A Light Deep Learning Algorithm for CT Diagnosis of COVID-19 Pneumonia
Abstract
:1. Introduction
- Proposing a novel 3D VGG-based CNN architecture for accurately diagnosing COVID-19 on chest CT scans. The 3D network is able to identify correlations between adjacent slices, while 2D networks are limited to intra-slice spatial voxel information.
- Introducing a novel pre-processing technique, which reduces the number of slices required for training the algorithm: Processing fewer slices demands less computational power, prevents communications bottlenecks, and reduces time and cost constraints. Since the model only requires 16 slices per CT examination, it is also well-suited for a large number of CT machines.
- Evaluating the algorithm’s diagnosis performance in both geographically distributed and Brazilian datasets: Brazil has more than 300,000,000 inhabitants. It was one of the worst-affected countries in the world by the COVID-19 pandemic. Despite that fact, there are few studies with data from this country. It was important to include images from Brazilian hospitals and confirm the algorithm’s ability to generalize well for this phenotype. We plan to test the algorithm in a controlled environment in a Brazilian hospital in the near future.
- Disposing the algorithm as an open software for public use and future enhancements: This guarantees reproducibility.
2. Materials and Methods
2.1. Dataset Preparation
2.2. Dataset Description
- Medical Segmentation Decathlon: The Medical Segmentation Decathlon is a collection of annotated medical image datasets for the development and evaluation of segmentation algorithms. The lung dataset has 96 preoperative thin-section CT scans performed without use of contrast and from patients with non-small cell lung cancer from Stanford University (Palo Alto, CA, USA) publicly available through TCIA [34].
- LNDb: This dataset contains 294 CT scans collected retrospectively at the Centro Hospitalar e Universitário de São João (CHUSJ) in Porto, Portugal, between 2016 and 2018. All data were acquired under approval from the CHUSJ Ethical Committee and was anonymized. Among the 294 patients scanned, 164 (55.8%) were male. The average age was 66, and the minimum and maximum ages were 19 and 98, respectively [35].
- LCTSC: This dataset was provided in association with a challenge competition and related conference session conducted at the American Association of Physicists in Medicine 2017 Annual Meeting. There are CT scans of 60 patients undergoing treatment simulation for thoracic radiotherapy from three institutions: MD Anderson Cancer Center, Memorial Sloan-Kettering Cancer Center, and the MAASTRO clinic. Each institution provided CT scans from 20 patients, including mean intensity projection (4D CT), exhale phase (4D CT), or free-breathing CT scans depending on their clinical practice. All CT scans covered the entire thoracic region with a 50 cm field of view and slice spacing of 1 mm, 2.5 mm, or 3 mm [36].
- MOSMEDDATA: This dataset contains 1110 anonymized lung CT scans obtained between 1 March 2020 and 25 April 2020 from public medical hospitals in Moscow, Russia. Among the patients scanned, there were 42% males, 56% females, and 2% other/unknown with ages from 18 to 97 years, with an average of 47 years. They were distributed according to a classification table of the severity of lung tissue abnormalities with COVID-19 and routing rules. There were five categories ranging from CT-0, zero, not consistent with pneumonia (including COVID-19) up to CT-4, severe, with diffuse ground glass opacities, with consolidations and reticular changes, and pulmonary parenchymal involvement ≥ 75%. The number of cases by category was: CT-0, 254 (22.8%); CT-1, 684 (61.6%); CT-2, 125 (11.3%); CT-3, 45 (4.1%); and CT-4, 2 (0.2%) [37].
- HC USP: The data were obtained through a collaboration between SENAI CIMATEC and the Medical School of the University of São Paulo (HC USP). Altogether, we obtained 439 COVID-19-positive exams and 506 COVID-19-negative exams.
- HSI: The data were acquired from a partnership between SENAI CIMATEC and the Santa Izabel Hospital (HSI). This database has 1294 COVID-19-positive exams and 512 COVID-19-negative exams.
- COVID-19 CT Lung and Infection Segmentation: This dataset contains 20 labeled COVID-19 lung-infection CT scans collected from the Coronacases Initiative and Radiopaedia, which can be freely downloaded with CC BY-NC-SA license. The proportion of infections in the lungs ranges from 0.01% to 59%. The left lung, right lung, and infection segmentation were firstly delineated by junior annotators (1 to 5 years of experience), then refined by two radiologists with 5 to 10 years of experience. All the annotations were verified and refined by a senior radiologist (>10 years of experience) [38].
- COVID-19 CT Segmentation Dataset: This dataset contains 100 axial CT images from more than 40 patients with COVID-19 converted from openly accessible JPG images provided by the Società Italiana di Radiologia Medica e Inteventistica. The images were segmented by a radiologist using three labels: ground glass, consolidation, and pleural effusion [39].
- BIMCV-COVID19: A large dataset from the Valencian Region Medical ImageBank (BIMCV) containing chest X-ray images CXR (CR, DX) and computed tomography (CT) imaging of COVID-19+ patients along with their radiological findings and locations, pathologies, radiological reports (in Spanish), DICOM metadata, polymerase chain reaction (PCR), immunoglobulin G (IgG), and Immunoglobulin M (IgM) diagnostic antibody tests was also used. This database includes 1380 CX, 885 DX, and 163 CT studies from 1311 COVID-19 patients [40].
2.3. Slice-Wise Selection
2.4. Algorithm Architecture
2.5. Model Training
- Batch normalization layer in different positions after the convolutional layers,
- Dropout layers in different positions and different dropout rates,
- L2 regularization in different layers, resulting in regularizations to the fourth, eleventh, and fourteenth convolutional layers and to the penultimate FC layer.
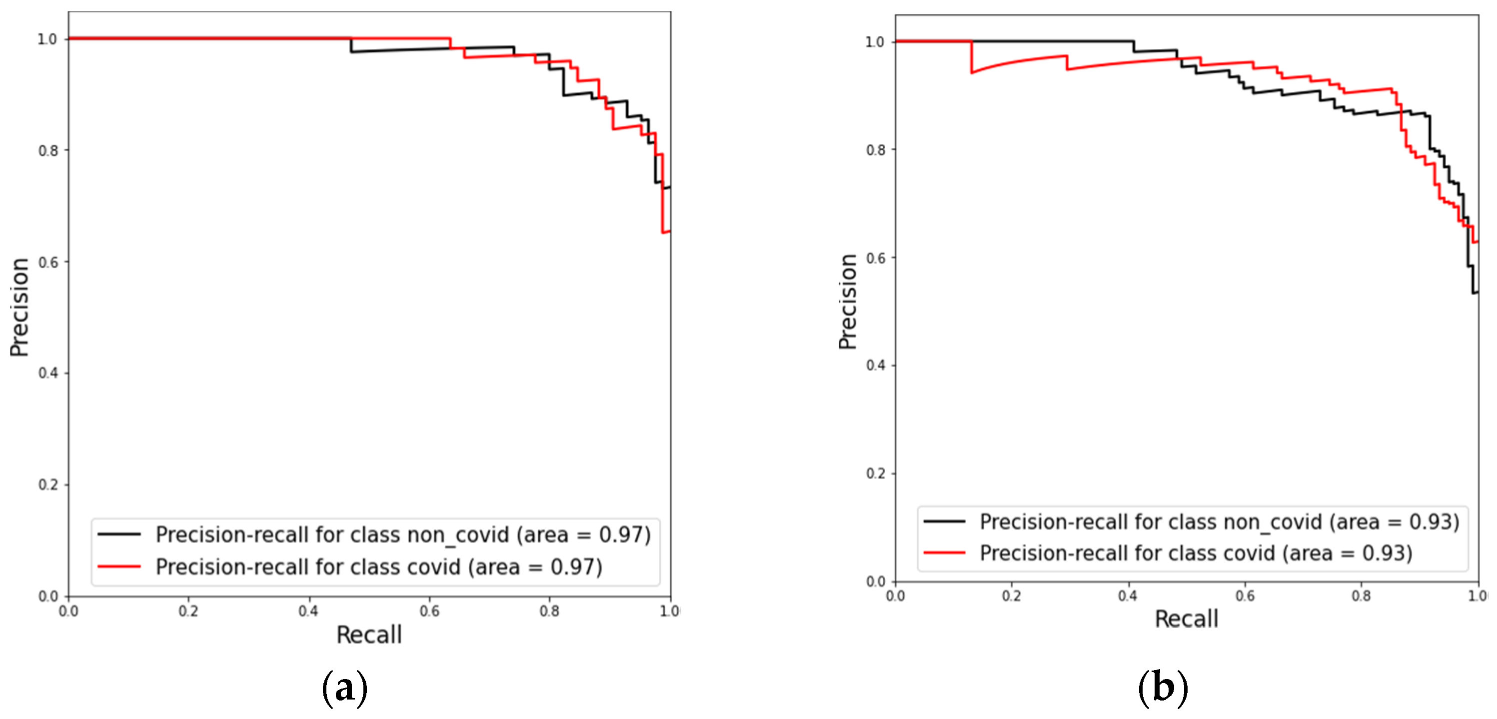
3. Results
4. Discussion
Author Contributions
Funding
Institutional Review Board Statement
Informed Consent Statement
Data Availability Statement
Acknowledgments
Conflicts of Interest
References
- WHO Coronavirus (COVID-19) Dashboard|WHO Coronavirus (COVID-19) Dashboard with Vaccination Data. Available online: https://covid19.who.int/ (accessed on 19 June 2022).
- Zhu, N.; Zhang, D.; Wang, W.; Li, X.; Yang, B.; Song, J.; Zhao, X.; Huang, B.; Shi, W.; Lu, R.; et al. A Novel Coronavirus from Patients with Pneumonia in China, 2019. N. Engl. J. Med. 2020, 382, 727–733. [Google Scholar] [CrossRef] [PubMed]
- Arevalo-Rodriguez, I.; Buitrago-Garcia, D.; Simancas-Racines, D.; Achig, P.Z.; Del Campo, R.; Ciapponi, A.; Sued, O.; Martinez-García, L.; Rutjes, A.W.; Low, N.; et al. False-negative results of initial RT-PCR assays for COVID-19: A systematic review. PLoS ONE 2020, 15, e0242958. [Google Scholar]
- Woloshin, S.; Patel, N.; Kesselheim, A.S. False Negative Tests for SARS-CoV-2 Infection—Challenges and Implications. N. Engl. J. Med. 2020, 383, e38. [Google Scholar] [CrossRef] [PubMed]
- Pontone, G.; Scafuri, S.; Mancini, M.E.; Agalbato, C.; Guglielmo, M.; Baggiano, A.; Muscogiuri, G.; Fusini, L.; Andreini, D.; Mushtaq, S.; et al. Role of computed tomography in COVID-19. J. Cardiovasc. Comput. Tomogr. 2020, 15, 27–36. [Google Scholar] [CrossRef] [PubMed]
- Sandri, T.L.; Inoue, J.; Geiger, J.; Griesbaum, J.-M.; Heinzel, C.; Burnet, M.; Fendel, R.; Kremsner, P.G.; Held, J.; Kreidenweiss, A. Complementary methods for SARS-CoV-2 diagnosis in times of material shortage. Sci. Rep. 2021, 11, 11899. [Google Scholar] [CrossRef]
- Shi, H.; Han, X.; Jiang, N.; Cao, Y.; Alwalid, O.; Gu, J.; Fan, Y.; Zheng, C. Radiological findings from 81 patients with COVID-19 pneumonia in Wuhan, China: A descriptive study. Lancet Infect. Dis. 2020, 20, 425–434. [Google Scholar] [CrossRef]
- Furtado, A.; Andrade, L.; Frias, D.; Maia, T.; Badaró, R.; Nascimento, E.G.S. Deep Learning Applied to Chest Radiograph Classification—A COVID-19 Pneumonia Experience. Appl. Sci. 2022, 12, 3712. [Google Scholar] [CrossRef]
- Zu, Z.Y.; Di Jiang, M.; Xu, P.P.; Chen, W.; Ni, Q.Q.; Lu, G.M.; Zhang, L.J. Coronavirus Disease 2019 (COVID-19): A Perspective from China. Radiology 2020, 296, E15–E25. [Google Scholar] [CrossRef] [Green Version]
- Kwee, T.C.; Kwee, R.M. Chest ct in COVID-19: What the radiologist needs to know. Radiographics 2020, 40, 1848–1865. [Google Scholar] [CrossRef]
- Chung, M.; Bernheim, A.; Mei, X.; Zhang, N.; Huang, M.; Zeng, X.; Cui, J.; Xu, W.; Yang, Y.; Fayad, Z.A.; et al. CT Imaging Features of 2019 Novel Coronavirus (2019-nCoV). Radiology 2020, 295, 202–207. [Google Scholar] [CrossRef] [Green Version]
- Huang, C.; Wang, Y.; Li, X.; Ren, L.; Zhao, J.; Hu, Y.; Zhang, L.; Fan, G.; Xu, J.; Gu, X.; et al. Clinical features of patients infected with 2019 novel coronavirus in Wuhan, China. Lancet 2020, 395, 497–506. [Google Scholar] [CrossRef] [Green Version]
- Koo, H.J.; Lim, S.; Choe, J.; Choi, S.-H.; Sung, H.; Do, K.-H. Radiographic and CT features of viral pneumonia. Radiographics 2018, 38, 719–739. [Google Scholar] [CrossRef] [PubMed] [Green Version]
- Akl, E.A.; Blažić, I.; Yaacoub, S.; Frija, G.; Chou, R.; Appiah, J.A.; Fatehi, M.; Flor, N.; Hitti, E.; Jafri, H.; et al. Use of chest imaging in the diagnosis and management of COVID-19: A WHO rapid advice guide. Radiology 2021, 298, E63–E69. [Google Scholar] [CrossRef] [PubMed]
- Rubin, G.D.; Ryerson, C.J.; Haramati, L.B.; Sverzellati, N.; Kanne, J.; Raoof, S.; Schluger, N.W.; Volpi, A.; Yim, J.-J.; Martin, I.B.K.; et al. The role of chest imaging in patient management during the COVID-19 pandemic: A multinational consensus statement from the fleischner society. Radiology 2020, 296, 172–180. [Google Scholar] [CrossRef] [Green Version]
- Simpson, S.; Kay, F.U.; Abbara, S.; Bhalla, S.; Chung, J.H.; Chung, M.; Henry, T.S.; Kanne, J.P.; Kligerman, S.; Ko, J.P.; et al. Radiological society of North America expert consensus document on reporting chest CT findings related to COVID-19: Endorsed by the society of thoracic radiology, the American college of radiology, and RSNA. Radiol. Cardiothorac. Imaging 2020, 2, e200152. [Google Scholar] [CrossRef] [Green Version]
- Roberts, M.; Covnet, A.; Driggs, D.; Thorpe, M.; Gilbey, J.; Yeung, M.; Ursprung, S.; Aviles-Rivero, A.I.; Etmann, C.; McCague, C.; et al. Common pitfalls and recommendations for using machine learning to detect and prognosticate for COVID-19 using chest radiographs and CT scans. Nat. Mach. Intell. 2021, 3, 199–217. [Google Scholar] [CrossRef]
- Aggarwal, P.; Mishra, N.K.; Fatimah, B.; Singh, P.; Gupta, A.; Joshi, S.D. COVID-19 image classification using deep learning: Advances, challenges and opportunities. Comput. Biol. Med. 2022, 144, 105350. [Google Scholar] [CrossRef]
- Carvalho, A.R.S.; Guimarães, A.; Garcia, T.D.S.O.; Werberich, G.M.; Ceotto, V.F.; Bozza, F.A.; Rodrigues, R.S.; Pinto, J.S.F.; Schmitt, W.R.; Zin, W.A.; et al. Estimating COVID-19 Pneumonia Extent and Severity From Chest Computed Tomography. Front. Physiol. 2021, 12, 617657. [Google Scholar] [CrossRef]
- Diniz, J.O.B.; Quintanilha, D.B.P.; Neto, A.C.S.; da Silva, G.L.F.; Ferreira, J.L.; Netto, S.M.B.; Araújo, J.D.L.; Da Cruz, L.B.; Silva, T.F.B.; Martins, C.M.D.S.; et al. Segmentation and quantification of COVID-19 infections in CT using pulmonary vessels extraction and deep learning. Multimed. Tools Appl. 2021, 80, 29367–29399. [Google Scholar] [CrossRef]
- Ozsahin, I.; Sekeroglu, B.; Musa, M.S.; Mustapha, M.T.; Ozsahin, D.U. Review on Diagnosis of COVID-19 from Chest CT Images Using Artificial Intelligence. Comput. Math. Methods Med. 2020, 2020, 9756518. [Google Scholar] [CrossRef]
- Liu, F.; Tang, J.; Ma, J.; Wang, C.; Ha, Q.; Yu, Y.; Zhou, Z. The application of artificial intelligence to chest medical image analysis. Intell. Med. 2021, 1, 104–117. [Google Scholar] [CrossRef]
- Heidarian, S.; Afshar, P.; Enshaei, N.; Naderkhani, F.; Rafiee, M.J.; Fard, F.B.; Samimi, K.; Atashzar, S.F.; Oikonomou, A.; Plataniotis, K.N.; et al. COVID-FACT: A Fully-Automated Capsule Network-Based Framework for Identification of COVID-19 Cases from Chest CT Scans. Front. Artif. Intell. 2021, 4, 65. [Google Scholar] [CrossRef] [PubMed]
- Rahimzadeh, M.; Attar, A.; Sakhaei, S.M. A fully automated deep learning-based network for detecting COVID-19 from a new and large lung CT scan dataset. Biomed. Signal Process. Control. 2021, 68, 102588. [Google Scholar] [CrossRef] [PubMed]
- Heidarian, S.; Afshar, P.; Mohammadi, A.; Rafiee, M.J.; Oikonomou, A.; Plataniotis, K.N.; Naderkhani, F. Ct-caps: Feature extraction-based automated framework for COVID-19 disease identification from chest ct scans using capsule networks. In Proceedings of the ICASSP 2021–2021 IEEE International Conference on Acoustics, Speech and Signal Processing, Toronto, ON, Canada, 6–11 June 2021; pp. 1040–1044. [Google Scholar] [CrossRef]
- Li, L.; Qin, L.; Xu, Z.; Yin, Y.; Wang, X.; Kong, B.; Bai, J.; Lu, Y.; Fang, Z.; Song, Q.; et al. Using Artificial Intelligence to Detect COVID-19 and Community-acquired Pneumonia Based on Pulmonary CT: Evaluation of the Diagnostic Accuracy. Radiology 2020, 296, E65–E71. [Google Scholar] [CrossRef] [PubMed]
- Xue, S.; Abhayaratne, C. COVID-19 diagnostic using 3D deep transfer learning for classification of volumetric computerised tomography chest scans. In Proceedings of the ICASSP 2021—2021 IEEE International Conference on Acoustics, Speech and Signal Processing, Toronto, ON, Canada, 6–11 June 2021; pp. 8573–8577. [Google Scholar] [CrossRef]
- Wang, X.; Deng, X.; Fu, Q.; Zhou, Q.; Feng, J.; Ma, H.; Liu, W.; Zheng, C. A Weakly-Supervised Framework for COVID-19 Classification and Lesion Localization from Chest CT. IEEE Trans. Med. Imaging 2020, 39, 2615–2625. [Google Scholar] [CrossRef]
- Yang, D.; Martinez, C.; Visuña, L.; Khandhar, H.; Bhatt, C.; Carretero, J. Detection and analysis of COVID-19 in medical images using deep learning techniques. Sci. Rep. 2021, 11, 19638. [Google Scholar] [CrossRef]
- Yang, D.; Martinez, C.; Visuña, L.; Khandhar, H.; Bhatt, C.; Carretero, J. Diagnosis of COVID-19 using CT scan images and deep learning techniques. Emerg. Radiol. 2021, 28, 497–505. [Google Scholar] [CrossRef]
- Sitaula, C.; Aryal, S. New bag of deep visual words based features to classify chest x-ray images for COVID-19 diagnosis. Health Inf. Sci. Syst. 2021, 9, 24. [Google Scholar] [CrossRef]
- Sitaula, C.; Shahi, T.B.; Aryal, S.; Marzbanrad, F. Fusion of multi-scale bag of deep visual words features of chest X-ray images to detect COVID-19 infection. Sci. Rep. 2022, 11, 23914. [Google Scholar] [CrossRef]
- Sitaula, C.; Hossain, M.B. Attention-based VGG-16 model for COVID-19 chest X-ray image classification. Appl. Intell. 2021, 51, 2850–2863. [Google Scholar] [CrossRef]
- Simpson, A.L.; Antonelli, M.; Bakas, S.; Bilello, M.; Farahani, K.; Van Ginneken, B.; Kopp-Schneider, A.; Landman, B.A.; Litjens, G.; Menze, B.; et al. A large annotated medical image dataset for the development and evaluation of segmentation algorithms. Meml. Sloan Kettering Cancer Cent. 2019, 12. [Google Scholar] [CrossRef]
- Pedrosa, J.; Aresta, G.; Ferreira, C.; Rodrigues, M.; Leitão, P.; Carvalho, A.S.; Rebelo, J.; Negrão, E.; Ramos, I.; Cunha, A.; et al. LNDb: A Lung Nodule Database on Computed Tomography. arXiv 2019, arXiv:1911.08434. [Google Scholar] [CrossRef]
- Yang, J. Data from lung CT segmentation challenge. Cancer Imaging Arch. 2017, 20. Available online: https://wiki.cancerimagingarchive.net/display/Public/Lung+CT+Segmentation+Challenge+2017 (accessed on 21 June 2022).
- Morozov, S.P.; Andreychenko, A.E.; Blokhin, I.A.; Gelezhe, P.B.; Gonchar, A.P.; Nikolaev, A.E.; Pavlov, N.A.; Chernina, V.Y.; Gombolevskiy, V.A. MosMedData: Data set of 1110 chest CT scans performed during the COVID-19 epidemic. Digit. Diagn. 2020, 1, 49–59. [Google Scholar] [CrossRef]
- Jun, M.; Cheng, G.; Yixin, W.; Xingle, A.; Jiantao, G.; Ziqi, Y.; Minqing, Z.; Xin, L.; Xueyuan, D.; Shucheng, C.; et al. COVID-19 CT Lung and Infection Segmentation Dataset. 2020. Available online: https://zenodo.org/record/3757476#.YrPIcOxByUk (accessed on 21 June 2022).
- MedSeg, H.; Jenssen, B.; Sakinis, T. MedSeg COVID Dataset 1. May 2021. Available online: https://figshare.com/articles/dataset/MedSeg_Covid_Dataset_1/13521488/2 (accessed on 21 June 2022).
- de la Iglesia Vayá, M.; Saborit, J.M.; Montell, J.A.; Pertusa, A.; Bustos, A.; Cazorla, M.; Galant, J.; Barber, X.; Orozco-Beltrán, D.; García-García, F.; et al. BIMCV COVID-19+: A large annotated dataset of RX and CT images from COVID-19 patients. IEEE Dataport 2021. [Google Scholar] [CrossRef]
- NVIDIA Clara Imaging|NVIDIA Developer. Available online: https://developer.nvidia.com/clara-medical-imaging (accessed on 12 January 2022).
- Simonyan, K.; Zisserman, A. Very deep convolutional networks for large-scale image recognition. arXiv 2014, arXiv:1409.1556. [Google Scholar] [CrossRef]
- Krizhevsky, A.; Sutskever, I.; Hinton, G.E. Imagenet classification with deep convolutional neural networks. Adv. Neural Inf. Process. Syst. 2012, 25, 1097–1105. [Google Scholar] [CrossRef]
- O’Malley, T.; Bursztein, E.; Long, J.; Chollet, F.; Jin, H.; Invernizzi, L. Keras Tuner. Available online: https://github.com/keras-team/keras-tuner (accessed on 21 May 2019).
- Li, L.; Jamieson, K.; DeSalvo, G.; Rostamizadeh, A.; Talwalkar, A. Hyperband: A Novel Bandit-Based Approach to Hyperparameter Optimization. J. Mach. Learn. Res. 2018, 18, 6765–6816. [Google Scholar] [CrossRef]
- Laino, M.; Ammirabile, A.; Posa, A.; Cancian, P.; Shalaby, S.; Savevski, V.; Neri, E. The Applications of Artificial Intelligence in Chest Imaging of COVID-19 Patients: A Literature Review. Diagnostics 2021, 11, 1317. [Google Scholar] [CrossRef]
- Abelaira, M.D.C.; Abelaira, F.C.; Ruano-Ravina, A.; Fernández-Villar, A. Use of Conventional Chest Imaging and Artificial Intelligence in COVID-19 Infection. A Review of the Literature. Open Respir. Arch. 2021, 3, 100078. [Google Scholar] [CrossRef]
- Rajpurkar, P.; Joshi, A.; Pareek, A.; Ng, A.Y.; Lungren, M.P. CheXternal: Generalization of deep learning models for chest X-ray interpretation to photos of chest X-rays and external clinical settings. In Proceedings of the Conference on Health, Inference, and Learning, New York, NY, USA, 8–10 April 2021; pp. 125–132. [Google Scholar] [CrossRef]











| Category | Problem | Solution |
|---|---|---|
| Dataset | Few images for training the algorithm | Algorithm trained with 3000 chest CT examinations |
| Dataset | Data collected from only one geographical region | Data collected from a set of curated international public databases summed up with images from 2 Brazilian hospitals |
| Dataset | Poor image bank quality: non-standard scans, too many images of children, or excess of data from China patients | Attention to the selection of the best public bases; automatic and visual cleaning. |
| Methodology | Use of unbalanced datasets | Attention to balancing the COVID-19, non-COVID, and normal categories prior to training and testing. |
| Methodology | Lack of statistical rigor or bias | We used the CLAIM [10] checklist for AI in medical imaging. Available as a supplement. |
| Transparency | Non-replicable projects. | The whole code is open. |
| Dataset ID | Dataset Name | Public (Y/N) | Number of CT Scans after Data Cleaning | Avg Number of Slices per CT Scan | Number of CT Scans Positive for COVID-19 | Training/Val Dataset | Test Dataset 1 | Test Dataset 2 |
|---|---|---|---|---|---|---|---|---|
| i | Medical Segmentation Decathlon | Y | 94 | 279 | 0 | 50 | 0 | 9 |
| ii | LNDb | Y | 139 | 322 | 0 | 78 | 0 | 13 |
| iii | LCTSC | Y | 94 | 279 | 0 | 25 | 0 | 3 |
| iv | MOSMEDDATA | Y | 1105 | 42 | 1105 | 449 | 0 | 56 |
| v | HCUSP | N | 935 | 337 | 431 | 384 | 170 | 51 |
| vi | HSI | N | 1806 | 308 | 1294 | 766 | 0 | 79 |
| vii | COVID-19 CT Lung and Infection Segmentation | Y | 10 | 176 | 10 | 8 | 0 | 1 |
| viii | COVID-19 CT Segmentation Dataset | Y | 10 | 280 | 10 | 3 | 0 | 1 |
| ix | BIMCV-COVID19 | Y | 486 | 288 | 308 | 222 | 0 | 31 |
| Training | Validation | Test Dataset 1 | Test Dataset 2 | |
|---|---|---|---|---|
| COVID-19 | 1000 | 500 | 85 | 122 |
| Non-COVID-19 | 1000 | 500 | 85 | 122 |
| Total | 2000 | 1000 | 170 | 244 |
| Original | Augmented | Test Dataset 1 | Test Dataset 2 | |
|---|---|---|---|---|
| COVID-19 | 1500 | 1500 | 85 | 122 |
| Non-COVID-19 | 1500 | 1500 | 85 | 122 |
| Total | 3000 | 3000 | 170 | 244 |
| Fold | PR-AUC | ROC-AUC | F1-Score |
|---|---|---|---|
| 0 | 0.94 | 0.93 | 0.86 |
| 1 | 0.86 | 0.87 | 0.80 |
| 2 | 0.88 | 0.89 | 0.82 |
| 3 | 0.90 | 0.91 | 0.84 |
| 4 | 0.94 | 0.93 | 0.86 |
| 5 | 0.90 | 0.92 | 0.87 |
| 6 | 0.88 | 0.89 | 0.84 |
| 7 | 0.96 | 0.96 | 0.90 |
| 8 | 0.90 | 0.92 | 0.86 |
| 9 | 0.90 | 0.90 | 0.82 |
| Average | 0.906 | 0.912 | 0.847 |
| Std | 0.031 | 0.026 | 0.029 |
Publisher’s Note: MDPI stays neutral with regard to jurisdictional claims in published maps and institutional affiliations. |
© 2022 by the authors. Licensee MDPI, Basel, Switzerland. This article is an open access article distributed under the terms and conditions of the Creative Commons Attribution (CC BY) license (https://creativecommons.org/licenses/by/4.0/).
Share and Cite
Furtado, A.; da Purificação, C.A.C.; Badaró, R.; Nascimento, E.G.S. A Light Deep Learning Algorithm for CT Diagnosis of COVID-19 Pneumonia. Diagnostics 2022, 12, 1527. https://doi.org/10.3390/diagnostics12071527
Furtado A, da Purificação CAC, Badaró R, Nascimento EGS. A Light Deep Learning Algorithm for CT Diagnosis of COVID-19 Pneumonia. Diagnostics. 2022; 12(7):1527. https://doi.org/10.3390/diagnostics12071527
Chicago/Turabian StyleFurtado, Adhvan, Carlos Alberto Campos da Purificação, Roberto Badaró, and Erick Giovani Sperandio Nascimento. 2022. "A Light Deep Learning Algorithm for CT Diagnosis of COVID-19 Pneumonia" Diagnostics 12, no. 7: 1527. https://doi.org/10.3390/diagnostics12071527
APA StyleFurtado, A., da Purificação, C. A. C., Badaró, R., & Nascimento, E. G. S. (2022). A Light Deep Learning Algorithm for CT Diagnosis of COVID-19 Pneumonia. Diagnostics, 12(7), 1527. https://doi.org/10.3390/diagnostics12071527

