I.J.; Dennison, E.M.; Der, G.; Gale, C.R.; Inskip, H.M.; Jagger, C.; et al. Grip Strength across the Life Course: Normative Data from Twelve British Studies. PLoS ONE 2014, 9, e113637. [Google Scholar] [CrossRef] [PubMed]
  27. Crook, S.; Büsching, G.; Schultz, K.; Lehbert, N.; Jelusic, D.; Keusch, S.; Wittmann, M.; Schuler, M.; Radtke, T.; Frey, M.; et al. A Multicentre Validation of the 1-Min Sit-to-Stand Test in Patients with COPD. Eur. Respir. J. 2017, 49, 1601871. [Google Scholar] [CrossRef]
  28. Soldati, G.; Smargiassi, A.; Inchingolo, R.; Buonsenso, D.; Perrone, T.; Briganti, D.F.; Perlini, S.; Torri, E.; Mariani, A.; Mossolani, E.E.; et al. On Lung Ultrasound Patterns Specificity in the Management of COVID-19 Patients. J. Ultrasound Med. 2020, 39, 2283–2284. [Google Scholar] [CrossRef]
  29. Mo, X.; Jian, W.; Su, Z.; Chen, M.; Peng, H.; Peng, P.; Lei, C.; Chen, R.; Zhong, N.; Li, S. Abnormal Pulmonary Function in COVID-19 Patients at Time of Hospital Discharge. Eur. Respir. J. 2020, 55, 2001217. [Google Scholar] [CrossRef]
  30. Lombardi, F.; Calabrese, A.; Iovene, B.; Pierandrei, C.; Lerede, M.; Varone, F.; Richeldi, L.; Sgalla, G. Gemelli Against COVID-19 Post-Acute Care Study Group Residual Respiratory Impairment after COVID-19 Pneumonia. BMC Pulm. Med. 2021, 21, 241. [Google Scholar] [CrossRef]
  31. Eksombatchai, D.; Wongsinin, T.; Phongnarudech, T.; Thammavaranucupt, K.; Amornputtisathaporn, N.; Sungkanuparph, S. Pulmonary Function and Six-Minute-Walk Test in Patients after Recovery from COVID-19: A Prospective Cohort Study. PLoS ONE 2021, 16, e0257040. [Google Scholar] [CrossRef]
  32. Bellan, M.; Soddu, D.; Balbo, P.E.; Baricich, A.; Zeppegno, P.; Avanzi, G.C.; Baldon, G.; Bartolomei, G.; Battaglia, M.; Battistini, S.; et al. Respiratory and Psychophysical Sequelae Among Patients With COVID-19 Four Months After Hospital Discharge. JAMA Netw. Open. 2021, 4, e2036142. [Google Scholar] [CrossRef]
  33. Aiello, M.; Marchi, L.; Calzetta, L.; Speroni, S.; Frizzelli, A.; Ghirardini, M.; Celiberti, V.; Sverzellati, N.; Majori, M.; Mori, P.A.; et al. Coronavirus Disease 2019: COSeSco—A Risk Assessment Score to Predict the Risk of Pulmonary Sequelae in COVID-19 Patients. Respiration 2022, 101, 272–280. [Google Scholar] [CrossRef] [PubMed]
  34. Choi, C.W.; Sung, H.K.; Jeong, J.Y.; Lim, D.H.; Choi, J.; Kwon, H.C.; Nam, S.; Kim, Y.; Chin, B. Changing Features of Liver Injury in COVID-19 Patients: Impact of Infection with the SARS-CoV-2 Delta (B.1.617.2) Variants. Infect. Chemother. 2022, 54, 744–756. [Google Scholar] [CrossRef] [PubMed]
  35. Yoon, S.H.; Lee, J.H.; Kim, B.-N. Chest CT Findings in Hospitalized Patients with SARS-CoV-2: Delta versus Omicron Variants. Radiology 2023, 306, 252–260. [Google Scholar] [CrossRef] [PubMed]
  36. Guan, W.-J.; Ni, Z.-Y.; Hu, Y.; Liang, W.-H.; Ou, C.-Q.; He, J.-X.; Liu, L.; Shan, H.; Lei, C.-L.; Hui, D.S.C.; et al. Clinical Characteristics of Coronavirus Disease 2019 in China. N. Engl. J. Med. 2020, 382, 1708–1720. [Google Scholar] [CrossRef]
  37. George, P.M.; Barratt, S.L.; Condliffe, R.; Desai, S.R.; Devaraj, A.; Forrest, I.; Gibbons, M.A.; Hart, N.; Jenkins, R.G.; McAuley, D.F.; et al. Respiratory Follow-up of Patients with COVID-19 Pneumonia. Thorax 2020, 75, 1009–1016. [Google Scholar] [CrossRef]
  38. Barisione, G.; Brusasco, V. Lung Diffusing Capacity for Nitric Oxide and Carbon Monoxide Following Mild-to-Severe COVID-19. Physiol. Rep. 2021, 9, e14748. [Google Scholar] [CrossRef]
  39. Stanojevic, S.; Graham, B.L.; Cooper, B.G.; Thompson, B.R.; Carter, K.W.; Francis, R.W.; Hall, G.L.; Global Lung Function Initiative TLCO working group. Global Lung Function Initiative (GLI) TLCO Official ERS Technical Standards: Global Lung Function Initiative Reference Values for the Carbon Monoxide Transfer Factor for Caucasians. Eur. Respir. J. 2017, 50, 1700010. [Google Scholar] [CrossRef]
  40. Aparisi, Á.; Ladrón, R.; Ybarra-Falcón, C.; Tobar, J.; San Román, J.A. Exercise Intolerance in Post-Acute Sequelae of COVID-19 and the Value of Cardiopulmonary Exercise Testing- a Mini-Review. Front. Med. 2022, 9, 924819. [Google Scholar] [CrossRef]
  41. Hui, K.P.Y.; Ho, J.C.W.; Cheung, M.; Ng, K.; Ching, R.H.H.; Lai, K.; Kam, T.T.; Gu, H.; Sit, K.-Y.; Hsin, M.K.Y.; et al. SARS-CoV-2 Omicron Variant Replication in Human Bronchus and Lung Ex Vivo. Nature 2022, 603, 715–720. [Google Scholar] [CrossRef]
Figure 1. Correlations of FVC (black circles), FEV1 (white circles), and DL’co (grey squares) with the 6MWT distance on the top, the HGT force in the middle, and 1‘STST number of repetitions on the bottom. The DL’co significantly correlates with all the measures, FVC just with the 6MWT distance and 1′STST repetitions. FEV1 does not correlate with any measurement. 1′STST: one minute sit to stand test; 6MWT: six minute walk test; HGT: Handgrip Test; DL’co: diffusing lung capacity for carbon monoxide, FEV1: forced Expiratory Volume in the first second; FVC: Forced Vital Capacity. * means p < 0.01.
Figure 1. Correlations of FVC (black circles), FEV1 (white circles), and DL’co (grey squares) with the 6MWT distance on the top, the HGT force in the middle, and 1‘STST number of repetitions on the bottom. The DL’co significantly correlates with all the measures, FVC just with the 6MWT distance and 1′STST repetitions. FEV1 does not correlate with any measurement. 1′STST: one minute sit to stand test; 6MWT: six minute walk test; HGT: Handgrip Test; DL’co: diffusing lung capacity for carbon monoxide, FEV1: forced Expiratory Volume in the first second; FVC: Forced Vital Capacity. * means p < 0.01.
Diagnostics 13 01679 g001
Table 1. Subjects’ characteristics.
Table 1. Subjects’ characteristics.
All Group
(n = 153)
Group A
(n = 79)
Group B
(n = 74)
p-Value
Female/male, n12/1414/758/66ns
Age, yrs47.0 ± 9.849.6 ± 9.844.2 ± 9.10.001
Height, cm169.8 ± 28.4166.8 ± 38.8173.0 ± 6.4ns
Weight, kg85.2 ± 15.388.4 ± 14.881.8 ± 15.20.007
BMI, kg/m228.1 ± 4.428.6 ± 4.427.5 ± 4.30.095
Follow-up, days140 ± 88159 ± 105119 ± 660.006
Immunization status:
-
0 dose, n (%)
-
1 dose, n (%)
-
2 or more doses, n (%)
-
Previous infection, n (%)

83 (54.2)
4 (2.6)
66 (43.1)
11 (7.1)

76 (96.2)
3 (3.8)
0 (0.0)
0 (0.0)

7 (9.5)
1 (1.4)
66 (89.2)
11 (14.9)
<0.0001
Hospitalization, n (%)66 (43.1)57 (72.2)9 (12.2)<0.0001
Oxygen therapy, n (%)32 (20.9)28 (35.4)4 (5.4)<0.0001
High-flow oxygen therapy or non-invasive ventilation8 (5.2)7 (8.9)1 (1.4)ns
SAH, n (%)26 (17.0)22 (27.8)4 (5.4)0.005
IHD, n (%)3 (2.0)2 (2.5)1 (1.4)ns
Metabolic disorders, n (%)
-
hypercholesterolemia, n (%)
-
Type 1 diabetes, n (%)
-
Type 2 diabetes, n (%)
43 (28.1)
33 (21.6)
1 (0.7)
9 (5.9)
14 (17.7)
8 (10.1)
1 (1.3)
5 (6.3)
29 (39.2)
25 (33.8)
0 (0.0)
4 (5.4)
0.005
asthma, n (%)11 (7.2)5 (6.3)6 (8.1)ns
Therapy:
-
Heparin, n (%)
-
Antibiotics, n (%)
-
Oral Corticosteroids, n (%)
-
Remdesevir, n (%)
-
Tocilizumab, n (%)

44 (28.8)
66 (43.1)
51 (33.3)
26 (17.0)
5 (3.3)

42 (53.2)
44 (55.7)
39 (49.4)
25 (31.2)
5 (6.3)

4 (5.4)
22 (29.7)
12 (16.2)
1 (1.4)
0 (0.0)
<0.01
BMI: Body Mass Index; IHD: Ischemic Heart Disease; SAH: Systemic Arterial Hypertension. Values are expressed as mean ± SD.
Table 2. Subjects’ pulmonary function tests and exercise tests (six min walk test, hand grip, and 1 min sit to stand test).
Table 2. Subjects’ pulmonary function tests and exercise tests (six min walk test, hand grip, and 1 min sit to stand test).
All Group
(n = 153)
Group A
(n = 79)
Group B
(n = 74)
p-Value
FEV1, l
(FEV1, %pr)
3.67 ± 0.62
(102.0 ± 13.2)
3.61 ± 0.65
(99.8 ± 13.5)
3.75 ± 0.57
(104.3 ± 12.6)
ns
0.04
FVC, l
(FVC, %pr)
4.60 ± 0.76
(104.1 ± 13.9)
4.51 ± 0.82
(100.8 ± 14.8)
4.70 ± 0.69
(107.4 ± 12.1)
ns
0.003
FEV1/FVC, %80.2 ± 6.280.2 ± 5.580.2 ± 7.0ns
PEF l/min,9.8 ± 1.69.8 ± 1.69.8 ± 1.7ns
DL’co-sb, %pr89.6 ± 15.386.7 ± 16.692.4 ± 13.40.023
DL’co-sb/VA, %pr98.5 ± 18.898.9 ± 18.198.1 ± 19.5ns
6MWTD, m577 ± 107549 ± 115606 ± 900.001
SpO2 rest, %97.1 ± 1.496.9 ± 1.697.2 ± 1.1ns
SpO2 nadir, %95.7 ± 1.695.1 ± 1.896.3 ± 1.00.001
HR rest, bpm82.9 ± 14.182.6 ± 14.483.2 ± 13.9ns
HR max, bpm124.6 ± 17.7113.1 ± 14.4117.0 ± 15.1ns
HG right hand, kg40.8 ± 9.541.6 ± 10.340.1 ± 8.6ns
HG right hand, kg39.0 ± 9.639.3 ± 8.838.7 ± 10.3ns
1′MSTS, n repetition34.1 ± 8.832.3 ± 8.535.4 ± 8.90.05
SpO2 rest, %97.6 ± 1.597.2 ± 1.597.8 ± 1.40.035
SpO2 Nadir, %96.9 ± 2.596.1 ± 3.597.4 ± 1.20.003
HR rest, bpm85.1 ± 16.089.0 ± 17.782.3 ± 14.10.023
HR max, bpm123.5 ± 18.7122.8 ± 21.1123.9 ± 17.0ns
%pr: %predicted value, Values are expressed as mean ± SD. 1′MSTS: 1 min sit to stand; 6MWTD: six-minute walk test distance; DLco-SB: diffusing lung capacity for carbon monoxide—single breath; FEV1: Forced Expiratory Volume in 1 s; FVC: forced vital capacity; HG: hand grip; HR: Heart Rate; SpO2: Peripheral saturation of oxygen; VA: Alveolar Ventilation.
Table 3. Subjects’ symptoms at the time of SARS-CoV-2 infection. The distribution of symptoms in the two population is significantly different (Test Chi Square, p < 0.004).
Table 3. Subjects’ symptoms at the time of SARS-CoV-2 infection. The distribution of symptoms in the two population is significantly different (Test Chi Square, p < 0.004).
All Group
(n = 153)
Group A
(n = 79)
Group B
(n = 74)
Fever, n (%)89 (58)38 (48)51 (69)
Cough, n (%)61 (40)22 (28)39 (53)
Fatigue, n (%)46 (30)22 (28)22 (32)
Dyspnea, n (%)41 (27)29 (37)12 (16)
Headache, n (%)26 (17)8 (10)18 (24)
Loss of taste, n (%)26 (17)14 (18)12 (16)
Loss of smell, n (%)23 (15)14 (18)9 (12)
Arthralgia/myalgia, n (%)25 (16)9 (11)16 (22)
Sore throat, n (%)18 (12)4 (5)14 (19)
Other symptoms, n (%)25 (16)14 (18)11 (15)
Disclaimer/Publisher’s Note: The statements, opinions and data contained in all publications are solely those of the individual author(s) and contributor(s) and not of MDPI and/or the editor(s). MDPI and/or the editor(s) disclaim responsibility for any injury to people or property resulting from any ideas, methods, instructions or products referred to in the content.

Share and Cite

MDPI and ACS Style

Ora, J.; Rogliani, P.; Ferron, F.; Vignuoli, M.; Valentino, L.; Pontoni, G.; Di Ciuccio, F.; Ferrara, R.; Sciarra, T. Effects of SARS-CoV-2 on Pulmonary Function and Muscle Strength Testing in Military Subjects According to the Period of Infection: Cross-Sectional Study. Diagnostics 2023, 13, 1679. https://doi.org/10.3390/diagnostics13101679

AMA Style

Ora J, Rogliani P, Ferron F, Vignuoli M, Valentino L, Pontoni G, Di Ciuccio F, Ferrara R, Sciarra T. Effects of SARS-CoV-2 on Pulmonary Function and Muscle Strength Testing in Military Subjects According to the Period of Infection: Cross-Sectional Study. Diagnostics. 2023; 13(10):1679. https://doi.org/10.3390/diagnostics13101679

Chicago/Turabian Style

Ora, Josuel, Paola Rogliani, Federica Ferron, Marilisa Vignuoli, Letizia Valentino, Giancarlo Pontoni, Francesca Di Ciuccio, Roberto Ferrara, and Tommaso Sciarra. 2023. "Effects of SARS-CoV-2 on Pulmonary Function and Muscle Strength Testing in Military Subjects According to the Period of Infection: Cross-Sectional Study" Diagnostics 13, no. 10: 1679. https://doi.org/10.3390/diagnostics13101679

APA Style

Ora, J., Rogliani, P., Ferron, F., Vignuoli, M., Valentino, L., Pontoni, G., Di Ciuccio, F., Ferrara, R., & Sciarra, T. (2023). Effects of SARS-CoV-2 on Pulmonary Function and Muscle Strength Testing in Military Subjects According to the Period of Infection: Cross-Sectional Study. Diagnostics, 13(10), 1679. https://doi.org/10.3390/diagnostics13101679

Note that from the first issue of 2016, this journal uses article numbers instead of page numbers. See further details here.

Article Metrics

Back to TopTop