Abstract
Carbon dioxide sequestration by minerals containing calcium or magnesium is a safe and stable approach to reduce the concentration of CO2 in the atmosphere. In this work, the bioleaching method was applied to pretreat the anorthite, aiming to improve the carbonation conversion rate of anorthite with low energy consumption, low cost, and no pollution. A bacteria named Herbaspirillum huttiense W-01 was found and selected as the strain. The effects of the bacterial strain on the Ca2+ leaching behavior of anorthite and the corresponding carbonation conversion rate were investigated. Then, the strengthening mechanism of the bacteria was clarified from the Ca2+ leaching rate and the crystal structure of anorthite. The bioleaching results showed that after 9 days of treatment, the pH value of the fermentation solution decreased to 6.01 from 7.20, and the concentration of Ca2+ was 8.1 mmol/L with a 4.65% leaching rate, which was about twice that of sterile medium. During the pretreatment period of one to 9 days, the carbonation conversion rate of different systems (A1: anorthite and bacteria, B1: anorthite and medium, C1: anorthite and distilled water, D1: anorthite and bacteria, cleaning step to remove the medium components) increased with time. After 9 days, the carbonation conversion rate of system D1 reached 18.74%, which was 3.46% higher than that of system C1, suggesting a better carbon sequestration effect of anorthite after the bioleaching pretreatment. In addition, a bioleaching residue with weakened thermal stability and decreased crystallinity was formed after the microbial pretreatment. Furthermore, it can be seen that the surface of the bioleaching residue was rough and showed obvious corrosion at the edges, and the specific surface area increased from 0.5187 m2/g to 0.9883 m2/g. It is precisely because of the changes in the crystal structure of anorthite caused by bioleaching, especially in mineralogy and morphology, that the carbonation activity of anorthite was enhanced. This research may provide a reference for the enhancement of carbon dioxide mineralization by basic or ultrabasic rocks through microbial methods.
1. Introduction
Human activities lead to a sharp increase in the content of greenhouse gases, in the atmosphere, especially CO2, which has a serious impact on the global climate system [1,2,3]. Direct liquid phase carbonation was the most promising method to mitigate the greenhouse effect and has been widely studied so far [4,5]. There are abundant raw materials that can be used for direct liquid phase carbonation, such as natural silicate minerals containing calcium or magnesium (anorthite, wollastonite, etc.) and alkaline solid waste (steel slag, fly ash, waste gypsum, etc.) As one of the richest minerals in the earth’s crust, the theoretical content of CaO in anorthite can reach 20.14%, indicating a considerable carbon sequestration potential. However, the key problems with direct liquid phase carbonation, are the slow reaction kinetics and low conversion rate, which is not acceptable for industrial applications. It was worth noting that the dissolution of calcium or magnesium ions in the direct liquid phase carbonation process was considered to be the key step of the reaction [6]. Therefore, the enhancement of calcium or magnesium ion leaching is of great significance for improving reaction kinetics and carbonation conversion rate. It has been confirmed by many studies that the carbonation conversion rate can be significantly improved by mechanical activation [7,8], high-temperature and pressure treatment [9,10], and the use of chemical reagents [9,11]. However, these traditional physical and chemical methods in the process of carbon sequestration suffer from the disadvantages of large energy consumption, high-performance equipment, and the fact that they easily cause environmental secondary pollution, which limits their large-scale application in the industrial field. Thus, it is important and necessary to find a new approach to increase the carbon sequestration effect by minerals.
Except for the physical and chemical methods, the microbiological method, also known as bioleaching, is an alternative method with great potential. It has been proven that bioleaching is a low-energy-consumption, high-safety, and pollution-free process [12]. Bioleaching uses the physiological activities of the microorganisms and their metabolites to change the properties of minerals, which has been applied in mineral flotation, ion extraction and other applications [13,14,15]. For example, I. Štyriaková et al. [16] treated basalt with bacteria of Bacillus spp. and found that the selective leaching order of elements in basalt under the action of microorganisms was Ca > Mg > Fe ≥ Si > K at 4 °C. Ying Lv et al. [17] investigated the leaching rule of silicon from quartz, muscovite, biotite, olivine, and rhodonite by Ochrobactium sp. T-07-B, and concluded that the crystal structure of silicate played a decisive role in the silicon leaching process, and the destruction of crystal structure could accelerate the release of silicon. In addition, in the process of bioleaching of silicate minerals and sulfide ores, microbial action can not only extract high-value metals such as nickel, copper and iron but also significantly improve the release effect of other elements in minerals (Ca, Mg, Si, etc.) [18,19,20]. Based on the above investigations, it can be deduced that microorganisms may be beneficial for accelerating the release of calcium ions in anorthite and then strengthening the carbon sequestration effect of anorthite. However, there is no research on the application of microorganisms in calcium leaching from anorthite, the screening and selection of corresponding microorganisms, and the influence of microbial leaching on the carbon fixation effect of anorthite. The enhancement mechanism of bioleaching on the carbon sequestration effect is also not well understood. Therefore, we prefer to consider the domestication of microorganisms from nature, adapting them to the calcium feldspar environment and equipping them with the ability to decompose anorthite, so as to explore its impact on the sequestration of CO2 by anorthite.
In this paper, anorthite, a typical calcium silicate mineral, was used as carbon sequestration material. Herbaspirillum huttiense W-01 was selected to pretreat the anorthite. The effects of bioleaching on the Ca2+ leaching rate and carbon sequestration of anorthite were explored. Anorthite, leaching residue and carbonated product were characterized by XRD, FT-IR, TG-DTG, SEM-EDS and BET to analyze the phase composition, functional groups, thermal decomposition characteristics, surface morphology, elements and specific surface area. The Ca2+ leaching characteristics under the action of microorganisms were investigated, and the enhancement mechanism of the carbonation of anorthite under microbial pretreatment was elucidated. The study provides a reference for the enhancement of mineral carbon dioxide sequestration by a microbial method.
2. Materials and Methods
2.1. Materials
2.1.1. Sample and Gas
Massive anorthite was selected, crushed and ground to particle size less than 0.038 mm. Its chemical components and phase compositions are shown in Table 1, respectively. The CO2 used in the present study (purity ≥99.95%) was purchased from the Gas Department of Shanxi Tongdun Trading Co., LTD (Taiyuan, China).
Table 1.
Chemical composition and content of anorthite.
2.1.2. Strains
Due to the fact that anorthite is a silicate mineral, nine strains with the ability of decomposing silicate minerals were initially screened from the soil, and three strains with stable growth and good decomposing effect on anorthite were obtained by re-screening with anorthite as the only source of calcium, which were named W-01, W-02 and W-03. By comparing the decomposition effect of three strains on anorthite, it was found that strain W-01 had a significantly better decomposition effect, growth rate and growth stability than W-02 and W-03. Therefore, W-01 was selected as the target strain to leach calcium from anorthite in this study, identified by morphological characteristics and 16S rRNA sequence analysis. The concatenated sequences were compared in the ncbi database (https://blast.ncbi.nlm.nih.gov, accessed on 2 March 2023). The phylogenetic tree was constructed by the neighbor-joining method using MEGA version 11.0 with the Kimura 2-parameter model, the robustness of the tree was evaluated by performing bootstrap analyses based on 1000 replications, and the result is shown in Figure 1. It was found that the similarity between strain W-01 and Herbaspirillum huttiense strain NBRC 102521 is 100%.
Figure 1.
Phylogenetic tree of the strain based on 16S rRNA sequences (the length of the sequence is 1500 bp).
2.2. Methods
2.2.1. Culture and Preparation of Strains
Strain W-01 was added to sterilized silicate bacterial solid medium (5.00 g sucrose, 2.00 g Na2HPO4, 0.50 g MgSO4∙7H2O, 0.005 g FeCl3, 0.1 g CaCO3, 1.00 g soil, 18.00 g AGAR, 1000 mL distilled water) and incubated at 30 °C for 4 days. A ring of bacteria was obtained with a sampling ring and inserted into 100 mL of liquid medium with pH 7.2 (5.00 g sucrose, 2.00 g Na2HPO4, 0.50 g MgSO4∙7H2O, 0.005 g FeCl3, 0.1 g CaCO3, 1.00 g soil, 1000 mL distilled water). Then, the liquid medium was incubated in a shaking bed at 30 °C and 150 r/min for 4 days. Finally, this activated bacterial solution was used as a source of microorganisms for the anorthite leaching test.
2.2.2. Microbial Leaching Test
To investigate the influence of bacteria on the dissolution of Ca2+ in anorthite, three different groups were set: bacterial action (A); sterile medium action (B); distilled water action (C), as shown in Table 2. Specific test operation was as follows: For the A and B group, 100 mL modified silicate bacteria medium (initial pH was 7.2, no CaCO3 was added to ensure no initial Ca2+ in the medium) was added into 250 mL polyethylene conical flask. For group C, the medium was replaced by 100 mL of distilled water for comparison. Next, groups A, B and C were added with 5.0 g anorthite and sterilized at 121 °C for 20 min. After that, 5 mL of activated bacterial solution, 5 mL of sterile medium and 5 mL of distilled water were inoculated into groups A, B and C, respectively. Then, the leaching test was conducted in an incubator at 30 °C and 150 r/min. Three parallel tests were set in each group, and the average values were reported.
Table 2.
Leaching test group for anorthite samples.
2.2.3. Determination of pH Value
The pH values of A, B and C fermentation liquid were recorded from 1 to 9 with 2-day intervals.
2.2.4. Determination of Calcium Ion Concentration
The leaching suspensions of A, B and C were placed in an autoclave at 121 °C for 20 min to sterilize. Then, the supernatant was acidified with 10% nitric acid to pH < 2, and the supernatant was static for 1 h to become fully acidized to ensure the presence of calcium in the fermentation broth as free Ca2+. The supernatant was taken to determine the content of Ca2+ in the solution by EDTA titration [21].
2.2.5. Carbonation Test
The leached systems for fermentation liquid (A1, B1, C1) were directly transferred to a 500 mL high-pressure reactor with a stirring speed of 200 r/min. To eliminate the interference of the components in the medium to the carbonation reaction, anorthite, which was cleaned to remove the components in the medium after microbial pretreatment, was mixed with distilled water (named group D1) and added to the reactor. The carbonation test group were seen in Table 3. The reactor was connected to other components after it was covered by cover. A good sealing of the whole system is needed during the test. The reaction temperature was set at 150 °C, the pressure was 5 MPa and the reaction time was 1 h. After the reactions were complete, the products were filtered to obtain filter slag, which was dried and preserved in a drying oven at 105 °C for subsequent characterization.
Table 3.
Carbonation test group.
2.2.6. Characterization Methods
XRF: quantitative determination of chemical composition in anorthite by PANalytical Axios X-ray fluorescence probe (PANalytical B.V. Almelo, The Netherlands).
XRD: with the aid of MiniFlex600 X-ray diffractometer (Rigaku Co., Ltd. Tokyo, Japan), the phase composition of products was analyzed with detection conditions of Cu Kα radiation, tube voltage 40 kV, tube current 15 mA, DS = 1.25°, SS = 1.25°, RS = 0.3 mm, scanning range 2θ = 5∼85°, scanning speed of 12°/min.
FT-IR: Tensor27 infrared spectrometer (Bruker. Ettlingen, Germany) was used to analyze the changes of functional groups. The mass ratio of the sample to be tested and potassium bromide was 1:100. After mixing and grinding, tablets were pressed. Infrared spectral resolution was 1 cm−1, wave number range was 4000∼500 cm−1, and scanning times were 32 times.
TG-DTG: HCT-1 comprehensive thermal analyzer (Beijing Hengjiu experimental equipment Co., Ltd., Beijing, China.) was used for thermogravimetric analysis. The mass of the sample was about 10 mg, and the samples were heated in the range of 30∼950 °C under nitrogen gas flow, with a heating rate of 10 °C/min, and a gas flow rate of 50 mL/min.
SEM-EDS: TESCAN MIRA3 (Brno, Czech Republic) field emission scanning electron microscopy was used to analyze the morphological characteristics and surface element changes before and after leaching and carbonation reaction. The accelerated voltage was 5 kV.
2.2.7. Calculation of Carbonation Conversion Rate
Due to the small sample mass required in thermogravimetric analysis and the uneven formation of carbonate in the reaction process, there may be a large error in the calculation of carbonation conversion using thermogravimetric analysis data. To make the calculation result of carbonation conversion more accurate, the method of staged calcination in a Muffle furnace was adopted. Products were calcinated at 600 and 800 °C for 2 h to ensure complete decomposition, due to the fact that the carbonated products underwent thermal decomposition in the temperature range of 600∼800 °C [22]. The calcined mass was recorded. The mass loss between the two temperature points represented the amount of carbon dioxide fixed. Blank control, pure calcium carbonate and anorthite were also used as references. Two parallel tests are set up for each group and the mean value is reported.
In this study, the carbonation conversion rate was used as the evaluation index of the carbon fixation effect of anorthite, and its calculation formulae are shown in Equations (1)–(5).
The total amount of calcium in anorthite was:
The amount of calcium in CaCO3 in anorthite was:
The amount of calcium substance converted to calcium carbonate was:
The carbonation conversion rate of anorthite was:
where m1 represents the mass (g) of the carbonated product after thermal decomposition at 600 °C. m2 represents the residual amount (g) of the product after calcination (its chemical composition and content are similar to that of the raw mineral) at 800 °C. m1–m2 represents the mass loss at 600∼800 °C during calcination and also represents the mass (g) of CO2 in CaCO3 carbonated products. mCO2 represents the mass (g) of CO2 in CaCO3 in anorthite.
3. Results and Discussion
3.1. Results of Microbial Leaching
3.1.1. Changes of pH Value
The pH values of the fermentation measurement from bacterial pretreatment of anorthite are shown in Figure 2. It indicated that under the action of bacteria, the pH value of fermentation broth declined significantly with the extension of time. The pH value basically remained around 7.20 in 1∼3 days, slowly decreased from 7.18 to 6.93 in 3∼7 days, and rapidly decreased from 6.93 to 6.01 in 7∼9 days. This indicated that during 7∼9 days, bacteria could release more acidic metabolites, resulting in a significant decrease in the pH value of fermentation broth [12]. The pH value of control group B was maintained at about 7.50, which was slightly lower than that of system C.
Figure 2.
The pH values measurement results of the fermentation broth as a function of time.
3.1.2. Ca2+ Leaching Rate
Figure 3 shows the changes in Ca2+ concentration and leaching rate over time. It can be seen that the leaching rates of Ca2+ in the three systems were as follow: bacterial system (A) > sterile medium system (B) > distilled water system (C), indicating that the leaching effect of Ca2+ in anorthite under the action of bacteria was the best. Furthermore, the Ca2+ concentration and leaching rate of A and B showed the same increasing trend with the extension of time. It was worth noting that when the incubation time was 7∼9 days, the dissolution of anorthite was significantly enhanced under the action of bacteria, and the concentration of Ca2+ increased from 4.5 mmol/L to 8.1 mmol/L, and the corresponding leaching rate increased from 2.58% to 4.65%. The increase in leaching rate was caused by the decrease in the pH value of bacterial fermentation fluid due to the reproductive and metabolic activities of microorganisms (Figure 2). Proton concentration increases in a low pH environment, and the contact between the mineral surface and protons becomes more frequent, which was conducive to Ca2+ leaching [14]. However, the Ca2+ leaching rate increased by only 0.2% in sterile medium (group B). The Ca2+ concentration in system C basically showed no changes. These results manifested the role and importance of bacteria in Ca2+ leaching.
Figure 3.
Ca2+ concentration (a) during the leaching process and leaching rate (b) as a function of time.
3.1.3. Carbonation Conversion of Anorthite
The results of carbonation conversion of anorthite in different systems are shown in Figure 4. It can be seen that the carbonation conversion rate of anorthite in different systems increased with the extension of leaching time within 1∼9 days of leaching treatment. After 9 days of treatment, the carbonation conversion rate of anorthite in system A1, B1 and C1 reached 10.24%, 9.53% and 15.28%, respectively. The carbonation conversion rate of anorthite in system A1 was always higher than that in system B1, indicating that the enhanced reactivity of anorthite after microbial pretreatment was more conducive to the carbonation reaction [15]. From the carbonation results of A1 and B1, it was indicated that the dissolution of Ca2+ in anorthite under the action of microorganisms can promote the carbonation reaction. By comparing the conversion of C1 and D1, it could be seen that the calcium in the anorthite destroyed by microorganisms is further dissolved under the carbonation reaction conditions (150 °C, 5 MPa), which was the fundamental reason for the carbonation conversion rate of C1 being higher than that of D1. In conclusion, both the increase in Ca2+ leaching rate of anorthite and the destruction of anorthite crystal structure resulting from bacteria pretreatment strengthen the process of carbon dioxide sequestration in anorthite [23]. However, the carbonation conversion rate of anorthite in system C1 was higher than that in system A1 and system B1. This phenomenon was possibly due to the fact that the sucrose and other inorganic salts in the medium may have a certain limiting effect in the dissolution or precipitation of CO2, thus inhibiting carbonation. To avoid the influence of the medium components on the carbonation reaction, the anorthite after microbial leaching was cleaned to remove the medium by distilled water, and then the carbonation test was conducted in the distilled water environment (group D1). After 9 days of microbial leaching, the carbonation conversion rate of anorthite of group D1 can reach 18.74%, which was 3.46% higher than that of system C1. It was further verified that bacteria could improve the carbon fixation effect of anorthite, and that sucrose and other inorganic salts in silicate bacteria medium showed a certain inhibition effect on carbonation. This result implied that the removal of medium components is very important and necessary for the mineral carbon sequestration effect enhanced by bioleaching.
Figure 4.
Carbonation conversion with pretreatment time for different fermentation systems.
3.2. Analysis of Leaching Residue and Carbonation Products
3.2.1. XRD Analysis
After 9 days of microbial treatment, the phase analysis was conducted on the anorthite leaching residue and the corresponding carbonated products, and the results are shown in Figure 5. It can be seen from Figure 5a that the corresponding peaks of anorthite (2θ = 27.8°) and aragonite (2θ = 27.2° and 31.2°) were strongly weakened after leaching, and the weakening degree was more obvious under the action of microorganisms. However, the corresponding peak of silica at 2θ = 26.3° was enhanced, which was due to the relative increase in silica content at the same time of Ca2+ leaching. Figure 5b shows that there is no new peak in the carbonation products formed under the conditions of distilled water, sterile medium and leaching fermentation solution after microbial action, while the carbonation products after microbial action and cleaning of the medium show a strong peak corresponding to aragonite at 2θ = 31.2°, indicating that the carbonate mineral generated by the reaction was aragonite calcium carbonate.
Figure 5.
XRD patterns of anorthite leaching residue (a) and carbonation products (b).
3.2.2. FT-IR Analysis
Figure 6 shows the infrared spectra of anorthite leaching residue and carbonated products. It can be seen from Figure 6a that the strong absorption band at 3446 cm−1 and the weak absorption band at 1636 cm−1 were attributed to the O-H stretching and H-O-H bending vibration of water molecules [24]. The band of Si-O bond at 1100 cm−1 and 1000 cm−1 did not shift under the action of microorganisms, medium and distilled water, and only the band strength was slightly weakened [24]. The band located at 732∼776 cm−1 was caused by Si-O-Al or Si-O-Si stretching vibration, and the change in all leaching systems before and after treatment was not obvious [25]. Figure 6b shows that the absorption peak of CO2-3 groups in the carbonated products at 1440 cm−1 and 875 cm−1 came from calcium carbonate [25], and the corresponding spectral band positions of the other groups were basically consistent with those of the leaching residue.
Figure 6.
Infrared spectra of anorthite leaching residue (a) and carbonation products (b).
3.2.3. TG-DTG Analysis
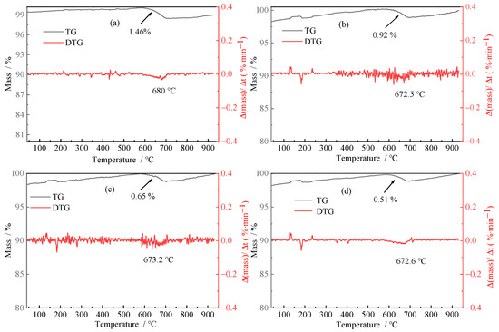
The thermogravimetric analysis results of anorthite and its leaching residue are shown in Figure 7. It can be seen that both anorthite and leaching residue showed a certain weight loss in the temperature range of 600∼800 °C. This weight loss was partly due to the presence of anorthite calcium carbonate (Figure 5). The weight loss rate of raw anorthite was about 1.46%, and the weight loss rate was reduced after the treatment of distilled water, medium and microbial, resulting from the leaching of calcium in anorthite. In addition, it can be seen from the location of the peak of the DTG curve that the temperature corresponding to the maximum weight loss rate of anorthite was 680 °C, while the peak of the residue DTG curve was about 672 °C, indicating that the thermal stability of the leaching residue was reduced slightly. This is because the leaching of Ca2+ caused the destruction of the crystal structure of anorthite, thus leading to the deterioration of its thermal stability.
Figure 7.
Thermogravimetric curves of anorthite and its leaching residue: (a) Anorthite; (b) Anorthite + distilled water; (c) Anorthite + sterile medium; (d) Anorthite + bacteria.
The thermogravimetric results of carbonated products in the fermentation broth of anorthite leaching are shown in Figure 8. It can be seen that the weight loss temperature of carbonated products was still in the range of 600∼800 °C, and the weight loss rate was significantly increased compared with raw anorthite due to the formation of new aragonite calcium carbonate. It is indicated that the weight loss rate followed D1 > C1 > A1 > B1. This is because the removal of medium components facilitated the carbonation reaction (Figure 4), so the amount of the generated aragonite was increased for group D. It can also be seen from Figure 8 that the DTG curve dips of carbonation products were at about 700 °C, which was higher than that of anorthite and leaching residue, indicating that the carbonated products have higher crystallinity and more stable structure.
Figure 8.
Anorthite fermentation solution carbonation product thermogravimetric curve: (a) Anorthite + distilled water; (b) Anorthite + sterile medium; (c) Anorthite + bacteria; (d) Anorthite was cleaned after microbial leaching to remove the medium+ distilled water.
3.2.4. SEM-EDS Images
SEM-EDS was used to analyze the morphology and element composition of anorthite, leaching residue and carbonation products. The results are shown in Figure 9. As shown in Figure 9a1–3, the anorthite particles showed irregular morphology of fragmentation, the dissociation surface was smooth, and the edges were clear and angular. The corresponding energy spectrum (Figure 9a4) showed that the main elements contained O, Na, Al, Si and Ca. After microbial treatment (Figure 9b1–3), the anorthite dissociation surface became rough, and there were many tiny spots that may be the attached bacteria. No obvious grooves and holes were found on the leaching residue, and the dissolution was obvious at the corners. It can be seen that Herbaspirillum huttiense W-01 would cause the weathering of anorthite by adsorbing on its surface and producing acidic metabolites (Figure 2), which decomposes anorthite, most easily at the edges and corners. The energy spectrum of leaching residue showed (Figure 9b4) that the main element species showed no change; however, the content of O, Na, Al, and Si elements decreased significantly, suggesting the occurrence of a dissolution phenomenon. In addition, BET-specific surface area test results (Table 4) showed that the specific surface area of anorthite treated by microorganisms increased by 0.4696 m2/g, indicating that microbial action promotes the leaching of Ca2+ and results in the increase of the specific surface area of anorthite. The carbonated products were fine particles, which aggregated with each other to form some dense clusters, as shown in Figure 9c1–3. It can be also seen that there is a small number of flake crystals in the products, which were calcium carbonate generated by the carbonation reaction. Few small flake crystals also suggested a relatively low carbonation conversion rate. The energy spectrum showed (Figure 9c4) that compared with the leaching residue, the contents of C, Ca and O in the carbonated products were significantly increased, which was due to the fact that the carbonation reaction fixed CO2 in the solid phase products. This resulted in an increase in the contents of C and O in the products. It was worth noting that the leaching rate of Ca2+ (Figure 3) and the final carbonation conversion rate (Figure 4) were not equal, which indicated that microorganisms enhance the carbon sequestration effect mainly by destroying the crystal structure (Figure 9a,b) and enhancing the reactivity of anorthite.

Figure 9.
Electron microscope scans and energy spectra of anorthite (a), leach residue (b) and carbonation products (c). (Subfigure 1: 2 μm ruler; Subfigure 2: 5 μm ruler; Subfigure 3: 20 μm ruler.)
Table 4.
BET surface area test results of anorthite.
4. Conclusions
In this paper, anorthite was pretreated by microorganisms to improve CO2 sequestration efficiency. The influence of microorganisms on the leaching behavior of Ca2+ in anorthite and carbonation conversion rate was investigated. The corresponding strengthening mechanism was explained by the leaching rates of Ca2+ and the crystal structure of anorthite. The following conclusions were drawn:
- Herbaspirillum huttiense W-01 was first found to accelerate the release of Ca2+ from anorthite. The concentration of Ca2+ in the fermentation solution reached 8.1 mmol/L after leaching 9 days with the corresponding leaching rate of 4.65%, which was about twice that of sterile medium.
- Herbaspirillum huttiense W-01 was adsorbed on the surface of anorthite and produced acidic metabolites to accelerate the weathering of anorthite, resulting in the roughness of the surface area, and then the breakage and decomposition of edges and corners and obvious corrosion phenomena.
- A carbonized product with higher crystallinity and greater thermal stability was obtained after the carbonation reaction. After 9 days of microbial pretreatment, the carbonation conversion rate of anorthite after bioleaching was increased to 18.74% with a 3.46% higher rate than that of distilled water pretreatment, which was mainly due to the destruction of the crystal structure of anorthite by microorganisms.
Author Contributions
Conceptualization, C.C., L.Z., J.G., Q.W. and S.L.; formal analysis, investigation and methodology, C.C., L.Z. and Q.W.; writing—original draft, C.C.; writing—review and editing, L.Z., J.G., Q.W. and S.L. All authors have read and agreed to the published version of the manuscript.
Funding
This research was supported by the Shanxi-Zheda Institute of Advanced Materials and Chemical Engineering (No. 2022SX-TD009) and the Fundamental Research Program of Shanxi Province (No. 202203021211165).
Data Availability Statement
The data presented in this study are available on request from the corresponding author.
Acknowledgments
The authors are grateful for funding from the Shanxi-Zheda Institute of Advanced Materials and Chemical Engineering (No. 2022SX-TD009) and the Fundamental Research Program of Shanxi Province (No. 202203021211165).
Conflicts of Interest
The authors declare no conflict of interest.
References
- Sinehbaghizadeh, S.; Saptoro, A.; Mohammadi, A.H. CO2 hydrate properties and applications: A state of the art. Prog. Energy Combust. Sci. 2022, 93, 101026. [Google Scholar] [CrossRef]
- Zhang, M.; Liu, S.; Jones, J.; Sun, G.; Wei, X.; Ellison, D.; Archer, E.; McNulty, S.; Asbjornsen, H.; Zhang, Z.; et al. Managing the forest-water nexus for climate change adaptation. For. Ecol. Manag. 2022, 525, 120545. [Google Scholar] [CrossRef]
- Masson-Delmotte, V.; Zhai, P.; Pirani, A.; Connors, S.L.; Péan, C.; Berger, S.; Caud, N.; Chen, Y.; Goldfarb, L.; Gomis, M.I.; et al. IPCC, 2021: Climate Change 2021: The Physical Science Basis; Contribution of Working Group I to the Sixth Assessment Report of the Intergovernmental Panel on Climate Change; Cambridge University Press: Cambridge, UK; New York, NY, USA. [CrossRef]
- Yuen, Y.T.; Sharratt, P.N.; Jie, B. Carbon dioxide mineralization process design and evaluation: Concepts, case studies, and considerations. Environ. Sci. Pollut. Res. 2016, 23, 22309–22330. [Google Scholar] [CrossRef] [PubMed]
- Li, J.; Jacobs, A.D.; Hitch, M. Direct aqueous carbonation on olivine at a CO2 partial pressure of 6.5 MPa. Energy 2019, 173, 902–910. [Google Scholar] [CrossRef]
- Park, A.H.A.; Fan, L.S. CO2 mineral sequestration: Physically activated dissolution of serpentine and pH swing process. Chem. Eng. Sci. 2004, 59, 5241–5247. [Google Scholar] [CrossRef]
- Gamba, N.; Farina, V.; Garroni, S.; Mulas, G.; Gennari, F. CO2 storage and conversion to CH4 by wet mechanochemical activation of olivine at room temperature. Powder Technol. 2021, 377, 857–867. [Google Scholar] [CrossRef]
- Julcour, C.; Bourgeois, F.; Bonfils, B.; Benhamed, I.; Guyot, F.; Bodenan, F.; Petiot, C.; Gaucher, E.C. Development of an attrition-leaching hybrid process for direct aqueous mineral carbonation. Chem. Eng. J. 2015, 262, 716–726. [Google Scholar] [CrossRef]
- Gadikota, G.; Matter, J.; Kelemen, P.; Park, A.-H.A. Chemical and morphological changes during olivine carbonation for CO2 storage in the presence of NaCl and NaHCO3. Phys. Chem. Chem. Phys. 2014, 16, 4679–4693. [Google Scholar] [CrossRef]
- Eikeland, E.; Blichfeld, A.B.; Tyrsted, C.; Jensen, A.; Iversen, B.B. Optimized Carbonation of Magnesium Silicate Mineral for CO2 Storage. ACS Appl. Mater. Interfaces 2015, 7, 5258–5264. [Google Scholar] [CrossRef]
- Imani, M.; Tahmasebpoor, M.; Sánchez-Jiménez, P.E.; Valverde, J.M.; Moreno, V. Improvement in cyclic CO2 capture performance and fluidization behavior of eggshell-derived CaCO3 particles modified with acetic acid used in calcium looping process. J. CO2 Util. 2022, 65, 102207. [Google Scholar] [CrossRef]
- Lan, J.; Sun, Y.; Chen, X.; Zhan, W.; Du, Y.; Zhang, T.C.; Ye, H.; Du, D.; Hou, H. Bio-leaching of manganese from electrolytic manganese slag by Microbacterium trichothecenolyticum Y1: Mechanism and characteristics of microbial metabolites. Bioresour. Technol. 2021, 319, 124056. [Google Scholar] [CrossRef]
- Yao, M.; Lian, B.; Teng, H.H.; Tian, Y.; Yang, X. Serpentine dissolution in the presence of bacteria Bacillus mucilaginosus. Geomicrobiol. J. 2013, 30, 72–80. [Google Scholar] [CrossRef]
- Sun, J.-Z.; Wen, J.-K.; Chen, B.-W.; Wu, B. Mechanism of Mg2+ dissolution from olivine and serpentine: Implication for bioleaching of high-magnesium nickel sulfide ore at elevated pH. Int. J. Miner. Met. Mater. 2019, 26, 1069–1079. [Google Scholar] [CrossRef]
- Chiang, Y.W.; Santos, R.M.; Monballiu, A.; Ghyselbrecht, K.; Martens, J.A.; Mattos, M.L.T.; Van Gerven, T.; Meesschaert, B. Effects of bioleaching on the chemical, mineralogical and morphological properties of natural and waste-derived alkaline materials. Miner. Eng. 2013, 48, 116–125. [Google Scholar] [CrossRef]
- Štyriaková, I.; Štyriak, I.; Oberhänsli, H. Rock weathering by indigenous heterotrophic bacteria of Bacillus spp. at different temperature: A laboratory experiment. Mineral. Petrol. 2012, 105, 135–144. [Google Scholar] [CrossRef]
- Lv, Y.; Li, J.; Chen, Z.; Liu, X.; Chen, B.; Zhang, M.; Ke, X.; Zhang, T.C. Effects of different silicate minerals on silicon activation by Ochrobactium sp. T-07-B. Environ. Sci. Pollut. Res. 2022, 29, 87393–87401. [Google Scholar] [CrossRef]
- Ogbughalu, O.T.; Vasileiadis, S.; Schumann, R.C.; Gerson, A.R.; Li, J.; Smart, R.S.C.; Short, M.D. Role of microbial diversity for sustainable pyrite oxidation control in acid and metalliferous drainage prevention. J. Hazard. Mater. 2020, 393, 122338. [Google Scholar] [CrossRef]
- Henne, A.; Craw, D.; Vasconcelos, P.; Southam, G. Bioleaching of waste material from the Salobo mine, Brazil: Recovery of refractory copper from Cu hosted in silicate minerals. Chem. Geol. 2018, 498, 72–82. [Google Scholar] [CrossRef]
- Meshram, P.; Pandey, B.D. Advanced review on extraction of nickel from primary and secondary sources. Miner. Process. Extr. Metall. Rev. 2018, 40, 157–193. [Google Scholar] [CrossRef]
- Tucker, B.B.; Kurtz, L.T. Calcium and magnesium determinations by EDTA titrations. Soil Sci. Soc. Am. J. 1961, 25, 27–29. [Google Scholar] [CrossRef]
- Yan, H.; Zhang, J.; Zhao, Y.; Liu, R.; Zheng, C. CO2 Sequestration by Direct Aqueous Mineral Carbonation under Low-Medium Pressure Conditions. J. Chem. Eng. Jpn. 2015, 48, 937–946. [Google Scholar] [CrossRef]
- Miura, A.; Nakazawa, K.; Takei, T.; Kumada, N.; Kinomura, N.; Ohki, R.; Koshiyama, H. Acid-, base-, and heat-induced degradation behavior of Chinese sepiolite. Ceram. Int. 2012, 38, 4677–4684. [Google Scholar] [CrossRef]
- Nirmala, G.; Viruthagiri, G. FT-IR characterization of articulated ceramic bricks with wastes from ceramic industries. Spectrochim. Acta Part A Mol. Biomol. Spectrosc. 2014, 126, 129–134. [Google Scholar] [CrossRef] [PubMed]
- González-García, D.M.; Téllez-Jurado, L.; Jiménez-Álvarez, F.J.; Balmori-Ramírez, H. Structural study of geopolymers obtained from alkali-activated natural pozzolan feldspars. Ceram. Int. 2017, 43, 2606–2613. [Google Scholar] [CrossRef]
Disclaimer/Publisher’s Note: The statements, opinions and data contained in all publications are solely those of the individual author(s) and contributor(s) and not of MDPI and/or the editor(s). MDPI and/or the editor(s) disclaim responsibility for any injury to people or property resulting from any ideas, methods, instructions or products referred to in the content. |
© 2023 by the authors. Licensee MDPI, Basel, Switzerland. This article is an open access article distributed under the terms and conditions of the Creative Commons Attribution (CC BY) license (https://creativecommons.org/licenses/by/4.0/).









