Abstract
In recent years, Ordos Basin has been the largest petroleum field in China and represents significant potential for gas exploration in the Lower Paleozoic carbonate reservoirs. Taking the central-eastern Ordos Basin as an example, this work studies the reservoir characteristics, origin, and controlling factors of the crystalline dolomites of the Sanshanzi Formation by means of petrological and geochemical studies. The Sanshanzi Formation dolostones comprise three kinds: crystalline dolostone with grain-shadow (Rd1), very fine–fine crystalline dolostone (Rd2), and medium-coarse crystalline dolostone (Rd3). The pore spaces include intercrystalline pores and intercrystalline solution pores, residual intergranular pores, vugs, and fractures. The medium-coarse crystalline dolostone is the best reservoir. The average porosity is 4.61%, and the average permeability is 0.91 mD. The sedimentary environment in the upper Cambrian was a large area of tidal flats. Under the influence of penecontemporaneous meteoric water leaching, dissolution developed at the top of the dolomite flat–lagoon depositional cycle, with vugs developing in the very fine–fine crystalline dolostone. Penecontemporaneous dolomitization enhanced the compaction resistance and effectively preserved the pore space of the reservoir. In addition, recrystallization improved the crystalline texture, turning the intergranular pores into residual intergranular pores and intercrystalline micropores into intercrystalline pores. In this case, the very fine–fine crystalline dolostone was transformed into medium-coarse crystalline dolostone. The results of this study provide a case for the in-depth understanding of the development and preservation mechanism of ancient dolomite reservoirs and also point to the research pathways for oil and gas exploration in the Cambrian in the Ordos Basin in the future.
1. Introduction
Petroleum is the primary global energy source at present [1,2]. Carbonate reservoirs account for 60% of the global production of oil and gas, and a large number of oil and gas reservoirs have been found in the Middle East, Central Asia, and South America [3]. Dolostones became widespread across the world from the Cambrian to the Triassic period [4,5,6]. Carbonate reservoirs in China are mainly developed in the North China Craton, Sichuan Basin, and Tarim Basin. The Jingbian gas field in the Ordos Basin is a dolomite reservoir of the Lower Ordovician Majiagou Formation with proven geological reserves of 3377.3 × 108 m3, approximately equal to 22 × 108 barrels. The reservoirs of Puguang gas field and Weiyuan gas field in Sichuan Basin are dolomite reservoirs, with proven geological reserves of 2510.7 × 108 m3 and 408.6 × 108 m3, respectively. They are equivalent to 16 × 108 and 3 × 108 barrels, respectively [7]. With the discovery of gas fields such as Jingbian gas field, Puguang gas field, and Anyue gas field, carbonate petroleum systems in China have been shown to be a good prospect [8,9].
After a long period of geological history, the complex genesis of ancient deep dolostones is a hot topic of discussion. The mixed water dolomitization model, seepage reflux dolomitization model, and other models have been modified and extended by in-depth study [10,11,12,13,14,15]. Saller and Henderson (1998) and Morrow et al. (2001) [16,17] proposed that evaporative reflux dolomitization can improve the physical properties of dolomite reservoirs in the direction of the downward slope. Machel (2004) [6] proposed a classic seepage reflux dolomitization model. Through salinity-driven action, further recrystallization preferentially occurs in the upper dolomite stratum, and the pores in the lower stratum are preserved. Many scholars [18,19,20,21] proposed that under burial conditions of high temperature, high pressure, and hydrocarbon generation from organic matter, organic acids and so on, the properties of deep fluids can change, in a manner conducive to the dissolution of the original strata and the formation of high-quality reservoirs. At the same time, the characteristics and geneses of reservoirs under dolomitization are very complex and their development mechanisms are not clear; these topics are worthy of further study.
The Ordos Basin is the largest oil-bearing basin in China, and an important stage of its natural gas accumulation occurs in the Cambrian–Permian layer. Its oil and gas production accounts for 25.3% of the country’s total [22]. The dolostone reservoir of Ordovician Majiagou Formation has good performance and good results have been obtained in exploratory investigations. Some studies [23] have suggested that the dolomites of Sanshanzi Formation and Majiagou Formation are similar in many aspects, and natural gas has been found during exploration. Therefore, the Sanshanzi Formation in Ordos Basin can be used to study the genesis of dolostones, and the main controlling factors of this reservoir have guiding significance for new ideas of gas exploration in ancient deep carbonate rocks. Previous studies have suggested that the dolomitization of Sanshanzi Formation is the result of penecontemporaneous dolomitization, buried dolomitization, and hydrothermal dolomitization, with the overall situation being difficult to explain using a single dolomitization model [24,25,26,27]. However, Liu (2017) [28] proposed that the dolomites in this formation are of solely penecontemporaneous dolomitization origin, indicating that the genesis of these dolomites is still controversial. In addition, some scholars believe that dolomitization [25,29], epidiagenetic atmospheric freshwater dissolution [26,28,30], and paleogeomorphic highlands [31] are the key factors in the formation of dolomite reservoirs; however, these have not been uniformly recognized as key factors. There is only a small amount of research on the controlling factors of dolomite reservoirs as of current, and it is urgently necessary to carry out research to clarify the formation of reservoirs and guide exploration and development.
Due to the complex reservoir genesis of ancient deep dolomite undergoing diagenesis, its original texture and geochemical characteristics cannot be directly represented, so it is of great significance to study the controlling factors of the reservoir [32]. Taking the Sanshanzi Formation in Ordos Basin for instance, the research objectives for this study are as follows: (1) classify the dolomite reservoir types and evaluate reservoir physical properties; (2) investigate dolomitization fluid properties and discuss dolomite genesis; and (3) discuss the factors affecting the development of dolomite reservoirs to indicate the direction of exploration.
2. Geological Setting
The Ordos Basin is located to the west of the North China Craton, bounded by the ancient lands of Yimeng in the north, the Helan mountain ranges in the west, the Qinling mountain ranges in the south, and the Lüliang mountain ranges in the east [33].
The Ordos Basin covers an area of about 32 × 104 km2 [34] (Figure 1a) and can be divided into six first-order structural units: the West Edge Trust Belt, Tianhuan Depression, Yishan Slope, Yimeng Uplift, Weibei Uplift, and Jinxi Flexural Fold Belt (Figure 1b). This tectonic pattern originated during the Yanshan Movement and developed in the Himalayan Movement [35]. From the early to late Cambrian period, this basin was affected by the stresses of squeezing in the north and stretching in the south [36]. The basin developed NE-trending faults, near EW-trending faults, and NW-trending faults. The NE-trending faults are large in scale, with a dip angle greater than 45° in general, which is mainly distributed in the southern and central basin. The dip angle of the near EW-trending faults is relatively steep. These faults are distributed in the northern basin. The extension of the NW-trending faults is small, and these faults do not affect the sedimentation [31].
Figure 1.
Regional location and stratigraphic characteristics of Sanshanzi Formation in Ordos Basin: (a) geographical location map of Ordos Basin (the red dots are the sampling locations); (b) tectonic zoning map of Ordos Basin (modified from [37]) (c) paleogeographic map of Sanshanzi Formation in Ordos Basin; and (d) Cambrian in Ordos Basin (modified from [37]).
The Middle Cambrian in Ordos Basin consists of the Xuzhuang Formation and Zhangxia Formation. The Sanshanzi Formation is a diachronous stratigraphic unit, including the upper Cambrian, Yeli Formation, and Liangjiashan Formation in the lower Ordovician. (Figure 1d). The Lower Cambrian to Xuzhuang Formation is dominated by terrigenous clastic sedimentation. The maximum flood surface was reached during the Zhangxia Formation, and the lithology is an assemblage of marine argillaceous banded limestone, wormkalk, and oolitic limestone (dolostone), indicating an open and shallow marine environment [38]. The central paleo-uplift of the late Cambrian began to take shape (Figure 1c). Its lithology is composed of muddy dolostone, wormkalk, limy dolostone, etc. [39], indicating a large-scale restricted platform sedimentary environment [40]. At the end of the Cambrian period, the subduction of the ancient Qinling Ocean led to the uplift of the Ordos Basin as a whole, and extensive regressions occurred. The basin suffered different degrees of erosion [41].
3. Methods
A total of 54 samples from the Sanshanzi Formation were collected from two core wells (MT3, S131) and three sections (Sanchuanhe, Zhongtiaoshan, Ehutan) in the eastern Ordos Basin and two field sections (Zhuozishan and Moergou) in the western Ordos Basin (Figure 1b), among which the samples in the western Ordos Basin were limestone samples. The samples were meticulously prepared into thin slices and subjected to various analytical techniques, including cathode luminescence, scanning electron microscopy, physical properties, major element analysis, trace element analysis, and rare earth element analysis.
The thin sections were half-stained with alizarin red and potassium ferricyanide solution to distinguish dolomite from calcite. Some of the thin sections were cast and vacuum-impregnated with a blue epoxy resin to highlight the pore space. Using a Nikon ECLIPSE LV100N POL polarizing microscope, Nikon Di-Ri1 microphotography, and the Nikon NIS Elements F 4.3.00 software system, thin sections of Sanshanzi Formation dolostones were analyzed and photographed at the Key Laboratory of Orogenic and Crustal Evolution, Peking University. The cathodoluminescence (CL) and scanning electron microscope (SEM) analyses were also carried out in this laboratory. The cathodoluminescence experiment used a RELION CL cold cathodoluminescence system with a Nikon Di-Ri1 miniature camera. The beam voltage was 15 kV and the current was 280 μ. For SEM, we used a Thermo Fisher FEI Quanta 650 FEG scanning electron microscope system. The mineral type and pore-filling cement were determined by thin section observation.
Thirty-four samples were selected for physical property tests in the Riyueshi Mining Technology Development Company in Beijing. The test instruments were high- and low-permeability CAT112 meters from Core Corporation. All samples were baked to constant weight before testing and the system was corrected with the standards of the known volume before the test. The samples were sealed with a 200PSI ring pressure in a Hasler clip, allowing dry helium to pass steadily through the samples to measure its import pressure, export pressure, and air flow velocity. After that, the permeability was calculated using Darcy’s law.
The tests of trace elements and rare earth elements were conducted at the Key Laboratory of Orogenic Belts and Crustal Evolution, Peking University. The testing procedure for trace elements and rare earth elements was to bake the same 200 samples at 105 °C for 12 h, add acid and dry them again after cooling, steam the acid on an electric heating plate at room temperature, then extract the sample solution with 2% concentrated nitric acid and perform tests with a Thermo Scientific ICP-MS induction-coupled plasma mass spectrometer. The rare earth elements were normalized using Post-Archaean Average Australian shale (PAAS).
4. Results
4.1. Petrographic Characteristics
According to whether the original fabric is retained, the reservoir can be divided into fabric-retentive dolostone and fabric-destructive dolostone [42]. Fabric-retentive dolostone can be divided again according to crystal size. Therefore, the dolostones of Sanshanzi Formation can be divided into three types.
4.1.1. Crystalline Dolostone with Grain-shadow (Rd1)
Crystalline dolostone with grain-shadow is mainly composed of residual calcarenitic dolostone, residual gravel dolostone (Figure 2a), and residual oolitic dolostone (Figure 2d), which are deposited in the arene shoal, gravel shoal, and oolitic shoal, respectively. The frequency of this rock type is higher in the Zhangxia Formation than Sanshanzi Formation. The intragranular dolomite crystalline size is smaller than the intergranular size. The texture is subhedral-automorphism. The matrix dolomite appears rose red under cathode luminescence and the cementation is orange-red (Figure 2g). These three types have residual textures preserved by recrystallization [43]. The contours of residual particles can still be distinguished according to particle morphology, and the original textural features and pores between residual grains are retained, with locally dissolution expansion (Figure 2j).
Figure 2.
Characteristics of Sanshanzi Formation dolostone in central-eastern Ordos Basin: (a) crystalline dolostone with grain-shadow, Well S131, 2813.79 m, PPL; (b) very fine crystalline dolostone, argillaceous laminae, Well XT1, 3920.32m, PPL; (c) coarse crystalline dolostone, mosaic texture, xenomorphic crystal, Boyusi section, PPL; (d) crystalline dolostone with grain-shadow, Well NT1, 3716.77 m, PPL; (e) very fine crystalline dolostone, intergranular solution pore, Zhongtiaoshan section, PPL; (f) coarse crystalline dolostone, with wavy extinction saddle dolostone, Boyusi section, XPL; (g) crystalline dolostone with grain-shadow, rose red, Well NT1, 3716.77 m, CL corresponding to Figure d; (h) very fine crystalline dolostone, dissolved pore, Suyukou section, PPL; (i) medium crystalline dolostone, intergranular pore, Sanchuanhe section, PPL; (j) crystalline dolostone with ooid-shadow, Well NT1, 3719.6m, PPL; (k) very fine crystalline dolostone with multiple interlacing fractures, Zhongtiaoshan section, PPL; and (l) medium crystalline dolostone, intercrystalline pore and fracture, Zhongtiaoshan section, PPL (PPL: plain polarized light; XPL: cross-polarized light; P: porosity; F: fracture; SD: sparry dolomite cements).
4.1.2. Very Fine–fine Crystalline Dolostone (Rd2)
Both very fine crystalline dolomite and fine crystalline dolostone are euhedral and subhedral crystals with flat crystal planes, closely arranged in mosaics, with locally developed lamellar texture (Figure 2b). The precursor is micrite, which is the product of inter-shoal seas, lagoons, and dolomite flats in shallow water. On the whole, the reservoir space in this type is undeveloped even though it has a small number of dissolution pores (Figure 2e,h) and cutting fractures (Figure 2k).
4.1.3. Medium-coarse Crystalline Dolostone (Rd3)
Medium crystalline dolostone and coarse crystalline dolostone are subhedral and anhedral with curved jagged edges (Figure 2c) and wavy extinction characteristics under cross-polarized light (Figure 2f). These two types of dolostones have unequal crystalline texture and the original sedimentary environment is grain shoal. After dolomitization, granular limestone undergoes strong recrystallization. The cementation is widely developed at the edge of the grains. The intergranular pores are generally developed among grains (Figure 2i). Fractures are locally expanded along the edges of crystals (Figure 2l).
4.2. Porosity and Permeability
Porosity and permeability data of core samples show that the dolostone porosity of Sanshanzi Formation ranges from 0.47% to 8.3%, with an average of 2.89%, and 21% of the dolostones have porosities greater than 4%. Permeability ranged from 0.01 to 4.44 mD, with an average value of 0.43 mD, and permeability less than 0.1 mD accounted for 66% of the samples. According to statistics, medium-coarse crystalline dolostones have the best reservoir physical properties. The average porosity is 4.61% and the average permeability is 0.91 mD (Table 1).
Table 1.
Porosity and permeability of Sanshanzi Formation dolostone reservoirs in the central-eastern Ordos Basin.
This study found that the porosity and permeability datapoints had obvious regional distribution characteristics. For classification, we followed the schemes of Li Minglong [44]. When the porosity was less than 4% and the permeability was less than 0.1 mD, the reservoir space was considered to be pores. When the porosity was greater than 4% and the permeability was less than 0.1 mD, the reservoir space was considered to be vugs. Due to the small range of permeability distribution, 0.1 mD can be regarded as the boundary with or without fractures.
In the scatter diagram of porosity and permeability (Figure 3), there is a positive correlation between porosity and permeability in all. However, because of the existence of fractures, the correlation is relatively poor. A slight increase in fractures compared to pores leads to a significant increase in permeability and improved reservoir physical properties. Taking the medium-coarse crystalline dolostones in the Sanchuanhe and Zhongtiaoshan sections as an example (Figure 2k,l), the fractures connect the isolated intercrystalline pores, thus adding to the infiltration space. The main points are distributed in the zones of pore, pore–fracture, and fracture. Therefore, it can be concluded that the dolostone reservoir type is pore–fracture reservoir.
Figure 3.
Porosity and permeability relationship of Sanshanzi Formation dolostone reservoirs in the central-eastern Ordos Basin.
4.3. Geochemical Characteristics
4.3.1. Trace Elements
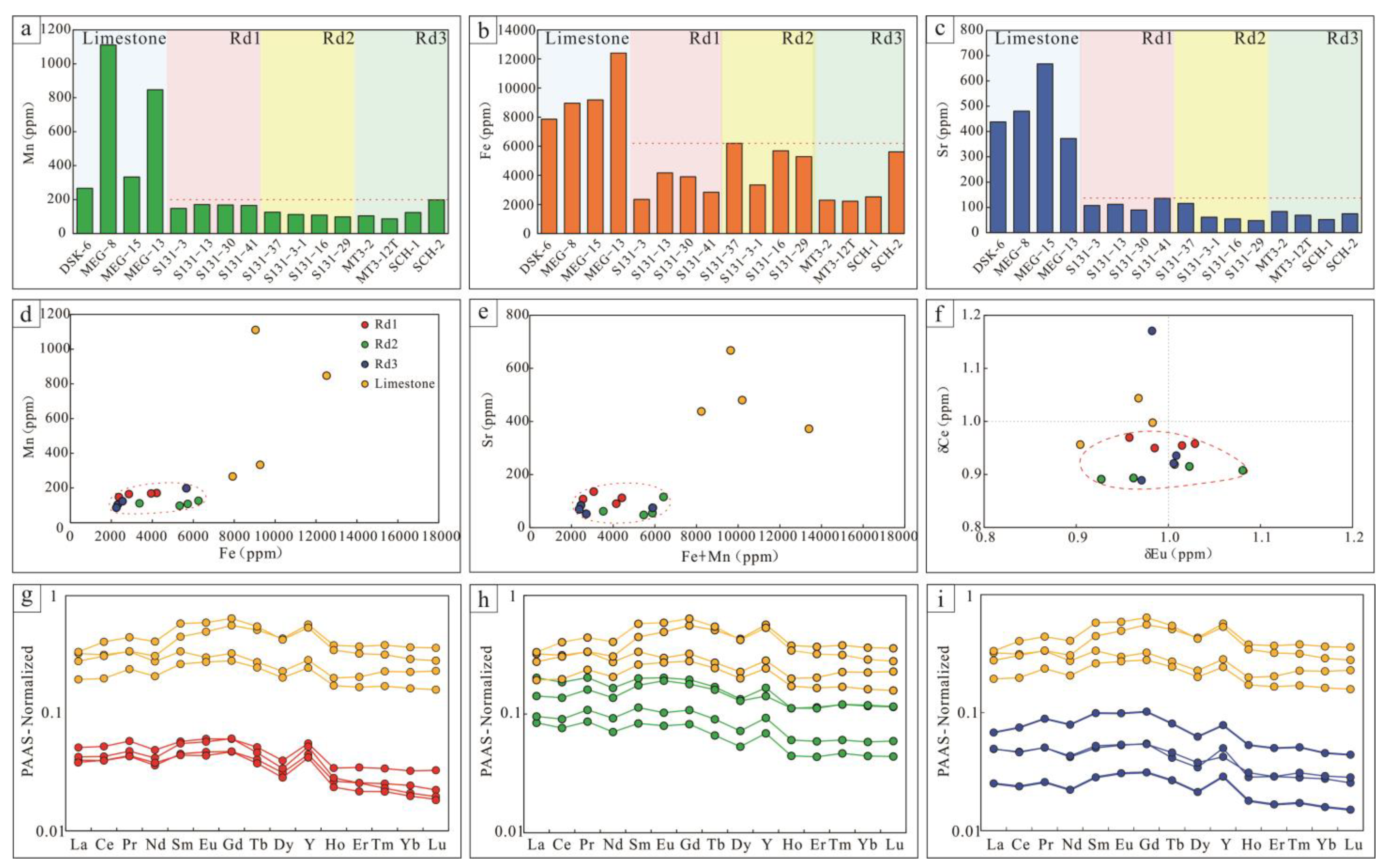
The trace elements Fe, Mn, and Sr play an important role in carbonate diagenesis and fluid property identification (Table 2). Sr is the most important trace element of seawater and its derived fluids. Mn and Fe are strongly enriched in an atmospheric diagenetic environment and are indicative elements of a redox environment [45].
Table 2.
Trace elements of dolomite in the Sanshanzi Formation.
The concentration of Fe and Mn in the Sanshanzi Formation limestone in Ordos Basin were 9691.09 ppm and 639.59 ppm, respectively. The average concentrations of Fe and Mn in the very fine–fine crystalline dolostone were 5175.91 ppm and 111.08 ppm, those in medium-coarse crystalline dolostone were 3192.55 ppm and 128.17 ppm, and those in crystalline dolostone with grain-shadow were 2156.87 ppm and 163.15 ppm, respectively (Figure 4a,b).
Figure 4.
Geochemical characteristics of the Sanshanzi Formation in central-eastern Ordos Basin: (a) the Mn contents of the dolostones; (b) the Fe contents of the dolostones; (c) the Sr contents of the dolostones; (d) Mn-Fe; (e) Sr-(Fe + Mn); (f) δCe-δEu; (g) distribution pattern of rare earth elements in Rd1; (h) distribution pattern of rare earth elements in Rd2; and (i) distribution pattern of rare earth elements in Rd3.
Sr is a marine-philic element and is enriched in seawater [46]. The Sr content of the Upper Cambrian dolostones in Ordos Basin ranges from 47.63 ppm to 667.3 ppm, with an average of 185.21 ppm, which is within the range of Sr content of the buried dolostones [47]. The Sr concentration in limestone is 489.42 ppm, comparable to the low Sr content of Cambrian dolostone. The average concentration in the very fine–fine crystalline dolostone is 69.94 ppm, that in the medium-coarse crystalline dolostone is 69.98 ppm, and that in the residual granular dolostone is 111.51 ppm (Figure 4c).
4.3.2. Rare Earth Elements (REEs)
In this study, marine fractionation processes related to average upper crust composition are represented primarily in terms of REE + Y analyses standardized for Post-Archean shales from Australia [48]. Due to the similar ionic radius and chemical characteristics of Y with heavy rare earth elements, Y is also discussed as a heavy rare earth element [49].
As shown in Table 3, the total rare earth element abundance (∑REE + Y) in the dolostone was found to be 0.35 ppm to 6.44 ppm (average 2.11 ppm, N = 16); this entire range is less than the average 100 ppm of rare earth elements in marine carbonate rocks [50]. The light rare earth element (∑LREE) mass fraction was found to be in the range of 0.16 ppm to 2.75 ppm, with an average of 0.88 ppm. The heavy rare earth (∑HREE + Y) mass fraction was found to be in the range of 0.19 ppm to 3.92 ppm, with a mean of 1.24 ppm. Among them, the values of (∑REE + Y) in very fine–fine crystalline dolostone, medium-coarse crystalline dolostone, and crystalline dolostone with grain-shadow were 1.69 ppm, 1.24 ppm, and 0.59 ppm, respectively. Additionally, all of these values are lower than the total rare earth element abundance of 4.94 ppm in limestone.
Table 3.
REE contents (ppm) of dolomite in the Sanshanzi Formation.
According to McLennan (1989)[48], the ceric anomaly δCe = 2CeN/(LaN + NdN) and the Eu anomaly δEu = 2EuN/(SmN + GdN) were calculated. The range of δCe is 0.89 to 1.08, with a mean of 0.99, which is a negative anomaly. The range of δEu is 0.9 to 1.08, with a mean of 0.99, which is a negative anomaly. The REE partition pattern curve of the dolostones is gentle and moved slightly to the right, showing characteristics of LREE enrichment and HREE deficit, with a slightly negative Ce anomaly and slightly negative Eu anomaly (Figure 4f).
5. Discussion
5.1. Geochemical Constraints on Diagenetic Fluids
5.1.1. Trace Elements
Dolostone constantly exchanges materials with pore fluids in a buried environment. According to the principle of chemical equilibrium, as the reaction pressure increases, the reversible reaction proceeds in the direction of decreasing volume. In other words, as the formation pressure gradually increases during burial compaction, the larger-radius positive ions in the dolomite lattice are preferentially replaced by smaller ones. Therefore, during burial diagenesis, the content of larger ionic metal elements (Sr) decreases, while the content of smaller elements (Fe, Mn) increases [51]. During the diagenetic process, the migration of elements in carbonate rocks is the process of depletion of Sr and Na and enrichment in Fe and Mn. Fe and Mn are related to diagenetic intensity and burial depth. The higher the diagenetic intensity, the higher the content of Fe and Mn, the lower the content of Sr, and the deeper the burial. Conversely, the lower the intensity of diagenesis, the lower the content of Fe and Mn, the higher the content of Sr, and the shallower the burial [52,53,54,55]. The average contents of Fe, Mn, and Sr were 5351.68 ppm, 260.5 ppm, and 185.21 ppm, respectively. The three types of dolomite reservoirs have relatively high Fe and Mn content and low Sr content, indicating that they experienced burial to a certain extent (Figure 4a–c).
5.1.2. Rare Earth Elements (REEs)
In terms of the distribution pattern of rare earth elements, carbonate rocks in marine environments are mainly dependent on the seawater at the time of deposition, while the action of impurities and other fluids has a certain degree of influence [56]. Marine limestone is formed by chemical and biochemical means during sedimentation, and dolostone is usually formed by the metasomatism of calcium carbonate deposits or limestone by dolomitization fluid after deposition. Therefore, the distribution of REE elements in marine limestone is similar to that in seawater [57]. The Upper Cambrian limestone in Ordos Basin shows the characteristics of Ce-negative anomaly, Eu-negative anomaly, slightly enriched LREEs, and slightly depleted HREEs, all traits that belong to the typical marine limestone [58]. Because the dolostone and limestone have similar distribution patterns of rare earth elements and the (ΣREE + Y) − (ΣLREE)/(ΣHREE + Y) correlation is poor, this can indicate that the light and heavy rare earth differentiation degree is low and sediment did not experience full elutriation by the diagenetic fluid, so the light and heavy rare earth elements experienced differentiation. Meanwhile, this shows that the rare earth elements in the dolostone reflect the characteristics of water, the dolomitization fluid water–rock ratio is relatively low, and the diagenetic system has a certain sealing property [59]. The contents of light and heavy rare earths in dolostone are positively correlated, and similar distribution patterns of rare earths indicate synergism, suggesting similar sedimentary and diagenetic environments [60]. In this study, light rare earth elements are relatively enriched, while heavy rare earth elements are relatively depleted, consistent with the distribution pattern of limestone (Figure 4g–i). At the same time, previous studies have further shown that when high Mg/Ca brine flows through dolomite, rare earth elements are further activated and migrated. With the increase in dolomitization degree, LREEs are enriched, and the extent of rare earth element dilution is greater [61]. Among the three lithofacies, the abundance of rare earth elements in very fine–fine crystalline dolostone is the largest, while that in medium-coarse crystalline dolostone is the smallest, which indicates that very fine–fine crystalline dolostone is most similar to the original rock, and medium-coarse crystalline dolomite underwent intense dolomitization.
Moreover, the Eu values of rare earth elements in dolostones that were hydrothermally reformed or deposited directly from hydrothermal processes in later periods usually show positive anomalies [62], indicating that the dolostones of Sanshanzi Formation were not hydrothermally reformed. Ce is an element sensitive to redox conditions. Under oxidation conditions, Ce3+, which is easily dissolved, is transformed into Ce4+, which is thermodynamically stable, has weak migration ability, and preferentially attaches to the surface of sediment particles to precipitate, resulting in positive anomalies of Ce in sediments and negative anomalies in diagenetic fluids [63]. The dolomites of Sanshanzi Formation show the characteristics of negative Ce anomaly, so they are the products of a reducing environment.
5.2. Origin of the Sanshanzi Formation Dolostone
In the Upper Cambrian, the Ordos Basin was subjected to the subduction of the ancient Qilian Ocean, and trace elements such as Cu/Zn and V/Cr characterize conditions of anoxic reduction, reflecting the gradual enhancement of evaporation [41] and the formation of a relatively limited environment. The rare earth elements distribution further proves that the dolomitization fluid was seawater. With the increase in seawater salinity, seawater with a high Mg/Ca value percolates downward due to the salinity gradient and gravity gradient. When it passes through intertidal flats, subtidal flats, and grain shoals with high porosity and permeability, Ca2+ is replaced by Mg2+ and dolomitization occurs.
The precursor of the very fine–fine crystalline dolostone was deposited in the tidal flats, showing large-scale thick-bedded development with the characteristics of mud laminae (Figure 5a,b) by transverse comparison. The cathode luminescence was dark red to dead in color (Figure 5c,d). The residual granular dolostone was formed in the grain shoals, and most of the intragranular dolomite and cemented dolomite have different grain sizes. The grain size between grains is fine and above, and the inner grains have very fine crystalline size (Figure 5e,f). Meanwhile, the dolomite was formed before the development of sutures (Figure 5g), and the development depth of sutures is 500–1000 m [64], indicating recrystallization after early dolomitization. A few intragranular and intergranular cements show consistent crystalline size (Figure 5h), all colored dark red under cathode luminescence (Figure 5i). Both types of dolomites are the products of the contemporaneous–penecontemporaneous stage.
Figure 5.
Characteristics of dolomitization in the central-eastern Ordos Basin: (a) very fine crystalline dolostone, argillaceous laminae, Zhuozishan section, PPL; (b) fine crystalline dolostone, Moergou section, PPL; (c) fine crystalline dolostone, Moergou section, CL corresponding to b; (d) fine crystalline dolostone, Zhuozishan section, PPL; (e) crystalline dolostone with grain-shadow, Well S131, 2813.59 m, PPL; (f) crystalline dolostone with grain-shadow, Well S131, 2814.29 m, PPL; (g) crystalline dolostone with grain-shadow, Well S131, 2816.43 m, PPL; (h) residual calcarenitic dolostone, Well S131, 2813.89 m, PPL; and (i) residual calcarenitic dolostone, Well S131, 2813.89 m, CL corresponding to i.
5.3. Controlling Factors of Crystalline Dolostone
5.3.1. Depositional Facies
The dolomite reservoir of Sanshanzi Formation in central-eastern Ordos Basin is mainly deposited in the dolomitic flat, grain shoal, and lagoon of the open platform. The reservoir space of the crystalline dolostone with grain-shadow is residual intergranular pores, and the original sedimentary environment is grain shoal. The very fine–fine crystalline dolostone has almost no pore space, and the original sedimentary environment is lagoon. The reservoir space of the medium-coarse crystalline dolostone is intercrystalline pores and solutions pores, and the original sedimentary environment is dolomitic flats. According to statistics, reservoir quality is closely related to sedimentary environment. The porosity of dolomite reservoirs in grain shoals and lagoons is mostly less than 1%, and that of dolomite reservoirs in dolomitic flats is mostly 1%~2%. Dolomite reservoirs with porosity more than 5% are formed in dolomitic flats (Figure 6). Therefore, the high-quality dolomite reservoir of Sanshanzi Formation mainly developed in dolomitic flats.
Figure 6.
Histogram of dolostone reservoir porosity distribution in different sedimentary environments of Sanshanzi Formation in the central-eastern Ordos Basin.
5.3.2. Penecontemporaneous Dissolution
In the central-eastern Ordos Basin, penecontemporaneous dissolution is widely developed in the Sanshanzi Formation and plays an important role in the reservoirs. Penecontemporaneous dissolution refers to the preferential dissolution of aragonite and high magnesium calcite during the sedimentary period, which is marked by the occurrence of selective dissolution of the texture, crescent overhanging equiaxial granular cementation, vadose silt, and small dissolution cavity breccia.
There are two typical sedimentary sequences in the Sanshanzi Formation in the central-eastern Ordos Basin: from lagoon to grain shoal and from lagoon to tidal flat. In well S131, there is a multi-stage grain shoal–lagoon sequence, and in well MT3, there is a tidal flat–lagoon sequence. Based on systematic observation and analysis of these two wells with complete Cambrian coring in the central-eastern Ordos Basin (Figure 7 and Figure 8), it was concluded that the penecontemporaneous dissolution occurred mostly at the top of the grain shoal and tidal flat. Longitudinally, the thickness of the strata corresponding to the single cycle is 0.25–1.25 m, and there are many solution pores at the top of each single cycle. Therefore, the penecontemporaneous dissolution in the study area is characterized by frequent exposure in multiple periods and short dissolution time in single periods.
Figure 7.
Cored vertical section through Well S131 of Sanshanzi Formation in the central-eastern Ordos Basin.
Figure 8.
Cored vertical section through Well MT3 of Sanshanzi Formation in the central-eastern Ordos Basin.
5.3.3. Penecontemporaneous Dolomitization
The Sanshanzi Formation dolostone in central-eastern Ordos Basin was mainly formed by seepage reflux during the penecontemporaneous period, which converts aragonite and calcite into dolomite. Because the dolomite crystal framework has better compaction and solubility resistance, it improves the compressive resistance of the whole rock and has a good effect on the preservation of pore space. In the residual granular dolostone, the original residual intergranular pores are well preserved despite the occurrence of cementation. With the increase in burial depth, recrystallization occurred in the dolostones, and the residual intergranular pores were preserved in the form of intercrystalline pores after the adjustment of pore structure. In crystalline dolostone, the intercrystalline pore and intercrystalline solution pore formed by atmospheric freshwater dissolution remained. Therefore, seepage reflux dolomitization is of great significance to the preservation of early pore space.
5.3.4. Recrystallization
Recrystallization completely changes the original fine crystal texture and rearranges it into coarser crystals, thus forming new textures and structures (Figure 9).
Figure 9.
Pore evolution of dolostones in Sanshanzi Formation in the central-eastern Ordos Basin.
With the increase in burial depth, the microcrystalline dolostone in granular dolostone began to dissolve and precipitate in the solution environment of higher temperature. The small microcrystalline dolostone disappeared and changed to very fine–fine crystalline dolostone, retaining the original grain texture. The mud is relatively concentrated in the center of the newly formed large crystal, forming a “cloudy center with bright rim” texture (Figure 5h). In addition, micrite dolostone in the lagoon also recrystallized into very fine–fine crystalline dolostone. The very fine–fine crystalline dolostone in the tidal flat recrystallized into medium-coarse crystalline dolostone.
5.4. Origin Model of Crystalline Dolostone
In the penecontemporaneous stage, due to its relatively high topography, the grain shoal was most likely exposed to air and leached by atmospheric precipitation (Figure 10).
Figure 10.
Genetic model of Sanshanzi Formation dolomite reservoir in the central-eastern Ordos Basin.
In the penecontemporaneous stage, the grainstone in the grain shoal was exposed to the air and leached by atmospheric precipitation, and seepage reflux dolomitization occurred to form dolostone with residual texture, which improved the original pore texture and enhanced the compressive resistance, providing favorable conditions for the preservation of early residual intergranular pores. Because the grain shoal is located in the geomorphic highlands, seepage reflux dolomitization occurred continuously and the intergranular pores were gradually cemented. In the lagoons and tidal flats, seepage reflux dolomitization also occurred in the penecontemporaneous stage, making the very fine–fine crystalline dolostone retain the original dense texture after seawater cementation. With the leaching of penecontemporaneous meteoric water, the very fine–fine crystalline dolostone formed the solution pore.
With the increase in burial depth, the grain texture of grain dolostone in grain shoal was adjusted and transformed into residual intergranular pores. Under compaction, Mg2+ was released from the dense very fine–fine crystalline dolostone in the lagoon. Due to the grain shoals’ poor porosity and permeability, no fluid entered them, retaining the residual granular texture. Mg2+ migrated to the tidal flat, recrystallizing the very fine–fine crystalline dolostone into medium-coarse crystalline dolostone and then adjusting the intercrystalline micropores into intercrystalline pores.
6. Conclusions
- This study characterized the petrographic and geochemical features of the crystalline dolostone reservoirs of the Sanshanzi Formation in the central-eastern Ordos Basin. Based on the petrographic and geochemical characteristics of the crystalline dolostones, three kinds of reservoirs were identified, and the origins of the controlling factors were concluded. The reservoir types of the Sanshanzi Formation in the central-eastern Ordos Basin are mainly crystalline dolostone with grain-shadow, very fine–fine crystalline dolostone, and medium–coarse crystalline dolostone. The pore space of crystalline dolostone with grain-shadow, very fine–fine crystalline dolostone, and medium–coarse crystalline dolostone are residual intergranular pores and karst caves, fractures and intercrystalline pores, and intercrystalline solution pores, respectively.
- The formation mechanism of Sanshanzi Formation dolostone in the central-eastern Ordos Basin is seepage reflux dolomitization.
- The development of high-quality dolomite reservoirs in the Sanshanzi Formation in the central-eastern Ordos Basin was controlled by deposition, penecontemporaneous dissolution, dolomitization, and recrystallization. High-quality reservoirs mainly developed in the dolomitic flats, and the selective pore space of fabric formed by karst processes in the penecontemporaneous period plays a key role in the reservoir. The early dolomitization effectively improved the pore structure, inhibited the compacting–pressure dissolution process, and transformed micrite and granular limestone into very fine–fine crystalline dolostone and residual granular dolostone, respectively. In the period of Huaiyuan movement, the weathering crust karst process formed a large-scale dissolution pore, which effectively improved the reservoir performance. Recrystallization transformed the intercrystalline micropores of very fine–fine crystalline dolomite into intercrystalline pores, and the intergranular pores of grain dolostone into residual intergranular pores.
In summary, the results of this study provide a framework to classify reservoirs, research the properties of diagenetic fluids, and understand the genesis of carbonate reservoirs.
Author Contributions
Conceptualization, writing—original draft, investigation, C.W.; writing—reviewing and editing, B.L.; funding, L.W., and X.L.; methodology, F.L.; supervision, Q.H.; data curation, K.S.; investigation, Q.Z., and S.C. All authors have read and agreed to the published version of the manuscript.
Funding
This research was funded by the Major Science and Technology Project of Changqing Oilfield Company, PetroChina, Grant/Award Number: ZDZX2021.
Data Availability Statement
All data generated and analyzed during this study are included in this published article.
Acknowledgments
We thank Enze Wang and Jinxin Yu from Peking University for their help in writing and revising this article.
Conflicts of Interest
The authors declare no conflict of interest.
References
- Wang, E.Z.; Feng, Y.; Guo, T.L.; Li, M.W. Oil content and resource quality evaluation methods for lacustrine shale: A review and a novel three-dimensional quality evaluation model. Earth–Sci. Rev. 2022, 232, 104134. [Google Scholar] [CrossRef]
- Wang, E.Z.; Li, C.R.; Feng, Y.; Song, Y.C.; Guo, T.L.; Li, M.W.; Chen, Z.H. Novel method for determining the oil moveable threshold and an innovative model for evaluating the oil content in shales. Energy 2022, 239, 121848. [Google Scholar] [CrossRef]
- Li, Y.; Kang, Z.J.; Xue, Z.J.; Zheng, Q.S. Theory and practice of carbonate reservoir development in China. Pet. Explor. Dev. 2018, 45, 669–678. [Google Scholar] [CrossRef]
- Medici, G.; Lorenzi, V.; Sbarbati, C.; Manetta, M.; Petitta, M. Structural Classification, Discharge Statistics, and Recession Analysis from the Springs of the Gran Sasso (Italy) Carbonate Aquifer; Comparison with Selected Analogues Worldwide. Sustainability 2023, 15, 10125. [Google Scholar] [CrossRef]
- Morad, S.; Al-Aasm, I.S.; Nader, F.H.; Ceriani, A.; Gasparrini, M.; Mansurbeg, H. Impact of diagenesis on the spatial and temporal distribution of reservoir quality in the Jurassic Arab D and C members, offshore Abu Dhabi oilfield, United Arab Emirates. Geoarabia 2012, 17, 17–56. [Google Scholar] [CrossRef]
- Machel, H.G. Concepts and Models of Dolomitization: A Critical Reappraisal; Geological Society Special Publications: London, UK, 2004. [Google Scholar]
- Ma, F.; Yang, L.; Gu, J.; Chen, X.; Zhao, Z.; Jin, Y.; Gao, L. Overview of exploration of dolomite oil and gas fields in the world. Acta Sedimentol. Sin. 2011, 29, 1010–1021. (In Chinese) [Google Scholar]
- Sun, L.D.; Zou, C.N.; Zhu, R.K.; Zhang, Y.H.; Zhang, S.C.; Zhang, B.M.; Zhu, G.Y.; Gao, Z.Y. Formation, distribution and potential of deep oil and gas in China. Pet. Explor. Dev. 2013, 40, 641–649. (In Chinese) [Google Scholar] [CrossRef]
- Ma, Y.S.; He, D.F.; Cai, X.Y.; Liu, B. Distribution of Marine carbonate rocks in China and basic problems of petroleum geology. Acta Petrol. Sin. 2017, 33, 1007–1020. (In Chinese) [Google Scholar]
- Warren, J. Dolomite; occurrence, evolution and economically important associations. Earth-Sci. Rev. 2000, 52, 1–81. [Google Scholar] [CrossRef]
- Luczaj, J.A. Evidence against the Dorag (mixing-zone) model for dolomitization along the Wisconsin arch—A case for hydrothermal diagenesis. AAPG Bull. 2006, 90, 1719–1738. [Google Scholar] [CrossRef]
- Huang, S.J. Diagenesis of Carbonate Rocks; Geological Publishing House: Beijing, China, 2010. (In Chinese) [Google Scholar]
- He, Y.L.; Liu, B.; Qin, S. Study on dolomitization mechanism and genesis of dolomite. Acta Sci. Nat. Univ. Pekin. 2010, 46, 150–160. (In Chinese) [Google Scholar]
- Li, Z.; Goldstein, R.H.; Franseen, E.K. Ascending freshwater–mesohaline mixing: A new scenario for dolomitization. J. Sediment. Res. 2013, 83, 277–283. [Google Scholar] [CrossRef]
- Qing, H.; Bosence, D.W.J.; Rose, E.P.F. Dolomitization by penesaline sea water in Early Jurassic peritidal platform carbonates, Gibraltar, western Mediterranean. Sedimentology 2001, 48, 153–163. [Google Scholar] [CrossRef]
- Saller, A.H.; Henderson, N. Distribution of porosity and permeability in platform dolomites; insight from the permian of west texas. AAPG Bull. 1998, 82, 1528–1550. [Google Scholar]
- Morrow, D.W.; Stasiuk, L.D.; Zhao, M. Dolomitization and Burial Diagenesis of Devonian Slave Point and Keg River Formations in the Cordova Embayment Region of Northeast British Columbia, Canada. In CSPG Annual Convention. Calgary, AB: Canadian Society of Petroleum Geologists; American Association of Petroleum Geologists: Tulsa, OK, USA, 2001. [Google Scholar]
- Moore, C.H. Carbonate Diagenesis and Porosity; Elsevier Science: Amsterdam, The Netherlands, 1989. [Google Scholar]
- Mazzullo, S.J.; Harris, P.M. Mesogenetic Dissolution: Its role in Porosity Development in Carbonate Reservoirs. AAPG Bull. 1992, 76, 607–620. [Google Scholar]
- Huang, S.J.; Wang, C.M.; Huang, P.P.; Zou, M.L.; Wang, Q.D.; Gao, X.Y. Research frontiers of carbonate diagenesis and problems worth thinking about. Chengdu Ligong Daxue Xuebao Ziran Kexueban 2008, 35, 1–9. (In Chinese) [Google Scholar]
- Huang, S.J.; Zhang, X.X.; Liu, L.H.; Huan, J.J.; Huang, K.K. Research status and prospect of carbonate diagenesis. Dixue Qianyuan 2009, 16, 219–230. (In Chinese) [Google Scholar]
- Shen, X.; Zhou, S.H.; Wu, C.H. Development of China’s natural gas market in 2022 and outlook for 2023. Int. Pet. Econ. 2023, 31, 25–36. (In Chinese) [Google Scholar]
- Xie, Q.B.; Han, D.X.; Chen, F.H.; Guan, S.R. Genesis and reservoir property of Lower Paleozoic Sanshanzi dolomite in Ordos Basin. Zhongguo Shiyou Daxue Xuebao Ziran Kexueban 2001, 6, 6–12. (In Chinese) [Google Scholar]
- Duan, J. Study on Characteristics of Lower Paleozoic Carbonate Reservoir in Southern Margin of Ordos Basin. Master’s Thesis, Chengdu University of Technology, Chengdu, China, May 2009. (In Chinese). [Google Scholar]
- Zheng, H.F.; Hao, Q.; Ren, Y.S. Characteristics of Cambrian reservoir in the southeast of Ordos Basin. Sci. Technol. Innova. Hera. 2014, 11, 27. (In Chinese) [Google Scholar]
- Guo, J.N. Study on Reservoir Characteristics of Dolomite in Sanshanzi Formation, Southern Ordos Basin. Master’s Thesis, Chengdu University of Technology, Chengdu, China, May 2016. (In Chinese). [Google Scholar]
- Shen, F.; Zou, C.Y.; Li, F.J.; Zhang, H.; Chen, Z.A.; Ni, Z.Y. Origin of dolomite of Cambrian Sanshanzi Formation in Helan Mountain area. J. Chengdu Univ. Technol. 2018, 45, 402–414. (In Chinese) [Google Scholar]
- Liu, J. Analysis and Study of Cambrian Genesis and Reservoir Conditions of LT1 Well and Its Adjacent Areas in Weibei Area. Master’s Thesis, Xi’an Shiyou University, Xi’an, China, June 2017. (In Chinese). [Google Scholar]
- Hao, Z.M. Reservoir Formation Mechanism of the Cambrian Zhangxia Formation and Sanshanzi Formation in Ordos Basin. Ph.D. Thesis, Chengdu University of Technology, China, May 2017. (In Chinese). [Google Scholar]
- Xiang, L. Study on Reservoir Characteristics of Lower Paleozoic in Western Margin of Ordos Basin. Master’s Thesis, Chengdu University of Technology, Chengdu, China, May 2009. (In Chinese). [Google Scholar]
- Wei, G.Q.; Zhu, Q.Y.; Yang, W.; Zhang, C.L.; Mo, W.X. Characteristics of Cambrian faults and their control on sedimentary reservoirs in Ordos Basin. Pet. Explor. Dev. 2019, 46, 836–847. (In Chinese) [Google Scholar] [CrossRef]
- Bai, X.; Zhong, Y.J.; Huang, K.K.; Zhang, S.P.; Zou, Q.; Liu, G. Dolomite recrystallization and its geological significance. Acta Petrol. Sin. 2022, 41, 804–817. (In Chinese) [Google Scholar]
- Yang, J. Tectonic Evolution and Hydrocarbon Distribution in Ordos Basin; Petroleum Industry Press: Beijing, China, 2002. [Google Scholar]
- Hou, L.H.; Lin, S.H.; Zhang, L.J. New insights from geostatistics on the genetic relationship between shales, mudstones, and sandstones within a parasequence in the lower Chang7 member of the upper triassic yanchang formation, ordos basin, northern China. J. Asian. Earth. Sci. 2021, 213, 104767. [Google Scholar] [CrossRef]
- Zhang, C.G. Formation and Evolution of the Central Paleo-Uplift and Its Material Accumulation and Distribution in the Ordos Basin during the Early Paleozoic. Ph.D. Thesis, Chengdu University of Technology, China, May 2013. (In Chinese). [Google Scholar]
- Yang, H.; Xi, S.L.; Wei, X.S.; Li, Z.H. Evolution and natural gas enrichment in the Ordos Multicyclotron Stacked Basin. China Pet. Explor. 2006, 11, 17–24. (In Chinese) [Google Scholar]
- Li, F.; Ma, X.; Lai, X. Petrography, geochemistry and genesis of dolomites in the upper Cambrian Sanshanzi Formation of the western Ordos Basin, northern China. J. Asian Earth Sci. 2022, 223, 104980. [Google Scholar] [CrossRef]
- Deng, K.; Zhang, S.N.; Zhou, L.F.; Ding, X.Q. The prototype basin of Cambrian Zhangxia period and oil-gas exploration prospect in the Ordos Basin. Petrol. Geol. Experi. 2010, 32, 442–446. (In Chinese) [Google Scholar]
- Kang, Y. Early Paleozoic Tectonic Paleogeography and Petroleum Geological Significance of the Western and Southern Ordos Block. Ph.D. Thesis, Northwestern University, China, November 2021. (In Chinese). [Google Scholar]
- Li, W.H.; Chen, Q.; Li, Z.C.; Wang, R.G.; Wang, Y.; Ma, Y. Early Paleozoic lithofacies palaeogeography in Ordos Are. J. Palaeogeogr. 2012, 14, 85–100. (In Chinese) [Google Scholar]
- Chen, Q.L.; Bai, Y.L.; Huang, Y.; Ma, Y.H.; Liu, X.G.; Wei, L.H.; Wan, Y.R.; Han, X.F. Cambrian sequence lithofacies paleogeography, Ordos Basin. Acta Petrol. Sin. 2012, 33, 82–94. (In Chinese) [Google Scholar]
- Huang, H.; Wen, H.; Wen, L.; Zhang, B.J.; Zhou, G.; He, Y.; Wen, L.B.; Zhao, Y.; Jiang, H.C. Multistage dolomitization of deeply buried dolomite in the Lower Cambrian Canglangpu Formation, central and northern Sichuan Basin. Mar. Pet. Geol. 2023, 152, 106261. [Google Scholar] [CrossRef]
- Zhang, X.F.; Cai, Z.X.; Li, L.; Gu, X.D.; Zhao, W.G. Dolomite residual structure and the resulting pore classification problem. J. Sediment. 2011, 29, 475–485. (In Chinese) [Google Scholar]
- Li, M.L.; Tan, X.C.; Li, Y.J.; Liu, Y.L.; Jiang, L.; Xia, J.W. Characteristics and main controlling factors of limestone reef-shoal reservoir: A case study of Upper Permian Changxing Formation, southern Sichuan Basin. Duankuai Youqitian. 2020, 27, 585–590. (In Chinese) [Google Scholar]
- Su, Z.T.; Chen, H.D.; Xu, F.Y.; Wei, L.B.; Li, J. Geochemical characteristics and dolomitization mechanism of Majiagou Formation Dolomite in Ordos Basin. Acta Petrol. Sin. 2011, 27, 2230–2238. (In Chinese) [Google Scholar]
- He, X.Y.; Shou, J.F.; Shen, A.J.; Wu, X.N.; Wang, Y.S.; Hu, Y.Y.; Zhu, Y.; Wei, D.X. Geochemical characteristics and origin of dolomite: A case study from the middle assemblage of Majiagou Formation Member 5 of the west of Jingbian Gas Field, Ordos Basin, North China. Pet. Explor. Dev. 2014, 41, 375–384. (In Chinese) [Google Scholar] [CrossRef]
- Yang, W.; Wang, Q.H.; Liu, X.Z. The hotan river of tarim basin gas field ordovician dolomite formation. J. Sediment. 2000, 04, 544–548. (In Chinese) [Google Scholar]
- McLennan, S.M. Rare earth elements in sedimentary rocks; influence of provenance and sedimentary processes. Rev. Mineral. 1989, 21, 169–200. [Google Scholar]
- Li, X.N.; Huang, S.J.; Huang, K.K.; Yuan, T.; Zhong, Y.J. Geochemical basis of dolomitization Marine fluid in the Middle Permian Qixia Formation, Sichuan Basin. Nat. Gas Ind. 2016, 36, 35–45. (In Chinese) [Google Scholar]
- Hu, Z.G.; Zheng, R.C.; Hu, J.Z.; Wen, H.G.; Li, Y.; Wen, Q.B.; Xu, F.B. Geochemical characteristics of rare Earth elements in dolomite reservoir of Huanglong Formation, Eastern Sichuan and Yubei Area. Acta Petrol. Sin. 2009, 83, 782–790. (In Chinese) [Google Scholar]
- Chen, Y.Q.; Zhou, X.Y. Theory of ion radius: The reassigning theory of metal elements and isotopes during burial diagenesis process for dolostone. Mar. Ori. Pet. Geol. 2009, 14, 65–67. (In Chinese) [Google Scholar]
- Tucker, M.E.; Wright, V.P.; Dickson, J.A.D. Carbonate Sedimentology; Blackwell Scientific Publications Publisher: Oxford, UK, 1990. [Google Scholar]
- Jaffr’es, J.B.D.; Shields, G.A.; Wallmann, K. The oxygen isotope evolution of seawater: A critical review of a long-standing controversy and an improved geological water cycle model for the past 3.4 billion years. Earth-Sci. Rev. 2007, 83, 83–122. [Google Scholar] [CrossRef]
- Yang, H.; Wang, B.Q.; Sun, L.Y.; Ren, J.F.; Huang, Z.L.; Wu, C.Y. Characteristics of oxygen and carbon stable isotopes for middle Ordovician Majiagou Formation carbonate rocks in the Ordos Basin. Nat. Gas Geosci. 2023, 23, 616–625. [Google Scholar]
- Zhang, L.W. Genesis and Evaluation of Dolomite Reservoir in the Mwu_5 Sub-Member of Lower Ordovician in Eastern Ordos Basin. Master’s Thesis, Chengdu University of Technology, Chengdu, China, May 2018. (In Chinese). [Google Scholar]
- Tang, H.S.; Chen, Y.J.; Wu, G.; Lai, Y. Geochemistry of rare earth elements in carbonate rocks of Dashiqiao Formation, Liaohe Group, eastern Liaoning and its implications for Lomagundi Event. Acta Petrol. Sin. 2009, 25, 3075–3093. (In Chinese) [Google Scholar]
- Yao, J.L.; Wang, B.A.; Wang, Y.; Huang, D.J.; Wen, C.X. Geochemical characteristics of dolomites in the Ma 5th Member of the Lower Ordovician Majiagou Formation, Ordos Basin. Acta Sedimentol. Sin. 2009, 27, 381–389. (In Chinese) [Google Scholar]
- Liu, H.Q.; Li, X.B.; Ma, Y.H.; Bai, Y.L.; Huang, J.P. The Huaiyuan movement unconformity and deep natural gas exploration fields in the Ordos Basin. Nat. Gas Ind. 2021, 41, 1–12. (In Chinese) [Google Scholar] [CrossRef]
- Jiang, W.J.; Hou, M.C.; Xing, F.C.; Xu, S.L.; Lin, L.B. Characteristics and significance of rare earth elements in dolomite of Loushanguan Group in southeastern Sichuan. Oil Gas Geol. 2016, 37, 473–482. (In Chinese) [Google Scholar]
- Yu, C.Y.; Cui, J.P.; Wang, Q.Z.; Ren, H.J. Ree characteristics and genesis of dolomites in the Lower and Middle Ordovician Majiagou Formation, Southern Ordos Basin. J. Northwest Univ. Nat. Sci. Ed. 2020, 50, 519–530. (In Chinese) [Google Scholar]
- Nothdurft, L.D.; Webb, G.E.; Kamber, B.S. Rare earth element geochemistry of Late Devonian reefal carbonates, Canning Basin, Western Australia: Confirmation of a seawater REE proxy in ancient limestones. Geochem. Cosmochim. Acta. 2004, 68, 263–283. [Google Scholar] [CrossRef]
- Ding, Z.J.; Yao, S.Z.; Liu, C.Q.; Zhou, Z.G.; Yang, M.G. Study on the Characteristics of Metallogenic Regularity and Metallogenic Regularity in Donggouba Polymetallic Deposit. Acta Sedimentol. Sin. 2003, 19, 792–798. (In Chinese) [Google Scholar]
- Frimmel, H.E. Trace element distitbution in Neoproterozoic carbonates as palaeo enviornmental indicator. Chem. Geol. 2009, 258, 338–353. [Google Scholar] [CrossRef]
- Rivas, E.G.; Martin, J.D.M.; Bons, P.D.; Koehn, D.; Griera, A.; Trave, A.; Llorens, M.G.; Humphrey, E.; Neilson, J. Stylolites and stylolite networks as primary controls on the geometry and distribution of carbonate diagenetic alterations. Mar. Pet. Geol. 2022, 136, 105444. [Google Scholar] [CrossRef]
Disclaimer/Publisher’s Note: The statements, opinions and data contained in all publications are solely those of the individual author(s) and contributor(s) and not of MDPI and/or the editor(s). MDPI and/or the editor(s) disclaim responsibility for any injury to people or property resulting from any ideas, methods, instructions or products referred to in the content. |
© 2023 by the authors. Licensee MDPI, Basel, Switzerland. This article is an open access article distributed under the terms and conditions of the Creative Commons Attribution (CC BY) license (https://creativecommons.org/licenses/by/4.0/).









