Abstract
Supercavitating vehicles have particular high speeds. This unique advantage is obtained by the cavity separation from water to eliminate most drag. However, this may lead to the tail-slap phenomenon and the planing force. In addition, there are large and unpredictable uncertainties in the hydrodynamics of the supercavitating vehicle. All these factors impose a big challenge to achieve satisfactory depth tracking capability. In this paper, a depth and attitude coordinated control strategy is proposed for the longitudinal dynamics in order to realize depth tracking without planing force. The timely adjustment of the attitude ensures a small vertical speed which can be far away from the threshold value that causes the planing force. By designing the cascade control structure, the depth is regulated by proportional control to generate the pitch command for the attitude loop controller. The vertical speed and the pitch angular rate are both controlled by using the linear active disturbance reject control to guarantee sufficient accuracy and robustness. The simulation results demonstrate the effectiveness and the superiority of the proposed strategy.
1. Introduction
Supercavitating vehicles (SVs) can achieve incredible underwater high speeds by using the supercavitating drag reduction technology, which has attracted a lot of attention worldwide. With the skin friction drag, the velocity of general underwater vehicles is difficult to exceed 40 m/s. Traditional methods have limited effects in drag reduction. In the condition of moving at sufficiently high speed, Bernoulli’s principle shows that the pressure of the fluid close to the underwater vehicle surface will decrease significantly and the fluid will undergo phase change from the liquid phase to the gas phase, and this process is called natural cavitation [1]. The bubbles produced by this cavitation are very small and collapse quickly. Installing a cavitator at the nose, as shown in Figure 1, a large cavity can be induced with gas artificially and separate the body from the surrounding water [2]. This hydrodynamic process wherein an underwater vehicle completely covered by one bubble is called supercavitation. The small wetted-surface area can achieve about 90% drag reduction in water and make the velocity of the supercavitating vehicle reach the 100 m/s order of magnitude [3].
Figure 1.
Schematic diagram of a supercavitating vehicles (SVs).
At the same time, the supercavitation also leads to some adverse effects to the stabilization of the SV. Different from a fully-wetted vehicle, a SV possesses low buoyancy. Therefore, the vehicle weight can only be supported by the cavitator and the fins as well as the possible planing force. Here, a planing force is generated when the vehicle afterbody contact with the cavity wall (including the top contact and the bottom contact). The planing force is strongly nonlinear and its nature is to force the body back into the cavity. Since the contacting time is very short and the planing force is quite large, the planing force may result in stable oscillations (limit cycles) or even lead to the instability. It should be noted that the fast depth change will cause a large angle of attack and vertical speed, which may lead to the body-bubble collision because of the large inertia of supercavity. A serious collision will produce a large planing force, so it is necessary to keep a small angle of attack during the process of depth tracking. In addition, there are no precise models on the cavity dynamics and the planing force, which bring about strong uncertainties [4]. All these factors impose great challenges to the control system design.
To validate the theoretical method of the supercavitating drag reduction technology, extensive experiments are carried out including the planing, cavitator shape, ventilated supercavitating technology and so on. Yen et al. studied the hydrodynamic characteristics of a cylinder planing with high-speed towing tank facility at the Davidson Laboratory and summarized the relation of lift and varying trim angle [5]. Choi et al. researched the drag coefficient of supercavitating vehicle at large Reynolds numbers and carried out experiments in a huge cavitation tunnel.The experimental results showed that the friction drag almost disappears if the supercavity covers the whole vehicle body [6]. Ishchenko et al. developed a mathematical model of a shot of supercavitating strikers and verified the model by conducting experimental investigations [7]. They provided the conditions to ensure that the striker would motion in a supercavitating state in the water. Mansour et al. studied a supercavitating flow under various nose projectile shapes by numerical and experimental method [8]. Among all the tested nose shapes, the hemispherical nose has the lowest drag coefficient value. Erfanian et al. investigated ventilated supercavity behavior in diverse flow conditions and researched the key parameters for the ventilation demand [9]. Sanabria et al. presented a high efficiency and low cost experimental method to test the mathematical models and control strategy of supercavitating vehicles in a high-speed water tunnel [10].
A lot of efforts have been carried out in the modeling and control of SVs. Kirschner et al. presented a six degrees-of-freedom (DOF) mathematical model, then investigated the trajectory stability and dynamical behaviour [11]. Kirschner also proposed a one DOF longitudinal model to analysis the basic aspects of the vehicle dynamics [12]. Dzielski et al. proposed a benchmark model, which has been widely investigated [13]. This is a two DOF model, including the cavity dynamics and the planing force. Compared with other models, it is simplified but comprehensive. Several advanced control methods based on the Dzielski model were proposed. Dzielski provided a simple linear-feedback control, which can lead to a limit cycle. Moreover, Dzielski employed feedback linearization control to eliminate the oscillatory response. Seonhong et al. extended the benchmark model to a six DOF model and presented a neural network-based adaptive control for the SV with modeling uncertainty [14]. Li et al. proposed a global approximation control method based on adaptive radial basis function (RBF) neural network for a double cavity SV [15]. Wang et al. presented an adaptive controller using RBF neural network and sliding mode controller to ensure the convergence of the trajectory tracking error under the model uncertainties and external disturbance [16]. Bui et al. presented H-infinity synthesis for SV with the actuator saturation [17]. Han et al. established a linear parameter varying time-delay model and designed a predictive controller [18]. Wang et al. combined the exactly feedback linearizing control and the linear quadratic regulator methods to realize the flexible manipulation of SV based on the self-developed supercavity model [19]. In general, for most of these advanced control methods, enough precise model of the planing force is required which is hard to achieve in practice. However, these intelligent control strategies based on neutral network are different from the traditional proportional-integral-derivative (PID) controller framework and lack of reliability assurance, limiting their industrial application. Han developed a weak model-dependent control strategy, active disturbance rejection control (ADRC) [20], which is an extension of traditional PID controller, has been widely applied in the industrial field [21,22,23]. By real-time estimation and compensation of various external disturbances and internal uncertainties, an excellent control performance can be obtained. To facilitate the ADRC implementation, Gao proposed a Linear ADRC (LADRC) with ease to tune [24].
The main reason for the difficulty of stability control of the SV is the existing of strong nonlinear planing force. Seonhong et al. controlled the cavitation number to achieve planning avoidance, however the fin immersion depth was decreasing, it had to design adding controller [25]. David et al. presented a framework for the planing avoidance, which can be improved because the effect of planing attack angle was ignored [26]. When the attack angle is too large, the vehicle is easy to collide with cavity and cause planing force due to the high inertia of cavity. Fast depth tracking may lead to the violation of this constraint because the longitudinal maneuverability has direct relation with the angle of attack. Therefore, timely adjustment of the attitude of the vehicle to ensure a smaller attack angle is a feasible means to avoid the planing force. In this paper, a depth and attitude coordinated control (DACC) strategy is proposed in order to avoid the planing force, obtain precise depth tracking and maintain a small angle of attack for the SVs, as shown in Figure 2. The LADRC is employed in a unique cascade control structure, and the depth tracking without the planing force can be achieved. Extensive simulation results are provided to demonstrate the effectiveness and the superiority of the proposed strategy.
Figure 2.
The schematic diagram of the SV depth tracking without planing force.
The remainders of the paper are organized as follows. In the section of “Supercavitating vehicle model”, the dynamic model for the supercavitating vehicle and problem formulation are presented. The control strategy is provided in section “Cascade controller design”. Section “Simulation results and analysis” offered sufficient numerical examples to validate the effectiveness of the proposed method. The concluding remarks are given in section “Conclusion”.
2. Supercavitating Vehicle Model
Control-oriented benchmark model of the supercavitating vehicle is adopted in this paper. According to [10], the mathematical model of supercavitating vehicle is given by
where
Here, z is the depth, is the pitch angle, w is the vertical speed, and q is the pitch rate. The two control inputs are , the elevator, and , the cavitator, respectively. The planing force can be represented as
Here, V is the vehicle speed, R is the supercavitating body radius. The immersion depth and the immersion angle are represented as
where is the cavity radius, and is its contraction rate at the distance L from the cavitator. It can be seen that the planing force is only the function of vertical speed. Unlike other underwater vehicles, there lacks of accurate model for the supercavitating vehicle due to the insufficient knowledge about the mechanism of supercavitation. The main reason behind this problem is that the dynamics of the vehicle and the cavity are severely coupled and the cavity cannot be explicitly described. Therefore, several experience formulae are used. Two constants are defined as
where is the cavitation number, and is the cavitator radius. and are given as
The angle of attack is given as
Other coefficients in (2) are given in Appendix A.
3. Cascade Controller Design
The supercavitating vehicle loses most buoyancy because of its separation from water. Due to the gravity, the vehicle will sink and collide with the cavity wall, resulting in the planing force. The planing force is a unique nonlinear force of the supercavitating vehicle compared with the general underwater vehicle, and it is the main factor affecting the stability of the supercavitating vehicle. In the benchmark model, the planing force is a function of w, which is shown in Figure 3. It can be seen that the planing force has obvious dead-zone nonlinear characteristics. In order to reach a specified depth without the planing force, the supercavitating vehicle should maintain the vertical speed within the dead zone. According to (10), the attack angle is expected to be small to avoid the planing force. To be specific, or . Only by this way, it could obtain an efficient depth tracking.
Figure 3.
Planing force term versus the vertical speed w.
Here, a cascade control structure is adopted to coordinate the depth and the attitude requirements. The block diagram of the proposed control strategy is shown in Figure 4. wherein is the depth command, is the smoothed depth command by using a Tracking-Differentiator (TD), is the vertical speed command, is the pitch rate command, and are the decoupled virtual control inputs.
Figure 4.
Block diagram of the depth and attitude coordinated control (DACC).
3.1. Outer-Loop Controller
To avoid a sudden change in the depth command such that the large angle of attack cannot be triggered, a Traking-Differentiator is used to smooth the depth command. Consider the linear TD algorithm as [27]
where r determines the tracking speediness. Through (11), and can be achieved.
In fact, the depth tracking for a varying command must lead to a nonzero vertical speed. However, large w may trigger the planning force. In the depth loop, therefore, the vertical speed command is constantly specified at 0 to reduce the possibility of contact between the body and the bubble. According to (1) and (2), the pitch command can be given as
3.2. Inner-Loop Controller
The pitch rate command can be designed as
For the supercavitating vehicle, the vertical speed and the pitch rate have the following coupling dynamics
Let are the virtual control inputs
Taking the vertical speed control as an example for brevity, the control design for the pitch rate is similar. The coupling terms and the nonlinear remaining term are regarded as the total disturbance as
and the vertical speed dynamics becomes
Then, a linear extended state observer (LESO) is used to estimate the total disturbance in real time [28]. For the vertical speed control, consider as an extended state, the extended state form of system (17) is
and the observer can be designed as
where are the estimations of the vertical speed and the total disturbance, respectively. The parameters are the observer gain.
The characteristic polynomial of (19) is , (19) can be Hurwitz by adjusting the parameters reasonably. Gao [24] presented a -parameterization method, which makes be functions of . Let
From (20), we obtain , . Here, is the observer bandwidth, which determines the tracking speed of the total disturbance.
Finally, according to the output of the LESO, the linear error control law can be designed as
Assumption 1.
The reference , and their derivatives satisfy
where is a positive constant.
Assumption 2.
The disturbance , are differential and satisfy
where , , , are constants.
Theorem 1.
Under Assumptions 1 and 2, the LADRC-based inner loop system with LESO is bounded if holds, the estimation error and the output error satisfy
where includes both estimation error and output error, represents the standard Euclidean norm, and are the maximum and minimum eigenvalues of a positive definite matrix . When
Proof of Theorem 1.
The inner loop dynamics is
Denote output error
and estimation error
where . Similarly,
where , . , are the estimations of the pitch rate and the total disturbance , respectively. The observer estimation error equation is
and the linear error control law is designed as
According (26), combining (27), (30) and (31), we can get
According (28), similarly, it obtains
Let , then
In a similar way,
Let , then
Since is Hurwitz, there exists a positive definite matrix such that . Considering Assumptions 1 and 2, the derivative of total disturbance satisfies
Choose Lyapunov function , and taking its time derivative along system (37) yields
Obviously, must be satisfied to guarantee the system stability. According to , then
Let , then . Combining (40) and (41), we can obtain
Considering , there is
Applying Gronwall-Bellman inequality to (43) and integrate, then
Calculating (44)
Denote , , and (45) is transformed into
Then it concludes that
When , , then
□
Remark 1.
Under Assumptions 1 and 2, the LADRC can deal with disturbance which the derivative is bounded or Lipchitz. The proof of Theorem 1 references the [29,30,31,32].
4. Simulation Results and Analysis
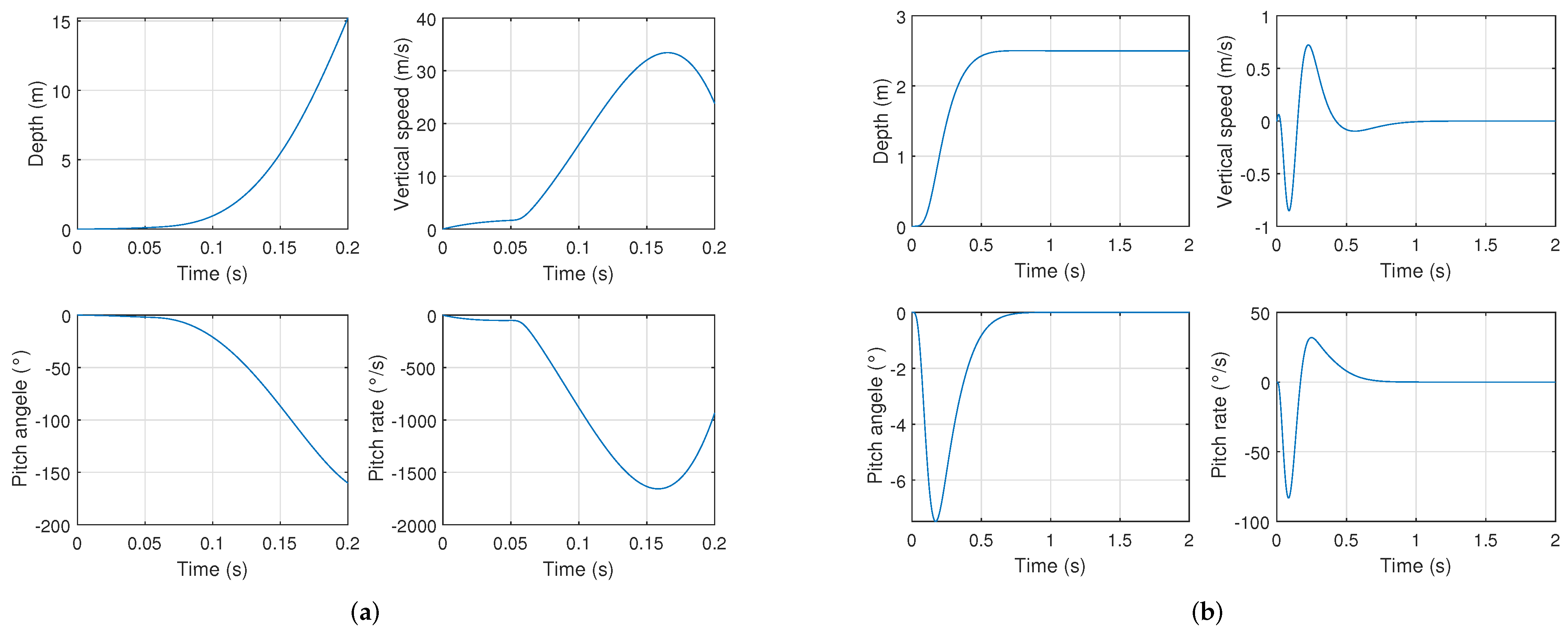
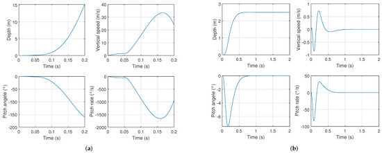
4.1. Open-Loop System
Let the initial states of the supercavitating vehicle be . The characteristic parameters are shown in Table 1. The responses of the open-loop dynamics are shown in Figure 5a. It can be seen that the open-loop dynamics is unstable. In order to better understand the characteristics of the planing force, the simulation curve of planing force within 0.3 s is provided as shown in Figure 5b. At the beginning, the planing force is zero. At about 0.12 s, a negative planing force appears due to the bottom contact because of the gravity. Then the planing force disappears quickly, which implies that the vehicle is bounced back into the cavity by the planing force. Next, a larger planing force is produced because of the top contact by the inertia. Then the vehicle is bounced back into the cavity again and the planing force disappears once more. In this way, the planing force is becoming larger each time, breaking the balance of force and destroying the cavity shape, eventually the system goes unstable.
Table 1.
System parameters for simulation model.
Figure 5.
Open-loop system simulation: (a) Four states of open-loop system; (b) Planing force of open-loop system.
The simulation of open-loop system shows that this mathematic model can reflect the complex nonlinear planing force, which can meet the needs of theoretical research and simulation of the control problem of supercavitation vehicle.
4.2. Control Comparison
In the control simulation, the expected depth is 1.5 m. The control parameters are tuned as shown in Table 2.
Table 2.
Control parameters.
In comparison, a feedback linearization and pole placement control (FBL-PPC) is also included [33]. The control law is designed as
wherein the desired equilibrium point is given by and
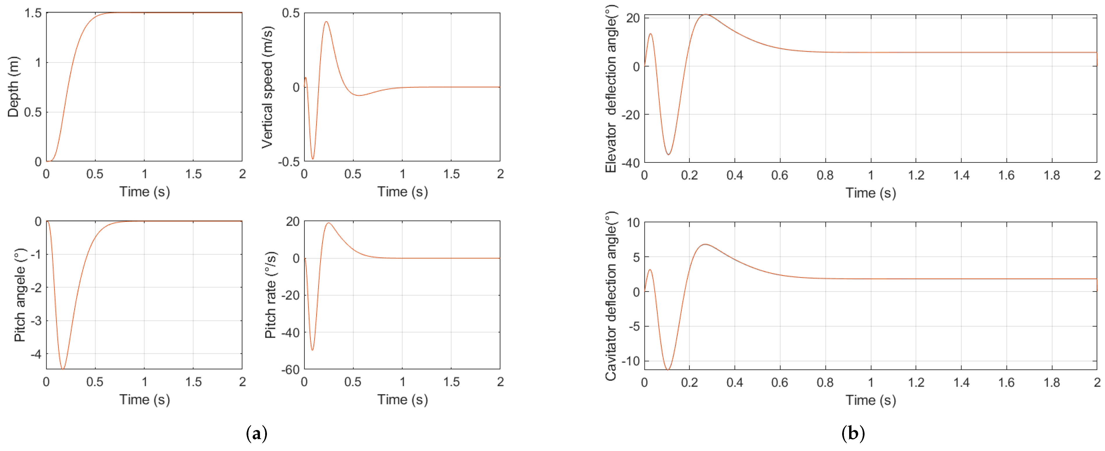
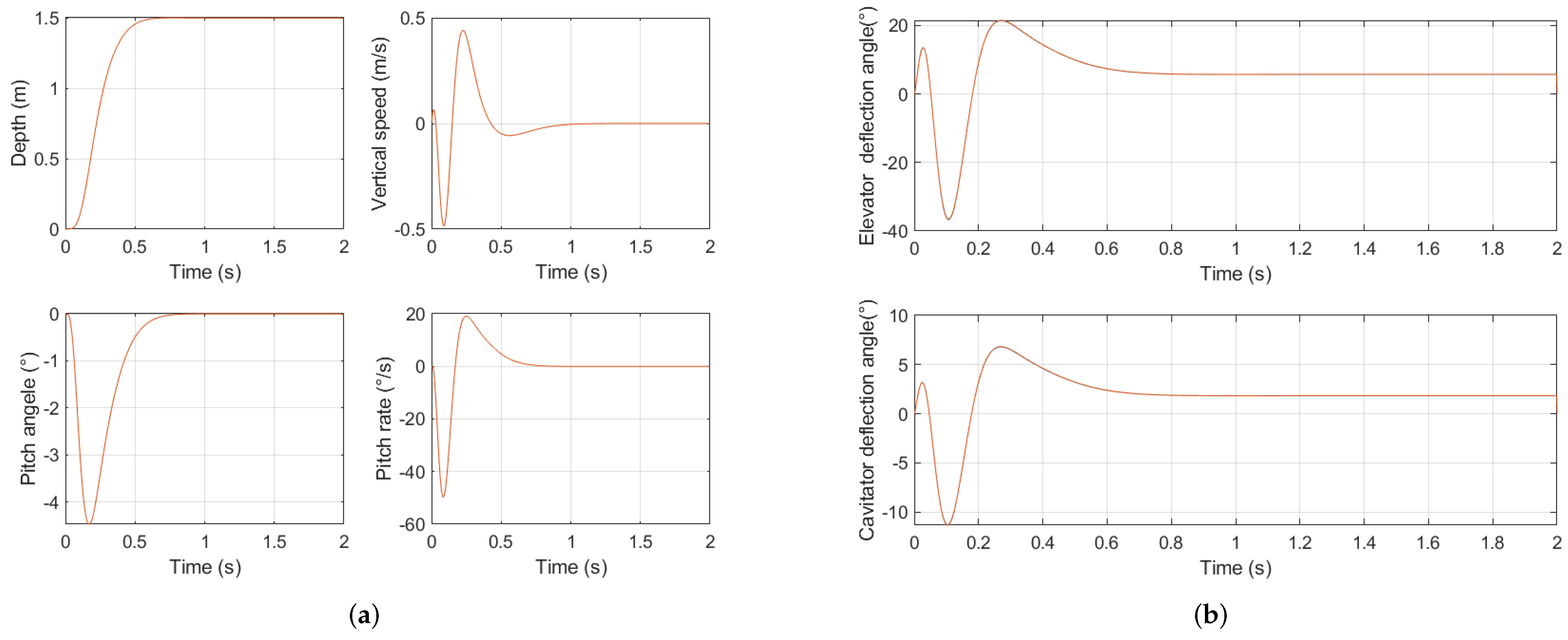
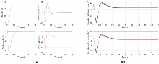
The feedback matrix is determined by using the pole placement method. For a fair comparison, the poles are placed at −8, −12, −16 and −20. So the settling time of depth tracking are almost the same.The simulation results are shown in Figure 6.
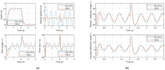
Figure 6.
States, attack angle and actuator deflections comparison of the supercavitating vehicle with the DACC and feedback linearization and pole placement control(FBL-PPC): (a) Four states comparison; (b) Attack angle comparison; (c) Elevator deflection angle comparison; (d) Cavitator deflection angle comparison.
In Figure 6a, the effects of the two controllers on the depth tracking are almost the same, but the vertical speeds are obviously different. The maximal value of vertical speed generated by the DACC strategy is less than half of that of the FBL-PPC method. Because the vertical speed is close to zero and is far away from the threshold that causes the planing force, the DACC strategy can obtain higher tracking capability. Although DACC strategy has a slightly lager pitch angle, it is still acceptable. According to Figure 6b–d, the angle of attack and the actuator deflection with DACC strategy can be maintained within the reasonable ranges with the DACC strategy.
When the depth command is changed to 2.5 m, the simulation results are shown in Figure 7. In Figure 7a, the supercavitating vehicle under the FBL-PPC strategy goes unstable. In Figure 6b, the supercavitating vehicle under the DACC strategy can quickly track the depth command without triggering the planing force.
Figure 7.
States comparison of the supercavitating vehicle with the DACC and FBL-PPC under the 2.5 m depth command: (a) Four states of the SV with the FBL-PPC; (b) Four states of the SV with DACC.
During the flight, underwater vehicles are inevitably affected by unknown disturbances such as ocean current. Therefore, sinusoidal signals varying with time are designed to simulate unknown disturbances and test the disturbance rejection capability of the DACC. Rewrite (1) as
where is the unknown disturbances. The simulation results are shown in Figure 8. It can be seen that the DACC based on LESO still maintains good control performance with the unknown disturbances.
Figure 8.
States and actuator deflections comparison of the supercavitating vehicle with the DACC and FBL-PPC under sinusoidal disturbances: (a) Four states comparison; (b) Actuator deflections comparison.
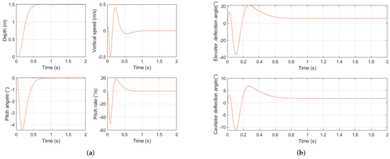
4.3. The Function of TD in Avoiding Planing Force
In order to show the function of TD in avoiding planing force, the simulation of depth tracking control without TD is conducted. The control structure is almost identical to DACC and the only difference is the lack of TD. In terms of control parameters, the is 6 and others remain unchanged. The simulation results are shown in Figure 9a. The setting time of depth tracking is about 0.6 s which is the same as the simulation result of DACC in Figure 6, however, the vertical speed is beyond threshold value causing the planing force, as shown in Figure 9b. The controller suppressed the planing force successfully and maintained a stable attitude but it needs larger control output, as shown in Figure 9c,d. Deflection angle of the actuator is large enough to be of no practical physical significance.
Figure 9.
States, planing force and actuator deflections of the supercavitating vehicle under DACC without Tracking-Differentiator (TD): (a) Four states; (b) planing force; (c) Elevator deflection angle; (d) Cavitator deflection angle.
Maintain depth command at 1.5 m, and only change the TD parameters r. Other control parameters are as shown in Table 2. The simulation results are shown in Figure 10. It can be seen that the larger r is, the shorter the setting time of depth tracking and the larger attack angle together with actuator angle will be. Therefore, selecting the TD parameter properly can realize fast depth tracking while avoiding planing force and keeping smaller control inputs.
Figure 10.
States, attack angle and actuator deflections comparison of the supercavitating vehicle with different TD parameters: (a) Four states comparison; (b) Attack angle comparison; (c) Elevator deflection angle comparison; (d) Cavitator deflection angle comparison.
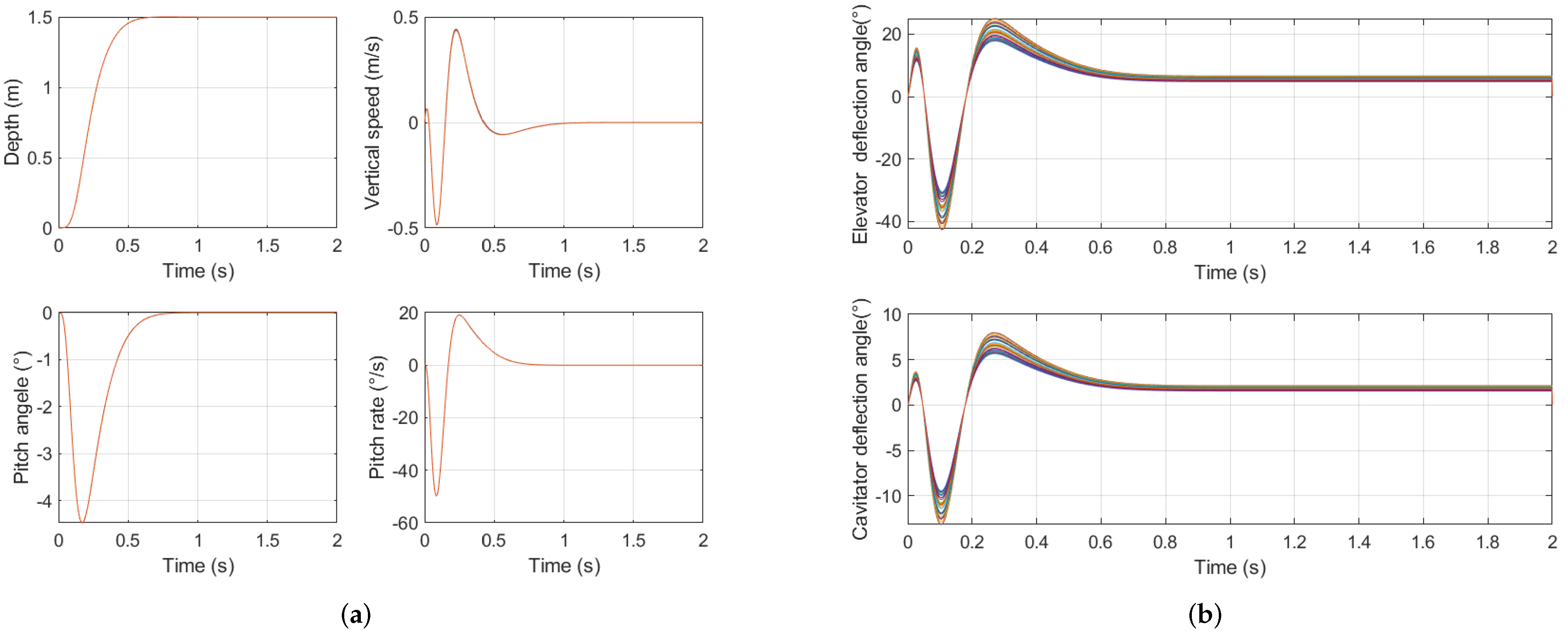
4.4. Monte Carlo Simulations
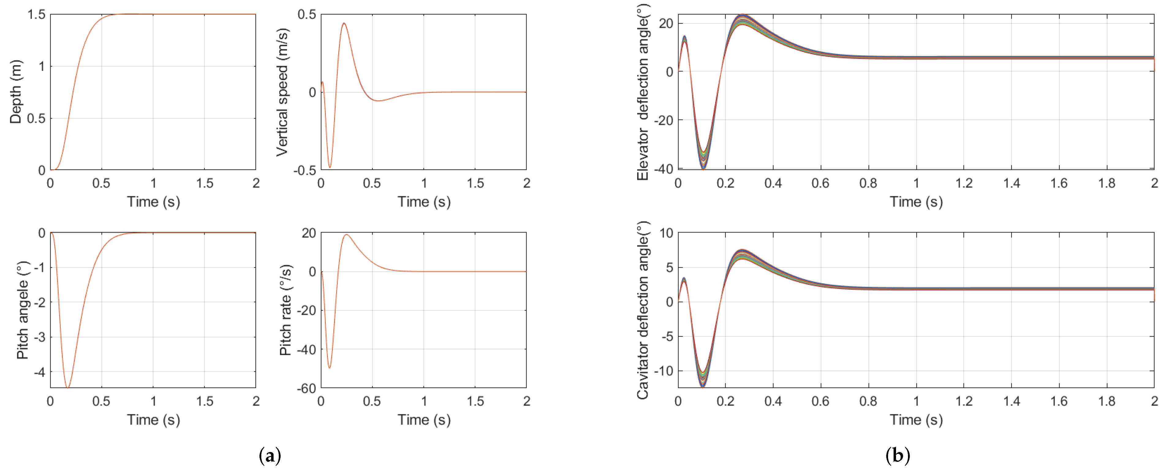
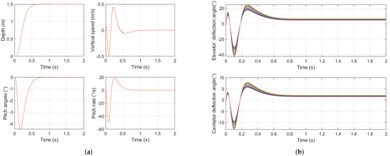
In order to evaluate the robustness of DACC, the parametric uncertainties are considered simultaneously to perform Monte Carlo simulations. According to practical experience, three important parameters relating to the supercavitating vehicle can be considered as crucial ones: the lift coefficient , the cavitation number and cavitator radius . We select 10% as the uncertain range of these parameters.
The Monte Carlo simulation results are shown from Figure 11, Figure 12 and Figure 13. According Figure 11a, Figure 12a and Figure 13a, the states are consistent with the corresponding nominal ones. However, the sensitivities to various parameters perturbation are different. In Figure 11b, Figure 12b and Figure 13b, the variation range of actuator deflection caused by the perturbation of is not obvious, while the perturbations in and cause somewhat larger changes. These changes are within the acceptable bounds. Such we can see that DACC strategy has strong robustness.
Figure 11.
Monte Carlo simulation with perturbation of : (a) Four states with perturbation of ; (b) Actuator with perturbation of .
Figure 12.
Monte Carlo simulation with perturbation of : (a) Four states with perturbation of ; (b) Actuator with perturbation of .
Figure 13.
Monte Carlo simulation with perturbation of : (a) Four states with perturbation of ; (b) Actuator with perturbation of .
5. Conclusions
Timely adjustment of the attitude of the vehicle to ensure a smaller attack angle is a feasible means to avoid the planing force. Base on control-oriented benchmark model of the supercavitating vehicle, a depth and attitude coordinated control (DACC) strategy is proposed in order to avoid the planing force and obtain higher depth tracking capability.In the benchmark modal, actively controlling the vertical speed we can get a small attack angle and avoid the planing force. By using a cascade control structure, a good depth tracking performance could be ensured with a small vertical speed which is actively regulated to zero to be far away from the threshold that causes the planing force. Comparative simulation with FBL-PPC method results show that DACC strategy can obtain higher depth tracking capability and maintain good control performance with the unkown disturbances. Although DACC strategy has a slightly lager pitch angle, it is acceptable. TD can soften the tracking instruction and design transient process realizing fast depth tracking while avoiding planing force. The robustness of DACC is evaluate by Monte Carlo simulations. Selecting the 10% as the uncertain range of model parameters, DACC strategy still has good control effect. The nature of this strategy is to coordinate the depth and attitude well in the case of supercavity large inertia. By adjusting the pitch angle and attack angle, the body-bubble collision can be avoided and obtain higher depth tracking capability. In this paper, the memory effect and flotation of cavity are not considered, in future work, we will further research the DACC strategy based on time-delay supercavitating vehicle model.
Author Contributions
Conceptualization and methodology, M.S. and Y.Z.; formal analysis, Y.Z., M.S. and J.Z.; writing—original draft preparation, Y.Z.; supervision, M.S. and Z.C.; Funding acquisition, M.S. and Z.C. All authors have read and agreed to the published version of the manuscript.
Funding
This research was funded by the National Natural Science Foundation of China (NSFC) under Grant 62073177, 61973175, 51777013.
Institutional Review Board Statement
Not applicable.
Informed Consent Statement
Not applicable.
Data Availability Statement
Not applicable.
Acknowledgments
The authors gratefully acknowledge the helpful comments and suggestions of the reviewers, which have improved the presentation.
Conflicts of Interest
The authors declare no conflict of interest.
Abbreviations
The following abbreviations are used in this manuscript:
| SV | Supercavitating vehicle |
| DOF | Degrees of freedom |
| RBF | Radial basis function |
| PID | Proportional integral derivative |
| ADRC | Active disturbance rejection control |
| LADRC | Linear active disturbance rejection control |
| DACC | Depth and attitude coordinated control |
| TD | Tracking differentiator |
| LESO | Linear extended state observer |
| FBL-PPC | Feedback linearization and pole placement control |
Appendix A
Coefficients in control-oriented benchmark model of the supercavitating vehicle
References
- Da, L.A.; Xla, B. Numerical study on supercavitating flow in free stream with regular waves. Int. J. Naval Archit. Ocean Eng. 2020, 12, 799–809. [Google Scholar]
- Doan, P.T.; Bui, P.D.H.; Vu, M.T.; Thanh, H.L.N.N.; Hossain, S. Stability analysis of a fractional-order high-speed supercavitating vehicle model with delay. Machines 2021, 9, 129. [Google Scholar] [CrossRef]
- Han, Y.; Xu, Z.; Guo, H. Robust predictive control of a supercavitating vehicle based on time-delay characteristics and parameter uncertainty. Ocean Eng. 2021, 237, 109627. [Google Scholar] [CrossRef]
- Xiong, T.; Lv, Y.; Yi, W. Analysis on multistable motion characteristics of supercavitating vehicle. Shock Vib. 2017, 2017, 9712687. [Google Scholar] [CrossRef] [Green Version]
- Yen, T.; Morabito, M.; Imas, L.; Dzielski, J.; Datla, R. Investigation of cylinder planing on a flat free surface. In Proceedings of the 11th International Conference on Fast Sea Transportation (FAST2011), Honolulu, HI, USA, 26–29 September 2011. [Google Scholar]
- Choi, J.K.; Ahn, B.K.; Kim, H.T. A numerical and experimental study on the drag of a cavitating underwater vehicle in cavitation tunnel. Int. J. Naval Archit. Ocean Eng. 2015, 7, 888–905. [Google Scholar] [CrossRef] [Green Version]
- Ishchenko, A.N.; Burkin, V.V.; Kasimov, V.Z.; Afanas’Eva, S.A.; D’yachkovskii, A.S.; Rogaev, K.S. Development of a mathematical model of intraballistic processes for a gun-start of a group of supercavitating strikers. J. Eng. Phys. Thermoph. 2020, 93, 436–442. [Google Scholar] [CrossRef]
- Mansour, M.Y.; Mansour, M.H.; Mostafa, N.H.; Abou Rayan, M. Numerical and experimental investigation of supercavitating flow development over different nose shape projectiles. IEEE J. Oceanic. Eng. 2020, 45, 1370–1385. [Google Scholar] [CrossRef]
- Erfanian, M.R.; Moghiman, M. Experimental investigation of critical air entrainment in ventilated cavitating flow for a forward facing model. Appl. Ocean. Res. 2020, 97, 102089. [Google Scholar] [CrossRef]
- Sanabria, D.E.; Balas, G.; Arndt, R. Modeling, control, and experimental validation of a high-speed supercavitating vehicle. IEEE J. Oceanic. Eng. 2015, 40, 362–373. [Google Scholar] [CrossRef]
- Kirschner, I.N.; Kring, D.C.; Stokes, A.W.; Fine, N.E.; Uhlman, J.S., Jr. Control strategies for supercavitating vehicles. J. Vib. Control. 2002, 8, 219–242. [Google Scholar] [CrossRef]
- Kirschner, I.; Rosenthal, B.J.; Uhlman, J. Simplified dynamical systems analysis of supercavitating high-speed bodies. In Proceedings of the Fifth International Symposium on Cavitation (CAV2003), Osaka, Japan, 1–4 November 2003. [Google Scholar]
- Dzielski, J.; Kurdila, A. A benchmark control problem for supercavitating vehicles and an initial investigation of solutions. J. Vib. Control 2003, 9, 791–804. [Google Scholar] [CrossRef]
- Kim, S.; Kim, N. Neural network-based adaptive control for a supercavitating vehicle in transition phase. J. Mar. Sci. Technol. 2014, 20, 454–466. [Google Scholar] [CrossRef]
- Li, Y.; Liu, M.; Zhang, X.; Peng, X. Global approximation based adaptive RBF neural network control for supercavitating vehicles. J. Syst. Eng. Electron. 2018, 29, 797–804. [Google Scholar]
- Wang, J.; Liu, Y.; Cao, G.; Zhao, Y.; Zhang, J. Design of RBF adaptive sliding mode controller for a supercavitating vehicle. IEEE Access 2021, 9, 39873–39883. [Google Scholar]
- Bui, P.D.H.; You, S.S.; Kim, H.S.; Lee, S.D. Dynamics modeling and motion control for high-speed underwater vehicles using H-infinity synthesis with anti-windup compensator. J. Ocean Eng. Sci. 2021, 7, 84–91. [Google Scholar] [CrossRef]
- Han, Y.; Xu, Z.; Guan, L. Predictive control of a supercavitating vehicle based on time-delay characteristics. IEEE Access 2020, 9, 13499–13512. [Google Scholar] [CrossRef]
- Zou, W.; Wang, B. Longitudinal maneuvering motions of the supercavitating vehicle. Eur. J. Mech. B-Fluids 2020, 81, 105–113. [Google Scholar] [CrossRef]
- Han, J. From PID to active disturbance rejection control. IEEE Trans. Ind. Electron. 2009, 56, 900–906. [Google Scholar] [CrossRef]
- Cao, X.; Wang, Z.; Zhang, X. Precise locating control for a polar crane based on sliding mode active disturbance rejection control and quadratic programming algorithm. Machines 2021, 9, 22. [Google Scholar] [CrossRef]
- Lu, K.; Tian, H.; Zhen, P.; Lu, S.; Chen, R. Conversion flight control for tiltrotor aircraft via active disturbance rejection control. Aerospace 2022, 9, 155. [Google Scholar] [CrossRef]
- Hezzi, A.; Elghali, S.B.; Bensalem, Y.; Zhou, Z.; Benbouzid, M.; Abdelkrim, M.N. ADRC-Based robust and resilient control of a 5-Phase PMSM driven electric vehicle. Machines 2020, 8, 17. [Google Scholar] [CrossRef]
- Gao, Z. Scaling and bandwidth-parameterization based controller tuning. In Proceedings of the 2003 American Control Conference (ACC2003), Denver, CO, USA, 4–6 June 2003. [Google Scholar]
- Kim, S.; Kim, N. Control method for ventilated supercavitating vehicle considering planing avoidance and stability. Proc. Inst. Mech. Eng. Part M 2018, 233, 957–968. [Google Scholar] [CrossRef]
- Sanabria, D.E.; Balas, G.J.; Arndt, R. Planing avoidance control for supercavitating vehicles. In Proceedings of the 2014 American Control Conference (ACC2014), Portland, OR, USA, 4–6 June 2014. [Google Scholar]
- Guo, B.; Han, J. A linear tracking-differentiator and application to the onlineestimation of the frequency of a sinusoidal signal. In Proceedings of the 2000 IEEE International Conference on Control Applications, Anchorage, AK, USA, 25–27 September 2000. [Google Scholar]
- Godbole, A.A.; Kolhe, J.P.; Talole, S.E. Performance analysis of generalized extended state observer in tackling sinusoidal disturbances. IEEE Trans. Control Syst. Technol. 2013, 21, 2212–2223. [Google Scholar] [CrossRef]
- Roy, S.; Baldi, S.; Ioannou, P.A. An adaptive control framework for underactuated Switched Euler-Lagrange Systems. IEEE Trans. Autom. Control 2021, in press. [Google Scholar] [CrossRef]
- Roy, S.; Baldi, S. Towards structure-independent stabilization for uncertain underactuated Euler–Lagrange systems. Automatica 2020, 113, 108775. [Google Scholar] [CrossRef]
- Roy, S.; Baldi, S.; Fridman, L.M. On adaptive sliding mode control without a priori bounded uncertainty. Automatica 2020, 111, 108650. [Google Scholar] [CrossRef]
- Wang, Y.; Chen, Z.; Sun, M.; Sun, Q. Design and stability analysis of a generalized reduced-order active disturbance rejection controller. IEEE Trans. Control Syst. Technol. 2022, 65, 361–374. [Google Scholar] [CrossRef]
- Guo, J.; Balachandran, B.; Abed, E.H. Dynamics and control of supercavitation vehicles. J. Dyn. Syst. Meas. Control 2008, 130, 021003. [Google Scholar]
Publisher’s Note: MDPI stays neutral with regard to jurisdictional claims in published maps and institutional affiliations. |
© 2022 by the authors. Licensee MDPI, Basel, Switzerland. This article is an open access article distributed under the terms and conditions of the Creative Commons Attribution (CC BY) license (https://creativecommons.org/licenses/by/4.0/).












