Estimating Covariances and Goodness of Fit Plots for Accelerated Failure Time Models
Abstract
1. Introduction
2. Materials and Methods
2.1. Estimating for Some Censored Survival Regression Models
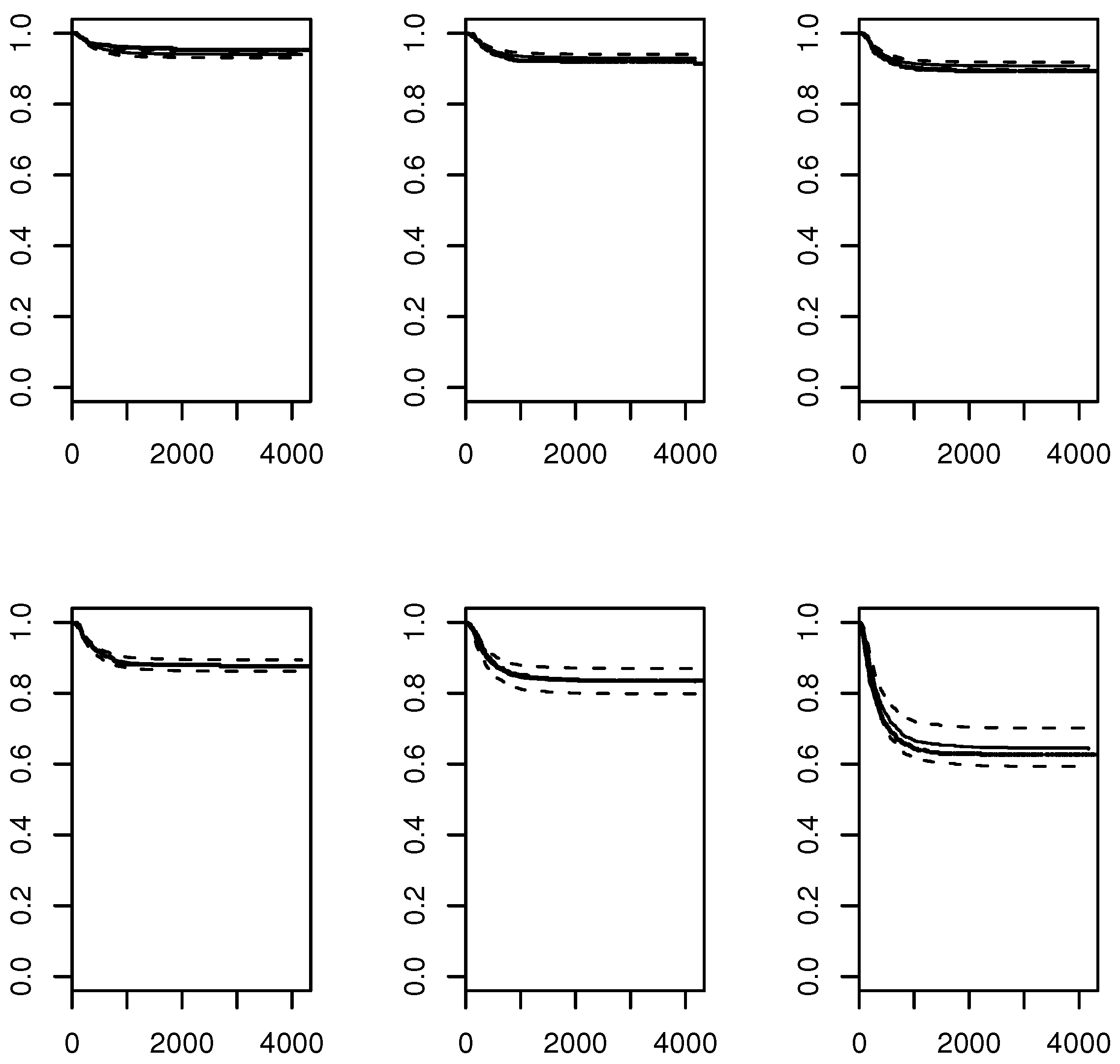
2.2. The EE Plot
3. Some Other Plots
3.1. Examples and Simulations
3.2. Simulation
4. Discussion
Author Contributions
Funding
Data Availability Statement
Acknowledgments
Conflicts of Interest
Abbreviations
| AFT | accelerated failure time |
| ESP | estimated sufficient predictor |
| iid | independent and identically distributed |
| LCR | log censored response |
| OLS | ordinary least squares |
References
- Cox, D.R. Regression models and life-tables. J. R. Stat. Soc. B 1972, 34, 187–220. [Google Scholar] [CrossRef]
- Buckley, J.; James, I. Linear regression with censored data. Biometrika 1979, 66, 429–436. [Google Scholar] [CrossRef]
- Arjas, E. A graphical method for assessing goodness of fit in Cox’s proportional hazards model. J. Am. Stat. Assoc. 1988, 83, 204–212. [Google Scholar] [CrossRef]
- Feng, C.; Wang, H.; Zhang, Y.; Han, Y.; Liang, Y.; Tu, X.M. On testing proportionality in the Cox regression model by Andersen’s plot. Commun. Stat.-Theory Methods 2017, 46, 3489–3500. [Google Scholar] [CrossRef]
- Gill, R.D.; Schumaker, M. A simple test of the proportional hazards assumption. Biometrika 1987, 74, 289–300. [Google Scholar] [CrossRef]
- Kay, R. Goodness-of-fit methods for the proportional hazards model: A review. Rev. Epidemiol. Santé Publ. 1984, 32, 185–198. [Google Scholar]
- Lin, D.Y.; Wei, L.J. Goodness-of-fit tests for the general Cox regression model. Stat. Sin. 1991, 1, 1–17. [Google Scholar]
- Marzec, L.; Marzec, P. Generalized martingale-residual processes for goodness-of-fit inference in Cox’s type regression models. Ann. Stat. 1997, 25, 683–714. [Google Scholar] [CrossRef]
- Ng’andu, N.H. An empirical comparison of statistical tests for assessing the proportional hazards assumption of Cox’s model. Stat. Med. 1997, 16, 611–626. [Google Scholar] [CrossRef]
- Quantin, C.; Moreau, T.; Asselain, B.; Maccario, J.; Lellouch, J. A regression survival model for testing the proportional hazards hypothesis. Biometrics 1996, 52, 874–885. [Google Scholar] [CrossRef]
- Yu, Q.; Chappell, R.; Wong, G.Y.C.; Hsu, Y.; Mazur, M. Relationship between Cox, Lehmann, Weibull, and accelerated lifetime models. Commun. Stat.-Theory Methods 2008, 37, 1458–1470. [Google Scholar] [CrossRef]
- Grambsch, P.M.; Therneau, T.M. Proportional hazards tests and diagnostics based on weighted residuals. Biometrika 1994, 81, 515–526. [Google Scholar] [CrossRef]
- Barchard, K.A.; Russell, J.A. Distorted correlations among censored data: Causes, effects, and correction. Behav. Res. Methods 2024, 56, 1207–1228. [Google Scholar] [CrossRef] [PubMed]
- Li, Y.; Gillespie, B.W.; Shedden, K.; Gillespie, J.A. Profile likelihood estimation of the correlation coefficient in the presence of left, right or interval censoring and missing data. R J. 2018, 10, 159–179. [Google Scholar] [CrossRef]
- Lyles, R.H.; Fan, D.; Chuachoowong, R. Correlation coefficient estimation involving a left censored laboratory assay variable. Stat. Med. 2001, 20, 2921–2933. [Google Scholar] [CrossRef]
- Pesonen, M.; Pesonen, H.; Nevalainen, J. Covariance estimation for left-censored data. Comput. Stat. Data Anal. 2015, 92, 13–25. [Google Scholar] [CrossRef]
- Collett, D. Modelling Survival Data in Medical Research, 2nd ed.; Chapman & Hall/CRC: Boca Raton, FL, USA, 2003. [Google Scholar]
- Ritov, Y. Estimation in a linear regression with censored data. Ann. Stat. 1990, 18, 303–328. [Google Scholar] [CrossRef]
- Tsiatis, A.A. Estimating regression parameters using linear rank tests for censored data. Ann. Stat. 1990, 18, 354–372. [Google Scholar] [CrossRef]
- Smith, P.J. Analysis of Failure and Survival Data; Chapman and Hall/CRC: Boca Raton, FL, USA, 2002. [Google Scholar]
- May, S.; Hosmer, D.W. A simple method for calculating a goodness-of-fit test for the proportional hazards model. Lifetime Data Anal. 1998, 4, 109–120. [Google Scholar] [CrossRef]
- van Houwelingen, H.C.; Bruinsma, T.; Hart, A.A.M.; Veer, L.J.; Wessels, L.F.A. Cross-validated Cox regression on microarray gene expression data. Stat. Med. 2006, 25, 3201–3216. [Google Scholar] [CrossRef]
- Miller, R. Survival Analysis; Wiley: New York, NY, USA, 1981. [Google Scholar]
- Hosmer, D.W.; Lemeshow, S. Applied Survival Analysis: Regression Modeling of Time to Event Data; Wiley: New York, NY, USA, 1999. [Google Scholar]
- Edmunson, J.H.; Fleming, T.R.; Decker, D.G.; Malkasian, G.D.; Jorgenson, E.O.; Jeffries, J.A.; Webb, M.J.; Kvols, L.K. Different chemotherapeutic sensitivities and host factors affecting prognosis in advanced ovarian carcinoma versus minimal residual disease. Cancer Treat. Rep. 1979, 63, 241–247. [Google Scholar]
- Zhou, M. Understanding the Cox regression models with time–change covariates. Am. Stat. 2001, 55, 153–155. [Google Scholar] [CrossRef]
- Harrell, F.E. Regression Modeling Strategies: With Applications to Linear Models, Logistic Regression, and Survival Analysis, 2nd ed.; Springer: New York, NY, USA, 2015. [Google Scholar]
- Heller, G.; Simonoff, J.S. A comparison of estimators for regression with a censored response variable. Biometrika 1990, 77, 515–520. [Google Scholar] [CrossRef]
- James, I.R.; Smith, P.J. Consistency results for linear regression with censored data. Ann. Stat. 1984, 12, 590–600. [Google Scholar] [CrossRef]
- Lai, T.L.; Ying, Z. Large-sample theory of a modified Buckley-James estimator for regression analysis with censored data. Ann. Stat. 1991, 19, 1370–1402. [Google Scholar] [CrossRef]
- Lin, J.S.; Wei, L.J. Linear regression analysis based on Buckley-James estimating equation. Biometrics 1992, 48, 679–681. [Google Scholar] [CrossRef]
- Zeng, D.; Lin, D.Y. Efficient estimation for the accelerated failure time model. J. Am. Stat. Assoc. 2007, 102, 1387–1396. [Google Scholar] [CrossRef]
- Kaplan, E.L.; Meier, P. Nonparametric estimation from incomplete observations. J. Am. Stat. Assoc. 1958, 53, 457–481. [Google Scholar] [CrossRef]
- Yu, L.; Liu, L.; Chen, D.G. Extending Buckley-James method for heteroscedastic survival data. J. Stat. Comput. Sim. 2024, 94, 1776–1792. [Google Scholar] [CrossRef]
- R Core Team. R: A Language and Environment for Statistical Computing; R Foundation for Statistical Computing: Vienna, Austria, 2024; Available online: www.R-project.org (accessed on 29 October 2025).
- Johana Lemonge, S. OLS Testing with Predictors Scaled to Have Unit Sample Variance. Ph.D. Thesis, Southern Illinois University, Carbondale, IL, USA, 2025. Available online: http://parker.ad.siu.edu/Olive/sSanjuka.pdf (accessed on 29 October 2025).





| est | |||||
|---|---|---|---|---|---|
| (100,0,1) | samp | −0.999 | −0.002 | −0.002 | −0.001 |
| SD | 0.194 | 0.162 | 0.162 | 0.163 | |
| (100,0,1) | AFT | −1.003 | −0.001 | −0.001 | |
| SD | 0.186 | 0.149 | 0.150 | 0.151 | |
| (100,0,1) | BJ | −1.002 | −0.002 | −0.002 | −0.001 |
| SD | 0.202 | 0.169 | 0.169 | 0.169 | |
| (500,0,1) | samp | −1.000 | 0.001 | 0.002 | |
| SD | 0.087 | 0.073 | 0.073 | 0.074 | |
| (500,0,1) | AFT | −1.001 | 0.001 | 0.001 | |
| SD | 0.082 | 0.065 | 0.066 | 0.066 | |
| (500,0,1) | BJ | −1.000 | 0.001 | 0.002 | |
| SD | 0.090 | 0.075 | 0.075 | 0.076 | |
| (1000,0,1) | samp | −1.001 | 0.001 | ||
| SD | 0.061 | 0.051 | 0.051 | 0.051 | |
| (1000,0,1) | AFT | −1.001 | 0.001 | 0.001 | |
| SD | 0.056 | 0.047 | 0.047 | 0.046 | |
| (1000,0,1) | BJ | −1.000 | 0.001 | 0.020 | |
| SD | 0.064 | 0.053 | 0.053 | 0.053 |
| est | ||||||
|---|---|---|---|---|---|---|
| (150,0,5) | samp | −0.1999 | −0.2002 | −0.2015 | −0.1984 | −0.1998 |
| SD | 0.0613 | 0.0622 | 0.0615 | 0.0615 | 0.0622 | |
| (150,0,5) | AFT | −0.2004 | −0.2004 | −0.2018 | −0.1998 | −0.2008 |
| SD | 0.0569 | 0.0574 | 0.0572 | 0.0570 | 0.0569 | |
| (150,0,5) | BJ | −0.2005 | −0.2002 | −0.2019 | −0.1988 | −0.2001 |
| SD | 0.0639 | 0.0646 | 0.0642 | 0.0640 | 0.0646 | |
| (500,0,5) | samp | −0.2001 | −0.1999 | −0.2003 | −0.2000 | −0.2000 |
| SD | 0.0339 | 0.03366 | 0.0342 | 0.0337 | 0.0338 | |
| (500,0,5) | AFT | −0.2006 | −0.1999 | −0.2006 | −0.2004 | −0.2002 |
| SD | 0.0312 | 0.0309 | 0.0311 | 0.0311 | 0.0307 | |
| (500,0,5) | BJ | −0.2000 | −0.1999 | −0.2003 | −0.2001 | −0.2000 |
| SD | 0.0351 | 0.0349 | 0.0355 | 0.0348 | 0.0350 | |
| (1000,0,5) | samp | −0.2003 | −0.1999 | −0.2002 | −0.2001 | −0.2010 |
| SD | 0.0234 | 0.0239 | 0.0239 | 0.0237 | 0.0237 | |
| (1000,0,5) | AFT | −0.2004 | −0.2002 | −0.2002 | −0.2000 | −0.2007 |
| SD | 0.0215 | 0.0218 | 0.0217 | 0.0216 | 0.0216 | |
| (1000,0,5) | BJ | −0.2003 | −0.1998 | −0.2001 | −0.1999 | −0.2009 |
| SD | 0.0243 | 0.0247 | 0.0247 | 0.0244 | 0.0245 |
| est | |||||
|---|---|---|---|---|---|
| (100,0.1,5) | samp | −0.9977 | −0.2116 | −0.2121 | −0.2136 |
| SD | 0.1913 | 0.1608 | 0.1655 | 0.1640 | |
| (100,0.1,5) | AFT | −1.0026 | −0.2122 | −0.2124 | −0.2137 |
| SD | 0.1834 | 0.1470 | 0.1526 | 0.1528 | |
| (100,0.1,5) | BJ | −1.0003 | −0.2119 | −0.2123 | −0.2148 |
| SD | 0.2001 | 0.1670 | 0.1718 | 0.1707 |
Disclaimer/Publisher’s Note: The statements, opinions and data contained in all publications are solely those of the individual author(s) and contributor(s) and not of MDPI and/or the editor(s). MDPI and/or the editor(s) disclaim responsibility for any injury to people or property resulting from any ideas, methods, instructions or products referred to in the content. |
© 2025 by the authors. Licensee MDPI, Basel, Switzerland. This article is an open access article distributed under the terms and conditions of the Creative Commons Attribution (CC BY) license.
Share and Cite
Olive, D.J.; Lemonge, S.J. Estimating Covariances and Goodness of Fit Plots for Accelerated Failure Time Models. Axioms 2026, 15, 15. https://doi.org/10.3390/axioms15010015
Olive DJ, Lemonge SJ. Estimating Covariances and Goodness of Fit Plots for Accelerated Failure Time Models. Axioms. 2026; 15(1):15. https://doi.org/10.3390/axioms15010015
Chicago/Turabian StyleOlive, David J., and Sanjuka Johana Lemonge. 2026. "Estimating Covariances and Goodness of Fit Plots for Accelerated Failure Time Models" Axioms 15, no. 1: 15. https://doi.org/10.3390/axioms15010015
APA StyleOlive, D. J., & Lemonge, S. J. (2026). Estimating Covariances and Goodness of Fit Plots for Accelerated Failure Time Models. Axioms, 15(1), 15. https://doi.org/10.3390/axioms15010015

