You are currently viewing a new version of our website. To view the old version click .
Minerals
  • Article
  • Open Access

7 May 2022

Pilot Scale Validation of a Chemical Process for Uranium, Cesium, and Mercury Recovery from Cemented Radioactive Wastes

,
,
,
and
1
CanmetMINING, Natural Resources Canada, Ottawa, ON K1A 0E4, Canada
2
Canadian Nuclear Laboratories, Chalk River, ON K0J 1JO, Canada
*
Author to whom correspondence should be addressed.
This article belongs to the Special Issue Uranium: Geochemistry and Mineralogy

Abstract

The medical isotope (Mo-99) production at Chalk River Laboratory involves the dissolution of irradiated isotope targets prior to the extraction of Mo-99. This process generates a waste that is cemented in 5-gallon containers and transferred to a waste-management facility for intermediate storage. Over the past decades, a large number of five-gallon containers of cemented radioactive waste (CRW) were produced, and Canadian Nuclear Laboratories (CNL) must develop a process to convert this material to a permanent waste form. Research has been undertaken to develop an innovative method for the recovery of U, Hg, and Cs from surrogate cemented radioactive waste (SCRW). This paper presents the pilot scale validation of the operating parameters prior to the demonstration scale testing. Leaching tests at the pilot scale were conducted with 5 kg of SCRW to validate the main operating parameters and evaluate the reuse of the leaching solution. The mean solubilization yields obtained at the pilot scale were 81.9 ± 8.3% for Cs, 99.0 ± 1% for U, and 94.9 ± 4.5% for Hg. Columns with 100 g of KNiFC-PAN and 250 g of Lewatit TP214 allow for the separation of Cs and Hg from 60 L of leaching solution without U loss. Flow rates of 12.5 BV/h and 25 BV/h were suitable to achieve 99% separation of Hg and Cs, respectively. For the Hg resin, the capacity reached 23.4 mg/g, and the capacity for the Cs resin reached 0.79 mg/g. The pilot scale U extraction results showed that the U adsorption is selective, with a breakthrough at 36 BV (capacity for U of 3.70 mg/g). Uranium elution with 1 M Na2CO3 exceeded 99%, and subsequent precipitation with NaOH achieved 99% recovery. SEM data confirmed the high purity of the U solids produced as sodium di-uranate.

1. Introduction

The National Research Universal (NRU) reactor and the National Research Experimental (NRX) reactor have generated isotopes used to treat and diagnose over 20 million people in 80 countries every year. The isotope production involves the use of a target made from U and Al that is irradiated for a period of 10 to 15 days in the reactor, which produces fission products. One fission product that is produced and is quite important in the medical field is the Molybdenum-99 (99Mo) isotope, that has a half-life of 66 h, and decays to technetium (99Tc), which is used for a variety of nuclear medicine and diagnostic procedures. The medical isotope production involves the dissolution of the target using a combination of nitric acid and mercuric nitrate to enhance the dissolution. The 99Mo is then extracted using an alumina column, and the liquid effluent undergoes a cementation process resulting in pails of cemented waste. Once produced, the cemented waste pails are transferred to a waste management facility for storage in concrete tile holes. Thousands of containers of cemented target material (CTM) production waste have been stored at the CNL waste management facility for the last 40 years. This waste contains uranium and several fission products. Approximatively 97% of the U present in the targets ends up in the process waste [1]. Since the 1990s, Canada has joined global non-proliferation efforts and has furthered this commitment by agreeing to send back used U to the U.S. to help consolidate U inventories in fewer locations. The extraction of the radionuclides would be beneficial to reduce the radioactivity level of the waste and reduce its management cost [2]. According to two literature reviews [3,4], the application of conventional stabilization procedures may be challenging due to the high water solubility of cesium and the complex speciation of mercury. Extracting the U, Hg, and Cs from the waste would allow for the conversion of legacy high-level radioactive wastes to low-level radioactive wastes, recovering the U for its repatriation.
The composition of the cemented radioactive waste poses significant challenges for the extraction and recovery of uranium using conventional technology. The mineralogical characterization by SEM-EDS [5,6] revealed that the uranium in the SCRW is present as a Ca-U-O compound that has variable composition and is amorphous. This compound is the product of a reaction between the calcium hydroxide (from the hydration of cement) and the uranium in the solution. The calcium uranate in the SCRW can be found in small grains of ~20 µm and in layers of ~1 × 5 mm. With accelerated aging, the layers of ca-uranate become thicker at 60 °C, and there are more Ca-uranate layers at the bottom of the pail, where the solution was in prolonged contact with the cement. The accelerated aging did not have a major impact on the uranium speciation. The mercury in the SCRW originated from the precipitation of inorganic mercury (mercuric nitrate solution) with a base (lime available from the cement hydration) to produce a mercuric oxide precipitate. Mercury in the SCRW occurred in spots, as small as sub-micrometer size, with a tendency to agglomerate into large (~50 µm) spots. It is quite possible that the reduction potential of the SCRW was enough to partially reduce the mercury oxide to metallic mercury. The mercury spots in the SCRW appear to be a combination of mercury oxide and metallic mercury. The mercury spots appear to agglomerate more with time and at a high curing temperature. Results [5,6] have demonstrated that the accelerated aging had an influence on the mercury speciation. Over time, it was observed that the mercury not only occurs as mercury oxide, but also in some parts as metallic mercury. In addition, after 30 months of aging, a small portion of the metallic mercury reacted with S-containing species and formed mercury (II) sulfide.
Although the technology for recovering U from its most common ores is well established [7,8], cemented waste differs significantly from common uranium ores. Cemented radioactive waste has a high pH, a high content of Ca (~35%) and SiO2 (~20%), and contains Hg (~1500 mg/kg) and Cs that is persistent in the waste. The presence of a high concentration of Ca may produce large amounts of CaCO3 and CaSO4 during carbonate leaching and sulfuric leaching, respectively. The presence of a high concentration of silica may create severe problems in filtration and recovery steps [9]. Ion exchange (IX) was considered the best method to separate the U in the leach solution from the impurities and to produce a purified and concentrated U solution suitable for yielding a uranium product (yellowcake). Most likely, solvent extraction technology cannot be used because of the high concentrations of Al, Fe, and colloidal silica, which may cause severe phase separation problems [9,10]. Additionally, the nature of the cemented waste would also prevent the removal of other metals by conventional methods, like the precipitation of cesium using hexacyanoferrate compounds, as the pH should be around 6–10, or the thermal desorption of mercury due to the presence of a high concentration of fission products [11,12].
Ion exchange systems have a higher tolerance to colloidal silica, but the adsorption of U on a strong-base anionic in a chloride media requires a high HCl concentration (>4 M) and under these conditions, Fe(III) is also strongly adsorbed on the resin [13,14]. The adsorption of U on strong-base resins in a nitrate medium requires a high HNO3 concentration (>5 M) [14,15], which is known to oxidize and degrade IX resins. The extraction of U from sulfuric acid media using anion exchange resins has been widely applied and is well-documented [7,8], with extractions of U above 90%. The adsorbed U is usually eluted (desorbed) from the resin with dilute HCl or HNO3 solutions and subsequently precipitated with ammonia or magnesium hydroxide. The presence of halogen salt in the sulfuric liquor is a major problem for nuclear and mining industries due to complex competition. In the literature, Zhang et al. [16] have investigated the recovery of Au from iodine–iodide solutions using an anion exchange resin. However, there is a lack of studies in the literature regarding the IX of U, Hg, and Cs in sulfuric and iodide media. This research aims to apply a single separation method (IX) for the selective recovery of U, Hg, and Cs.
Research was undertaken to develop a method for U recovery from SCRW in sulfuric media by leaching and anion exchange separation [17,18,19]. Then, the process was optimized by adding KI to the sulfuric media (to enhance Hg solubilization), and chelating resins were selected [20,21,22]. This paper presents the pilot scale validation of the operating parameters prior to the demonstration scale testing. Leaching tests were performed using two different SCRW batches (U-series and W-series) at the pilot scale (5 kg). Different conditions and operating parameters (pulp density, rinsing step, presence of alumina, plastic and corrosion products) were evaluated on the solubilization efficiencies. The second part of the pilot scale-up research was the optimization of the metals recovery. Prior to U recovery, Hg was recovered using thiourea resins (Lewatit TP214, Dowex XUS 43604) and Cs was recovered using silicotitanate resin (IONSIV R9120) or ammonium phosphomolybdate (AMP-PAN) or potassium nickel hexacyanoferrate(II) resin (KNiFC-PAN). Uranium was extracted using the aminomethylphosphonic resin Lewatit TP260. Elution and precipitation were validated at the pilot scale and the U products were characterized by SEM.

2. Materials and Methods

2.1. Chemicals

All chemicals used for experiments were ACS grade and used without further purification. Ion exchange was performed using macroporous chelating resin Lewatit TP260 containing an aminomethylphosphonic functional group and macroporous resin Lewatit TP214 containing a thiourea functional group purchased from Lanxess (Cologne, Germany). Dowex XUS43604 was also used for Hg separation (Dow Chemical, Midland, MI, USA). The removal of cesium from KI liquor was completed using the IONSIV R9120 resin (UOP, Stockton, CA, USA), the KNiFC-PAN resin, and the AMP-PAN resin (Triskem, France). Chemicals (KI, HNO3, HCl, H2SO4, Au standard, NaOH, and NH4OH) used in this study were purchased from Fisher Chemical (Hampton, VA, USA). Alumina, hydrogen peroxide and sodium carbonate were purchased from Sigma Aldrich (Saint-Louis, MO, USA). Dilutions were made using ultrapure water (resistivity of 18.2 MΩ·cm at 25 °C) from Milli-Q water purification system.

2.2. Surrogate Cemented Radioactive Wastes

All the experiments were carried out with SCRW prepared at CanmetMINING using a method developed in collaboration with CNL [23]. The solid waste batches were allowed to age and were subsequently removed from the pails with an air hammer. The whole pail content (~20 kg) was crushed in a laboratory jaw crusher (Retsch, model BB200, RETSCH, Haan, Germany) to the selected particle size (2 mm, 1 mm, 0.6 mm, and 0.3 mm) and then split into representatives fractions using a large capacity (20 kg) rotary splitter (GENEQ, model SEO4OJ-001, SEPOR, Wilmington, CA, USA). About 200 kg of SCRW were prepared for testing. The two batches (U-series and W-series) were prepared (using different cement batches) by crushing wastes at different particle sizes and splitting wastes for leaching experiments at different pulp densities and particle sizes for the two series (U-series and W-series). Table 1 shows the concentrations of U, Cs, and Hg in the SCRW. The standard deviation for the concentration of U and Hg was about 4% (about 50–53 mg/kg), which indicated that the U-series and W-series have similar concentrations of these two elements. For Cs, more heterogeneity is observed, as the standard deviation reached 10% (0.76 mg/kg) but this may be due to the lower concentration of Cs in the waste. Some Cs from the Portland cement may also explain the higher standard deviation.
Table 1. Concentrations of U, Cs, and Hg in the SCRW prepared from U-series and W-series.

2.3. Leaching Experiment

Leaching experiments were performed by mixing the ground SCRW with potassium iodide and water at different solid/liquid ratios. Then, pure sulfuric acid was added at a fixed acid/SCRW ratio (w/w) to obtain a final pH comprised between 1.50 and 2.00. After the leaching, the slurry was filtered and the residue rinsed with water for 30 min. Leaching tests at the pilot scale were done with 5 kg of SCRW in a 100-L stainless steel reactor. Tests were performed at different KI concentrations (KI = 0, 10, 20, 30 g/L). An addition of alumina (170 g), plastic pieces (200 g) and metals pieces (550 g), hereafter called APM, was completed to assess the impact of these materials on the leaching efficiencies based on a worst case scenario (major degradation of the pails, the presence of columns of 170 mL of 100–200 mesh alumina in the pails). Most of the experiments were performed at 10% solid/liquid ratio with potassium iodide. The acid addition was completed at a fixed flow rate for 20–30 min, and the leaching time was set at 2 h. The pH and T ( °C) were recorded first after the acid addition and then at the end of the experiment. After the leaching, the leaching slurry was pumped into the filtration system to separate the gypsum residue and the leach liquor. A rinsing step (30 min at 20% solid/liquid ratio) was performed to increase the metals recovery from the residue. The final leaching solution was analyzed by ICP-MS, along with a digested solid sample of the SCRW used for the experiment.

2.4. Ion Exchange Experiment

Lab scale experiments were carried out in a shake flask (batch experiment), or with small Ace Glass columns with a volume of 116 mL (19 mm ID, 410 mm long). For the Cs batch experiment, a mass of 0.1, 0.2, 0.3, 0.4, and 0.5 g of resin was mixed with 100 mL of the liquor in an Erlenmeyer flask and stirred for 24 h at 150 rpm. Column experiments were conducted with different masses of resin and at different flow rates (30 g of Hg resin and flow rate from 5 to 10 BV/h; 15 g of Cs resin and flow rate from 25 to 50 BV/h). The comparison of the three Cs resins was done using 50 mL of resin at a flow rate of 50 BV/h.
The pilot scale separation of Hg was conducted with a column of 1 L filled out with 250 g of resin Lewatit TP214 (700 mL), and a flow rate of 12.5 BV/h was applied. For Cs, two columns containing 50 g of resin KNiFC-PAN (80 mL) were used and the flow rate was set at 25 BV/h. Uranium extraction at the pilot scale experiment was conducted using a column from Ace Glass with a volume of 1178 mL (50 mm id., 600 mm long). SCRWL was introduced into the resin from the bottom of the column using a peristaltic pump (Masterflex, Cole Parmer) at a flow rate of 7.4 BV/h. The resin eluate was manually collected using a 4-L container, collecting fractions representing 3 resin bed volume (BV). The breakthrough of an analyte was considered when the ratio between the concentration in the eluate (C) and the concentration in the SCRW liquor (C0) was equal to or higher than 0.05. To recover the U from the resin, a solution of Na2CO3 (1 M) was pumped from the top of the column at flow rates up to 10 BV/h [24,25]. Uranium is known to form strong complexes with carbonate. In the presence of a large concentration of carbonate ions, uranium with be found as uranyl tricarbonate ion (UO2(CO3)34−) [26].

2.5. Purification of Uranium via Precipitation and Calcination

Precipitation experiments were performed on the eluate (Na2CO3). Two precipitation agents were tested: sodium hydroxide and hydrogen peroxide. The chemical reactions that take place are presented below:
2 [UO2(CO3)3]4− + 14NaOH ⟶ Na2U2O7 + 6Na2CO3 + 7H2O
UO2SO4 + H2O2 + 2H2O ⟶ UO3(H2O2)·H2O + H2SO4
For hydrogen peroxide, the pH of the pregnant eluate was lowered to 3, 4, and 5 using H2SO4 before the addition of the precipitation agent. Precipitation time ranged from 4–24 h [27]. After precipitation, the supernatant was collected, filtered (0.45 µm nylon filter), and analyzed by ICP-OES to assess the precipitation efficiency. Afterwards, the precipitate was centrifuged, rinsed with DI water, and dried at 50 °C. Half of the precipitate was calcined at 600 °C. Uranium solids were then characterized by scanning electron microscopy (SEM) (model JSM 820, JEOL, Tokyo, Japan), and variable-pressure scanning electron microscopy (VP-SEM) (model S-3200N, Hitachi, Tokyo, Japan), both with an energy dispersive X-ray analyzer (EDS). A portion of the uranium solids was digested in HCl using a microwave digestion system (Mars X, CEM, CEM Corporation, Matthews, NC, USA), and elemental analysis was performed to assess their purity.

2.6. Elemental Analysis

Elemental analyses performed during this investigation were carried out using either an ICP-OES (725 series ICP-OES, Agilent Technologies, Santa Clara, CA, USA) or an ICP-MS (X-Series II ICP-MS, Thermo-Fisher Scientific, Waltham, MA, USA). Samples were diluted in 4% (v/v) HNO3 and 2% (v/v) HCl for ICP-OES and ICP-MS, respectively. Rh, In, Tl, and Ar were used as internal standards. To minimize the memory effect of Hg during analysis, 10 mg/L and 10 µg/L of Au was added to 4% HNO3 (ICP-OES) and 2% HCl (ICP-MS) rinsing solutions, respectively [28]. Solid samples were subjected to microwave-assisted digestion in HCl before being analyzed by ICP-MS. Certified Reference Material (UTS-4, Till-1, PD-1) from CCRMP (Ottawa, ON, Canada) were used to confirm the complete digestion efficiencies without the use of HF.

3. Results and Discussion

3.1. Leaching of SCRW at Pilot Scale

Leaching tests at the pilot scale were done with 5 kg of SCRW (U-series and W-series) to evaluate the effect of leaching time, particle size, solid/liquid ratio, and KI concentration of the cement dissolution and the efficiencies of metals solubilization. The acid addition (about 2.5 L to obtain an acid/SCRW ratio (w/w) between 0.90 and 1) was performed using a peristaltic pump at a fixed flow rate (125 mL/min) for 20–30 min. During the experiment, the temperature increase due to acid addition was moderate (maximum temperature was about 50 °C after the acid addition and 40 °C at the end of the experiment), and the final pH was comprised within the acceptable range (between 1.50 and 2.00). Figure 1 presents the dissolution of cement and the solubilization of key elements using different particle sizes SCRW (WS-series). Ground SCRW used for these tests have particle sizes (D80) of 0.3 mm, 0.6 mm, 1 mm, and 2 mm. As observed in previous testing [29], the solubilization efficiencies decrease for Cs at D80 of 1 mm and for Hg at D80 of 0.6 mm. The decrease in U solubilization is moderate, which is consistent with the long layers of calcium uranate observed during SCRW characterization. A particle size inferior to 0.6 mm, and ideally inferior to 0.3 mm, is recommended for the processing of the SCRW.
Figure 1. Effect of particle size distribution on pilot scale leaching of metals from SCRW (WS-series) with KI (time = 120 min, S/L = 10%, mass = 5 kg, acid/SCRW ratio = 0.92, [KI] = 20 g/L).
In Figure 2, the effect of the solid/liquid ratio on the solubilization of metals was investigated. Masses of 2.5, 5, 7.5, and 10 kg of SCRW (W-series) were mixed with 50 L of water to obtain a solid/liquid ratio ranging from 5–20%. The volume of acid was adjusted to obtain an acid/SCRW ratio (w/w) comprised within 0.9 and 1.2. While no significant difference was observed between leaching at a solid/liquid ratio of 5 and 10%, the leaching at 15 and 20% solid/liquid ratio significantly decreases the leaching efficiencies. A solid/liquid ratio of 10% is recommended for the processing of the SCRW.
Figure 2. Effect of solid/liquid ratio on pilot scale leaching of metals from SCRW (WS-series) with KI (PS = 0.3 mm, time = 120 min, mass = 5 kg, acid/SCRW ratio = 0.92, [KI] = 20 g/L).
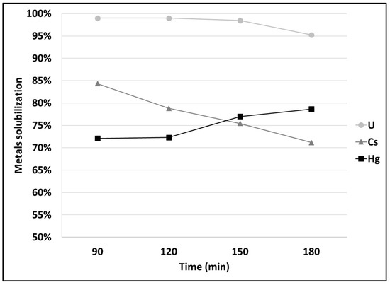
The influence of leaching time on cement dissolution and the solubilization of metals is presented in Figure 3. SCRW samples from the U-series were subjected to leaching without KI for 90 min, 120 min, 150 min, and 180 min. The leaching time has no significant influence on the Hg and U solubilization yields after 90 min of leaching. However, a slight increase in Hg solubilization and a slight decrease in Cs solubilization was observed during the pilot scale experiment. The decrease for Cs may be due to the heterogeneity of Cs in the waste observed during SCRW analysis (standard deviation for Cs reached 10%) and the lower concentration of Cs in the waste. The lower Hg solubilization yields are due to the absence of KI to enhance its solubilization. A leaching time of 2 h is recommended to obtain the best U solubilization yield.
Figure 3. Effect of leaching time on pilot scale leaching of metals from SCRW (U-series) without KI (PS = 0.3 mm, S/L = 10%, mass = 5 kg, acid/SCRW ratio = 0.92).
The experiments on the effect of KI concentration on the pilot scale leaching of metals from SCRW (U-series) presented in Figure 4 confirm the importance of KI to increase Hg solubilization. A concentration of KI of 30 g/L increases the Hg solubilization from the SCRW. Potassium iodide was added to oxidize Hg0 and form a Hg complex (HgI42−, Kf = 2 × 1030) with HgS and HgO [30]. Sulfuric leaching using KI improves the solubilization of Hg and forms a Hg tetraiodide complex.
Figure 4. Effect of KI concentration on pilot scale leaching of metals from SCRW (U-series) with KI (PS = 0.3 mm, S/L = 10%, mass = 5 kg, acid/SCRW ratio = 0.92, time = 120 min).
Experiments were also performed to validate the impact of the number of rinsing steps, the presence of KI, and the presence of APM on the solubilization of key elements. Figure 5 presents the impact of the number of rinsing steps and the presence of APM on the pilot scale leaching of metals from SCRW (U-series and W-series). Experiments were performed with one rinsing step (KI20 1×) and with two rinsing steps (KI20 2×) after the leaching step. The data indicated a significant difference between the 1× and 2× rinsing after the leaching step, especially for Cs (+ 8%) and Hg (+ 8%). This result is consistent with previous observations [29]. The impact of the addition of APM was assessed and a slight increase (5%) in Hg solubilization and a more significant reduction (12%) in U solubilization was observed. This might be due to the redox potential condition created by the presence of corrosion products. While plastic pieces and alumina seem to have no impact on the solubilization, the reduction in U solubilization was likely due to deposition on metals pieces from corrosion products.
Figure 5. Effect of the impact of the number of rinsing step and the presence of APM at the pilot scale (PS = 0.3 mm, S/L = 10%, mass = 5 kg, acid/SCRW ratio = 0.92, [KI] = 20 g/L, time = 120 min).
A leaching solution was also used for a subsequent leaching (REC) after the selective separation of Hg on Lewatit TP214 and U on Lewatit TP260 (but without Cs separation, due to its very low concentration). About 60 L of leaching solution produced from the experiment with KI was passed through the Lewatit TP214 to remove 99% of Hg (without any loss of U) and then through the Lewatit TP260 to remove 99% of U. The resulting solution had a pH of 1.56 and was used for the leaching of 4.47 kg of SCRW. Sulfuric acid (2.25 L) was added to obtain an acid/SCRW ratio (w/w) of 1.08, and 1 kg of KI was added to obtain a concentration of 20 g/L. At the end of the experiment, the final pH was 1.58. A slight reduction in Cs was observed (from 76% to 70%), but the reuse of the leaching solution after U and Hg recovery had no negative impact on the subsequent solubilization of U (99%) and Hg (91%). However, additional reuse cycles should be investigated to confirm this result.
Based on the different solubilization of metals yields obtained during the pilot scale experiment, mean solubilization yields (n = 5) were calculated for key elements using tests performed in similar conditions (PS = 0.3 mm, S/L = 10%, mass = 5 kg, acid/SCRW ratio = 0.92, [KI] = 20 g/L, time = 120 min). The mean solubilization yields at the pilot scale are 81.9 ± 8.3% for Cs, 99.0 ± 1% for U, and 94.9 ± 4.5% for Hg. Overall, the solubilization of Cs during the pilot scale testing was much lower than that obtained in previous studies. This may be due to the heterogeneity of Cs in the waste observed during SCRW analysis (standard deviation for Cs reached 10%) and its lower concentration in the waste.

3.2. Mercury and Cesium Separation from SCRW Liquor at Lab Scale

The SCRW leaching solutions produced during experiments at different KI concentrations were used to confirm the performance of Hg and Cs separations with thiourea resins (Lewatit TP214, Dowex XUS43604) and silicotitanate resin (IONSIV R9120), or ammonium phosphomolybdate (AMP-PAN) or potassium nickel hexacyanoferrate(II) resin (KNiFC-PAN), respectively. Table 2 presents the concentration of Cs, U, and Hg in the three liquors used for testing. The concentrations of metals were similar, except the Hg content in the KI 0 solution.
Table 2. Concentrations of U, Cs, and Hg in the SCRW prepared from U-series and W-series.
First, the experiments were aimed to compare the two resins previously used for the Hg separation studies and to investigate the potential retention of U on Hg-selective resins at different KI concentrations. In the presence of iodine, mercury will be found as mercury tetraiodide (HgI42−) [31]. A mass of 30 g of resin (equivalent to 84 mL for the Lewatit TP214 resin and 62 mL for the XUS-43604 resin) was used, without conditioning, in a glass column ((19 mm id., 410 mm long). A volume of 1.5 L of solution was passed through the resin at a fixed flow rate (5 BV/h). Table 3 shows the adsorption of the metals on the resins Lewatit TP214 and XUS-43604.
Table 3. Adsorption of the metals on the resins Lewatit TP214 and XUS 43604.
No extraction of others cations (Fe, Al) was expected on the Hg-selective resins. Both resins extracted more than 98% of Hg from all the solutions. Some Cs was retained on both resins from the KI 0 and KI 20 leaching solutions, but the removal of the retained Cs was possible through washing. About 11% of U was adsorbed from the KI 0 solution by the Lewatit TP214. Overall, the resins are highly selective for Hg. Both resins capacities were evaluated at about 4 mg/g. The Lewatit TP214 was selected for the pilot scale testing, given its lower price and its performance equivalent to that of the Dowex XUS43604.
The three resins for Cs separation were first compared in batch mode. Figure 6 presents the shake flask results. The KNiFC-PAN resin exhibits a slightly higher capacity than the IONSIV and the AMP-PAN resins, but all the three resins were very selective toward Cs. The use of composite absorbers with ammonium molybdophosphate and potassium–nickel hexacyanoferrate(II) as active components, respectively, and polyacrylonitrile as a binding polymer is suitable for the selective extraction of Cs [32]. While the silicotitanate resin (IONSIV) was expected to retain Sr, almost no uranium (<2%) and strontium (<2%) were retained on these resins in the present solution conditions.
Figure 6. Cesium batch extraction from 100 mL of leaching solution (mass of resin = 0.1, 0.2, 0.3, 0.4, and 0.5 g, time = 24 h, rotation speed = 150 rpm, [Cs] = 0.47 mg/L, [U] = 58.24 mg/L, [Sr] = 12.40 mg/L).
Then, the three resins were compared for the cesium continuous extraction from 15 L of leaching solution. Figure 7 presents the separation of Cs using columns filled out with 50 mL of silicotitanate resin (IONSIV R9120) or ammonium phosphomolybdate (AMP-PAN), or potassium nickel hexacyanoferrate(II) resin (KNiFC-PAN), which represents about 50 g, or 37.5 g, or 42.5 g of resin, respectively. All three resins demonstrate high Cs separation and high selectivity, as no U was adsorbed on these resins. The KNiFC-PAN resin was selected for the pilot scale testing, given its slightly higher selectivity (less U loss).
Figure 7. Cesium continuous extraction from 15 L of leaching solution (BV of resin = 50 mL, flow rate = 25 BV/h, [Cs] = 0.47 mg/L, [U] = 58.24 mg/L).

3.3. Mercury and Cesium Separation from SCRW Liquor at Pilot Scale

First, the separation of Hg was performed with 6 L of KI leaching solution to evaluate the effect of flow rate increase on Hg and Cs separation. For Hg, a column filled with 30 g of Lewatit TP214 (84 mL) was used, and the flow rate was increased to 10 BV/h. The result confirms the high selectivity of the resin for Hg removal (99.8%) without U loss. The resin capacity for this test reached 19.5 mg/g. Based on previous results, the removal of Cs from KI liquor was completed using the KNiFC-PAN resin. While the resin has a very high selectivity, the selection of the flow rate is difficult due to the low level of Cs in the leaching solution (0.47 mg/L). Testing at 50 BV/h was investigated to remove Cs from 6 L of KI leaching solution using a column filled with 15 g of KNiFC-PAN resin (24 mL). The results indicated a very high selectivity for Cs removal and a high adsorption (98%). The resulting resin capacity is about 0.32 mg/g in these conditions. However, the flow rate was reduced for pilot scale testing in order to achieve 99% of Cs removal.
The separation of Hg and Cs was then validated at the pilot scale with a volume of 60 L of leaching solution produced during the pilot scale leaching experiment. The flow rate selection and the volume of resin were based on lab scale testing. For Hg, a column of 1 L was filled out with 250 g of resin Lewatit TP214 (700 mL), and a flow rate of 12.5 BV/h was applied. For Cs, two columns containing 50 g of resin KNiFC-PAN (80 mL) were used, and the flow rate was set at 25 BV/h. The leaching solution contains 0.66 mg/L of Cs, 87.4 mg/L of U, and 97.3 mg/L of Hg. Figure 8 presents the pilot scale separation of Hg and Cs.
Figure 8. Separation of Hg and Cs from 60 L of leaching solution ([Cs] = 0.66 mg/L, [U] = 87.4 mg/L, [Hg] = 97.3 mg/L). (a) Cs separation on two columns containing 50 g of resin KNiFC-PAN (80 mL), flow rate = 25 BV/h; (b) Hg separation on a column containing 250 g of resin Lewatit TP214 (700 mL), flow rate = 12.5 BV/h.
Selective separation of Hg and Cs was achieved using the selected operating parameters. Some U was retained on each resin at the beginning of the adsorption, but was then released into the solution. For the Hg resin, the capacity reached 23.4 mg/g. The capacity for the Cs resin reached 0.79 mg/g. Flow rates of 12.5 BV/h and 25 BV/h were suitable to achieve 99% separation of Hg and Cs, respectively. Columns with 100 g of KNiFC-PAN and 250 g of Lewatit TP214 allowed the separation of Cs and Hg from 60 L of leaching solution with KI without U loss.

3.4. Uranium Extraction and Elution at Pilot Scale

Pilot scale experiments were conducted using a 1178-mL column at a flow rate of 7.4 BV/h. The concentrations of the metals in the liquor after Hg and Cs removal was about 74 mg/L for U, 1083 mg/L for Mg, 588 mg/L for Fe, 492 mg/L for Ca, and 1134 mg/L for Al. The residual Hg concentration in the leaching solution was about 2.5 mg/L. Figure 9 presents the U extraction results obtained at the pilot scale with 55 L of leaching solution. The extraction of U was found to be selective, and breakthrough was observed at 36 BV. This represents a capacity of 3.70 mg of U per gram of resin. Calculation shows that 96% of U, 1% of Mg, 10% of Fe, 4% of Ca, and 5% of Al were retained on the resin. Adsorption of trivalent cations takes place on the aminomethylphosphonic functional group, especially Fe(III), as observed in the literature [33].
Figure 9. Uranium continuous extraction from 55 L of leaching solution (BV of resin = 1178 mL, flow rate = 7.4 BV/h, [U] = 74 mg/L, [Mg] = 1083 mg/L, [Fe] = 588 mg/L, [Ca] = 492 mg/L, [Al] = 1134 mg/L).
Elution was then performed with 1 M Na2CO3 solution at a flow rate of 10 BV/h [34]. The results in Table 4 show the concentrations of U and the impurities, such Mg, Fe, Ca, and Al, in the different elution fractions. An elution fraction represents 1 BV of resin (e.g., 1178 mL).
Table 4. Concentrations of U and impurities, such Mg, Fe, Ca, and Al, in the different elution fractions obtained with 1 M Na2CO3 solution at a flow rate of 10 BV/h.
Only 1% of Mg and 3% of Ca were eluted from the resin, which is consistent with the resin selectivity (only 1% of Mg and 4% of Ca were adsorbed on the resin). Aluminum was desorbed slowly from the resin and was found in increasing concentrations in fractions 4 to 6. About 29% of the Al adsorbed on the resin (5%) was eluted, which suggests that the remainder is strongly bound to the resin. Some of the Fe retained on the resin was eluted (2%). Based on Fe adsorption results (10%), most of the Fe seems to be strongly bound to the resin and not amenable to desorption. This confirms the Lewatit TP260 resin manufacturer notice regarding the difficult desorption of trivalent cations (especially Fe) from this resin [35]. For U, the flow rate (10 BV/h) and the concentration of Na2CO3 (1 M) were found to be suitable for concentrating the U in the first three BV of the eluate. Based on the mass of U adsorbed on the resin (3704 mg) and desorbed from the resin (3694 mg), the recovery of uranium from the elution steps exceeds 99%.

3.5. Uranium Precipitation and Characterization

Precipitation was investigated on 1 L of eluate. Hydrogen peroxide and NaOH were selected as precipitation agents to precipitate U as uranyl peroxide and sodium di-uranate, respectively. In the case of hydrogen peroxide, sulfuric acid was selected as the acid to lower the pH to its desired value. Results from the precipitation of 1 L of 1 M Na2CO3 Hg-free eluate with H2O2 or NaOH (Table 5) indicate that NaOH is efficient in recovering the U as sodium di-uranate. Uranium recovery reached 99%; however, a co-precipitation of Fe (45%) and Al (9%) remaining in the solution occurs.
Table 5. Uranium and impurities precipitation yields as uranyl peroxide and sodium di-uranate.
A portion of the U solids was also digested in HCl using a microwave digestion system (Mars X, CEM), and elemental analysis was performed to assess their purity. Table 6 presents the metals analysis by ICP-OES in yellowcake after precipitation. Precipitation with NaOH yields the highest U contents and the lowest Fe and Al (impurities) concentrations. More residual Ca was observed in the sodium di-uranate yellowcake. The residual impurities concentrations are consistent with the extraction and desorption results.
Table 6. Concentration of metals in the uranyl peroxide and sodium di-uranate yellowcake, with or without calcination at 600 °C.
The composition of the U solids produced by precipitation by NaOH, with or without calcination, were characterized by SEM, as presented in Figure 10. The main impurities found in the U solids were Fe, Al, P, Mg, and Ti. The presence of Na and C (and some S) was mainly due to the elution and the precipitation agent (and the acid). SEM data confirms the high purity of the U solids produced with precipitation with NaOH at pH 13.
Figure 10. SEM Data—Precipitation with NaOH pellets; (a) No calcination; (b) Calcination at 600 °C.

4. Conclusions

The chemical process for U, Cs, and Hg recovery was validated successfully at the pilot scale. A SCRW particle size inferior to 0.3 mm, a solid/liquid ratio of 10%, a leaching time of 120 min, and a KI concentration of 30 g/L is recommended to obtain satisfactory metals solubilization yields. An enhanced rinsing (i.e., 2 rinses) of the leaching residue is essential, especially for Cs (+8%) and Hg (+8%). A slight increase (+5%) in Hg solubilization and a reduction (−12%) in U solubilization was observed when APM were added, likely due to the deposition of metals pieces from corrosion products. Further investigation on effluent recirculation and U potential deposition on metals pieces from corrosion products will be carried out. The mean solubilization yield obtained at the pilot scale were 81.9 ± 8.3% for Cs, 99.0 ± 1% for U, and 94.9 ± 4.5% for Hg. The lower Cs solubilization was likely due to the heterogeneity of Cs in the waste (±10%).
The separation of Hg and Cs was validated at pilot scale, with a volume of 60 L of leaching solution without U loss. For the Hg resin, the capacity reached 23.4 mg/g. The capacity for the Cs resin reached 0.79 mg/g. Pilot scale experiments have demonstrated that U extraction was efficient and selective (1% of Mg, 10% of Fe, 4% of Ca, and 5% of Al were retained on the resin). The capacity of Lewatit TP260 for U reached 3.70 mg of U per gram of resin. A solution of 1 M Na2CO3 at a flow rate of 10 BV/h allowed for an efficient U elution (99%). Precipitation experiments have shown that NaOH was the precipitating agent, with the highest recovery for U (99%) and lowest co-precipitation of impurities (Fe, Al). Based on U solids characterization by SEM, the main impurities found were Fe, Al, P, Mg, and Ti. SEM data confirmed the highest purity of the U solids, produced as sodium di-uranate by precipitation with NaOH at pH 13.

Author Contributions

Conceptualization, N.R., M.C. and J.A.; methodology, R N.R., M.C. and J.A.; validation, N.R., M.C. and J.A.; investigation, N.R., M.C. and J.A.; writing—original draft preparation, N.R., M.C. and J.A.; writing—review and editing, N.R., M.C., J.A., K.W. and K.S. All authors have read and agreed to the published version of the manuscript.

Funding

This research received no external funding.

Data Availability Statement

Not applicable.

Acknowledgments

The authors thank B. Adams from LANXESS Corporation and S. Happel from TrisKem International for providing the resins and their technical information. The authors would like to thank D. Smith and Y. Thibault for the mineralogical characterization and C. Laviolette for the chemical analysis. The authors also thank the two internal reviewers from CanmetMINING and the four anonymous reviewers who provided very constructive comments and greatly contributed to the improvement of this manuscript.

Conflicts of Interest

The authors declare no conflict of interest.

References

  1. NRC. Committee on Medical Isotope Production without Highly Enriched Uranium, Nuclear and Radiation Studies Board, Division on Earth and Life Studies, National Research Council; National Academies Press: Washington, DC, USA, 2009; p. 220. [Google Scholar]
  2. Lemire, R.J.; Larouche, M.M.A.; Tosello, N.B. Scoping Studies on the Treatment of Cemented Waste from 99Mo Production; Technical report AECL-RC-1245; Atomic Energy of Canada Limited: Chalk River, ON, Canada, 1994. [Google Scholar]
  3. Bilodeau, A.; Bouzoubaâ, N.; Chevrier, R.; Kwong, Y.T.J.; Nkinamubanzi, P.C.; Riveros, P.A. Literature Review Related to Cemented Nuclear Wastes; CANMET-MMSL Report 07-061(CR); CanmetMINING: Ottawa, ON, Canada, 2008. [Google Scholar]
  4. Riveros, P.A. A Literature Survey of the Cement-Based Solidification/Stabilization of Radioactive Wastes Containing Cesium, Mercury and Uranium; CANMET-MMSL Report 10-016(CR); CanmetMINING: Ottawa, ON, Canada, 2010. [Google Scholar]
  5. Fiset, J.F.; Laviolette, C.; Bouzoubaâ, N. Commissioning and Operation of a Glove Box Enclosure to Produce Surrogate Radioactive Cemented Waste; CANMET-MMSL Report 11-006(CR); CanmetMINING: Ottawa, ON, Canada, 2012. [Google Scholar]
  6. Fiset, J.F.; Lastra, R.; Demers, A.; Khandelwal, A.; Price, J.; Joyce, B.; Laviolette, C.; Morin, L.; Chapman, M. Characterization of Surrogate Cemented Radioactive Waste; CanmetMINING Final Report 13-012(CR); CanmetMINING: Ottawa, ON, Canada, 2013. [Google Scholar]
  7. Merritt, R.C. The Extractive Metallurgy of Uranium; Colorado School of Mines Research Institute; Johnson Publishing Company: Boulder, CO, USA, 1971. [Google Scholar]
  8. Wilkinson, W.D. Uranium Metallurgy, Volume I (Uranium Process Metallurgy); John Wiley and Sons: New York, NY, USA, 1962. [Google Scholar]
  9. Queneau, P.B.; Berthold, C.E. Silica in hydrometallurgy: An overview. Can. Met. Q. 1986, 25, 201–209. [Google Scholar] [CrossRef]
  10. Ritcey, G.M.; Wong, E.W. Influence of cations on crud formation in uranium circuits. Hydrometallurgy 1985, 15, 55–61. [Google Scholar] [CrossRef]
  11. Wang, J.; Zhuang, S. Removal of cesium ions from aqueous solutions using various separation technologies. Rev. Environ. Sci. Bio/Technol. 2019, 18, 231–269. [Google Scholar] [CrossRef]
  12. Sierra, M.J.; Millán, R.; López, F.A.; Alguacil, F.J.; Cañadas, I. Sustainable remediation of mercury contaminated soils by thermal desorption. Environ. Sci. Pollut. Res. 2015, 23, 4898–4907. [Google Scholar] [CrossRef] [PubMed]
  13. Obermoller, H.R.; White, D.A.; Lagos, S. Resin adsorption of anionic chloride complexes for uranium isotope chemical exchange reactions. Hydrometallurgy 1991, 27, 63–74. [Google Scholar] [CrossRef]
  14. Kraus, K.A.; Nelson, F. Anion exchange studies of the fission products. In The World’s Requirements for Energy: The Role of Nuclear Energy, Proceedings of the First International Conference on the Peaceful Uses of Atomic Energy, Geneva, Switzerland, 8–20 August 1955; Columbia University Press: New York, NY, USA, 1956; Volume 7, pp. 113–125. [Google Scholar]
  15. Googin, J.M.; Phillips, L.R.; Schmitt, C.R. Anion Exchange of Uranium in Nitrate Solutions. J. Chem. Eng. Data 1961, 6, 217–219. [Google Scholar] [CrossRef]
  16. Zhang, H.; Jeffery, C.A.; Jeffrey, M.I. Ion exchange recovery of gold from iodine–iodide solutions. Hydrometallurgy 2012, 125–126, 69–75. [Google Scholar] [CrossRef]
  17. Riveros, P.A.; Lastra, R.; Kwong, J.; Khandelwal, A.; Smith, D. Task C: Determination of the Chemical Characteristics of Surrogate Cemented Wastes. Part 1: Evaluation of Lixiviants for Cs, Hg and U, and Mineralogical Analysis of the Resulting Leach Residues; CANMET-MMSL Report 11-018(CR); CanmetMINING: Ottawa, ON, Canada, 2011. [Google Scholar]
  18. Riveros, P.A.; Lastra, R.; Khandelwal, A. Task C: Determination of the Chemical Characteristics of Surrogate Cemented Wastes. Part 2: Development and Optimization of a Leaching Scheme; CANMET-MMSL Report 12-028(CR); CanmetMINING: Ottawa, ON, Canada, 2012. [Google Scholar]
  19. Riveros, P.A.; Lastra, R.; Khandelwal, A.; Laviolette, C.; Demers, A. Task C: Determination of the Chemical Characteristics of Surrogate Cemented Wastes; Final Report; CANMET-MMSL Report 13-013(CR); CanmetMINING: Ottawa, ON, Canada, 2013. [Google Scholar]
  20. Reynier, N.; Lastra, R.; Laviolette, C.; Bouzoubaâ, N.; Chapman, M. Optimization and validation of a chemical process for uranium, mercury and cesium leaching from cemented radioactive wastes. AECL Nucl. Rev. 2015, 4, 131–139. [Google Scholar] [CrossRef]
  21. Reynier, N.; Fiset, J.F.; Bilodeau, M.; Bilodeau, A.; Kassimi, F.; Lastra, R. Effect of Plastic and Corrosion Products on the Lixiviation Process and Strontium Behavior; CanmetMINING Final Report; CanmetMINING: Ottawa, ON, Canada, 2016. [Google Scholar]
  22. Reynier, N.; Lastra, R.; Laviolette, C.; Demers, A.; Courchesne, M.; Chapman, M. Process scale-up for uranium, mercury and cesium recovery from surrogate radioactive cemented waste. In Proceedings of the Uranium 2020 Conference, Saskatoon, SK, Canada, 10–13 May 2020. [Google Scholar]
  23. Fiset, J.F.; Lastra, R.; Bilodeau, A.; Bouzoubaâ, N. Characterization of Surrogate Radioactive Cemented Waste: A Laboratory Study. In Proceedings of the Waste Management, Decommissioning and Environmental Restauration for Canada’s Nuclear Activities, Toronto, ON, Canada, 11–14 September 2011. [Google Scholar]
  24. Trambouze, P. Countercurrent two-phase flow fixed bed catalytic reactors. Chem. Eng. Sci. 1990, 45, 2269–2275. [Google Scholar] [CrossRef]
  25. Subramonian, S.; Clifford, D.; Vijjeswarapu, W. Evaluating Ion Exchange for Removing Radium From Groundwater. J. Am. Water Work. Assoc. 1990, 82, 61–70. [Google Scholar] [CrossRef]
  26. Quinn, J.E.; Sedger, D.S.; Brennan, A.T.; Ring, R.J.; Soldenhoff, K. Recovery of uranium from carbonate solutions using Lewatit TP 107 resin. Hydrometallurgy 2020, 194, 105360. [Google Scholar] [CrossRef]
  27. Gupta, R.; Pandey, V.; Pranesh, S.; Chakravarty, A. Study of an improved technique for precipitation of uranium from eluted solution. Hydrometallurgy 2004, 71, 429–434. [Google Scholar] [CrossRef]
  28. Pappas, R.S. Sample Preparation Problem Solving for Inductively Coupled Plasma-Mass Spectrometry with Liquid Introduction Systems I. Solubility, Chelation, and Memory Effects. Spectrosc. (Springf. Or.) 2012, 27, 20–31. [Google Scholar]
  29. Reynier, N.; Bilodeau, M.; Demers, A.; Laviolette, C.; Fiset, J.F.; Bouzoubaâ, N. Technologies Optimization—CRW Research; CanmetMINING Final Report; CanmetMINING: Ottawa, ON, Canada, 2018. [Google Scholar]
  30. Reynier, N.; Lastra, R.; Laviolette, C.; Fiset, J.-F.; Bouzoubaâ, N.; Chapman, M. Comparison of Uranium Recovery by Ion Exchange from Sulfuric Acid Liquor in Iodide and Chloride Media. Solvent Extr. Ion. Exch. 2016, 34, 188–200. [Google Scholar] [CrossRef]
  31. Liu, Z.; Wang, D.; Yang, S.; Liu, H.; Liu, C.; Xie, X.; Xu, Z. Selective recovery of mercury from high mercury-containing smelting wastes using an iodide solution system. J. Hazard. Mater. 2018, 363, 179–186. [Google Scholar] [CrossRef] [PubMed]
  32. Kameník, J.; Dulaiova, H.; Šebesta, F.; Šťastná, K. Fast concentration of dissolved forms of cesium radioisotopes from large seawater samples. J. Radioanal. Nucl. Chem. Artic. 2012, 296, 841–846. [Google Scholar] [CrossRef]
  33. Turgis, R.; Leydier, A.; Arrachart, G.; Burdet, F.; Dourdain, S.; Bernier, G.; Miguirditchian, M.; Pellet-Rostaing, S. Uranium Extraction from Phosphoric Acid Using Bifunctional Amido-Phosphonic Acid Ligands. Solvent Extr. Ion. Exch. 2014, 32, 478–491. [Google Scholar] [CrossRef]
  34. Ivanov, N.S.; Abilmagzhanov, A.Z.; Shokobayev, N.M.; Adelbayev, I.Y.; Nurtazina, A.E. Scandium Extraction by Phosphorus-Containing Sorbents; News of the National Academy of Sciences of the Republica o Kazakhstan, Series of Geology and Technical Sciences: Almaty, Kazakhstan, 2020; Volume 4, pp. 156–165. ISSN 2224-5278. [Google Scholar] [CrossRef]
  35. Lewatit MonoPlus TP260. Product Information. Edition: 2021-08-31. Available online: https://lanxess.com/en/Products-and-Solutions/Products/l/LEWATIT-MonoPlus-TP-260 (accessed on 9 March 2022).
Publisher’s Note: MDPI stays neutral with regard to jurisdictional claims in published maps and institutional affiliations.

Article Metrics

Citations

Article Access Statistics

Multiple requests from the same IP address are counted as one view.