Abstract
Our goal in this work is to solve the fractional Bratu equation, where the fractional derivative is of the Caputo type. As we know, the nonlinearity and derivative of the fractional type are two challenging subjects in solving various equations. In this paper, two approaches based on the collocation method using Müntz–Legendre wavelets are introduced and implemented to solve the desired equation. Three different types of collocation points are utilized, including Legendre and Chebyshev nodes, as well as uniform meshes. According to the experimental observations, we can confirm that the presented schemes efficiently solve the equation and yield superior results compared to other existing methods. Also, the schemes are convergent.
MSC:
34A08; 65T60; 65L60
1. Introduction
Bratu equations in science and engineering have captured the interest of many due to their valuable applications. We can find insights into the origins and importance of Bratu equations in [1,2]. This equation is used to model numerous chemical and physical processes, including the Chandrasekhar model of the expansion of the universe, the thermal reaction process in combustibles, the electro-spinning process for the production of ultrafine polymer fibers, nanotechnology, chemical reactor theory, and the solid in the fuel ignition model [3,4,5,6,7].
For most nonlinear differential equations, analytical methods to solve them either do not exist or are very difficult to apply. Numerical methods have consistently proven to be effective [8,9,10,11,12]. To mention but a few, the Bratu equation has been solved using the Adomian decomposition method [13], the finite difference method [14], the variational iteration method [15], the successive differentiation method [16], the Block Nyström method [17], Taylor’s decomposition on two points [18], the differential transformation method [19], the Laplace transform decomposition method [20], the shooting method [21], the Laplace Adomain decomposition method [22], the Jacobi–Gauss collocation method [23], the perturbation iteration method [24], the Spline method [25], the Sinc–Galerkin method [26], the Legendre wavelets method [27], an algorithm based on Chebyshev polynomial expansion [28], the hybrid block method [29,30], and the Taylor wavelets method [31].
The fractional Bratu equation can be expressed as a fractional nonlinear differential equation
with initial conditions
where , a, and b are constant. The fractional derivative denoted by is of the Caputo type, and this concept will be introduced later. Note that the standard Bratu equation can be obtained by choosing .
In general, the existence and uniqueness of the solution of equation
have been established in space
where is the space of functions w with .
Theorem 1
(cf [32]). Assume that , , is an open set, and , with , where , satisfies the Lipschitz condition
where is independent of t. Let . If , then (3) has a unique solution .
In recent years, fractional calculus has become increasingly important in modeling various physical phenomena in engineering and other fields. Extensive research has been conducted on various equations involving fractional derivatives, leading to the development of numerous numerical methods aimed at their solving. To mention but a few, the wavelet spectral element has been used to solve fractional Cauchy-type problems [33], and the wavelet collocation method has been applied to solve the fractional Cauchy problem [34]. In [35], the authors studied the fractional differential equation with multi-order fractional derivatives. The fractional differential equation with multi-order fractional derivatives is solved using the fractional Lucas optimization method in [36]. For further studies of fractional differential equations and proposed methods for solving them, we refer the readers to [37,38,39,40,41].
The fractional Bratu equation proves invaluable in understanding combustion theory, electrospinning processes, and heat transfer as well as the expansion of the universe. Implementing numerical schemes for this equation is challenging due to its nonlinearity and fractional derivative. There are some semi-analytical and numerical schemes for solving this equation, including the Chebyshev collocation method [42], the differential transform method [43], and the homotopy perturbation transform method [44].
Wavelets have become an effective tool in solving differential equations and representing various operators in recent years [45]. Two types of wavelets are used for solving equations through numerical schemes: multiwavelets and scalar wavelets. Unlike scalar wavelets that use one generator to generate wavelet spaces, multiwavelets use multiple generators [46]. Consequently, they offer certain advantages over scalar wavelets in different applications. It is enough to mention that they possess high vanishing moment, orthogonality, a closed form, symmetry, and more, all at the same time. The Alpert multiwavelet is a widely recognized wavelet with diverse uses in image processing and numerical computations [45,47,48,49]. In numerical works, the utilization of Müntz–Legendre (ML) wavelets [50,51], a type of multiwavelet, has been on the rise. This includes solving problems such as multi-order fractional differential equations [34], fractional optimal control problems [51], and pantograph equations with fractional derivatives [52].
In this paper, Section 2 is dedicated to the study of ML wavelets and their properties. We then implement the wavelet collocation method for solving the fractional Bratu equation in Section 3. In Section 4, we conduct several numerical experiments to demonstrate the accuracy and usefulness of the method. Section 5 of our paper provides a concise summary of our findings.
2. Müntz–Legendre Wavelets
Given as an increasing sequence, let [53]. The space is introduced so that it is spanned by the function , i.e.,
To confirm (the space of continuous functions on ), there are sufficient and necessary criteria introduced by S. N. Bernstein, as
and
respectively [54]. So it can be concluded that is dense in . It is also worth noting that Bernstein proposed the condition
for the existence and uniqueness of the increasing sequence of . Müntz proved this conjecture two years later [55]. Also, one can find the sufficient and necessary conditions to confirm in [54].
It is crucial to understand that utilizing the functions as bases is not advisable. That is why, in the following, the ML functions are defined in such a way that they are orthogonal and easy to evaluate.
Assuming as a simple contour that encircles all zeros in the integrand’s denominator, the ML polynomials have the following closed form [54,56].
Taking into account the Residue Theorem, we can immediately conclude that the ML polynomials can be written as
Here, it is assumed that the sequence is increasing and are specified as . The coefficients in this definition can be calculated by [56]
Motivated by Theorem 2.4 in [56], the orthogonality can be obtained for Müntz–Legendre polynomials as
where is the Kronecker delta function, and where, for the sake of simplicity in writing, it has been considered that .
Considering and , which are called the multiplicity and refinement levels, respectively, and according to the multi-resolution analysis (MRA) definition [57], there is a nested sequence of subspaces determined by
in which , , and specifies the Müntz–Legendre wavelets [34]
To approximate the function , we consider the projection operator that maps onto , that is,
where , and the coefficients can be attained by
There is an estimation of the bound of approximation (15) that can be stated by the following lemma [51].
Lemma 1.
Given and , let for any . Then, it can be verified that
and when , we get
where c is a constant. Here expresses the Sobolev space that is equipped with norm
2.1. Operational Matrix of Fractional Integration
In this subsection, we will try to find a matrix for representing the Riemann–Liouville (RL) fractional integration (FI). On the other hand, finding the elements of matrix , called the operational matrix of fractional integral, is the main subject of this subsection. Strictly speaking, to specify the elements of matrix , all elements of matrix must be approximated by ML wavelets, that is,
in which indicates the FI operator
where characterizes the Gamma function.
To obtain the elements of matrix , it is helpful that the piecewise fractional-order Taylor functions are utilized instead of ML wavelets . We can demonstrate a closed relationship between the ML wavelet and piecewise fractional-order Taylor functions as follows:
in which the elements of the square matrix are calculated by
Here, the -th element of the vector function is introduced by
Assuming that U is an m-dimensional vector whose entries are , it is not a challenging task to verify that
Motivated by [32], it has been demonstrated that the fractional integral of a power function results in a power function of the same structure, albeit with modified coefficients introduced by a certain factor, that is,
As a result, it follows from (24) and (26) that
Equation (27) leads to introducing the matrix that satisfies
Assuming the diagonal matrix K
the matrix can be specified by
in which , .
Now, we can specify the FI operational matrix as follows.
Therefore, we have
2.2. Matrix Representation of Caputo Fractional Derivative (CFD) Operator
Recall that the CFD of is characterized by [32]
in which . This integral exists for almost every . Given this definition, it is helpful to verify that
As we mentioned, the object of this subsection is to introduce the square matrix that represents CFD, that is,
To find the elements of , unlike the direct method proposed for the fractional integral operator, one can use the relation between the CFD operator and the fractional integral operator (33). To achieve the desired result, namely, introducing the matrix , we have the following process:
where the expression D refers to the operational matrix of the derivative introduced in reference [58]. Thus, the operational matrix can be specified by
Consequently, employing spectral methods, there is no necessity to determine the CFD of the bases; instead, the matrix can be utilized.
3. Outline of Method
Recall the fractional Bratu equation
with initial conditions
where , a, and b are constant. The outline of the collocation method involves the selection of a finite-dimensional space comprising potential solutions and a designated set of points within the domain, referred to as collocation points. The objective is to identify the solution that satisfies the specified equation at these collocation points.
In this paper, our objective is to introduce and implement two methodologies for addressing the fractional Bratu equation. The specifics of these approaches will be expounded upon as follows.
- First approachWe seek the approximation of the solution of Equation (37), which can be obtained aswhere , the elements of which must be determined. To implement the collocation method, the residual is introduced as
- Second approachIn this approach, we approximate the fractional derivative of the unknown solution asin which , whose elements are unknown.According to Lemma 2.22 in [32], we haveSo we can determine , that is,where . Substituting (41) and (43) into (37) gives rise to specifying the residual
The goal and expectation are to obtain the expansion coefficients by forcing to be approximately zero. To this end, picking the distinct collocation points , the collocation scheme requires
This leads to specifying the unknown coefficients as the solution of the nonlinear system
We use Newton’s method to solve this system. It is worth mentioning that Newton’s method is implemented with starting point (null vector) and the termination criterion is selected to be absolute residual, i.e.,
An immediate question is how the collocation points are chosen. To answer this question, three options have been considered: the roots of Chebyshev or Lagrange polynomials and evenly spaced nodes.
4. Numerical Results
By providing some numerical simulations, we can showcase the effectiveness of the present method. These examples will demonstrate how the method can provide practical solutions to various problems. To provide an overview of method efficiency, tables, and figures, we report the absolute error
and error
All examples are carried out with the combined use of Maple (version 2022) and Matlab software (version R2022a) with an Intel(R) Core(TM) i7-7700k CPU 4.20 GHz (RAM 32 GB). To have higher precision, we increase precision beyond 50 digits.
Example 1.
Let us consider the following fractional Bratu equation [42]
with initial conditions
For this equation, the exact solution is , for [31,42]. This equation has been chosen deliberately so that we can more easily assess the accuracy of our approximations.
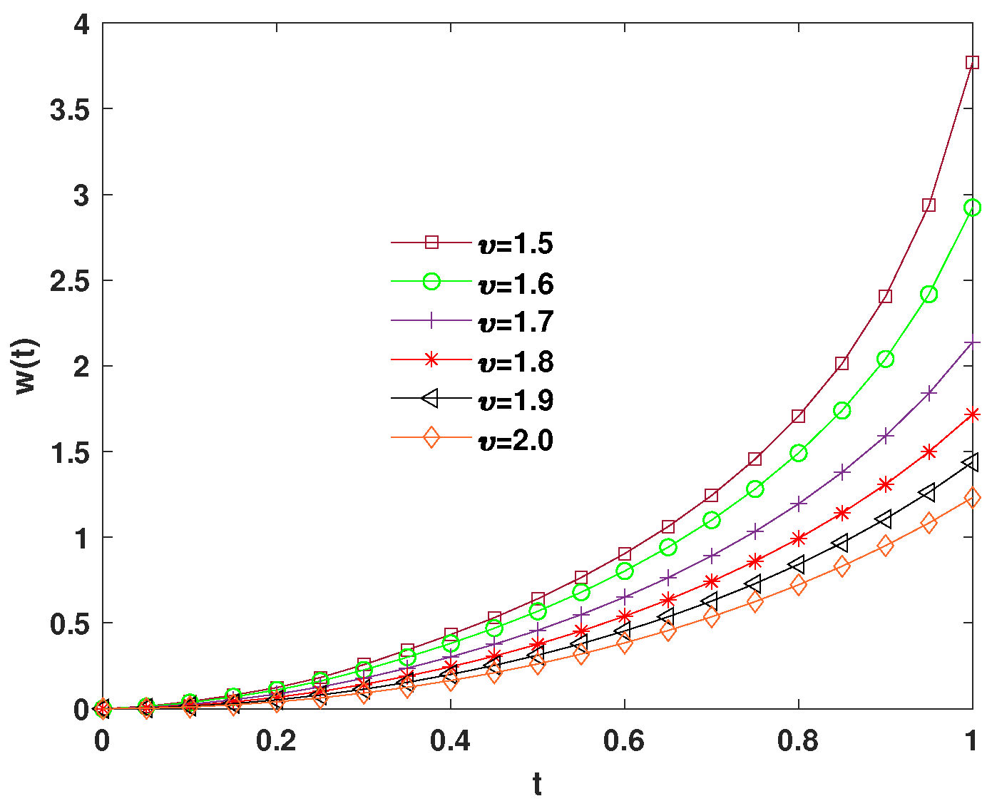
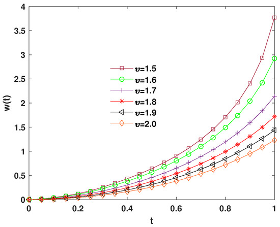
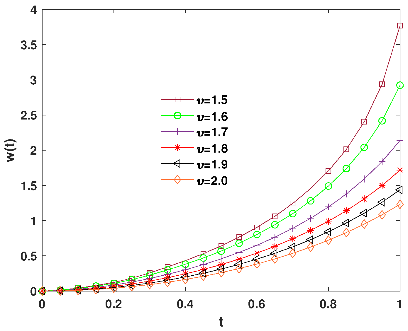
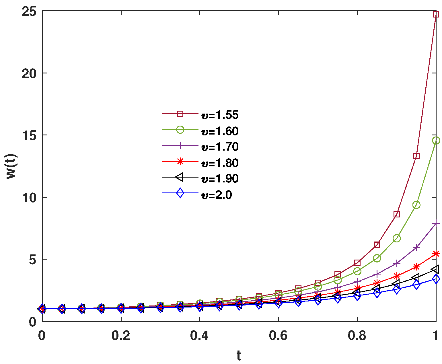
Table 1 and Table 2 are reported to demonstrate the error and CPU time for the first and second approaches, respectively. These quantities have been obtained by applying the presented schemes for different values of N when the upsilon is 2. The numerical approximation with the associated error is plotted in Figure 1, where of the error is illustrated instead of the error. We observe that both approaches are convergent, and by increasing N, the error approaches zero. The accuracy of the methods is also compared with existing methods reported in [42,59] (Table 3). The results demonstrate that the presented schemes yield better results than others. To demonstrate the efficiency of the presented schemes for non-integer values of υ, Figure 2 is plotted. Note that [32]
Our results confirm this, and we can verify that when , the estimated solutions with increasing υ tend to the results for κ. To show the ability and accuracy of the presented approaches, we report the residual errors
in Table 4.
Table 1.
The error obtained from the first approach for different N, taking (Example 1).
Table 2.
The error obtained from the second approach for different N, taking (Example 1).
Figure 1.
The error obtained from the first approach (left) and the second approach (right) for different choices of N (Example 1).
Table 3.
Numerical results obtained from different methods and their comparison for Example 1.
Figure 2.
The approximate solution for different choices of (Example 1).
Table 4.
The residual errors for the presented approaches to solve the fractional Bratu equation (Example 1).
Example 2.
For the second example, we apply the presented method to solve the Bratu equation
with initial conditions
For this equation, the exact solution is reported in [31,42], when , as follows
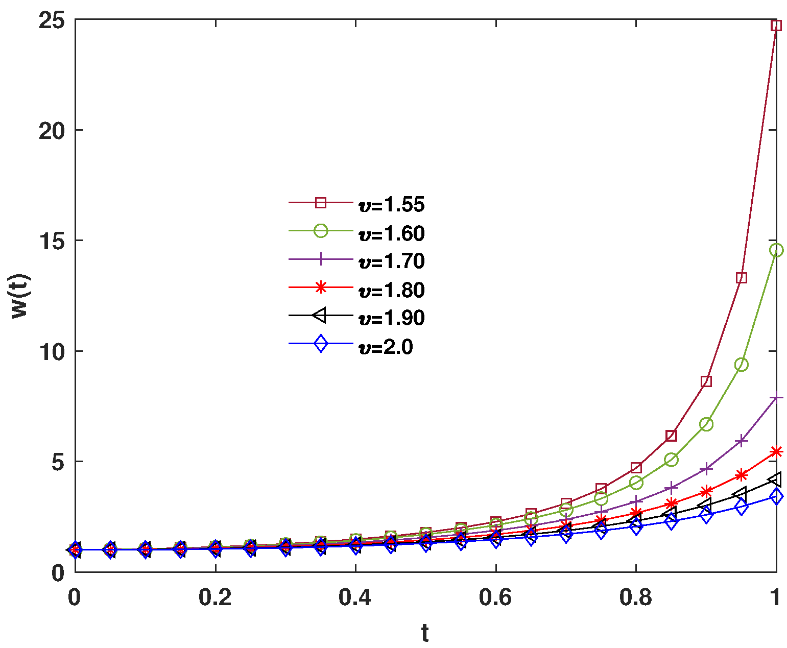
We report the L error in Table 5 and Table 6, and Figure 3 to verify that the presented schemes are convergent. Observations confirm results similar to Example 1. A comparison with other methods is also reported for this example in Table 7. The superiority of the presented schemes over other existing methods is also evident in this example. For this example, we can also verify that when , the estimated solutions with increasing υ tend to the results for κ. To this end, we plotted Figure 4. Table 8 is tabulated to show the residual errors (47) for this example.
Table 5.
The error obtained from the first approach for different N, taking (Example 2).
Table 6.
The error obtained from the second approach for different N, taking (Example 2).
Figure 3.
The error obtained from the first approach (left) and the second approach (right) for different choices of N (Example 2).
Table 7.
Numerical results obtained from different methods and their comparison for Example 2.
Figure 4.
The approximate solution for different choices of (Example 2).
Table 8.
The residual errors for the presented approaches to solve the fractional Bratu equation (Example 2).
5. Conclusions
This paper is devoted to solving the well-known Bratu equation with Caputo fractional derivative. Two different approaches based on the collocation method using Müntz–Legendre wavelets with varying choices of collocation points are presented in this study. The results verify that the proposed schemes for solving this problem are efficient and give results more accurate than others.
According to the experimental observations, the following can be concluded:
- The proposed schemes are effective in solving these types of equations.
- Our presented approaches yield better results compared to other existing methods.
- The second approach is better than the first one, due to the obtained results in Tables and Figures.
- The best choices of collocation points for this equation are the Legendre nodes.
- Both approaches are convergent. This is independent of choosing the Chebyshev, Legendre nodes, and uniform meshes as the collocation points.
Author Contributions
Conceptualization, H.B.J.; Methodology, H.B.J. and B.H.-J.; Software, H.B.J. and B.H.-J.; Validation, H.B.J. and B.H.-J.; Formal analysis, H.B.J. and B.H.-J.; Investigation, H.B.J. and B.H.-J.; Writing—original draft, H.B.J. and B.H.-J.; Writing—review & editing, H.B.J. and B.H.-J.; Funding acquisition, H.B.J. All authors have read and agreed to the published version of the manuscript.
Funding
This project was supported by Researchers Supporting Project number (RSP2024R210), King Saud University, Riyadh, Saudi Arabia.
Data Availability Statement
Data are contained within the article.
Conflicts of Interest
The writers state that they have no known personal relationships or competing financial interests that could have appeared to affect the work reported in this work.
References
- Jacobsen, J.; Schmitt, K. The Liouville-Bratu-Gelfand problem for radial operators. J. Differ. Eqs. 2002, 184, 283–298. [Google Scholar] [CrossRef]
- McGough, J.S. Numerical continuation and the Gelfand problem. Appl. Math. Comput. 1998, 89, 225–239. [Google Scholar] [CrossRef]
- Gelfand, I. Some problems in the theory of quasi-linear equations. Amer. Math. Soc. Transl. Ser. 1963, 2, 295–381. [Google Scholar]
- He, J. Some asymptotic methods for strongly nonlinear equations. Int. J. Modern Phys. B 2006, 20, 1141–1199. [Google Scholar] [CrossRef]
- Kafri, H.Q.; Khuri, S.A. Bratu’s problem: A novel approach using fixed-point iterations and Greens functions. Comput. Phys. Comm. 2016, 198, 97–104. [Google Scholar] [CrossRef]
- Mohsen, A. A simple solution of the Bratu problem. Comput. Math. Appl. 2014, 67, 26–33. [Google Scholar] [CrossRef]
- Wan, Y.; Guo, Q.; Pan, N. Thermo-electro-hydrodynamic model for electrospinning process. Int. J. Nonlinear Sci. Numer. Simul. 2004, 5, 5–8. [Google Scholar] [CrossRef]
- Adeyefa, E.O.; Omole, E.O.; Shokri, A. Numerical solution of second-order nonlinear partial differential equations originating from physical phenomena using Hermite based block methods. Results Phys. 2023, 46, 106270. [Google Scholar] [CrossRef]
- Akram, G.; Elahi, Z.; Siddiqi, S.S. Use of Laguerre Polynomials for Solving System of Linear Differential Equations. Appl. Comput. Math. 2022, 21, 137–146. [Google Scholar]
- Iskandarov, S.; Komartsova, E. On the influence of integral perturbations on the boundedness of solutions of a fourth-order linear differential equation. TWMS J. Pure Appl. Math. 2022, 13, 3–9. [Google Scholar]
- Juraev, D.A.; Shokri, A.; Marian, D. Solution of the ill-posed Cauchy problem for systems of elliptic type of the first order. Fractal Fract. 2022, 6, 358. [Google Scholar] [CrossRef]
- Rufai, M.A.; Shokri, A.; Omole, E.O. A One-Point Third-Derivative Hybrid Multistep Technique for Solving Second-Order Oscillatory and Periodic Problems. J. Math. 2023, 2023, 2343215. [Google Scholar] [CrossRef]
- Wazwaz, A.M. Adomian decomposition method for a reliable treatment of the Bratu-type equations. Appl. Math. Comput. 2005, 166, 652–663. [Google Scholar] [CrossRef]
- Temimi, H.; Ben-Romdhane, M. An iterative finite difference method for solving Bratu’s problem. J. Comput. Appl. Math. 2016, 292, 76–82. [Google Scholar] [CrossRef]
- Jin, L. Application of modified variational iteration method to the Bratu-type problems. Int. J. Contemp. Math. Sciences 2010, 5, 153–158. [Google Scholar]
- Wazwaz, A.M. The succesive differentiation method for solving Bratu equation and Bratu-type equations. Rom. Journ. Phys. 2016, 61, 774–783. [Google Scholar]
- Jator, S.N.; Manathunga, V. Block Nyström type integrator for Bratu’s equation. J. Comput. Appl. Math. 2018, 327, 341–349. [Google Scholar] [CrossRef]
- Adiyaman, M.E.; Somali, S. Taylor’s decomposition on two points for one-dimensional Bratu problem. Numer. Methods Partial Differ. Equ. 2010, 26, 412–425. [Google Scholar] [CrossRef]
- Abdel-Halim Hassan, I.H.; Ertürk, V.S. Applying differential transformation method to the one-dimensional planar Bratu problem. Int. J. Contemp. Math. Sci. 2007, 2, 1493–1504. [Google Scholar] [CrossRef]
- Khuri, S.A. A new approach to Bratu’s problem. Appl. Math. Comput. 2004, 147, 131–136. [Google Scholar] [CrossRef]
- Abbasbandy, A.; Hashemi, M.S.; Liu, C.-S. The Lie-group shooting method for solving the Bratu equation. Commun. Nonlinear Sci. Numer. Simulat. 2011, 16, 4238–4249. [Google Scholar] [CrossRef]
- Syam, M.I.; Hamdan, A. An efficient method for solving Bratu equations. Appl. Math. Comput. 2006, 176, 704–713. [Google Scholar] [CrossRef]
- Doha, E.H.; Bhrawy, A.H.; Baleanu, D.; Hafez, R.M. efficient Jacobi-Gauss collocation method for solving initial value problems of Bratu type. Comput. Math. Math. Phys. 2013, 53, 1292–1302. [Google Scholar] [CrossRef]
- Aksoy, Y.; Pakdemirli, M. New perturbation-iteration solutions for Bratu-type equations. Comput. Math. Appl. 2010, 59, 2802–2808. [Google Scholar] [CrossRef]
- Jalilian, R. Non-polynomial spline method for solving Bratu’s problem. Comput. Phys. Comm. 2010, 181, 1868–1872. [Google Scholar] [CrossRef]
- Rashidinia, J.; Maleknejad, K.; Taheri, N. Sinc-Galerkin method for numerical solution of the Bratu’s problem. Numer. Algorithms 2013, 62, 1–11. [Google Scholar] [CrossRef]
- Venkatesh, S.G.; Ayyaswamy, S.K.; Raja Balachandar, S. The Legendre wavelet method for solving initial value problems of Bratu-type. Comput. Math. Appl. 2012, 63, 1287–1295. [Google Scholar] [CrossRef]
- Boyd, J.P. Chebyshev polynomial expansions for simultaneous approximation of two branches of a function with application to the one-dimensional Bratu equation. Appl. Math. Comput. 2003, 14, 189–200. [Google Scholar] [CrossRef]
- Rufai, M.A.; Ramos, H. Numerical solution of Bratu’s and related problems using a third derivative hybrid block method. Comp. Appl. Math. 2020, 39, 322. [Google Scholar] [CrossRef]
- Rufai, M.A.; Ramos, H. One-Step Hybrid Block Method Containing Third Derivatives and Improving Strategies for Solving Bratu’s and Troesch’s Problems. Numer. Math. Theor. Meth. Appl. 2020, 13, 946–972. [Google Scholar]
- Keshavarz, E.; Ordokhani, Y.; Razzaghi, M. The Taylor wavelets method for solving the initial and boundary value problems of Bratu-type equations. Appl. Numer. Math. 2018, 128, 205–216. [Google Scholar] [CrossRef]
- Kilbas, A.; Srivastava, H.M.; Trujillo, J.J. Theory and Applications of Fractional Differential Equations; Elsevier B. V.: Amsterdam, The Netherlands, 2006; p. 24. [Google Scholar]
- Asadzadeh, M.; Saray, B.N. On a multiwavelet spectral element method for integral equation of a generalized Cauchy problem. BIT 2022, 62, 383–1416. [Google Scholar] [CrossRef]
- Jebreen, H.B.; Tchier, F. A New Scheme for Solving Multiorder Fractional Differential Equations Based on Müntz–Legendre Wavelets. Complexity 2021, 2021, 9915551. [Google Scholar] [CrossRef]
- Kazem, S.; Abbasbandy, S.; Kumar, S. Fractional-order Legendre functions for solving fractional-order differential equations. Appl. Math. Model. 2013, 37, 5498–5510. [Google Scholar] [CrossRef]
- Dehestani, H.; Ordokhani, Y.; Razzaghi, M. Fractional-lucas optimization method for evaluating the approximate solution of the multi-dimensional fractional differential equations. Engin. Comput. 2020, 38, 1–17. [Google Scholar] [CrossRef]
- Afarideh, A.; Dastmalchi Saei, F.; Lakestani, M.; Saray, B.N. Pseudospectral method for solving fractional Sturm-Liouville problem using Chebyshev cardinal functions. Phys. Scr. 2021, 96, 125267. [Google Scholar] [CrossRef]
- Afarideh, A.; Dastmalchi Saei, F.; Saray, B.N. Eigenvalue problem with fractional differential operator: Chebyshev cardinal spectral method. J. Math. Model. 2021, 11, 343–355. [Google Scholar]
- Esmaeili, S.; Luchko, M.; Luchkob, Y. Numerical solution of fractional differential equations with a collocation method based on Müntz polynomials. Comput. Math. Appl. 2011, 62, 918–929. [Google Scholar] [CrossRef]
- Lakestani, M.; Dehghan, M.; Irandoust-Pakchin, S. The construction of operational matrix of fractional derivatives using B-spline functions. Commun. Nonlinear Sci. 2012, 17, 1149–1162. [Google Scholar] [CrossRef]
- Shi, L.; Saray, B.N.; Soleymani, F. Sparse wavelet Galerkin method: Application for fractional Pantograph problem. J. Comput. Appl. Math. 2024, 451, 116081. [Google Scholar] [CrossRef]
- Singh, H.; Singh, A.K.; Pandey, R.K.; Kumar, D.; Singh, J. An efficient computational approach for fractional Bratu’s equation arising in electrospinning process. Math. Meth. Appl. Sci. 2021, 44, 10225–10238. [Google Scholar] [CrossRef]
- Demir, D.D.; Zeybek, A. The numerical solution of fractional Bratu-type differential equations. ITM Web Conf. 2017, 13, 1–11. [Google Scholar] [CrossRef]
- Alhamzi, G.; Gouri, A.; Alkahtani, B.S.T.; Dubey, R.S. Analytical solution of generalized Bratu-type fractional differential equations using the homotopy perturbation transform method. Axioms 2024, 13, 133. [Google Scholar] [CrossRef]
- Alpert, B.; Beylkin, G.; Coifman, R.R.; Rokhlin, V. Wavelet-like bases for the fast solution of second-kind integral equations. SIAM J. Sci. Statist. Comput. 1993, 14, 159–184. [Google Scholar] [CrossRef]
- Heller, V.; Strang, G.; Topiwala, P.N.; Heil, C. The application of multiwavelet filterbanks to image processing. IEEE Trans. Image Process. 1999, 8, 548–563. [Google Scholar]
- Saray, B.N. Abel’s integral operator: Sparse representation based on multiwavelets. BIT Numer. Math. 2021, 61, 587–606. [Google Scholar] [CrossRef]
- Saray, B.N. An effcient algorithm for solving Volterra integro-differential equations based on Alpert’s multi-wavelets Galerkin method. J. Comput. Appl. Math. 2019, 348, 453–465. [Google Scholar] [CrossRef]
- Saray, B.N. Sparse multiscale representation of Galerkin method for solving linear-mixed Volterra-Fredholm integral equations. Math. Method Appl. Sci. 2020, 43, 2601–2614. [Google Scholar] [CrossRef]
- Ordokhani, Y.; Rahimkhani, P. A numerical technique for solving fractional variational problems by Müntz–Legendre polynomials. J. Appl. Math. Comput. 2018, 58, 75–94. [Google Scholar] [CrossRef]
- Rahimkhani, P.; Ordokhani, Y.; Babolian, E. Müntz-Legendre wavelet operational matrix of fractional-order integration and its applications for solving the fractional pantograph differential equations. Numer. Algor. 2018, 77, 1283–1305. [Google Scholar] [CrossRef]
- Rahimkhani, P.; Ordokhani, Y. Numerical solution a class of 2D fractional optimal control problems by using 2D Müntz-Legendre wavelets. Optim. Contr. Appl. Met. 2018, 39, 1916–1934. [Google Scholar] [CrossRef]
- Almira, J.M. Müntz type theorems. I. Surv. Approx. Theory 2007, 3, 152–194. [Google Scholar]
- Shen, J.; Wang, Y. Müntz-Galerkin methods and applicationa to mixed Dirichlet-Neumann boundary value problems. Siam J. Sci. Comput. 2016, 38, 2357–2381. [Google Scholar] [CrossRef]
- Müntz, C.H. Über den Approximationssatz von Weierstrass; Springer: Berlin, Germany, 1914; pp. 303–312. [Google Scholar]
- Borwein, P.; Erdélyi, T.; Zhang, J. Müntz systems and orthogonal Müntz–Legendre polynomials. Trans. Amer. Math. Soc. 1994, 342, 523–542. [Google Scholar]
- Mallat, S. A Wavelet Tour of Signal Processing: The Sparse Way; Academic Press: Cambridge, MA, USA, 2008. [Google Scholar]
- Sabermahani, S.; Ordokhani, Y. A new operational matrix of Müntz-Legendre polynomials and Petrov-Galerkin method for solving fractional Volterra-Fredholm integrodifferential equations. Comput. Methods Differ. Eqs. 2020, 8, 408–423. [Google Scholar]
- Vahidi, A.R.; Hasanzade, M. Restarted Adomian’s decomposition method for the Bratu-type problem. Appl. Math. Sci. 2012, 6, 479–486. [Google Scholar]
- Ghomanjani, F.; Shateyi, S. Numerical solution for fractional Bratu’s initial value problem. Open Phys. 2017, 15, 1045–1048. [Google Scholar] [CrossRef]
Disclaimer/Publisher’s Note: The statements, opinions and data contained in all publications are solely those of the individual author(s) and contributor(s) and not of MDPI and/or the editor(s). MDPI and/or the editor(s) disclaim responsibility for any injury to people or property resulting from any ideas, methods, instructions or products referred to in the content. |
© 2024 by the authors. Licensee MDPI, Basel, Switzerland. This article is an open access article distributed under the terms and conditions of the Creative Commons Attribution (CC BY) license (https://creativecommons.org/licenses/by/4.0/).



