Abstract
Seepage–dissolution in carbonate rock fractures serves as the core driver governing the evolution of key engineering projects, including reservoir dam stability, CO2 geological sequestration, and unstable rock collapse mitigation strategies. While physical heterogeneity (e.g., fracture aperture, mineral distribution) is widely recognized as a critical factor regulating dissolution processes, the specific influence of mineral distribution heterogeneity on dissolution rates still lacks quantitative quantification. To address this gap, this study focuses on limestone fractures and employs multi-component reactive transport numerical simulations to model acidic fluid (pH = 5.0) seepage–dissolution under two Darcy flux conditions (37.8/378 m·yr−1). It investigates the controlling mechanisms of fracture roughness (λb = 0.036~0.308) and calcite contents (55%, 75%, 95%) on dissolution dynamics, and analyzes spatial variations in local Darcy velocity, reaction rate, and effective dissolution rate (Reff,i). Results demonstrate that mineral distribution heterogeneity directly induces pronounced spatial heterogeneity in dissolution behavior: diffusion dominates under low flux (simulation duration: 48.3 days), forming discrete reaction fronts (~15 mm) controlled by mineral clusters; advection prevails under high flux (simulation duration: 4.83 days), generating alternating dissolution–deposition zones (~7.5 mm) with Reff,i one order of magnitude greater than that under low flux. Notably, 55% calcite content yields the highest Reff,i (1.87 × 10−11 mol·m−2·s−1), 0.94 orders of magnitude greater than that at 95% calcite content. A strong linear correlation (R2 > 0.98) exists between the Damköhler number (DaI) and Reff,i at the same calcite content. Furthermore, the synergistic interaction between fracture aperture and mineral heterogeneity amplifies dissolution complexity, with high roughness (λb = 0.308) coupled with 55% calcite content achieving the highest Reff,i of 2.1 × 10−11 mol·m−2·s−1. This study provides critical theoretical insights and quantitative data support for fractured rock mass evolution prediction models, geological hazard prevention, and geological carbon sequestration optimization.
1. Introduction
Chemical weathering is a fundamental geological process that modifies surface rock masses via corrosive fluids (e.g., acid rain with pH < 5.6, groundwater), inducing the dissolution of soluble minerals [1,2,3,4,5]. For carbonate rocks, fracture dissolution and deposition not only regulate Earth system processes such as long-term atmospheric CO2 sequestration and landscape evolution [6,7,8,9,10] but also closely relate to engineering sustainability [11,12,13,14]—for instance, the dissolution rate of fractures in unstable rocks at the Three Gorges Reservoir affects hazard initiation [15,16], while preferential flow-induced dissolution reduces CO2 geological sequestration efficiency. Accurate quantification of fracture dissolution rates is thus critical for geochemical interpretation and engineering risk assessment.
Despite reproducible laboratory-measured dissolution rates (normalized by surface area), significant discrepancies exist in natural systems: laboratory rates are typically 4–5 orders of magnitude higher than field-observed effective rates [17,18,19,20,21]. This gap stems from intrinsic factors (e.g., reduced reactive surface area, secondary mineral deposition) and extrinsic factors (e.g., climate, preferential flow) [22,23], among which physical heterogeneity of porous media (e.g., permeability variations spanning several orders of magnitude) is pivotal, as it induces spatial differences in flow velocity and fluid residence time [24,25].
Fractures, as core seepage channels in rock masses, exhibit inherent physical heterogeneity in two key aspects: aperture roughness (λb) and mineral distribution [26,27,28,29,30,31]. Aperture heterogeneity alters fracture geometry and seepage paths during dissolution [32,33], while mineral heterogeneity (content and spatial distribution) causes spatial variations in reaction rates and pore characteristics [34]. However, existing studies have primarily focused on single-factor effects (e.g., aperture roughness or mineral content) and lack systematic quantitative analysis of the synergistic regulation of these dual heterogeneities on the spatial differentiation of dissolution rates [35,36]. Specifically, the influence of mineral cluster distribution and its coupling with flow velocity on dissolution front morphology remains insufficiently understood.
To address this research gap, this study established limestone fracture models with heterogeneous apertures (λb = 0.036~0.308) and random mineral distributions (calcite contents: 55%, 75%, 95%) using self-affine fractal theory and Monte Carlo simulation. The open-source reactive transport code CrunchFlow (CrunchTope-v2.10) was employed to couple Darcy flow, reactive transport, and fracture deformation processes. By setting two average Darcy flux conditions (37.8 and 378 m·yr−1), the study quantified the spatial differentiation characteristics of dissolution/deposition rates and clarified the formation mechanism of dissolution-dominated paths induced by local aperture and mineral variations. The findings aim to advance the theoretical understanding of coupled dissolution–seepage processes and provide quantitative support for carbonate reservoir reconstruction and karst unstable rock hazard prediction.
2. Methods
2.1. Generation of Fractures with Heterogeneous Aperture Distribution
Latticed domains were constructed with heterogeneous spatial distributions of permeability that induce preferential flow paths. The 2D model domain is 100 mm × 100 mm, consisting of 200 × 100 cells with dx × dy cell discretization where dx and dy is the length of a side of a cell (dx = dy = 0.05 mm). This study uses the commonly used roughness λb (i.e., the coefficient of variation in fracture aperture; the larger the λb, the more obvious the undulation and roughness of the fracture structural surface) in fracture seepage mechanics to quantify the heterogeneity of fracture aperture. It is defined as the ratio of the standard deviation of fracture aperture (σb) to the average aperture (⟨b⟩) [35,36]. To generate rough surfaces of carbonate rock fractures that are as realistic as possible, this study utilizes the high-quality rock fracture generation package synFrac v1.0, based on Brown’s model, to generate rough limestone fractures in accordance with relevant statistical characteristics of real rock fracture surfaces, such as fractal dimension, standard deviation of surface height, and anisotropy factor (Table 1) [37,38,39]. The generation of fracture apertures follows a log-normal distribution, with an average aperture value of 179.56 µm. The fracture roughness values are 0.036 (Fracture A), 0.106 (Fracture B), 0.212 (Fracture C), and 0.308 (Fracture D), respectively. Additionally, homogeneous fractures (H) are generated for comparative studies, and the distribution characteristics of fracture apertures are presented in Figure 1 [40,41,42].
Table 1.
Initial parameters of fracture roughness.
Figure 1.
Distribution characteristics of fracture aperture (Fractures A, B, C, and D correspond to generated fracture models with roughness values of 0.036, 0.106, 0.212, and 0.308, respectively).
2.2. Generation of Fractures with Heterogeneous Mineral Distribution
In the fracture dissolution process, the characteristics of different mineral distributions (i.e., the spatial distribution of reactive and inert minerals) determine the local reaction rate. The consumption or production of reactive minerals significantly affects the variation in local fracture aperture, which directly influences the ion transport rate in the local fluid and thereby impacts the fracture seepage–reaction process.
To investigate the mechanism by which the spatial distribution characteristics of minerals in fractures influence the seepage–dissolution process of fractures with heterogeneous aperture distribution, we implemented independent configurations for the minerals in the 2D fracture model. In the original setup of CrunchFlow, each 0.05 × 0.05 mineral cell consists of 75% calcite and 25% quartz in terms of volume fraction. Via Monte Carlo simulation in MATLAB R2022b, we assigned a single mineral property (either calcite or quartz) to each of the 20,000 cells within the 2D fracture, and randomly generated three types of fractures corresponding to different carbonate rocks (sandy limestone, quartz-bearing limestone, and pure limestone) under three calcite volume fractions (55%, 75%, and 95%) (Figure 2). The grid cells corresponding to the remaining volume fraction were uniformly assigned the mineral property of quartz.
Figure 2.
Random distribution patterns at different mineral contents (light blue denotes calcite (reactive mineral) and dark blue represents quartz (inert mineral) in the mineral distribution maps; “55-1” denotes the first random distribution pattern at 55% calcite content).
To quantify the characteristics of the spatial distribution of heterogeneous minerals, this study introduces a MATLAB package developed by Yann Marcon. This package is used to calculate and identify the characteristics of distribution differences in reactive minerals in fractures, as well as the clustered clusters in mineral distribution (Figure S1, Table S1). The statistically identified reactive mineral clusters may affect the local reaction rate during the dissolution process. Smaller clusters will be preferentially dissolved completely, while larger clusters will be surrounded by acidic fluids, leading to slow reactions.
2.3. Reaction Transport Simulation
The reactive transport code CrunchTope-v2.10 was used to investigate the effects of heterogeneous flow and mixing on the evolution of weathering rates over time [43]. CrunchTope solves the macroscopic advection–dispersion–reaction equation (ADRE, Equation (1)) [44]:
where ϕ denotes porosity, Cs is the concentration of primary species j (mol L−1), u is the Darcy velocity (m s−1), rs is the reaction rate of species j (mol L−1 s−1), and N is the total number of primary species. D is the hydrodynamic dispersion tensor (m2 s−1), defined as the sum of Fickian dispersion (D*) and molecular diffusion (D0) divided by a formation factor F (D = D* + D0/F). In this study, D was simplified to D0 by ignoring Fickian dispersion and assuming F = 1. All simulations were conducted using an operator-splitting scheme (OS3D) to minimize numerical dispersion.
In CrunchFlow, fracture aperture is not directly applicable for computations. Thus, this study converts local aperture to rock mass fracture permeability K using the classic cubic law (K = b2/12) to perform numerical simulation experiments.
The fracture dissolution process was conducted at a reaction temperature of 25 °C. The diffusion coefficient D was adopted for the reactive bicarbonate ion, with a value of 1.15 × 10−9 m2 s−1. Two basic average Darcy fluxes (Ux) along the X-direction were defined as 37.8 m yr−1 (Hlow) and 378 m yr−1 (Hhigh), which were determined by referencing the fracture seepage data from the Wulong Tunnel project in Chongqing, China. Based on measured data and empirical values, the permeability in the most karst-developed area of the simulation domain ranges from 1.8 × 10−11 m2 to 1.3 × 10−10 m2, the porosity ranges from 7% to 35%, and the annual groundwater temperature is mostly between 15 °C and 30 °C. According to XRD analysis, the mineral composition of carbonate rocks in the measured area is as follows: calcite (95%), illite (2%), and montmorillonite (3%). It should be noted that the high flow velocity of 378 m yr−1 is actually a common fracture seepage velocity in karst areas of southern China, while the maximum fracture flow velocity referenced in traditional studies can reach up to 10,000 m d−1. As effective permeability varies with heterogeneity degree, fixed average Darcy fluxes yield fixed mean residence times of 4.63 h and 0.46 h, respectively, with pressure gradients adjusted to account for permeability variations. Flux boundary conditions were applied to the left and right boundaries of the domain, while no-flow conditions were adopted for the top and bottom. Simulation durations were 48.3 days and 4.83 days for slow, medium, and fast flow rates, respectively. Durations were scaled with flow rates to ensure consistent total pore volume of fluid displaced within the domain across all simulations. Initial fluid parameters were referenced to the dominant HCO3-Ca groundwater hydrochemical type in Wulong, Chongqing, China [45].
In Chongqing, China, acid rain has been a severe issue over the past decades due to the dense distribution of heavy industries along the Yangtze River. Therefore, to conduct a targeted investigation on the dissolution of surface rock fractures, we focused on the dissolution impact of acidic rainfall infiltration on rock fractures: the pH of the fluid introduced into the 2D fractures was set to 5.00, and the concentrations of Ca2+ and SiO2 (aq) were set to 0, so as to realistically simulate fluid infiltration under acid rain conditions in Chongqing [11,45]. The ionization equilibrium in the solution was maintained by bicarbonate ions in the carbonic acid solution. The relevant parameters of the fracture seepage model are presented in Table 2 [46]. Calcite in the fracture model is a reactive mineral, while quartz is defined as an inert mineral (with dissolution and precipitation inhibited) to simplify the chemical process. Three different parallel reactions proposed in the literature were used to study the dissolution kinetics of calcite (Table 3) [47]. Here, kcst is the intrinsic rate constant (mol m−2 s−1) assumed to be pH-independent in the model input.
Table 2.
Related parameters of fracture dissolution simulation [46].
Table 3.
Chemical reaction in dissolution process [47,48,49].
We modeled the reactions using a transition state theory (TST)-based rate law:
Here, k1, k2, and k3 denote rate constants (mol·m−2·s−1); and represent the activities of hydrogen ions and bicarbonate ions, respectively (dimensionless). The ion activity product (IAP) is defined as , and Keq is the equilibrium constant for Reaction (3). Although Reactions (2) to (4) exhibit distinct IAP and Keq values, the IAP/Keq ratio is identical across all three reactions—this can be readily verified by explicitly deriving IAP/Keq expressions for each reaction pathway. The rate law (Equation (2)) indicates that calcite reaction rates are dependent on mineral reactivity, surface area, and aqueous geochemical properties, including pH and the degree of deviation from equilibrium.
2.4. Reaction Rate Formulations
Two different dissolution rate formulations were defined. The effective dissolution rate (Reff,i, mol m−2 s−1), representing the volume-averaged reaction rate over a given part of the domain, was calculated using the flux-weighted Ca2+ concentration (Equation (3)) at different measurement planes (x = i) along the main flow direction (Figure 3) [44].
where qi,j is Darcy velocity of each cell j (m3 s−1) and ΔCai,j is the difference in Ca2+ concentration between inlet fluid and each cell at the measurement plane location x = i (mol m−3). Here, i represents the characteristic length (m), corresponding to the distance from the inlet to the measurement plane (x = i). Vi is the volume (m3) of the domain from x = 0 to x = i and ⟨Ab⟩Vi is the arithmetic mean of the bulk mineral surface area (m2 mineral m−3 porous media) over the volume Vi. Ab is calculated using the given specific surface area with Equation (4).
where Ab is the specific surface area (m2 g−1), MWm is the molecular weight of the mineral phase (g mol−1), f is the mineral volume fraction, and Vm is the molar volume of the mineral phase (m3 mol−1). Reff is conceptually the same as reaction rates calculated from mass balance methods in field systems [21,50,51].
Figure 3.
The indication of fracture dissolution rate.
Local reaction rates (Rlocal, mol m−2 s−1) for each individual grid cell are calculated from linear transition state theory (Equation (5)).
where the exponents m and n allow for nonlinear dependencies on the saturation state term, and these exponents are assumed to be 1 in this study. Initial surface areas (As,0) were specified as an initial input (Table 3), and then the surface area of mineral s was updated after each time step according to Equations (6) and (7) for dissolution and precipitation reactions, respectively,
where fs and fs,0 are the mineral volume fraction and the initial mineral volume fraction, respectively.
2.5. Dimensionless Parameters
To extrapolate the limited simulation results to scenarios involving different study domains, different average fluxes, or different rate constants, this study introduces a two-dimensional domain-scale dimensionless number (DaI,i). As shown in Equation (8), it quantifies the relative dominance of advective transport (τa) and reactive time scale (τr) within the domain [43]:
where Ceq,i is the equilibrium concentration of the solute at x = I (mol m−3), calculated using thermodynamic data from the datacom.dbs database.
Furthermore, to characterize the relative rates of advection and diffusion of the same physical quantity driven by an appropriate gradient in the fracture continuum, this study introduces another commonly used dimensionless number, the Péclet number (Pe) [27]:
where the dimensionless Pe number quantifies the relative rates of advective transport and diffusive transport of the same physical quantity driven by an appropriate gradient in the fracture continuum; L is the lateral length of the fracture domain (m); ϕ is the fracture porosity; and D is the diffusion coefficient of ions in the solution. The Pe numbers simulated here are 521.7 and 5217, respectively, which apply to the fracture dissolution processes under two average Darcy flux (Ux) conditions (37.8 and 378 m yr−1).
3. Results
3.1. Effective Dissolution Rate (Reff,i) Controlled by Mineral Content in Homogeneous Fractures
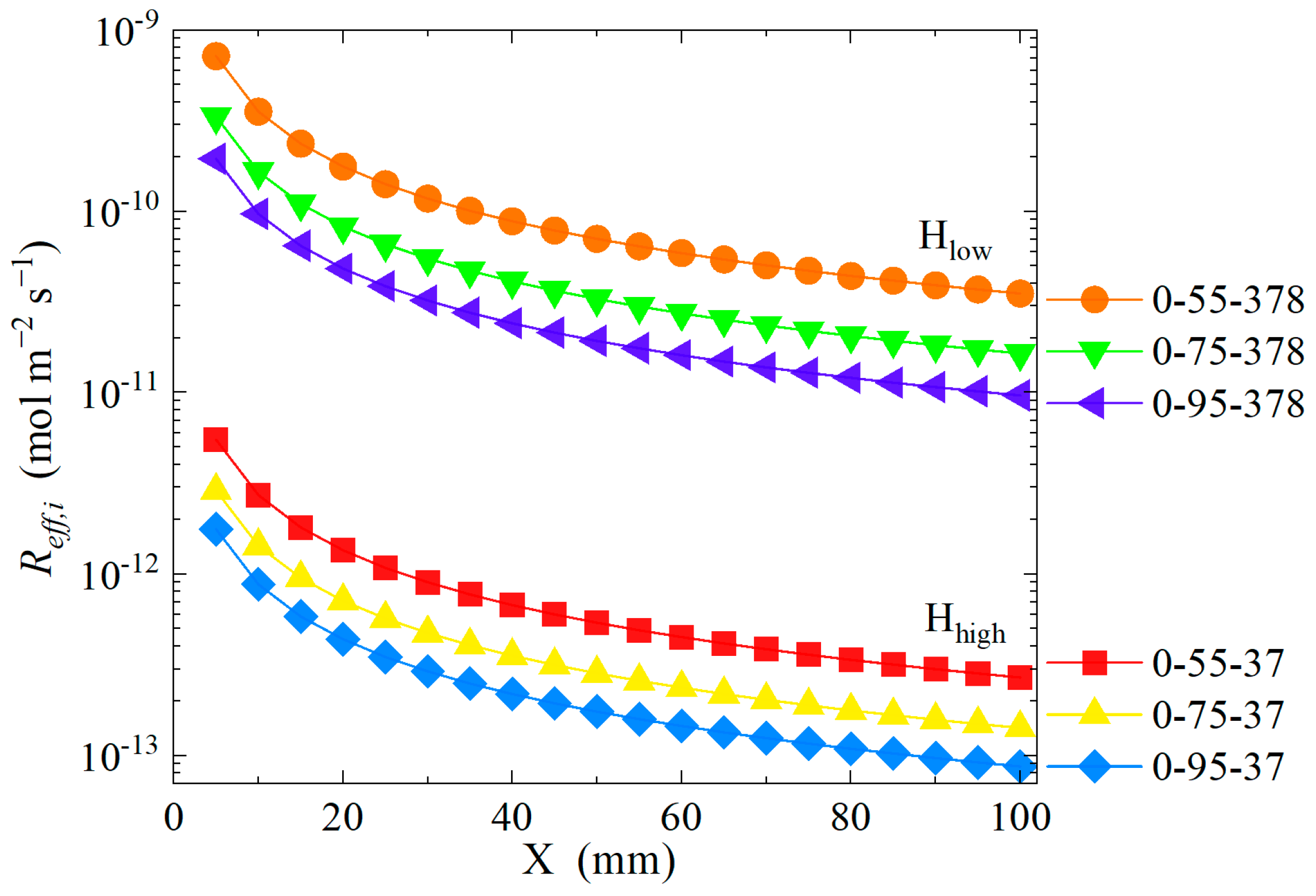
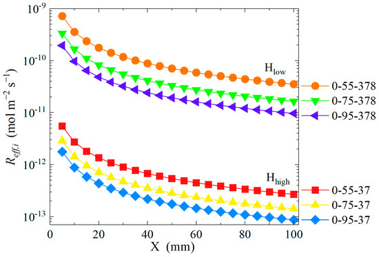
Building on our prior work investigating local permeability, local Darcy velocity, and local dissolution rate during fracture dissolution under heterogeneous aperture conditions [52], this study focuses on the dissolution rate characteristics of fractures with heterogeneous mineral distributions. To facilitate comparison with physically heterogeneous fractures (i.e., those with both aperture and mineral distribution heterogeneity), we applied two fluid flow velocities (37.8 m·yr−1 and 378 m·yr−1) to homogeneous-aperture fractures under three calcite volume fractions (55%, 75%, and 95%) and examined their dissolution behaviors (Figure 4).
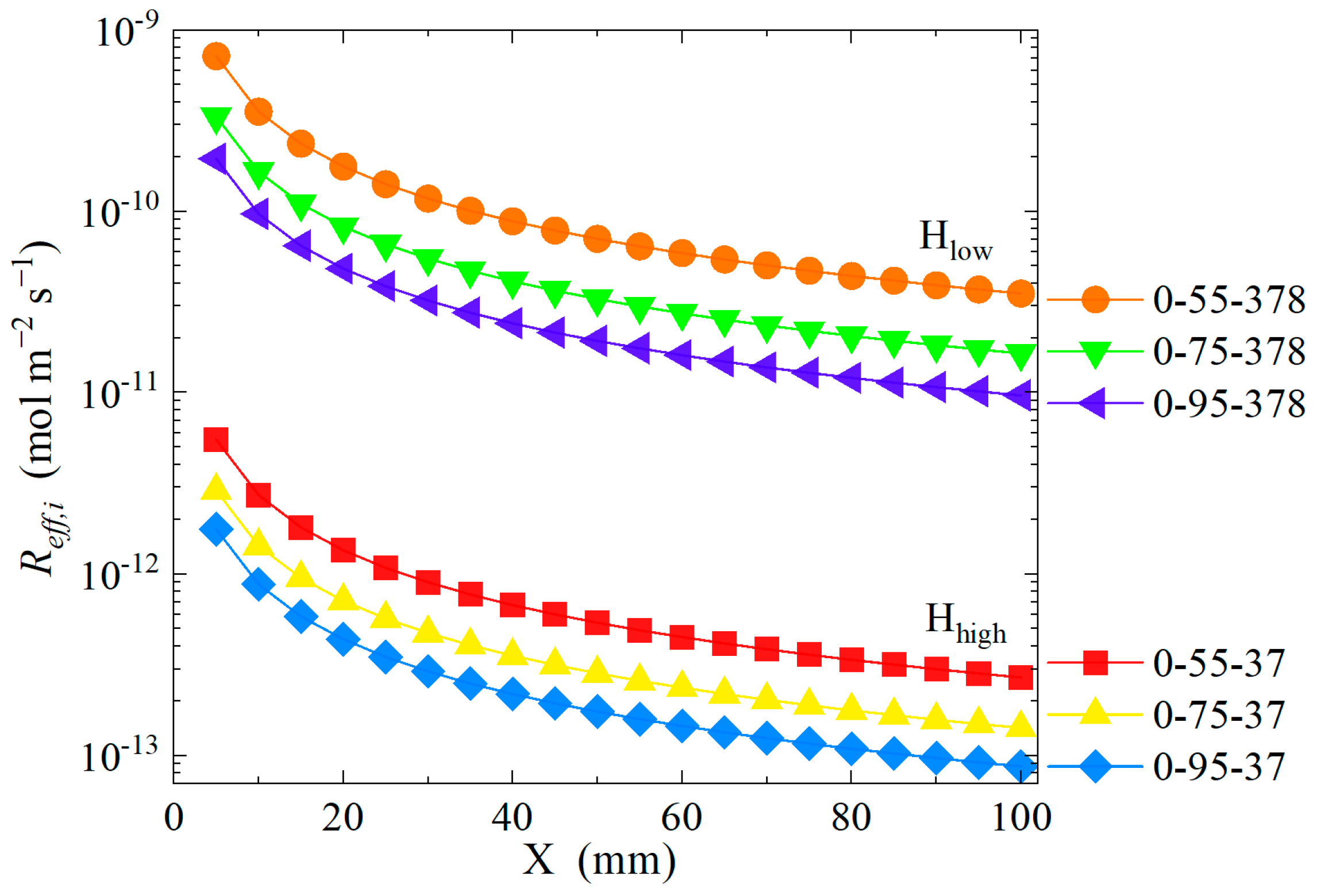
Figure 4.
Characteristics of Rlocal in homogeneous fractures with different calcite contents (“0-55-37” denotes homogeneous fractures with roughness 0, 55% calcite content, and acidic fluid injection velocity of 37.8 m·yr−1).
Notably, Figure 4 reveals distinct features between low (Hlow) and high (Hhigh) flow velocity conditions: under Hlow, fractures exhibit a longer dissolution front (~15 mm) with relatively high dissolution rates, whereas under Hhigh, the front shortens to only ~7.5 mm. The downstream region transitions into a mixed zone of calcite dissolution and deposition, serving as a transition between the two processes. Under Hlow, the downstream section of the fracture features a more uniform reaction space, approaching chemical equilibrium.
However, despite the shorter dissolution front under Hhigh, the downstream region exhibits higher dissolution and deposition rates compared to Hlow, resulting in heterogeneous reaction rate distributions. Additionally, under Hhigh, the calcite dissolution rate in the downstream reaction space is comparable to that at the front, whereas under Hlow, the downstream rate differs significantly from the front.
Furthermore, homogeneous fractures with 55% calcite content display distinct regional deposition characteristics relative to higher calcite contents. Specifically, Figure 4a shows a clear calcite deposition zone at the fracture outlet; in contrast, Figure 4d indicates that, except for the front dissolution zone, most other regions have higher local deposition rates than dissolution rates. In comparison, homogeneous fractures with 75% and 95% calcite content exhibit consistent local reaction patterns.
Further analysis of local reaction rates in homogeneous fractures revealed that, under both flow velocities, the maximum dissolution rate at the front decreases with increasing calcite content. This is because higher reactive mineral content generates additional Ca2+ ions, which increase the saturation degree of mineral units and reduce the local dissolution rate (Rlocal). Additionally, along the flow direction of the acidic fluid, the deposition rate is lower, limiting the accumulation of migrating Ca2+ ions and subsequent deep deposition.
Notably, under Hlow, Figure 4b shows fewer dissolution zones (48.44% of the fracture area) and reaction equilibrium zones (19.26%) compared to Figure 4a, with differences of 9.1% and 1.06%, respectively. In contrast, under Hhigh, the number of dissolution zones and equilibrium zones increases with calcite content: Figure 4d contains 42.25% dissolution zones and 5.65% equilibrium zones, while Figure 4f contains 60.39% dissolution zones and 7.98% equilibrium zones.
Although local reaction rates in homogeneous fractures exhibit diverse distribution characteristics, the characteristic distribution of the effective dissolution rate (Reff,i) (Figure 5) clearly shows that Reff,i decreases with increasing calcite content. Furthermore, Reff,i gradually decreases in an arc-shaped trend with increasing flow distance. Even with the same calcite content, the variations in fracture dissolution rates under Hhigh conditions are more pronounced than those under Hlow conditions. Notably, this indicates that, for fractures with identical mineral content, the overall fracture dissolution rate variations are not identical; instead, relatively low calcite content provides more reaction space, which sufficiently sustains a higher overall fracture dissolution rate.
Figure 5.
Distribution of Reff,i under different calcite contents in homogeneous-aperture fractures.
3.2. Local Darcy Flow Rate (u) Under Heterogeneous Aperture Distribution
3.2.1. Characteristics of Local Flow Velocity (u) Under Heterogeneous Aperture
Similarly to homogeneous simulations, fluids in heterogeneous domains progress toward chemical equilibrium along flow paths; however, they follow paths with variable velocities and residence times within the domain. Flow channel structure is governed by the permeability distribution of the fracture medium, where local permeability is obtained by converting local aperture via the classic cubic law. Adjacent regions with large local apertures form preferential flow paths with relatively high local velocity (u), whereas high-velocity preferential flow paths also emerge around the edges of small-aperture regions (Figure 6).
Figure 6.
Selected log-transformed local Darcy velocity (lgu) fields (working conditions of four fractures with different roughnesses under high and low fluid injection velocities). (a) Distribution of lgu when Ux = 37.8 m yr−1 and λb = 0.036; (b) Distribution of lgu when Ux = 37.8 m yr−1 and λb = 0.106; (c) Distribution of lgu when Ux = 37.8 m yr−1 and λb = 0.212; (d) Distribution of lgu when Ux = 37.8 m yr−1 and λb = 0.308; (e) Distribution of lgu when Ux = 378 m yr−1 and λb = 0.036; (f) Distribution of lgu when Ux = 378 m yr−1 and λb = 0.106; (g) Distribution of lgu when Ux = 378 m yr−1 and λb = 0.212; (h) Distribution of lgu when Ux = 378 m yr−1 and λb = 0.308. The color bar indicates the value range of lgu (unit: m yr−1).
Therefore, aperture heterogeneity is defined herein as the permeability difference induced by aperture variations between large and small-aperture regions, and characterized by the roughness coefficient λb. Fractures with high λb (Figure 6d,h) generate preferential flow paths with high local velocities (u); however, they also form local stagnant zones with extremely low flow velocities (local u is nearly zero, impeding fluid migration), thereby reducing their geometric mean velocity (g)).
3.2.2. Correlation Between Fracture Roughness (λb) and Local Flow Velocity (u)
To further investigate the evolutionary characteristics of local Darcy flow velocity, additional fracture dissolution operating conditions under different magnitude flow velocities with basic mineral distribution were added. Based on the fracture Darcy flow velocity field data (Table S2), correlation diagrams of the geometric mean (g), and geometric standard deviation (σg) of local velocity under the same roughness (λb) were plotted (Figure 7).
Figure 7.
Correlation between geometric mean local velocity () and geometric standard deviation of velocity (σg) in fractures with identical roughness. (a) Correlation curve for Fracture A (corresponding to the aperture roughness λb = 0.036); (b) Correlation curve for Fracture B (corresponding to the aperture roughness λb = 0.106); (c) Correlation curve for Fracture C (corresponding to the aperture roughness λb = 0.212); (d) Correlation curve for Fracture D (corresponding to the aperture roughness λb = 0.308).
In Figure 7, as fracture roughness (λb) increases, the peak of σg gradually rises, and curve fluctuation (i.e., the amplitude of dispersion degree variation) becomes increasingly pronounced. Moreover, the σg values of all four fractures reach their peaks at an inlet flow velocity (Ux) of 378 m·yr−1, indicating the highest dispersion degree of local flow velocities at this flow velocity. Under the same inlet flow velocity, the geometric mean velocity (g) gradually attenuates as λb increases, following a single exponential decay model (ExpDec1) with a coefficient of determination (R2) greater than 0.99.
Given the predictable relationship between g and fracture aperture structure, g can be employed as a heterogeneity quantification index to evaluate the influence of aperture heterogeneity on fracture dissolution rate.
3.3. Characteristics of Local Mineral Dissolution Rate (Rlocal) Under Different Calcite Contents
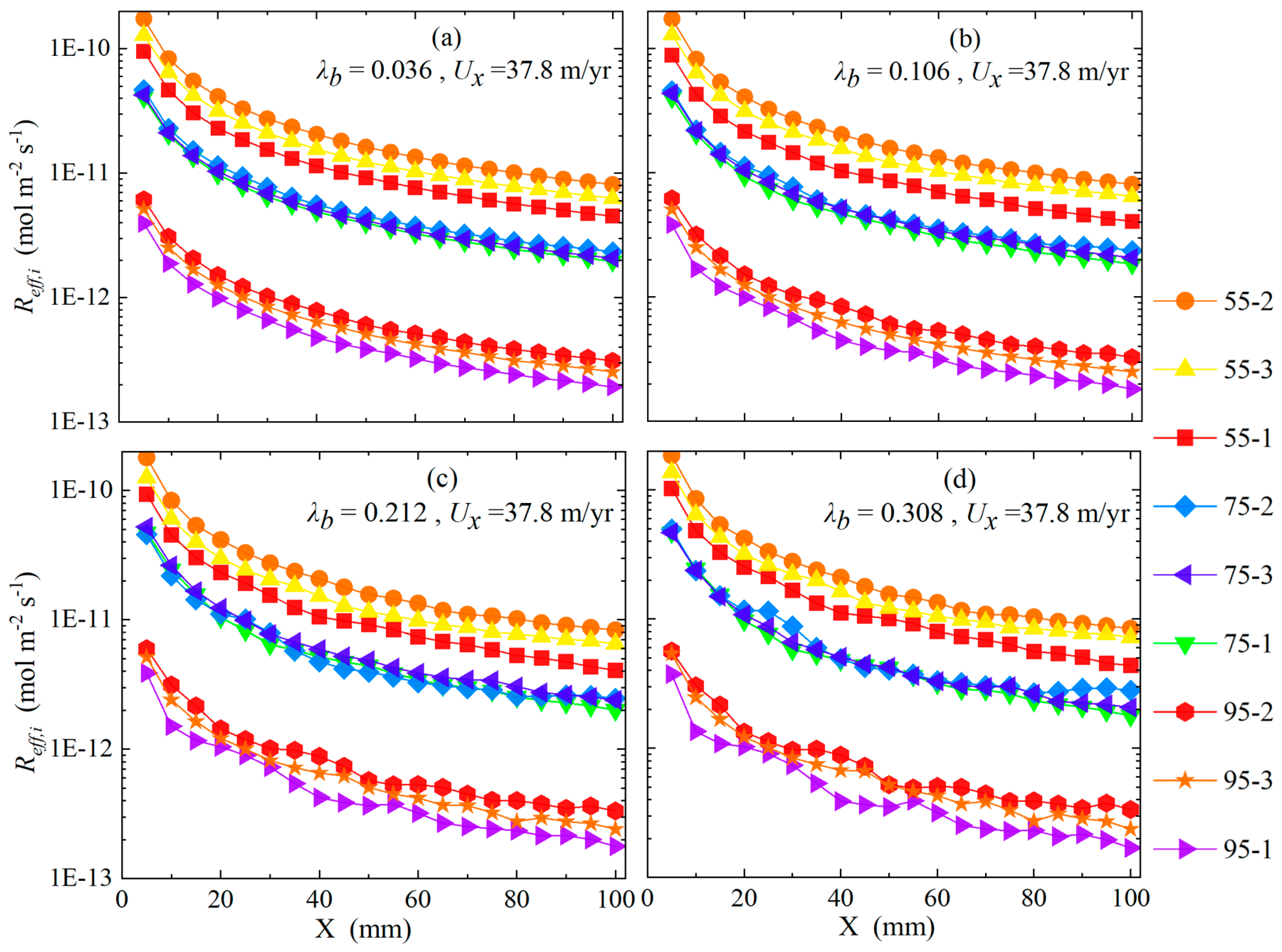
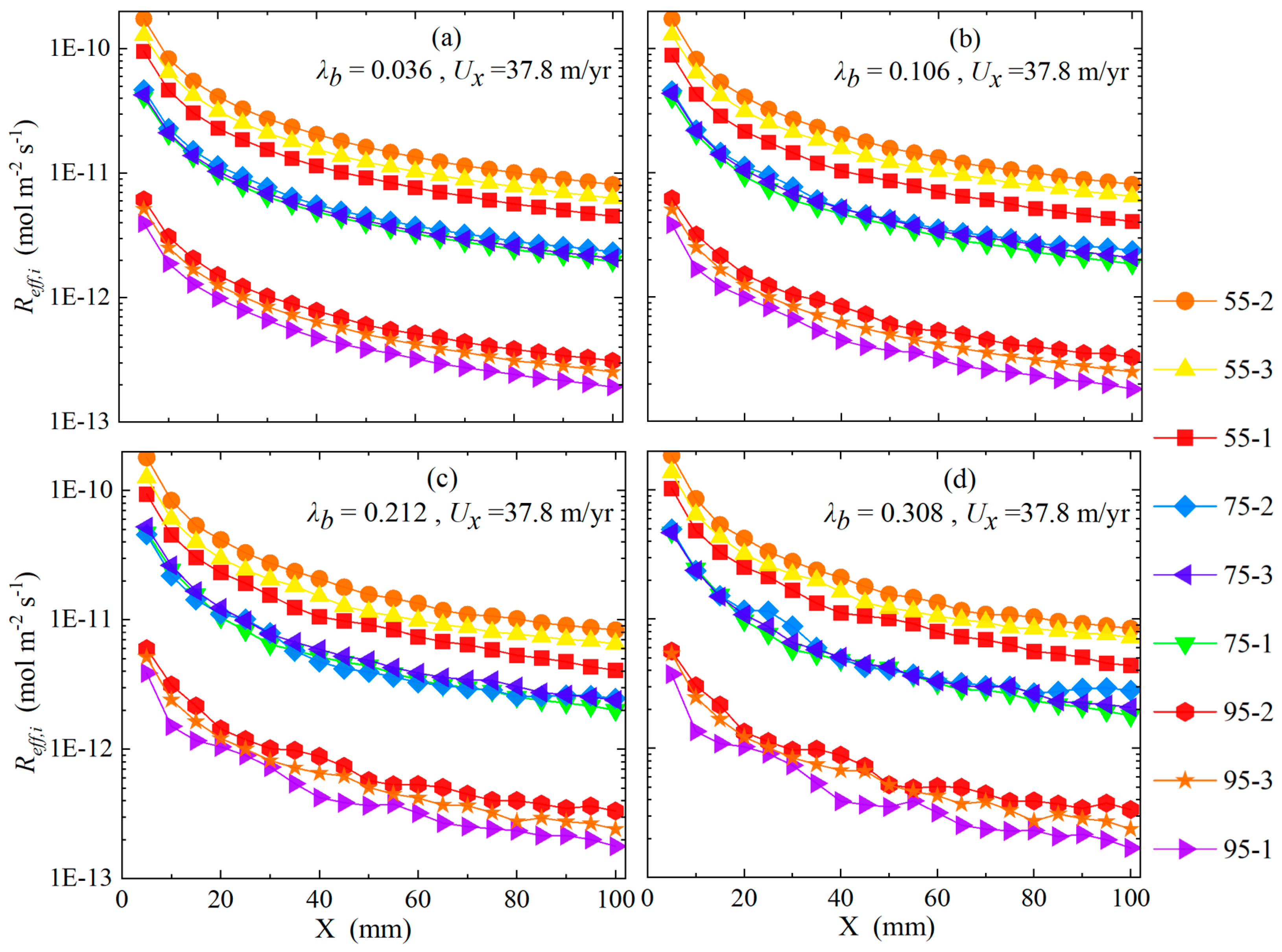
To elucidate fracture dissolution behavior, examining the distribution characteristics of local dissolution rates on the fracture surface under initial heterogeneous aperture and mineral distribution conditions aids in revealing the distribution pattern of effective fracture dissolution rate (Reff,i) for heterogeneous mineral distributions. For heterogeneous mineral distributions, the non-normalized local dissolution rate (Rlocal) was employed to calculate local fracture dissolution rates, enabling the reconstruction of scenarios where local mineral units contain no reactive minerals. In this study, two fractures with heterogeneous apertures (λb = 0.106 and 0.308) were selected, combined with the second type of random mineral distribution under different calcite contents. Contour maps of local fracture dissolution rates were generated under two inlet flow velocities (Figure 8 and Figure 9).
Figure 8.
Distribution of non-normalized local dissolution rates in fractures with random heterogeneous mineral distribution under an inlet fluid velocity of 37.8 m·yr−1. The distribution of all fractured minerals is the second under random distribution; the positive value represents dissolution, and the negative value represents deposition. (a) Distribution of Rlocal in the fracture with an aperture roughness of λb = 0.106 and a calcite content of 55%; (b) Distribution of Rlocal in the fracture with an aperture roughness of λb = 0.106 and a calcite content of 75%; (c) Distribution of Rlocal in the fracture with an aperture roughness of λb = 0.106 and a calcite content of 95%; (d) Distribution of Rlocal in the fracture with an aperture roughness of λb = 0.308 and a calcite content of 55%; (e) Distribution of Rlocal in the fracture with an aperture roughness of λb = 0.308 and a calcite content of 75%; (f) Distribution of Rlocal in the fracture with an aperture roughness of λb = 0.308 and a calcite content of 95%. The color bar represents the value range of Rlocal (unit: mol L−1 s−1).
Figure 9.
Distribution of non-normalized local dissolution rates in fractures with random heterogeneous mineral distribution under an inlet fluid velocity of 378 m·yr−1. The sketch of the subfigure can be referred to Figure 8.
3.3.1. Characteristics of Rlocal at 37.8 m·yr−1 (Hlow)
Under Hlow conditions, the average dissolution rates of the six contour map groups are 1.093 × 10−6, 1.090 × 10−6, 1.132 × 10−6, 1.295 × 10−6, 1.180 × 10−6, and 1.133 × 10−6 mol·L−1·s−1, respectively. Notably, Fracture D exhibits a higher average dissolution rate, with this trend being particularly prominent under 55% and 75% calcite contents. For fractures with identical heterogeneous aperture distribution, the dissolution rate follows a consistent order: 55% > 75% > 95%.
Local dissolution rates in fractures with varying calcite contents feature a “pink dissolution front” (a high-rate zone near the inlet), which differs from characteristics observed under previously studied inlet flow velocities of different orders of magnitude. As reactive calcite content increases, the width of the dissolution front narrows. However, except for the 95% calcite distribution, the fronts in the other two cases all contain low-rate deposition zones dominated by inert quartz. Correspondingly, a high-rate deposition zone exists at the fracture outlet, with a width smaller than that of the dissolution front.
The local rate distribution of mineral units in fractures with 95% reactive calcite differs distinctly from the other two calcite content cases: high-rate dissolution extends to inert mineral units, forming large-scale deposition areas interspersed with local high-dissolution regions shaped by inert mineral distribution. Driven by solute transport, the area of these high-dissolution regions is significantly larger than that of the inert mineral units. The large-scale deposition areas originate from solute accumulation via extensive calcite dissolution, whereas no deposition occurs in inert mineral units due to their low mineral saturation degree and low calcium ion concentration. In contrast, for the 55% and 75% reactive calcite distributions, low-rate deposition is confined solely to inert mineral units.
Thus, despite containing more reactive calcite, the dense spatial distribution of minerals in the 95% calcite case induces solute accumulation during fluid transport, resulting in an overall dissolution rate lower than that of the other two calcite content distributions.
3.3.2. Characteristics of Rlocal at 378 m·yr−1 (Hhigh)
Under the Hhigh condition (Figure 9), the local dissolution rate contour maps for all three calcite contents exhibit distinct advection and diffusion effects, with the 95% calcite content case showing continuous alternation of distinct dissolution and deposition zones. The dissolution rates for the six different mineral distributions are 1.096 × 10−5, 1.102 × 10−5, 1.088 × 10−5, 1.414 × 10−5, 1.066 × 10−5, and 1.069 × 10−5 mol·L−1·s−1, respectively, all one order of magnitude greater than those under the 37.8 m·yr−1 flow condition.
However, a notable difference exists: except for the “55-2” mineral distribution case —where Fracture B’s dissolution rate is significantly lower than that of Fracture D—Fracture B exhibits a slightly higher dissolution rate than Fracture D for the other two random mineral distributions. From the contour maps alone, Fracture D has more discrete, narrower dissolution and deposition zones compared to Fracture B under the “55-2” case. The upper equilibrium region is interspersed with low-rate dissolution units, while the lower equilibrium region contains scattered low-rate deposition units; deposition regions in Fracture D are less concentrated and distinct than those in Fracture B, particularly along the lower boundary.
This is attributed to well-developed preferential flow paths in Fracture D, which transport adequate Ca2+ solutes, resulting in lower mineral saturation than in Fracture B. Consequently, Fracture D has more units available for dissolution, with large-aperture preferential flow paths further enhancing local dissolution rates. As calcite content increases, both the distribution of reaction rates and fracture dissolution morphologies undergo distinct changes.
Under Hhigh conditions, fracture dissolution is dominated by more pronounced advection effects, while enhanced diffusion effects rely on greater fracture aperture heterogeneity. However, in Fracture B, while aperture heterogeneity influences dissolution, it does not produce highly irregular morphologies. Local small-aperture regions promote the formation of deposition units, thereby affecting the dissolution process along the flow direction at the same Z-axis positions.
Mineral content also regulates dissolution morphology distribution: at 55% reactive mineral content, sufficient inter-mineral space in the fracture facilitates solute transport, resulting in reactions of varying intensities. In contrast, at 95% reactive mineral content, dense reactive mineral distribution restricts solute transport throughout the fracture, with spaces occupied by reactive minerals acting as solute retention zones.
Comparing Figure 9c,f, dense calcite distribution releases substantial Ca2+ ions upon dissolution by acidic fluids. Under the combined effects of aperture heterogeneity and fluid transport, alternating dissolution–deposition zones form in the fracture and extend downstream. In Figure 9c, the relatively uniform aperture distribution facilitates Ca2+ transport out of the fracture, leading to gradual dissipation of upstream alternating dissolution–deposition zones as they extend downstream.
In Figure 9f, however, fracture aperture heterogeneity and dense mineral distribution render Ca2+ ions prone to retention in local low-velocity (stagnant) zones, impeding Ca2+ transport outside preferential flow paths. Consequently, Figure 9f exhibits not only curved, irregular dissolution zones induced by aperture heterogeneity but also shows that dissolution zone morphologies are strongly regulated by advection–diffusion processes during downstream extension—resulting in enhanced deposition across multiple regions while preserving Ca2+ transport channels.
The contour maps reveal the diversity and complexity of fracture dissolution processes. Furthermore, carbonate rock fracture dissolution is susceptible to local deposition caused by solute accumulation, which is a key factor accounting for the diverse morphologies of dissolution reactions in carbonate rock fractures.
3.4. Characteristics of Effective Dissolution Rates Under Heterogeneous Mineral Distribution
To clarify the influence of calcite spatial distribution on solute transport and dissolution processes, Figure 10 illustrates the effective dissolution rates (Reff,i) under different mineral contents and distributions in fractures of different roughnesses, at an inlet flow velocity of 37.8 m·yr−1. Additionally, Figure S2 presents the average effective dissolution rate curves with error bars for fractures of varying roughnesses.
Figure 10.
Distribution of effective dissolution rates in fractures with random heterogeneous mineral distribution under an inlet fluid velocity of 37.8 m·yr−1.
Notably, all fracture dissolution rates in Figure 10 are higher than those in homogeneous systems, highlighting the significant impact of mineral unit spatial characteristics on dissolution dynamics. This study suggests that the spatially heterogeneous distribution of quartz (inert) and calcite (reactive) units provides calcite with greater space for acidic fluid dissolution. Specifically, inert mineral units act as temporary solute transport pathways for calcite-derived solutes, thereby reducing the IAP/Keq ratio of local calcite and enhancing the local dissolution rate.
Three key patterns emerge from Figure 10:
- Consistent with observations in homogeneous systems, dissolution rates decrease with increasing calcite content. Among all distributions, “55-2” yields the highest dissolution rate across fractures of all roughnesses, while “95-1” exhibits the lowest. According to Table S1, among the three random distributions for 55% calcite content, “55-2” has the fewest clusters and the largest average number of mineral units; in contrast, “95-1” has the most clusters and the smallest average number of mineral units, with both featuring the smallest XY standard deviation.
- In contrast to the distinct differences in effective dissolution rates among the three random distributions for 55% and 95% calcite contents, the dissolution rate curves for 75% calcite content exhibit consistent profiles. Furthermore, despite identical calcite content differences between adjacent groups, the average incremental differences in dissolution rates vary: the average rate for 55% calcite content is 0.47 orders of magnitude greater than that for 75%, while the average rate for 75% calcite content is 0.94 orders of magnitude greater than that for 95% (Figure S2). These results indicate that the dissolution rate curve for 75% calcite content exhibits the highest stability, followed by 55% calcite content. The fitting goodness (R2) for random calcite distributions at 75% content reaches 0.990, significantly higher than those for the other two contents. Combined with the relative stability of the distribution curves, it can be inferred that there exists an optimal reactive mineral content for fractures, at which the dissolution rate is relatively high and stable.
- Relative to previous findings, rate curve instability is more pronounced under Hlow conditions. The effect of aperture-heterogeneous fractures on dissolution is amplified under mineral-heterogeneous conditions, with more pronounced oscillatory trends observed in Fractures C and D.
4. Discussion
4.1. Correlation Between Dimensionless Parameters and Dissolution Rate of Heterogeneous Mineral Distribution
Building on prior characterizations of fracture dissolution rates, correlation diagrams between the dimensionless Damköhler number (DaI) and dissolution rates were generated for both random and specific mineral distributions (Figure 11). Notably, fracture dissolution rates vary substantially among different calcite contents; however, under the same calcite content, rates corresponding to distinct mineral distributions are closely aligned and demonstrate a strong linear correlation.
Figure 11.
Correlation between DaI and log-transformed dissolution rate under heterogeneous mineral distribution (“0.036-55” denotes fractures with λb = 0.036 and 55% calcite content). (a) Correlation curves between DaI and lgRCaCO3 under random mineral distribution, with an inlet fluid velocity (Ux) of 37.8 m yr−1 (the inset displays the corresponding aperture roughness λb = 0.036 and the symbol legend for different fracture conditions); (b) Correlation curves between DaI and lgRCaCO3 under random mineral distribution, with an inlet fluid velocity (Ux) of 378 m yr−1.
For the two inlet flow velocities of differing orders of magnitude (Ux = 37.8 and 378 m·yr−1), dissolution rate distributions for fractures with varying roughness (λb) exhibit opposing patterns: under low flow velocity (Hlow) conditions, fractures with low λb exhibit relatively higher dissolution rates and smaller DaI values; under high flow velocity (Hhigh) conditions, fractures with low λb show relatively lower dissolution rates and larger DaI values. This pattern reflects the shifting dominance of fluid advection versus mineral reactions at the fracture scale across different flow velocity regimes.
Specifically, under Hlow conditions, fractures with low λb tend to have higher dissolution rates, with mineral reactions dominating the process. In contrast, for fractures with high λb, heterogeneous aperture distribution renders minerals more susceptible to mineral heterogeneity, leading to significant spatial variability in advection–diffusion effects during transport and thus distinct DaI values across different mineral distributions. Under Hhigh conditions, DaI values for fracture dissolution are relatively concentrated, indicating that advective transport dominates mineral dissolution under strong fluid flow, with the influence of mineral distribution heterogeneity notably diminished.
Furthermore, fracture roughness exerts contrasting effects on DaI values under the two flow velocity conditions: under Hlow, fractures with high λb have larger DaI values; under Hhigh, fractures with high λb exhibit significantly smaller DaI values. This discrepancy is ascribed to advection hindrance by local small-aperture regions within the fracture. Consequently, the functional relationship between DaI and dissolution rate offers substantial indicative value for evaluating the relative dominance of reaction versus transport in heterogeneous fractures, and is critical for clarifying fracture dissolution mechanisms under varying flow velocity and mineral distribution conditions.
4.2. Synergistic Control Mechanism of Dissolution Rate by Heterogeneity
Heterogeneous aperture and mineral distribution do not independently dominate the fracture dissolution process; instead, they synergistically regulate the dissolution rate through the spatial matching degree of “preferential flow paths—stagnant zones”, forming two typical coupled regulation modes:
- Synergistic enhancement mode: For the combination of a high-roughness fracture (Fracture D) and low calcite content (55%), preferential flow paths highly overlap with inert quartz regions. Preferential flow paths enable efficient fluid discharge, while inert regions mitigate solute accumulation—this further increases the contact area between acidic fluid and reactive minerals per unit volume. Preferential flow paths enable efficient fluid discharge, while inert regions mitigate solute accumulation. The effective dissolution rate (Reff) reaches 2.1 × 10−11 mol·m−2·s−1, the maximum among all combinations, which is twice that of the low-roughness (Fracture A) + high-content (95%) combination.
- Synergistic inhibition mode: For the combination of a high-roughness fracture (Fracture D) and high calcite content (95%), the calcium ions produced by the high-concentration calcite in preferential flow paths far exceed the transport capacity of the fracture system. Calcium ions accumulate at the minimum aperture regions along the flow paths (where the flow velocity is relatively low), leading to an increase in local mineral saturation. This induces the precipitation of calcite, which clogs fluid pathways and ultimately further reduces the local dissolution rate. The superposition of stagnant zones and dense calcite regions intensifies solute retention, reducing Reff to 7.3 × 10−12 mol·m−2·s−1, only 1/3 of that in the synergistic enhancement mode.
Furthermore, increased flow velocity can weaken the synergistic inhibition effect of dual heterogeneity. Under Hhigh conditions, Reff of the high-roughness + high-calcite content combination increases by 1.76 orders of magnitude compared to that under Hlow conditions, while the low-calcite content combination only increases by 1.43 orders of magnitude. This indicates that high flow velocity can effectively break the solute retention balance by enhancing advective transport.
Heterogeneous mineral distribution regulates the dissolution rate by modifying the spatial proportion and aggregation characteristics of calcite, thereby changing the effective reaction area and solute transport space. The core laws are reflected in the “content effect” and “distribution pattern effect”, with the content effect specifically manifested as follows: 55% is the optimal reaction content, and 75% is the critical stability value. Specifically, calcite content determines the balance between reaction area and solute production:
- At 55% content: 45% inert quartz provides sufficient solute transport space, preventing calcium ion accumulation. Reff reaches 1.87 × 10−11 mol·m−2·s−1, 0.94 orders of magnitude greater than that at 95% content;
- At 75% content (critical stability value): The average size of calcite clusters (37.69 units) achieves the optimal matching with transport space. The Reff difference among different random distributions is only 5%, with a coefficient of determination R2 = 0.990;
- At 95% high content: Calcite is densely distributed (maximum cluster size up to 5427 units), resulting in calcium ion production exceeding transport capacity. The IAP/Keq values are generally higher than 0.8, Reff decreases to 8.2 × 10−12 mol·m−2·s−1, and local deposition zones appear in 15% of the fracture area.
4.3. Model Merits/Limitations and Academic/Engineering Implications
To contextualize the present findings, this study is compared with representative works in fracture dissolution and reactive transport modeling, revealing that most existing studies focus on single physical heterogeneity or simplify mineral distribution as homogeneous—resulting in the inadequate quantification of dissolution rate regulation mechanisms. In contrast, this study pioneers the integration of “aperture roughness” and “mineral spatial distribution” into a unified reactive transport model, clarifies the synergistic origin of dissolution rate spatial differentiation, and establishes a DaI–lgRCaCO3 linear correlation model (R2 > 0.98) that quantifies the flow velocity-dependent relationship between dimensionless parameters and dissolution rates—broadening the practical utility of dimensionless parameters compared with previous qualitative studies.
The model offers notable merits: a novel coupling method enabling the quantitative characterization of mineral cluster distribution effects on dissolution front morphology; identified critical calcite content thresholds (55% optimal reaction content, 75% critical stability content) and dual heterogeneity synergistic modes with strong engineering applicability; and a reliable prediction tool for the rapid evaluation of reaction/transport dominance without complex simulations. Nevertheless, the model has inherent limitations: it adopts a simplified 2D fracture geometry that neglects the 3D vertical connectivity of natural fractures, potentially leading to underestimated dissolution rates; the constant seepage velocity assumption fails to simulate dynamic groundwater fluctuations, limiting its applicability to variable flow scenarios; and it overlooks hydro-mechanical (HM) coupling effects, ignoring interactions between stress and seepage fields.
These findings hold significant academic and engineering implications: they fill the gap of insufficient quantitative research on the synergistic regulation of dual physical heterogeneities, provide a standardized framework for quantifying mineral spatial distribution effects, and validate the applicability of the Damköhler number in heterogeneous fracture systems (academic implications); meanwhile, they have engineering value for carbonate reservoir reconstruction, CO2 geological sequestration, karst unstable rock hazard prevention, and acid rain corrosion control. To address these limitations, future research will focus on developing 3D fracture models with vertical connectivity, integrating dynamic flow velocity boundary conditions, coupling hydro-mechanical-chemical (HMC) effects, and incorporating minor mineral components and their geochemical reactions.
5. Conclusions
This study systematically investigates the dissolution rate characteristics of carbonate rock fractures under heterogeneous aperture and mineral distribution conditions via numerical simulation, aiming to advance the theoretical understanding of coupled dissolution–seepage processes and provide quantitative support for engineering practice. The key conclusions and contributions are as follows:
- A novel coupling method—integrating "self-affine fractal fracture aperture modeling, Monte Carlo-based random mineral distribution construction, and multi-component reactive transport simulation"—is proposed. For the first time, this method quantifies the regulatory intensity of mineral cluster distribution on dissolution front morphology, while clarifying that the spatial differentiation of fracture dissolution rate arises from the synergy between "flow field differentiation dominated by aperture heterogeneity" and "reaction site differentiation dominated by mineral heterogeneity". This thereby bridges the gap in insufficient quantitative research on the role of mineral spatial distribution in fracture dissolution.
- Critical thresholds of calcite content governing fracture dissolution are identified: ① 55% calcite content is the “optimal reaction content”, where 45% inert quartz provides sufficient solute transport channels to inhibit Ca2+ accumulation, resulting in the highest effective dissolution rate; ② 75% calcite content is the “critical stability content”, where the matching efficiency between calcite cluster size and transport space is maximized, leading to a coefficient of variation in dissolution rate of only 5% under random distributions; these thresholds provide direct quantitative criteria for optimizing carbonate reservoir acidification stimulation and evaluating karst dissolution potential.
- Two synergistic regulation modes of dual heterogeneities (aperture roughness λb and mineral distribution) on dissolution rate are revealed: Synergistic enhancement mode: High roughness (λb = 0.308) coupled with 55% calcite content forms “preferential flow-inert mineral spatial overlap”, achieving a peak dissolution rate of 2.1 × 10−11 mol·m−2·s−1; Synergistic inhibition mode: High roughness coupled with 95% calcite content leads to “stagnant zone-dense calcite superposition”, reducing the dissolution rate to 1/3 of the enhancement mode; High flow velocity can alleviate this inhibition by enhancing advective transport, providing a practical strategy for mitigating solute retention in high-mineral-content fractures.
- A dynamic linear correlation model between the dimensionless parameter DaI and dissolution rate is established (R2 > 0.98 under the same mineral content). The correlation law varies with flow rate: low-roughness fractures are reaction-dominated (small DaI) under low flow velocity, and advection-dominated (large DaI) under high flow velocity. This model offers a simple tool for the rapid evaluation of dissolution mechanisms in engineering practice.
Supplementary Materials
The following supporting information can be downloaded at https://www.mdpi.com/article/10.3390/min16010110/s1, Figure S1: Mineral Distribution Cluster Maps under Different Mineral Contents (Mineral unit size is 0.5 mm × 0.5 mm, i.e., 200 mineral units are arranged along the fracture X-direction and 100 along the Z-direction; “55-1” denotes the first random distribution pattern at 55% calcite content, and three distinct random distribution patterns of reactive minerals were generated for the same mineral content); Figure S2: Distribution Characteristics of Mean Effective Dissolution Rates with Error Bars under Different Calcite Contents (55%, 75%, 95%) at a Fluid Injection Velocity of 37.8 m·yr−1 (Hlow, Ux = 37.8 m·yr−1); Table S1: Descriptive Statistics of Random Heterogeneous Mineral Distribution; Table S2: Descriptive mathematical statistics of the local Darcy flow velocity (u, m yr−1) in the random permeability field distribution were performed using the minimum value, maximum value, geometric mean (), geometric standard deviation (σg), and arithmetic standard deviation (σu).
Author Contributions
Conceptualization, Y.L. (Yunchao Lei); methodology, Y.L. (Yunchao Lei); software, Y.L. (Yunchao Lei); validation, Y.L. (Yunchao Lei) and Z.L.; formal analysis, Y.L. (Yunchao Lei) and Z.L.; investigation, Y.L. (Yunchao Lei) and Y.L. (Yuxiang Lv); resources, Y.L. (Yunchao Lei) and Y.L. (Yuxiang Lv); data curation, Y.L. (Yunchao Lei) and Z.L.; writing—original draft preparation, Y.L. (Yunchao Lei) and Z.L.; writing—review and editing, Y.L. (Yunchao Lei) and Y.L. (Yuxiang Lv); supervision, Y.L. (Yunchao Lei) and Y.L. (Yuxiang Lv); funding acquisition, Y.L. (Yunchao Lei) and Y.L. (Yuxiang Lv); project administration, Y.L. (Yunchao Lei). All authors have read and agreed to the published version of the manuscript.
Funding
This work was supported by the Independent Research Project Fund (Grant No. 208-KC-202403) from Hydrogeology and Engineering Team 208, Chongqing Bureau of Geological Exploration (Chongqing Reconnaissance and Design Academy of Geological Disaster Prevention and Treatment Engineering).
Institutional Review Board Statement
Not applicable.
Informed Consent Statement
Not applicable.
Data Availability Statement
The original contributions presented in this study are included in the article/Supplementary Materials. Further inquiries can be directed to the corresponding authors.
Acknowledgments
Thank Wang Dongpo and Wu Dongsheng for their help in the formation of this article.
Conflicts of Interest
The authors declare no conflicts of interest.
References
- Hartmann, J.; West, A.J.; Renforth, P.; Köhler, P.; De La Rocha, C.L.; Wolf-Gladrow, D.A.; Dürr, H.H.; Scheffran, J. Enhanced chemical weathering as a geoengineering strategy to reduce atmospheric carbon dioxide, supply nutrients, and mitigate ocean acidification. Rev. Geophys. 2013, 51, 113–149. [Google Scholar] [CrossRef]
- Ulloa-Cedamanos, F.; Probst, A.; Moussa, I.; Probst, J.-L. Chemical weathering and CO2 consumption in a multi-lithological karstic critical zone: Long term hydrochemical trends and isotopic survey. Chem. Geol. 2021, 585, 120567. [Google Scholar] [CrossRef]
- Zachara, J.; Brantley, S.; Chorover, J.; Ewing, R.; Kerisit, S.; Liu, C.; Perfect, E.; Rother, G.; Stack, A.G. Internal domains of natural porous media revealed: Critical locations for transport, storage, and chemical reaction. Environ. Sci. Technol. 2016, 50, 2811–2829. [Google Scholar] [CrossRef]
- Raabe, D. The materials science behind sustainable metals and alloys. Chem. Rev. 2023, 123, 2436–2608. [Google Scholar] [CrossRef]
- Zhao, G.; Huang, Q.; Zhu, Y.; Xu, Y.; Pu, Z. Simulation of the buffering process of karst soil on sulfuric acid rain and the characteristic of δ13CDIC and the carbon sink flux in Guilin City, southwest China. Environ. Earth Sci. 2023, 82, 296. [Google Scholar] [CrossRef]
- Kump, L.R.; Brantley, S.L.; Arthur, M.A. Chemical weathering, atmospheric CO2, and climate. Annu. Rev. Earth Planet. Sci. 2000, 28, 611–667. [Google Scholar] [CrossRef]
- Brantley, S.; Lebedeva, M.; Bazilevskaya, E. Relating Weathering Fronts for Acid Neutralization and Oxidation to pCO2 and pO2. In The Atmosphere-History; Elsevier Inc.: Amsterdam, The Netherlands, 2013; pp. 327–352. [Google Scholar]
- Meng, L.; Yang, Y.; Zhou, S.; Wang, S.; Wang, W.; Tan, R.; Wang, L.; Wang, Q.; Wu, X.; Du, A.; et al. Hydro-chemical performance of copper mine waste-based capillary barriers for acid mine drainage control in humid climates. J. Rock Mech. Geotech. Eng. 2025; in press. [Google Scholar] [CrossRef]
- Stoffel, M.; Trappmann, D.G.; Coullie, M.I.; Ballesteros Cánovas, J.A.; Corona, C. Rockfall from an increasingly unstable mountain slope driven by climate warming. Nat. Geosci. 2024, 17, 249–254. [Google Scholar] [CrossRef]
- Bufe, A.; Rugenstein, J.K.C.; Hovius, N. CO2 drawdown from weathering is maximized at moderate erosion rates. Science 2024, 383, 1075–1080. [Google Scholar] [CrossRef]
- Zhao, Y.J. Study on Dissolution Characteristics of Karst Key Development Area in Wulong Tunnel; Jilin University: Chongqing, China, 2018. (In Chinese) [Google Scholar]
- Yang, B.; Shi, W.; Yang, X. Nonlinear seepage erosion model of water inrush considering particle size distribution of karst collapse column and its engineering applications. Sci. Rep. 2022, 12, 17078. [Google Scholar] [CrossRef] [PubMed]
- Yu, J.H. Quantitative Characterization of Karst Fracture Dissolution Law and Its Application; Henan Polytechnic University: Jiaozuo, China, 2023. (In Chinese) [Google Scholar]
- Zhang, S.; Liu, X.; Wang, E. Quantitative evaluation of the onset and evolution for the non-Darcy behavior of the partially filled rough fracture. Water Resour. Res. 2024, 60, e2023WR036494. [Google Scholar] [CrossRef]
- Huang, D.; Gu, D.M. Influence of filling-drawdown cycles of the Three Gorges reservoir on deformation and failure behaviors of anaclinal rock slopes in the Wu Gorge. Geomorphology 2017, 295, 489–506. [Google Scholar] [CrossRef]
- Chen, Y.; Zhang, Y.; Wang, L.; Wang, S.; Tian, D.; Zhang, L. Influencing factors, deformation mechanism and failure process prediction for reservoir rock landslides: Tanjiahe landslide, three gorges reservoir area. Front. Earth Sci. 2022, 10, 974301. [Google Scholar] [CrossRef]
- White, A.F.; Brantley, S.L. The effect of time on the weathering of silicate minerals: Why do weathering rates differ in the laboratory and field? Chem. Geol. 2003, 202, 479–506. [Google Scholar] [CrossRef]
- Zhu, C. In situ feldspar dissolution rates in an aquifer. Geochim. Cosmochim. Acta 2005, 69, 1435–1453. [Google Scholar] [CrossRef]
- Bain, J.; Mayer, K.; Blowes, D.; Frind, E.; Molson, J.; Kahnt, R.; Jenk, U. Modelling the closure-related geochemical evolution of groundwater at a former uranium mine. J. Contam. Hydrol. 2001, 52, 109–135. [Google Scholar] [CrossRef] [PubMed]
- Steefel, C.I.; Depaolo, D.J.; Lichtner, P.C. Reactive transport modeling: An essential tool and a new research approach for the Earth sciences. Earth Planet. Sci. Lett. 2005, 240, 539–558. [Google Scholar] [CrossRef]
- Navarre-Sitchler, A.; Brantley, S. Basalt weathering across scales. Earth Planet. Sci. Lett. 2007, 261, 321–334. [Google Scholar] [CrossRef]
- Maher, K.; Steefel, C.I.; DePaolo, D.J.; Viani, B.E. The mineral dissolution rate conundrum: Insights from reactive transport modeling of U isotopes and pore fluid chemistry in marine sediments. Geochim. Cosmochim. Acta 2006, 70, 337–363. [Google Scholar] [CrossRef]
- Reeves, D.; Rothman, D.H. Age dependence of mineral dissolution and precipitation rates. Glob. Biogeochem. Cycles 2013, 27, 906–919. [Google Scholar] [CrossRef]
- Mei, C.C.; Auriault, J.-L. Mechanics of heterogeneous porous media with several spatial scales. Proc. R. Soc. Lond. A Math. Phys. Sci. 1989, 426, 391–423. [Google Scholar] [CrossRef]
- Murphy, E.M.; Ginn, T.R.; Chilakapati, A.; Resch, C.T.; Phillips, J.L.; Wietsma, T.W.; Spadoni, C.M. The influence of physical heterogeneity on microbial degradation and distribution in porous media. Water Resour. Res. 1997, 33, 1087–1103. [Google Scholar] [CrossRef]
- Pyrak-Nolte, L.J.; DePaolo, D.J.; Pietraß, T. Controlling Subsurface Fractures and Fluid Flow: A Basic Research Agenda; USDOE Office of Science (SC): Washington, DC, USA, 2015; p. 692.
- Laubach, S.E.; Lander, R.; Criscenti, L.J.; Anovitz, L.M.; Urai, J.L.; Pollyea, R.M.; Hooker, J.N.; Narr, W.; Evans, M.A.; Kerisit, S.N.; et al. The role of chemistry in fracture pattern development and opportunities to advance interpretations of geological materials. Rev. Geophys. 2019, 57, 1065–1111. [Google Scholar] [CrossRef]
- Chen, R.; Xu, W.; Chen, Y.; Nagel, T.; Chen, C.; Hu, Y.; Li, J.; Zhuang, D. Influence of heterogeneity on dissolved CO2 migration in a fractured reservoir. Environ. Earth Sci. 2024, 83, 463. [Google Scholar] [CrossRef]
- Jiang, C.; Wang, X.; Lei, Q.; Liu, L.; Song, G.; Jourde, H. Evidence of stress control on dissolution cavity growth along heterogeneous field-scale fractures from coupled hydro-mechanical-chemical modeling. J. Geophys. Res. Solid Earth 2025, 130, e2024JB029901. [Google Scholar] [CrossRef]
- Du, X.; Liu, E.; Shan, R.; Yang, F.; Ling, B. Pore-scale flow and solute transport heterogeneity induced by mineral dissolution. Phys. Fluids 2025, 37, 066602. [Google Scholar] [CrossRef]
- Garcia-Rios, M.; Luquot, L.; Soler, J.M.; Cama, J. The role of mineral heterogeneity on the hydrogeochemical response of two fractured reservoir rocks in contact with dissolved CO2. Appl. Geochem. 2017, 84, 202–217. [Google Scholar] [CrossRef]
- Wang, L.; Cardenas, M.B. Linear permeability evolution of expanding conduits due to feedback between flow and fast phase change. Geophys. Res. Lett. 2017, 44, 4116–4123. [Google Scholar] [CrossRef]
- Hu, R.; Zhou, C.X.; Wu, D.S.; Yang, Z.; Chen, Y.F. Roughness control on multiphase flow in rock fractures. Geophys. Res. Lett. 2019, 46, 12002–12011. [Google Scholar] [CrossRef]
- Andrews, E.; Navarre-Sitchler, A. Temporal and spatial heterogeneity of mineral dissolution rates in fractured media. Geochim. Cosmochim. Acta 2021, 312, 124–138. [Google Scholar] [CrossRef]
- MacQuarrie, K.T.; Mayer, K.U. Reactive transport modeling in fractured rock: A state-of-the-science review. Earth-Sci. Rev. 2005, 72, 189–227. [Google Scholar] [CrossRef]
- Li, L.; Steefel, C.I.; Yang, L. Scale dependence of mineral dissolution rates within single pores and fractures. Geochim. Cosmochim. Acta 2008, 72, 360–377. [Google Scholar] [CrossRef]
- Brown, S.R. Simple mathematical model of a rough fracture. J. Geophys. Res. Solid Earth 1995, 100, 5941–5952. [Google Scholar] [CrossRef]
- Ogilvie, S.R.; Isakov, E.; Glover, P.W. Fluid flow through rough fractures in rocks. II: A new matching model for rough rock fractures. Earth Planet. Sci. Lett. 2006, 241, 454–465. [Google Scholar] [CrossRef]
- Phillips, T.; Bultreys, T.; Bisdom, K.; Kampman, N.; Van Offenwert, S.; Mascini, A.; Cnudde, V.; Busch, A. A systematic investigation into the control of roughness on the flow properties of 3D-printed fractures. Water Resour. Res. 2021, 57, ewrcr.25233. [Google Scholar] [CrossRef]
- Glass, R.J.; Rajaram, H.; Detwiler, R.L. Immiscible displacements in rough-walled fractures: Competition between roughening by random aperture variations and smoothing by in-plane curvature. Phys. Rev. E 2003, 68, 061110. [Google Scholar] [CrossRef]
- Wang, L.; Cardenas, M.B. Non-Fickian transport through two-dimensional rough fractures: Assessment and prediction. Water Resour. Res. 2014, 50, 871–884. [Google Scholar] [CrossRef]
- Wang, L.; Cardenas, M.B. Connecting pressure-saturation and relative permeability models to fracture properties: The case of capillary-dominated flow of supercritical CO2 and brine. Water Resour. Res. 2018, 54, 6965–6982. [Google Scholar] [CrossRef]
- Steefel, C.I.; Appelo, C.A.J.; Arora, B.; Jacques, D.; Kalbacher, T.; Kolditz, O.; Lagneau, V.; Lichtner, P.C.; Mayer, K.U.; Meeussen, J.C.L.; et al. Reactive transport codes for subsurface environmental simulation. Comput. Geosci. 2015, 19, 445–478. [Google Scholar] [CrossRef]
- Jung, H.; Navarre-Sitchler, A. Physical heterogeneity control on effective mineral dissolution rates. Geochim. Cosmochim. Acta 2018, 227, 246–263. [Google Scholar] [CrossRef]
- Jiang, J.; Feng, J.; Zhang, Q.; Li, W.; Zhang, N. Water Cycle Pattern and Hydrochemical Characteristics in Wulong-Guangyang Area. Sci. Technol. Eng. 2022, 22, 2626–2633. (In Chinese) [Google Scholar]
- Haynes, W.M. CRC Handbook of Chemistry and Physics, 97th ed.; CRC Press: Boca Raton, FL, USA, 2016. [Google Scholar]
- Chou, L.; Garrels, R.M.; Wollast, R. Comparative study of the kinetics and mechanisms of dissolution of carbonate minerals. Chem. Geol. 1989, 78, 269–282. [Google Scholar] [CrossRef]
- Salehikhoo, F.; Li, L.; Brantley, S.L. Magnesite dissolution rates at different spatial scales: The role of mineral spatial distribution and flow velocity. Geochim. Cosmochim. Acta 2013, 108, 91–106. [Google Scholar] [CrossRef]
- Salehikhoo, F.; Li, L. The role of magnesite spatial distribution patterns in determining dissolution rates: When do they matter? Geochim. Cosmochim. Acta 2015, 155, 107–121. [Google Scholar] [CrossRef]
- Plummer, L.N. Defining reactions and mass transfer in part of the Floridan aquifer. Water Resour. Res. 1977, 13, 801–812. [Google Scholar] [CrossRef]
- Pačes, T. Rate constants of dissolution derived from the measurements of mass balance in hydrological catchments. Geochim. Cosmochim. Acta 1983, 47, 1855–1863. [Google Scholar] [CrossRef]
- Lei, Y.C.; Wang, D.P.; Lü, Y.X.; Yue, R. Study on the Influence of Aperture Heterogeneity on Fracture Dissolution Mechanism. Earth Sci. Front. 2024; in press. (In Chinese) [Google Scholar]
Disclaimer/Publisher’s Note: The statements, opinions and data contained in all publications are solely those of the individual author(s) and contributor(s) and not of MDPI and/or the editor(s). MDPI and/or the editor(s) disclaim responsibility for any injury to people or property resulting from any ideas, methods, instructions or products referred to in the content. |
© 2026 by the authors. Licensee MDPI, Basel, Switzerland. This article is an open access article distributed under the terms and conditions of the Creative Commons Attribution (CC BY) license.










