Effect of Turbulent Wind Conditions on the Dynamic Characteristics of a Herringbone Planetary Gear System of a Wind Turbine
Abstract
1. Introduction
2. Modeling and Theories
2.1. Research Framework and Assumption
2.2. A Dynamic Model of the Gear System
2.2.1. Motion Equations
2.2.2. Meshing Stiffness
2.2.3. Time-Varying Meshing Transmission Errors
2.3. Wind Velocity Model
2.3.1. Turbulent Effect
2.3.2. Wind Shear Effect
2.3.3. Tower Shadow Effect
2.3.4. Wind Velocity
2.4. Aerodynamic Load Calculation
3. Results and Analysis
3.1. Load-Sharing Characteristics
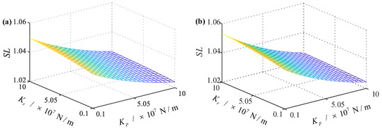
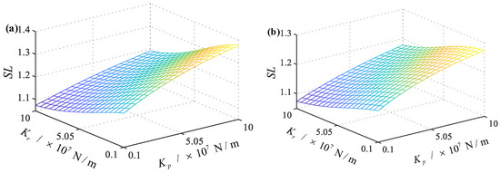
3.1.1. Effect of the Support Stiffness
3.1.2. Contribution Rate Analysis
3.2. Dynamic Characteristics
3.2.1. Meshing Force
3.2.2. Displacement
4. Discussion
5. Conclusions
- (1)
- The load-sharing coefficients of the left and right sides are similarly sensitive to the support stiffness, and the difference between the two is small. The support stiffness of the planetary gear can alter the effect of the support stiffness of the ring gear and sun gear on the load-sharing coefficient and vice versa. The interaction between the three stiffnesses should be considered when adjusting the support stiffness to control the load-sharing characteristics;
- (2)
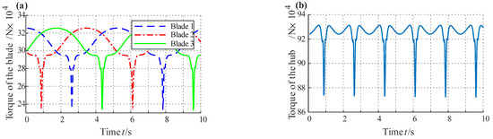
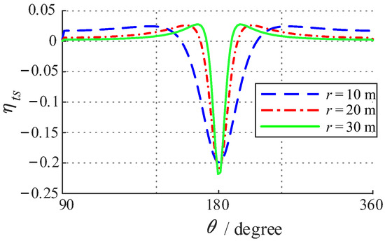
- The turbulent effect is the most critical cause of the time-varying load-sharing characteristic variation, followed by the wind shear effect and tower shadow effect. Although when the blades enter the centre region of the tower shadow, the influence of the wind shear effect and tower shadow effect increased; they still do not exceed the turbulent effect;
- (3)
- The meshing forces acting on the external meshing line are obviously greater than those acting on the internal meshing line under turbulent wind conditions. In the design of the herringbone gearbox, the external meshing gear pair should be specially treated to deal with the problem of meshing impact enhancement under dynamic loads.
Author Contributions
Funding
Data Availability Statements
Conflicts of Interest
References
- Kahraman, A. Load sharing characteristics of planetary transmissions. Mech. Mach. Theory 1994, 29, 1151–1165. [Google Scholar] [CrossRef]
- Kahraman, A.; Vijayakar, S. Effect of internal gear flexibility on the quasi-static behavior of a planetary gear set. J. Mech. Des. 2001, 123, 408–415. [Google Scholar] [CrossRef]
- Yang, J.; Dai, L. Survey of dynamics of planetary gear trains. Int. J. Mater. Struct. Integr. 2008, 1, 302–322. [Google Scholar] [CrossRef]
- Crowther, A.R.; Singh, R.; Zhang, N.; Chapman, C. Impulsive response of an automatic transmission system with multiple clearances: Formulation, simulation and experiment. J. Sound. Vib. 2007, 306, 444–466. [Google Scholar] [CrossRef]
- Ligata, H.; Kahraman, A.; Singh, A. An experimental study of the influence of manufacturing errors on the planetary gear stresses and planet load sharing. J. Mech. Des. 2008, 130, 041701. [Google Scholar] [CrossRef]
- Guo, Y.; Keller, J.; Parker, R.G. Nonlinear dynamics and stability of wind turbine planetary gear sets under gravity effects. Eur. J. Mech. A Solid 2014, 47, 45–57. [Google Scholar] [CrossRef]
- Zhao, W.Q.; Liu, J.; Zhao, W.H.; Zheng, Y. An investigation on vibration features of a gear-bearing system involved pitting faults considering effect of eccentricity and friction. Eng. Fail. Anal. 2022, 131, 105837. [Google Scholar] [CrossRef]
- Xiang, L.; An, C.; Hu, A. Nonlinear dynamic characteristics of wind turbine gear system caused by tooth crack fault. Int. J. Bifurc. Chaos 2021, 31, 2150148. [Google Scholar] [CrossRef]
- Zhang, X.; Zhong, J.; Li, W.; Bocian, M. Nonlinear dynamic analysis of high-speed gear pair with wear fault and tooth contact temperature for a wind turbine gearbox. Mech. Mach. Theory 2022, 173, 104840. [Google Scholar] [CrossRef]
- Zhao, Y.; Ahmat, M.; Bari, K. Nonlinear dynamics modeling and analysis of transmission error of wind turbine planetary gear system. Proc. Inst. Mech. Eng. Part K J. Multi-Body Dyn. 2014, 228, 438–448. [Google Scholar] [CrossRef]
- Mo, S.; Zhang, T.; Jin, G.-G.; Cao, X.-L.; Gao, H.-J. Analytical investigation on load sharing characteristics of herringbone planetary gear train with flexible support and floating sun gear. Mech. Mach. Theory 2020, 144, 103670. [Google Scholar]
- Mo, S.; Zhang, T.; Jin, G.G.; Feng, Z.Y.; Gong, J.B.; Zhu, S.P. Influence mechanism of multi-coupling error on the load sharing characteristics of herring-bone gear planetary transmission system. Proc. Inst. Mech. Eng. Part K J. Multi Body Dyn. 2019, 233, 792–816. [Google Scholar]
- Mo, S.; Zhang, T.; Jin, G.G.; Feng, Z.Y.; Gong, J.B.; Zhu, S.P. Dynamic characteristics and load sharing of herringbone wind power gearbox. Math. Probl. Eng. 2018, 2018, 7251645. [Google Scholar] [CrossRef]
- Wang, C.L.; Wei, J.; Wu, Z.H.; Lu, L.; Gao, H. Load sharing performance of herringbone planetary gear system with flexible pin. Int. J. Precis. Eng. Manuf. 2019, 20, 2155–2169. [Google Scholar] [CrossRef]
- Hou, S.; Wei, J.; Zhang, A.; Lim, T.C.; Zhang, C. Study of dynamic model of helical/herringbone planetary gear system with friction excita-tion. J. Comput. Nonlinear Dyn. 2018, 13, 121007. [Google Scholar] [CrossRef]
- Wang, S.; Zhu, R. Research on dynamics and failure mechanism of herringbone planetary gearbox in wind turbine under gear surface pitting. Eng. Fail. Anal. 2023, 146, 107130. [Google Scholar] [CrossRef]
- Xu, X.; Ge, H.; Wu, H. Research on nonlinear characteristics of herringbone planetary gear transmission system con-sidering double-sided meshing impact. Nonlinear Dyn. 2024, 112, 3195–3215. [Google Scholar] [CrossRef]
- Wang, C. Three-dimensional modification for vibration reduction and uniform load distribution focused on unique transmission characteristics of herringbone gear pairs. Mech. Syst. Signal Process. 2024, 210, 111153. [Google Scholar] [CrossRef]
- Wu, L.; Feng, W.; Yang, L.; Yang, H.; Yang, S.; Liu, B. Dynamic modeling and vibration analysis of herringbone gear system with uncertain parameters. Arch. Appl. Mech. 2024, 94, 221–237. [Google Scholar] [CrossRef]
- Chen, R.; Qin, D.; Yi, Y.; Liu, C.; Shi, J. Dynamic characteristics of electromechanical coupling of wind turbine drive system under multi-source excitation. Wind Energy 2022, 25, 391–418. [Google Scholar] [CrossRef]
- Wang, S.; Nejad, A.; Bachynski, E.E.; Moan, T. A comparative study on the dynamic behaviour of 10 MW conventional and com-pact gearboxes for offshore wind turbines. Wind Energy 2021, 24, 770–789. [Google Scholar] [CrossRef]
- Tan, J.; Zhu, C.; Song, C.; Xu, X.; Wang, Z. Investigation of dynamic characteristics of planetary gear stage in wind turbine considering voltage dip. J. Mech. Sci. Technol. 2019, 33, 4139–4154. [Google Scholar] [CrossRef]
- Tan, J.; Zhu, C.; Song, C.; Li, Y.; Xu, X. Dynamic modeling and analysis of wind turbine drivetrain considering platform motion. Mech. Mach. Theory 2019, 140, 781–808. [Google Scholar] [CrossRef]
- Abo-Khalil, A.G.; Alyami, S.; Sayed, K.; Alhejji, A. Dynamic modeling of wind turbines based on estimated wind speed under turbulent conditions. Energies 2019, 12, 1907. [Google Scholar] [CrossRef]
- Wang, S.; Moan, T.; Jiang, Z. Influence of variability and uncertainty of wind and waves on fatigue damage of a floating wind turbine drivetrain. Renew. Energy 2022, 181, 870–897. [Google Scholar] [CrossRef]
- Porté-Agel, F.; Bastankhah, M.; Shamsoddin, S. Wind-turbine and wind-farm flows: A review. Bound. Layer Meteorol. 2020, 174, 1–59. [Google Scholar] [CrossRef] [PubMed]
- Doagou-Rad, S.; Mishnaevsky, L., Jr.; Bech, J.I. Leading edge erosion of wind turbine blades: Multiaxial critical plane fatigue model of coating degradation under random liquid impacts. Wind Energy 2020, 23, 1752–1766. [Google Scholar] [CrossRef]
- Da Silva, L.S.P.; de Oliveira, M.; Cazzolato, B.; Sergiienko, N.; Amaral, G.; Ding, B. Statistical linearisation of a nonlinear floating offshore wind turbine under random waves and winds. Ocean Eng. 2022, 261, 112033. [Google Scholar] [CrossRef]
- Bangga, G.; Lutz, T. Aerodynamic modeling of wind turbine loads exposed to turbulent inflow and validation with experi-mental data. Energy 2021, 223, 120076. [Google Scholar] [CrossRef]
- Bangga, G.; Dessoky, A.; Wu, Z.; Rogowski, K.; Hansen, M.O.L. Accuracy and consistency of CFD and engineering models for simulating vertical axis wind turbine loads. Energy 2020, 206, 118087. [Google Scholar] [CrossRef]
- Kaimal, J.C.; Wyngaard, J.C.J.; Izumi, Y.; Coté, O.R. Spectral characteristics of surface-layer turbulence. Q. J. R. Meteorol. Soc. 1972, 98, 563–589. [Google Scholar]
- Weber, R.O. Remarks on the definition and estimation of friction velocity. Bound. Layer Meteorol. 1999, 93, 197–209. [Google Scholar] [CrossRef]
- Cheynet, E.; Jakobsen, J.B.; Obhrai, C. Spectral characteristics of surface-layer turbulence in the North Sea. Energy Procedia 2017, 137, 414–427. [Google Scholar] [CrossRef]
- Wang, J.; Cheynet, E.; Snæbjörnsson, J.Þ.; Jakobsen, J.B. Coupled aerodynamic and hydrodynamic response of a long span bridge suspended from floating towers. J. Wind. Eng. Ind. Aerodyn. 2018, 177, 19–31. [Google Scholar] [CrossRef]
- Shinozuka, M.; Deodatis, G. Simulation of stochastic processes by spectral representation. Appl. Mech. Rev. 1991, 44, 191–204. [Google Scholar] [CrossRef]
- IEC 61400-1-Ed. 3.0; Wind Turbines-Part 1: Design Requirements. International Electrotechnical Commission: Geneva, Switzerland, 2005.
- Wen, B.; Wei, S.; Wei, K. Influence of wind shear and tower shadow on the power output of wind tubine. J. Mech. Eng. 2018, 54, 124–132. [Google Scholar] [CrossRef]
- Sørensen, P.; Hansen, A.D.; Rosas, P.A.C. Wind models for simulation of power fluctuations from wind farms. J. Wind Eng. Ind. Aerodyn. 2002, 90, 1381–1402. [Google Scholar] [CrossRef]
- Gasch, R.; Jochen, T. Wind Power Plants: Fundamentals, Design, Construction and Operation; Springer. Science & Business Media: Berlin/Heidelberg, Germany, 2011. [Google Scholar]
- Vanhollebeke, F.; Peeters, P.; Helsen, J.; Lorenze, E.D.; Manzato, S.; Peeters, J.; Vandepitte, D.; Desmet, W. Large scale validation of a flexible multibody wind turbine gearbox model. J. Comput. Nonlinear Dynam. 2015, 10, 041006. [Google Scholar] [CrossRef]
- Zhang, A.; Wei, J.; Shi, L.; Qin, D.; Lim, T.C. Modeling and dynamic response of parallel shaft gear transmission in non-inertial system. Nonlinear Dynam. 2019, 98, 997–1017. [Google Scholar] [CrossRef]























| Name | Symbol | Value |
|---|---|---|
| Hub height | H | 83 m |
| Impeller radius | R | 38.75 m |
| Hub radius | - | 1.5 m |
| Overhang | l | 3.3 m |
| Rotational velocity of the impeller | ωp | 11 rmp |
| Airfoil series | NACA63-4 | - |
| Parameters | Unit | Sun Gear | Planetary Gear | Ring Gear | Carrier |
|---|---|---|---|---|---|
| Tooth | 22 | 41 | 104 | ||
| Modulus | mm | 16 | 16 | 16 | |
| Mass | kg | 149.6 | 517.8 | 671.3 | 275.1 |
| Helix angle | deg | 15 | 15 | 15 | |
| Meshing stiffness | N/m | 2.53 × 1010 | 3.6 × 1010 | ||
| Moment of inertial | kg·m2 | 3.7 | 43.1 | 527.6 | |
| Couling stiffness | N/m | 108 | 108 | 109 | |
| Input power | kW | 1500 | |||
| Wind Shear Coefficient | 0 | 0.1 | 0.14 | 0.17 | 0.22 | 0.32 |
|---|---|---|---|---|---|---|
| 1.2127 | 1.2133 | 1.2116 | 1.2138 | 1.2141 | 1.2143 | |
| 1.0360 | 1.0361 | 1.0362 | 1.0363 | 1.0364 | 1.0365 | |
| Amplitude / | 0.212/0.036 | 0.212/0.036 | 0.213/0.0361 | 0.214/0.0362 | 0.214/0.0363 | 0.2142/0.0364 |
| 0.6 | 0.7 | 0.8 | 1 | |
|---|---|---|---|---|
| 1.2181 | 1..2186 | 1.2234 | 1.2350 | |
| 1.0378 | 1.0378 | 1.0392 | 1.0402 | |
| Amplitude / | 0.2176/0.0378 | 0.2185/0.0378 | 0.2233/0.0391 | 0.2338/0.0401 |
Disclaimer/Publisher’s Note: The statements, opinions and data contained in all publications are solely those of the individual author(s) and contributor(s) and not of MDPI and/or the editor(s). MDPI and/or the editor(s) disclaim responsibility for any injury to people or property resulting from any ideas, methods, instructions or products referred to in the content. |
© 2024 by the authors. Licensee MDPI, Basel, Switzerland. This article is an open access article distributed under the terms and conditions of the Creative Commons Attribution (CC BY) license (https://creativecommons.org/licenses/by/4.0/).
Share and Cite
Zhao, W.-q.; Zhao, W.; Liu, J.; Yang, N. Effect of Turbulent Wind Conditions on the Dynamic Characteristics of a Herringbone Planetary Gear System of a Wind Turbine. Machines 2024, 12, 227. https://doi.org/10.3390/machines12040227
Zhao W-q, Zhao W, Liu J, Yang N. Effect of Turbulent Wind Conditions on the Dynamic Characteristics of a Herringbone Planetary Gear System of a Wind Turbine. Machines. 2024; 12(4):227. https://doi.org/10.3390/machines12040227
Chicago/Turabian StyleZhao, Wei-qiang, Wenhui Zhao, Jie Liu, and Na Yang. 2024. "Effect of Turbulent Wind Conditions on the Dynamic Characteristics of a Herringbone Planetary Gear System of a Wind Turbine" Machines 12, no. 4: 227. https://doi.org/10.3390/machines12040227
APA StyleZhao, W.-q., Zhao, W., Liu, J., & Yang, N. (2024). Effect of Turbulent Wind Conditions on the Dynamic Characteristics of a Herringbone Planetary Gear System of a Wind Turbine. Machines, 12(4), 227. https://doi.org/10.3390/machines12040227
