Corneal Biomechanics and Other Factors Associated with Postoperative Astigmatism after Cataract Surgery
Abstract
1. Introduction
2. Patients and Methods
2.1. Study Design and Patients
2.2. Scheduled Visits and Ophthalmological Examinations
2.3. Measurement of Corneal Hysteresis and Corneal Resistance Factor
2.4. Cataract Surgery
2.5. Statistical Analysis
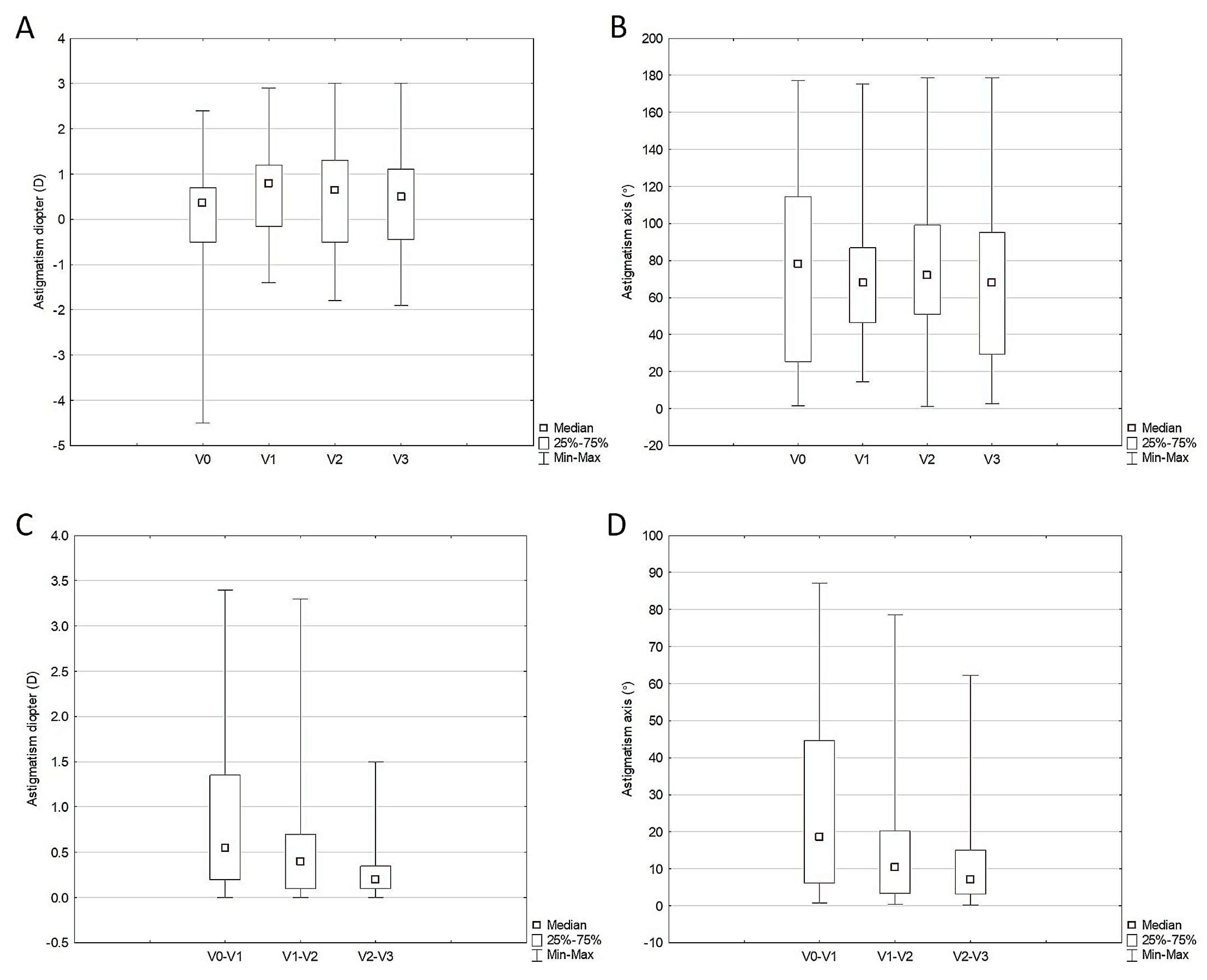
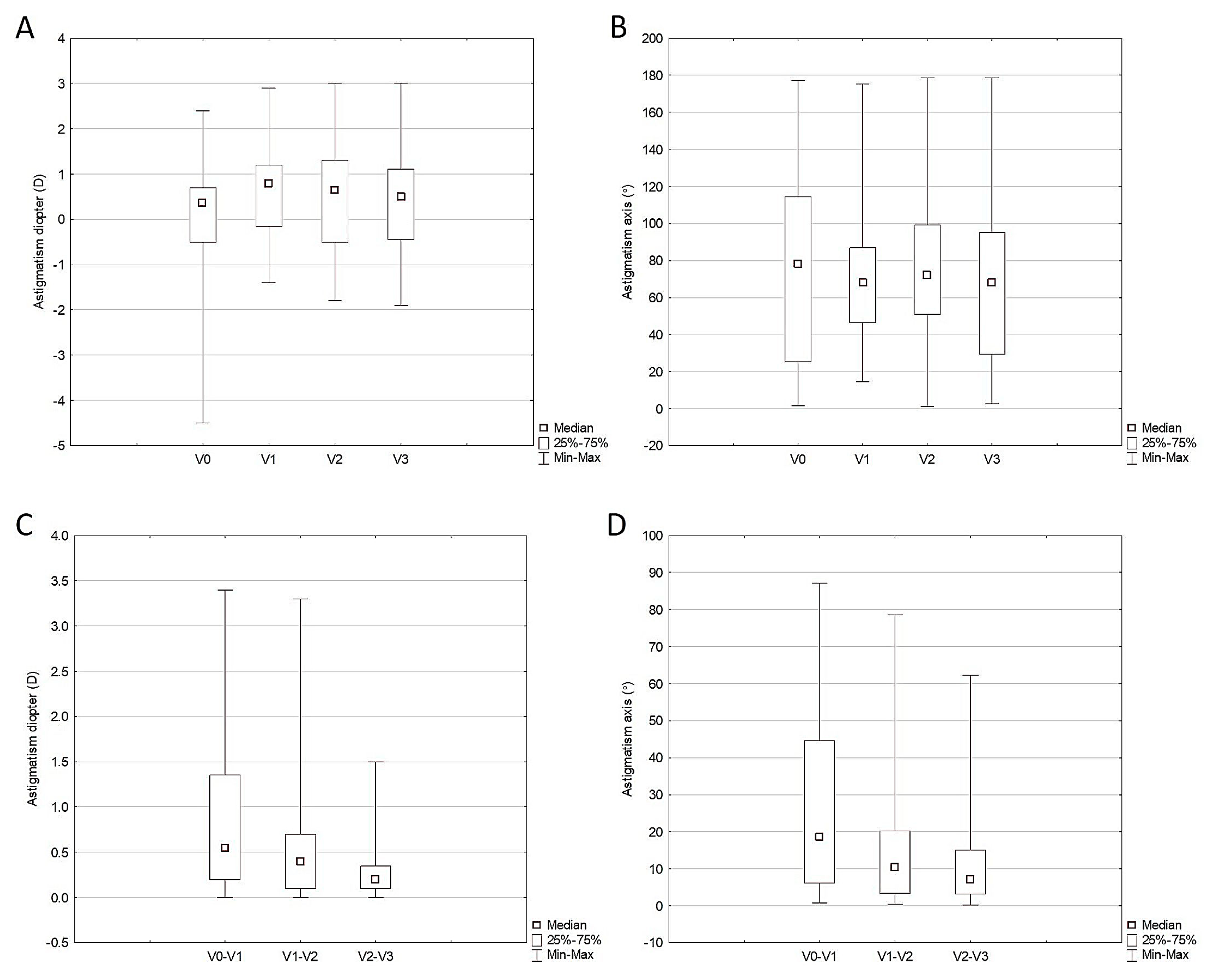
3. Results
4. Discussion
5. Conclusions
Author Contributions
Funding
Institutional Review Board Statement
Informed Consent Statement
Data Availability Statement
Conflicts of Interest
References
- Liang, J.L.; Xing, X.L.; Yang, X.T.; Jiang, Y.F.; Zhang, H. Clinical comparison analysis in surgically induced astigmatism of the total, anterior and posterior cornea after 2.2-mm versus 3.0-mm clear corneal incision cataract surgery. Zhonghua Yan Ke Za Zhi 2019, 55, 495–501. [Google Scholar] [CrossRef] [PubMed]
- Pattanayak, S.; Mathur, S.; Nanda, A.K.; Subudhi, B.N.R. Postoperative astigmatic considerations in manual small-incision cataract surgery—A review. Indian J. Ophthalmol. 2022, 70, 3785–3790. [Google Scholar] [CrossRef] [PubMed]
- Sonmez, S.; Karaca, C. The effect of tunnel length and position on postoperative corneal astigmatism: An optical coherence tomographic study. Eur. J. Ophthalmol. 2020, 30, 104–111. [Google Scholar] [CrossRef] [PubMed]
- Hashemi, H.; Khabazkhoob, M.; Soroush, S.; Shariati, R.; Miraftab, M.; Yekta, A. The location of incision in cataract surgery and its impact on induced astigmatism. Curr. Opin. Ophthalmol. 2016, 27, 58–64. [Google Scholar] [CrossRef] [PubMed]
- Barequet, I.S.; Yu, E.; Vitale, S.; Cassard, S.; Azar, D.T.; Stark, W.J. Astigmatism outcomes of horizontal temporal versus nasal clear corneal incision cataract surgery. J. Cataract Refract. Surg. 2004, 30, 418–423. [Google Scholar] [CrossRef] [PubMed]
- Borasio, E.; Mehta, J.S.; Maurino, V. Surgically induced astigmatism after phacoemulsification in eyes with mild to moderate corneal astigmatism: Temporal versus on-axis clear corneal incisions. J. Cataract Refract. Surg. 2006, 32, 565–572. [Google Scholar] [CrossRef] [PubMed]
- Altan-Yaycioglu, R.; Akova, Y.A.; Akca, S.; Gur, S.; Oktem, C. Effect on astigmatism of the location of clear corneal incision in phacoemulsification of cataract. J. Refract. Surg. 2007, 23, 515–518. [Google Scholar] [CrossRef] [PubMed]
- Roman, S.; Givort, G.; Ullern, M. Choice of the site of incision for cataract surgery without suture according to preoperative astigmatism. J. Fr. Ophtalmol. 1997, 20, 673–679. [Google Scholar]
- Archana, S.; Khurana, A.K.; Chawla, U. A comparative study of sclero-corneal and clear corneal tunnel incision in manual small-incision cataract surgery. Nepal. J. Ophthalmol. 2011, 3, 19–22. [Google Scholar] [CrossRef]
- Taban, M.; Rao, B.; Reznik, J.; Zhang, J.; Chen, Z.; McDonnell, P.J. Dynamic morphology of sutureless cataract wounds—Effect of incision angle and location. Surv. Ophthalmol. 2004, 49 (Suppl. S2), S62–S72. [Google Scholar] [CrossRef]
- Simşek, S.; Yaşar, T.; Demirok, A.; Cinal, A.; Yilmaz, O.F. Effect of superior and temporal clear corneal incisions on astigmatism after sutureless phacoemulsification. J. Cataract Refract. Surg. 1998, 24, 515–518. [Google Scholar] [CrossRef] [PubMed]
- Ernest, P.; Hill, W.; Potvin, R. Minimizing surgically induced astigmatism at the time of cataract surgery using a square posterior limbal incision. J. Ophthalmol. 2011, 2011, 243170. [Google Scholar] [CrossRef] [PubMed]
- Glass, D.H.; Roberts, C.J.; Litsky, A.S.; Weber, P.A. A viscoelastic biomechanical model of the cornea describing the effect of viscosity and elasticity on hysteresis. Investig. Ophthalmol. Vis. Sci. 2008, 49, 3919–3926. [Google Scholar] [CrossRef] [PubMed]
- Kotecha, A. What biomechanical properties of the cornea are relevant for the clinician? Surv. Ophthalmol. 2007, 52 (Suppl. S2), S109–S114. [Google Scholar] [CrossRef] [PubMed]
- Chong, J.; Dupps, W.J., Jr. Corneal biomechanics: Measurement and structural correlations. Exp. Eye. Res. 2021, 205, 108508. [Google Scholar] [CrossRef] [PubMed]
- Chylack, L.T., Jr.; Wolfe, J.K.; Singer, D.M.; Leske, M.C.; Bullimore, M.A.; Bailey, I.L.; Friend, J.; McCarthy, D.; Wu, S.Y. The Lens Opacities Classification System III. Arch. Ophthalmol. 1993, 111, 831–836. [Google Scholar] [CrossRef] [PubMed]
- Koch, D.D.; Wang, L. Surgically induced astigmatism. J. Refract. Surg. 2015, 31, 565. [Google Scholar] [CrossRef] [PubMed]
- Luce, D.A. Determining in vivo biomechanical properties of the cornea with an ocular response analyzer. J. Cataract. Refract. Surg. 2005, 31, 156–162. [Google Scholar] [CrossRef] [PubMed]
- Kaushik, S.; Pandav, S.S. Ocular response analyzer. J. Curr. Glaucoma Pract. 2012, 6, 17–19. [Google Scholar] [CrossRef]
- Denoyer, A.; Ricaud, X.; Van Went, C.; Labbé, A.; Baudouin, C. Influence of corneal biomechanical properties on surgically induced astigmatism in cataract surgery. J. Cataract Refract. Surg. 2013, 39, 1204–1210. [Google Scholar] [CrossRef]
- Zhang, Z.; Yu, H.; Dong, H.; Wang, L.; Jia, Y.D.; Zhang, S.H. Corneal biomechanical properties changes after coaxial 2.2-mm microincision and standard 3.0-mm phacoemulsification. Int. J. Ophthalmol. 2016, 9, 230–234. [Google Scholar] [CrossRef]
- Pniakowska, Z.; Jurowski, P. Influence of preoperative astigmatism on corneal biomechanics and accurate intraocular pressure measurement after micro-incision phacoemulsification. Int. J. Ophthalmol. 2019, 12, 587–591. [Google Scholar] [CrossRef]
- Yang, J.; Wang, X.; Zhang, H.; Pang, Y.; Wei, R.H. Clinical evaluation of surgery-induced astigmatism in cataract surgery using 2.2 mm or 1.8 mm clear corneal micro-incisions. Int. J. Ophthalmol. 2017, 10, 68–71. [Google Scholar] [CrossRef] [PubMed]
- Giansanti, F.; Rapizzi, E.; Virgili, G.; Mencucci, R.; Bini, A.; Vannozzi, L.; Menchini, U. Clear corneal incision of 2.75 mm for cataract surgery induces little change of astigmatism in eyes with low preoperative corneal cylinder. Eur. J. Ophthalmol. 2006, 16, 385–393. [Google Scholar] [CrossRef]
- Karmiris, E.; Chalkiadaki, E.; Papakonstantinou, E.; Georgalas, I. Long-term clinical outcomes obtained with bilateral implantation of a multifocal intraocular lens through two different-sized corneal incisions. Saudi J. Ophthalmol. 2022, 36, 207–212. [Google Scholar] [CrossRef] [PubMed]
- Guarnieri, A.; Moreno-Montañés, J.; Sabater, A.; Gosende-Chico, I.; Bonet-Farriol, E. Final incision size after cataract surgery with toric intraocular lens implantation using 2 techniques. J. Cataract Refract. Surg. 2013, 39, 1675–1681. [Google Scholar] [CrossRef] [PubMed]
- Alió, J.L.; Agdeppa, M.C.; Rodríguez-Prats, J.L.; Amparo, F.; Piñero, D.P. Factors influencing corneal biomechanical changes after microincision cataract surgery and standard coaxial phacoemulsification. J. Cataract. Refract. Surg. 2010, 36, 890–897. [Google Scholar] [CrossRef]
- Sheoran, K.; Arya, S.K.; Bansal, R.K.; Jinagal, J.; Jha, U.P. Surgically induced astigmatism and posterior corneal curvature changes following phacoemulsification. Indian J. Ophthalmol. 2022, 70, 406–412. [Google Scholar] [CrossRef]
- Ueno, Y.; Hiraoka, T.; Miyazaki, M.; Ito, M.; Oshika, T. Corneal thickness profile and posterior corneal astigmatism in normal corneas. Ophthalmology 2015, 122, 1072–1078. [Google Scholar] [CrossRef]
- Ueno, Y.; Hiraoka, T.; Beheregaray, S.; Miyazaki, M.; Ito, M.; Oshika, T. Age-related changes in anterior, posterior, and total corneal astigmatism. J. Refract. Surg. 2014, 30, 192–197. [Google Scholar] [CrossRef]
- Zhu, L.; Yuan, Z.; Liang, S.; Zhao, D.; Zhou, C. Relationship between corneal astigmatism and the distribution of corneal thickness along different principal meridians. Res. Square, 2019; preprint. [Google Scholar] [CrossRef]
- Nikose, A.S.; Saha, D.; Laddha, P.M.; Patil, M. Surgically induced astigmatism after phacoemulsification by temporal clear corneal and superior clear corneal approach: A comparison. Clin. Ophthalmol. 2018, 12, 65–70. [Google Scholar] [CrossRef] [PubMed]
- Hayashi, K.; Sato, T.; Yoshida, M.; Yoshimura, K. Corneal shape changes of the total and posterior cornea after temporal versus nasal clear corneal incision cataract surgery. Br. J. Ophthalmol. 2019, 103, 181–185. [Google Scholar] [CrossRef] [PubMed]


| Characteristics | Patients/Eyes (n = 40) |
|---|---|
| CH (mmHg) * | 8.86 ± 2.44 |
| CRF (mmHg) * | 10.04 ± 2.32 |
| BCVA (decimal) * | 0.29 ± 0.18 |
| Refraction (SE) ** | −0.75 (−6.0, 3.5) |
| Astigmatism (D) ** | 0.4 (−4.5, 2.4) |
| Axis (°) ** | 78.2 (1.6, 177.3) |
| Characteristics | V0 | V1 | V2 | V3 | p |
|---|---|---|---|---|---|
| CH (mmHg) * | 8.86 ± 2.44 | 7.73 ± 2.91 | 8.26 ± 1.73 | 8.30 ± 2.04 | 0.109 a |
| CRF (mmHg) * | 10.04 ± 2.32 | 10.49 ± 3.22 | 9.31 ± 1.87 | 9.03 ± 1.99 | 0.002 a |
| BCVA (decimal) * | 0.29 ± 0.18 | 0.49 ± 0.19 | 0.83 ± 0.12 | 0.92 ± 0.09 | <0.001 a |
| Refraction (SE) ** | −0.75 (−6.0, 3.5) | −0.37 (−1.5, 1.0) | −0.5 (−1.0, 0.5) | −0.2 (−0.75, 0.75) | 0.033 b |
| Astigmatism (D) ** | 0.4 (−4.5, 2.4) | 0.8 (−1.4, 2.9) | 0.7 (−1.8, 3.0) | 0.5 (−1.9, 3.0) | 0.009 b |
| Axis (°) ** | 78.2 (1.6, 177.3) | 67.9 (1.4, 175.2) | 72.2 (1.3, 178.7) | 68.0 (2.6, 178.8) | 0.861 b |
| SIA (D) ** | - | 0.79 (0.11, 4.24) | 0.69 (0.1, 3.76) | 0.63 (0.1, 4.06) | 0.741 b |
| SIA (°) ** | - | 132.0 (3, 177) | 125.5 (3, 174) | 113.5 (1.7, 177) | 0.312 b |
| Corneal Hysteresis | Corneal Resistance Factor | ||||||||
|---|---|---|---|---|---|---|---|---|---|
| V0 | V1 | V2 | V3 | V0 | V1 | V2 | V3 | ||
| Corneal hysteresis | V0 | 1 | 0.046 | 0.348 * | 0.498 * | 0.889 ** | 0.217 | 0.441 * | 0.595 ** |
| V1 | 1 | 0.247 | 0.177 | 0.103 | 0.499 * | 0.345 * | 0.239 | ||
| V2 | 1 | 0.560 ** | 0.451 * | 0.223 | 0.809 ** | 0.643 ** | |||
| V3 | 1 | 0.445 * | 0.175 | 0.506 ** | 0.864 ** | ||||
| Corneal resistance factor | V0 | 1 | 0.349 * | 0.620 ** | 0.631 ** | ||||
| V1 | 1 | 0.399 * | 0.318 * | ||||||
| V2 | 1 | 0.708 ** | |||||||
| V3 | 1 | ||||||||
| Diopter of Corneal Astigmatism at V3 | ||||
|---|---|---|---|---|
| Spearman R | t (N-2) | p | ||
| Diopter of corneal astigmatism | V0 | 0.736 | 6.7 | <0.001 |
| V1 | 0.639 | 5.133 | <0.001 | |
| V2 | 0.894 | 12.267 | <0.001 | |
| Amplitude of Corneal Astigmatism Change between V0 and V3 | ||||
|---|---|---|---|---|
| Spearman R | t (N-2) | p | ||
| Amplitude of corneal astigmatism changes | V0–V1 | 0.525 | 3.803 | <0.001 |
| V1–V2 | 0.203 | 1.276 | 0.209 | |
| V2–V3 | −0.062 | −0.381 | 0.705 | |
| Variable | Estimate | Standard Error | F | p | Adjusted R2 | R2 |
|---|---|---|---|---|---|---|
| CRF—V1 | −0.098 | 1.028 | 3.69 | 0.0623 | 0.0645 | 0.898 |
| Astigmatism—V0 | 0.504 | 0.759 | 38.55 | 0.0000 | 0.4905 | |
| Astigmatism—V1 | 0.497 | 0.764 | 37.49 | 0.0000 | 0.4834 | |
| Astigmatism—V2 | 0.898 | 0.345 | 333.07 | 0.0000 | 0.8949 |
Disclaimer/Publisher’s Note: The statements, opinions and data contained in all publications are solely those of the individual author(s) and contributor(s) and not of MDPI and/or the editor(s). MDPI and/or the editor(s) disclaim responsibility for any injury to people or property resulting from any ideas, methods, instructions or products referred to in the content. |
© 2024 by the authors. Licensee MDPI, Basel, Switzerland. This article is an open access article distributed under the terms and conditions of the Creative Commons Attribution (CC BY) license (https://creativecommons.org/licenses/by/4.0/).
Share and Cite
Čulina, K.; Tomić, M.; Bulum, T.; Medić, A.; Šoša, I.; Ivanišević, K.; Jukić, T. Corneal Biomechanics and Other Factors Associated with Postoperative Astigmatism after Cataract Surgery. Life 2024, 14, 655. https://doi.org/10.3390/life14060655
Čulina K, Tomić M, Bulum T, Medić A, Šoša I, Ivanišević K, Jukić T. Corneal Biomechanics and Other Factors Associated with Postoperative Astigmatism after Cataract Surgery. Life. 2024; 14(6):655. https://doi.org/10.3390/life14060655
Chicago/Turabian StyleČulina, Kata, Martina Tomić, Tomislav Bulum, Aleksej Medić, Ivan Šoša, Kristina Ivanišević, and Tomislav Jukić. 2024. "Corneal Biomechanics and Other Factors Associated with Postoperative Astigmatism after Cataract Surgery" Life 14, no. 6: 655. https://doi.org/10.3390/life14060655
APA StyleČulina, K., Tomić, M., Bulum, T., Medić, A., Šoša, I., Ivanišević, K., & Jukić, T. (2024). Corneal Biomechanics and Other Factors Associated with Postoperative Astigmatism after Cataract Surgery. Life, 14(6), 655. https://doi.org/10.3390/life14060655

