Abstract
Highly developed countries generate large volumes of industrial waste, the type and quantity of which are strongly linked to the characteristics of the industries that produce it. Industrial waste can adversely affect the environment, so its disposal and management are a major challenge. Understanding the characteristics of a given waste type (e.g., its chemical and phase composition, technical parameters and likelihood of releasing constituents into aquatic and soil environments) allows its potential economic applications to be determined. A simple application of mineral waste is in the production of artificial aggregates, which are increasingly used as a substitute for natural aggregates. In Poland, artificial aggregates are widely produced from metallurgical waste from steel and non-ferrous metallurgy, which may contain numerous components that are potentially environmentally damaging. Depending on their occurrence form (i.e., mineral composition), these contaminants have varying potential to be released into aquatic and soil environments. This study presents the results of mineral and chemical composition analyses and leachability tests conducted on aggregates produced from metallurgical waste, including slags from blast furnaces, steelmaking, Zn and Pb production, and Ni production. The studied aggregates are characterised by chemical and phase composition differences, resulting from the type of slag from which they originate. The chemical composition of blast furnace slag is dominated by CaO, SiO2, Fe2O3, and MgO; steelmaking slag by CaO, Fe2O3, and SiO2; Zn and Pb production slag by SiO2, Fe2O3, SO3, and CaO; and Ni production slag by SiO2, Fe2O3, CaO, and Al2O3. The phase composition of all the tested aggregates is dominated by silicates resistant to leaching (weathering), which results in low levels of Al, Ca, Cr, Mn, Zn, Pb, Cu, As, Sr and Ni leaching, not exceeding 1.6%.
1. Introduction
Urbanisation, infrastructure development and industrialisation require enormous amounts of aggregates. Sand, gravel and crushed aggregates are essential for producing concrete, asphalt, embankments, etc. The value of the global construction aggregates market in 2024 has been estimated at 612.8 billion US$, and demand for these raw materials is expected to continue to grow, with a potential aggregate market value of USD 824.8 billion by 2030 [1]. In 2023, global demand for aggregates amounted to 47.5 billion tonnes [2], which is expected to increase to 48 billion tonnes this year [3].
The extraction of natural aggregates has a range of negative environmental impacts, including vegetation decline, landscape transformation and changes in water conditions [4,5,6]. The production of crushed aggregates requires blasting, which generates both noise and dust [7,8,9]. An approach to minimising the environmental impact of aggregate production involves replacing natural aggregates with artificial aggregates made from mineral waste [10,11,12]. Various waste materials can be used in the production of artificial aggregates, including mining waste, power plant ash, concrete, and even plastics [13,14,15,16,17,18]. A common source of mineral waste used in artificial aggregate production is metallurgical waste, including waste from iron and steel production, as well as from non-ferrous metal production [19,20]. Artificial aggregates made from metallurgical waste are most commonly used for levelling the ground, building embankments or in road construction, but there have also been attempts to use them in concrete production.
Metallurgical waste is generated through the action of high temperatures on metal ores in the presence of fluxes. During this process, the desired metal is separated from the gangue, forming an alloy, while the waste components are discarded. The resulting waste is disposed of in landfills, where it cools rapidly, changing from a liquid to a solid. The waste formation process affects its chemical and mineral composition in addition to its structural characteristics [21,22,23,24].
The chemical composition of waste is controlled by the composition of the feed material (ore, fluxes, refining agents, and fuel) and the effects of the metal separation process. The chemical composition of metallurgical waste is dominated by CaO, SiO2 and FeO/Fe2O3, with Al2O3, MgO, MnO and other components present in smaller quantities. In the case of slag from non-ferrous metallurgy, the waste composition may include components such as ZnO and PbO [10,11,25,26,27,28].
Waste from the pyrometallurgical process is discharged in liquid form and rapidly solidifies in waste dumps. This leads to the formation of material whose structural characteristics are similar to those of extrusive igneous rocks. Porous, sometimes glassy, aphanitic structures are observed in waste very often.
Waste from pyrometallurgical processes is discharged in liquid form and rapidly solidifies in waste dumps, leading to the formation of material with structural characteristics similar to those of extrusive igneous rocks. Such waste commonly contains porous or glassy, aphanitic structures. The rapid cooling process may also affect the mineral composition of the waste, with silicate and aluminosilicate groups often present, including pyroxenes (e.g., diopside), olivines (fayalite and forsterite), plagioclases (e.g., anorthite), quartz and melilites. Oxide species include magnetite, hematite or wustite, as well as numerous spinels. As a result of hypergenic processes, these minerals may undergo transformation and secondary minerals may crystallise, such as sulphates, carbonates and hydroxides [10,11,28,29,30]. Both the composition of the waste and its susceptibility to transformation under hypergenic processes will influence the type and abundance of elements released into aquatic and soil environments.
The use of artificial aggregates made from metallurgical waste can lead to environmental pH changes. The direction and intensity of pH changes depend on the chemical composition of the waste used to produce the aggregates. For example, high calcium contents and the presence of calcium bound in forms that readily decompose under hypergenic conditions favour the formation of alkaline environments. In these instances, the pH may reach up to 11, reducing the mobility of many heavy metals present in the waste.
Metallurgical waste, especially untreated waste from current production that has not been transformed under hypergenic conditions, may pose hazards in addition to water and soil contamination. Processes occurring in such waste may lead to the formation of new mineral phases and increases in aggregate volume, which can potentially affect the durability of structures constructed using these aggregates [31]. Accordingly, accurate characterisation of the waste used in artificial aggregate production is essential to predict the behaviour of these aggregates in practice.
To date, most studies of artificial aggregates produced from mineral waste have focused on their technological parameters and practical applications. However, their impacts on aquatic and soil environments have not been widely analysed. To address this limitation, this paper investigates the volumes and types of potentially harmful substances released from artificial aggregates produced from various metallurgical waste types, including iron and steel, Zn and Pb and Ni metallurgy.
The paper presents the results of research on the quantity and type of substances potentially harmful to the environment that are released from artificial aggregates produced from various types of metallurgical waste (from iron and steel, zinc and lead, and nickel metallurgy).
2. Materials and Methods
The aggregate samples used in this study were obtained from the Laboratory of the Department of Geotechnics and Roads, Faculty of Civil Engineering, Silesian University of Technology. The samples were all commercially available products. Due to the aggregate manufacturer’s policy, the authors were not provided with the names of the producers of the aggregates or details of any technological processes.
2.1. Sample Preparation
The samples were crushed in a ball mill and averaged. The component of the sample intended for chemical and phase composition analysis was ground to a size of <0.063 mm.
2.2. Determination of Chemical Composition
The samples’ chemical composition was determined using X-ray fluorescence (XRF). This analysis was performed on a Bruker S2 Puma XRF spectrometer (Bruker Corporation, Billerica, MA, USA) at the Department of Applied Geology at the Silesian University of Technology. The measurements were performed under vacuum on pressed pellets. The samples were pressed under a pressure of 20 tonnes. Licowax C micropowder (PD Instruments, Toszek, Poland) was used as a binder, with approximately 1 g of binder used for every 10 g of sample. The loss on ignition (LOI) was determined using the conventional gravimetric method by roasting the sample at 950 °C in air for 1 h.
2.3. Determination of Phase Composition
The phase composition was determined using X-ray diffraction (XRD). The tests were conducted using a Bruker D2 PHASER X-ray diffractometer (Bruker Corporation, Billerica, MA, USA). A copper tube was used as a radiation source, the voltage during the measurement was 30 kV, and the current was 20 mA. The measurements were conducted in a 2θ angular range of 2–72°, with a step of 0.01° and a measurement time of 0.4 s for each step. DIFFRAC.EVA v 6.1 software from Bruker and the PDF4 database were used to interpret the obtained diffractograms. Phase identification using XRD was sufficient to characterise the mineral composition of the aggregates [32,33,34,35].
2.4. Leaching Tests
Leachability tests were conducted in accordance with PN-EN 12457-2:2002 Characterisation of waste—Leaching—Compliance test for leaching of granular waste materials and sludges—Part 2 [36]: One stage batch test at a liquid to solid ratio of 10 l/kg for materials with particle size below 4 mm (without or with size reduction) [30]. The aggregate samples were placed in bottles with demineralised water in a 1:10 ratio and shaken for 24 h. The samples were then filtered through hard filter paper, and the resulting eluates were analysed.
The following parameters were determined in the obtained eluates:
- −
- pH using a CPC 502 pH/conductivity metre kit;
- −
- total dissolved solids using the conventional gravimetric method;
- −
- Ca2+ and Mg2+ ion content using conventional complexometry;
- −
- SO42−, Fe2+/Fe3+ and Mn2+ ion content using a SLANDI LF205 (LED) photometer (Slandi Sp. z o.o., Michałowice, Poland);
- −
- Al, Na, V, Cr, Mn, Ni, Pb, Zn, Sr, As, and Cu content using an ICP-AES JY 2000 spectrometer (Horiba Jobin Yvon, Paris, France).
In addition, leaching was performed using a modified procedure in which demineralised water was acidified with sulphuric acid to achieve an acidic environment with a pH of 6.5, which corresponds to the typical pH of precipitation in Poland.
2.5. Determination of the Content of Selected Elements
In the acidic eluates obtained using the above method, the content of selected metals was determined (Al, Na, V, Cr, Mn, Ni, Pb, Zn, Sr, As and Cu) using an ICP-AES JY 2000 spectrometer.
3. Results
3.1. Chemical and Phase Composition of Artificial Aggregates
The chemical composition of the tested artificial aggregates is presented in Table 1.
Table 1.
Chemical composition of artificial aggregates.
3.1.1. Aggregate from Nickel Smelting Slag
The main constituents of an aggregate based on nickel smelting slag include: SiO2, content 36.1%, Fe2O3-31.09%, CaO-12.03%, Al2O3-11.03%, MgO-5.11%, and Cr2O3-1.6%. The content of the other constituents was not higher than 1%, SO3-0.9%, K2O-0.73%, NiO-0.67%, TiO2-0.51%, MnO-0.21%. The sample showed a negative LOI loss on ignition value of −2.47%. This indicates the presence of constituents that undergo oxidation. These may include metals and their alloys or metal sulphides (Table 1).
The phase composition of the aggregate produced from Ni metallurgical waste, identified on the basis of a diffractogram (Figure 1), includes diopside, akermanite, chromite, fayalite, magnetite. A very clearly enhanced background in the range of 7–13° 2Theta indicates the presence of a large amount of amorphous substance—glass—in the sample.
Figure 1.
Diffractogram of the sample of the aggregate produced from Ni metallurgical slag.
3.1.2. Aggregate from Zinc Smelting Slag
The main constituents of aggregate from zinc smelting slag are SiO2 and Fe2O3, the contents of which reach almost 25%. A high SO3 content of 20.91% and CaO content of 15.93% was also observed. The other constituents were found to have significantly lower contents. MgO content was 3.88%, Al2O3 3.68%, MnO 1.89%, Na2O 1%, P2O5 0.3%, K2O 0.21%, TiO2 0.13%. Noteworthy is also the high content of ZnO at 0.99%, Cr2O5 0.74%, CuO 0.28%, and PbO 0.27%. The sample also showed a negative LOI loss on ignition value of −2.97%. This indicates the presence of constituents that undergo oxidation, e.g., sulphides or elemental iron (Table 1).
The phase composition of the aggregate produced from Zn and Pb metallurgical waste, identified on the basis of a diffractogram (Figure 2), includes sphalerite, galena, gypsum, willemite, akermanite, augite, quartz and brownmillerite. A very clearly enhanced background within the range of 7–13° 2Theta indicates the presence of a large amount of amorphous substance—glass (Figure 2).
Figure 2.
Diffractogram of the sample of the aggregate produced from Zn metallurgical slag.
3.1.3. Aggregate from Blast Furnace Slag
Aggregate produced from blast furnace slag consists mainly of: CaO 27.06%, SiO2 20.53%, Fe2O3 18.66% and MgO 14.0%. Less abundant are Al2O3 4.57%, MnO 4.20% and Cr2O3 1.12%. Loss on ignition LOI was determined at 7.86%. The content of the remaining constituents did not exceed 1%. Among them are SO3 at 0.69%, P2O5 0.38%, TiO2 0.3%, ZnO 0.27%, K2O 0.16% (Table 1).
Phase identification based on the diffractogram (Figure 3) revealed the presence of quartz, larnite, magnesioferrite, calcite, srebrodolskite, monticellite, hematite and brucite. An enhanced background in the range of 7–13° 2Theta indicates the presence of an amorphous substance—glass—in the sample. The identified constituents are typical of slags originating from iron and steel production. The phase composition correlates with the determined chemical composition of the aggregate (Table 1).
Figure 3.
Diffractogram of the sample of the aggregate produced from blast furnace slag.
3.1.4. Aggregate from Steelmaking Slag
The main constituents of aggregate based on steelmaking slag include CaO at 36.72%, Fe2O3 32.13%, and SiO2 at 14.69%. Less abundant are: MgO 3.40%, MnO 2.11%, Al2O3 1.84%, P2O5 1.38%. Loss on ignition LOI was determined at 6.90%. The content of the remaining constituents did not exceed 1%. The presence of the following was established: Cr2O5 0.28%, TiO2 0.23%, SO3 0.14% (Table 1).
The phase composition identified on the basis of the diffractogram (Figure 4) correlates with the chemical composition of steelmaking slag. Phase determination using X-ray diffraction indicated the presence of quartz, wustite, larnite, brownmillerite, hematite, portlandite. An enhanced background in the range of 7–13° 2Theta indicates the presence of an amorphous substance—glass—in the sample.
Figure 4.
Diffractogram of the sample of the aggregate produced from steelmaking slag.
The identified constituents are typical of slags originating from iron and steel production.
The phase composition of all the studied aggregates contains amorphous glass.
The phase composition of the tested artificial aggregates is similar to the phase composition of metallurgical wastes that were subjected to hypergenic conditions [11,37,38,39,40,41,42].
3.2. Leaching Tests
The eluates obtained from the leachability tests were analysed for ion (macro-constituent) content Ca2+, Mg2+, SO42−, Fe2+/Fe3+, Mn2+, and elements Al, Na, Cr, Mn, Ni, Pb, Zn, Sr, As, Cu. The pH and total dissolved solids of the eluates were also determined.
Based on the results obtained, the level of leaching of macroconstituents and minor elements from aggregates was calculated.
3.2.1. pH of Water Extracts
During the leaching of the aggregate, as a result of the interaction of mineral substances with demineralised water, the pH of the medium changed as follows:
- −
- nickel smelting slag, pH = 6.55,
- −
- zinc smelting slag, pH = 5.7,
- −
- blast furnace slag, pH = 11.65,
- −
- steelmaking slag, pH = 13.06.
The pH value varied widely from acidic (zinc smelting slag) to alkaline (steel making slag) (Table 2).
Table 2.
Content of ions Ca2+, Mg2+, SO42−, leaching degree, pH and total dissolved solids content in eluates.
3.2.2. Total Dissolved Solids Content and Macroconstituent Content in Eluates
The total dissolved solids content of eluates varies, as does the pH value (Table 2). The highest content of dissolved constituents, amounting to 1182 mg/dm3, was found in the water extract from steelmaking slag, while the lowest content, amounting to 76 mg/dm3, was found in the eluate from nickel smelting slag.
Based on the leaching tests conducted, it was found that all macroconstituents, i.e., Ca2+, Mg2+, SO42− and Fe2+/Fe3+, were characterised by a low leaching degree not exceeding 1.4%. The highest Ca2+ leaching degrees were found for aggregates based on steelmaking slag (concentration in the eluate 75.2 mg/dm3), while the lowest were found for aggregates based on nickel smelting slag (concentration in the eluate 10.2 mg/dm3).
The degree of Mg2+ leaching varies widely depending on the type of aggregate, amounting to 0.004% (content in eluate 2.4 mg/dm3) for blast furnace slag-based aggregate and 0.17% (content in eluate 52.7 mg/dm3) for nickel smelting slag-based aggregate.
The highest leaching degrees among all analysed ions, with the exception of nickel smelting slag-based aggregate, were found for SO42− and were as follows: 0.11% (content in eluate 90.0 mg/dm3)—zinc smelting slag, 0.8% (content in eluate 11.4 mg/dm3)—steelmaking slag, and 1.4% (content in eluate 115.0 mg/dm3)—blast furnace slag.
The constituent of the lowest leaching degree is Fe2+/Fe3+, whose content in most eluates was below the detection limit, only in the eluate from zinc smelting slag-based aggregate it was 29.0 mg/dm3, which represented 0.02% leaching of this ion from the aggregate.
3.2.3. Degree of Leaching of Minor Elements from the Aggregates
Based on the results obtained from the leaching tests, the dynamics of leaching of Zn, Cd, Fe, Cu, Pb, Sn, As, and Sb from refining slags was determined and leaching graphs were plotted using the formula [43]:
where [E1]—element content in the eluate [ppm], [E2]—element content in the slag [ppm], AW—standard atomic weight of the element, W—slag weight [g], SA = 0.1 [m2 × g−1]—specific surface area of slags, t—leaching time t = 1 [days].
The dynamics of leaching this is the amount of the component leached out from a unit of slag surface per unit of time.
Table 3a,b shows the average content of minor elements in various types of aggregates and in water extracts (neutral and acidic pH) as well as their leaching degree. Typically higher concentrations and, consequently, higher leaching degrees were found in eluates with acidic pH compared to eluates with neutral pH. Therefore, further discussion of the test results applies to acidic eluates with a pH of 6.5.
Table 3.
(a) Average elemental content in aggregates from zinc and nickel smelting slags and in water extracts along with leaching degree; (b) average elemental content in aggregates from steelmaking and blast furnace slags and in water extracts along with leaching degree.
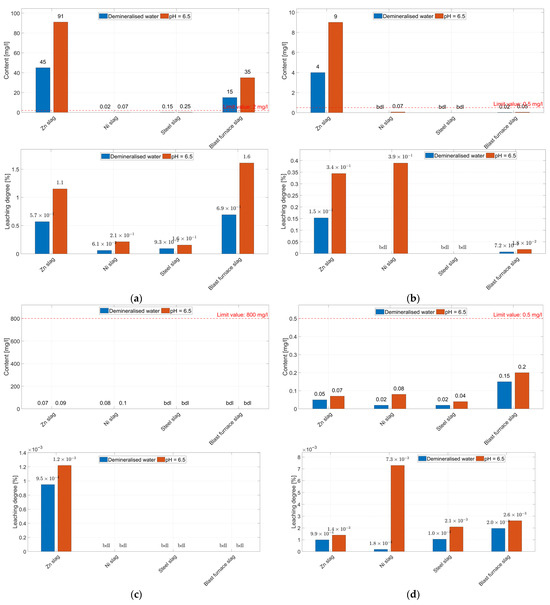
For zinc smelting slag-based aggregates, the acid eluate showed the highest Zn content of 91.0 mg/dm3, followed by Pb at 9.00 mg/dm3 and Al at 0.1 mg/dm3. The contents of other elements, i.e., Na, Cr, Mn, Cu, As, do not exceed 0.1 mg/dm3 (Table 3a,b and Figure 5).

Figure 5.
Content in [mg/l] and leaching degree in [%] of elements in eluates from various types of aggregates: (a) Zn, (b) Pb, (c) Na, (d) Cr, (e) Mn, (f) Cu, (g) As, (h) As.
For aggregates based on nickel smelting slag, the element whose content is 10 times and 100 times higher than the others is nickel, with a concentration of 1.4 mg/dm3. The contents of other elements in the eluate do not exceed 0.1 mg/dm3 (Table 3a,b and Figure 5).
The eluates obtained from aggregates based on steelmaking and blast furnace slag also contained low levels of elements, not exceeding 0.5 mg/dm3, with the exception of Mn (content 0.85 mg/dm3) and Zn (content 35 mg/dm3) (Table 3a,b and Figure 5).
Based on the leaching tests conducted, it was found that the leaching degrees of all elements are low and do not exceed 1.6% (Zn for blast furnace slag-based aggregate) (Figure 5).
The aggregate with the highest degree of leaching of most elements is nickel smelting slag-based aggregate, where the values for Cr, Mn, and Pb are as follows: 7.3 × 10−3%, 3.1 × 10−3% and 3.9 × 10−1%. The highest leaching degree: of aluminium (2.1 × 10−3%), was found in aggregate from steelmaking slag, sodium (1.2 × 10−3%) in aggregate from zinc smelting slag, zinc (1.6%) in aggregate from blast furnace slag (Table 3a,b and Figure 5).
The level of element leaching in the aggregates derived from slags and blast furnace slags is comparable, whereas the level of leaching in aggregates derived from Zn and Ni slags is significantly lower [11,44,45,46,47].
When analysing the dynamics of the leaching of the tested elements, the same relationships between their leaching rates for a given type of aggregate were found.
Taking into account the leaching time of the constituents from various types of aggregates, the highest rate of zinc and lead leaching was found in aggregates based on zinc smelting slag, amounting to log Re = 2.14 ppm/m2s and log Re = 0.64 ppm/m2s (Figure 6). The lowest Zn leaching rate (log Re = −1.42 ppm/m2s) was found for steelmaking slag-based aggregate, while Pb leaching rate (log Re = −1.62 ppm/m2s) was found for blast furnace slag-based aggregate (Figure 6).
Figure 6.
The dynamics of the leaching (logR) in [ppm/m2s] from various types of aggregates of the tested elements: (a) demineralised water, (b) pH = 6.5 eluate.
The leaching rates of the remaining elements from all tested aggregates are low and do not exceed 1.35 ppm/m2s for Sr, −0.40 ppm/m2s for Cr, 0.12 ppm/m2s for Al and 0.20 ppm/m2s for Mn—aggregate from blast furnace slag, and −0.37 ppm/m2s for Na—aggregate from nickel smelting slag (Figure 6).
No leaching of Na2O from blast furnace and steelmaking slag-based aggregates or of Sr from nickel smelting and zinc smelting slag-based aggregates was observed.
4. Discussion
An important aspect of research into artificial aggregates is determining their envi-ronmental impact. Aggregates are exposed to weathering processes, and the constituents leached from them can adversely affect neighbouring soils, surface water, groundwater and other elements of the environment.
The environmental impacts of the minerals within aggregates are primarily deter-mined by their persistence (i.e., mobility) in soil and aquatic environments.
An analysis of the chemical composition of metallurgical waste used as an input for aggregate production (Table 4) shows that its main constituents include Fe2O3, CaO, SiO2, Al2O3, MgO, and MnO.
Table 4.
Phase composition of aggregates and its genetic classification.
Slags from non-ferrous metal smelting show negative LOI values, indicating the presence of constituents that are easily oxidised (e.g., metal alloys or sulphides). In con-trast, slags from iron and steel metallurgy do not exhibit these characteristics.
Three groups of minerals can be distinguished based on the phase compositions of the tested samples (Table 4):
I—constituents derived from input material (ore or fluxes),
II—constituents formed during the metallurgical process,
III—constituents formed through the action of hypergenic processes on the waste after its generation.
The group I constituents include quartz, sphalerite, and galena. Quartz is a highly resistant mineral and often remains intact even in waste exposed to high temperatures. Galena and sphalerite are the primary sulphide minerals used as ore for Zn and Pb production. Their occurrence in the waste may indicate incomplete extraction during the smelting process [11].
The presence of quartz in aggregates produced from iron and steel waste is probably the result of impurities in the ore or flux or deliberate introduction of these components into the liquid slag to modify its parameters [48]. This component could also have entered the aggregate during the production stage.
Galena and sphalerite are sulphides that are susceptible to transform by hypergenic factors and can release metals into soil and water environments [49].
The most abundant group comprises constituents resulting from metallurgical processes (group II). This group includes larnite, magnesioferrite, chromite, magnetite, hematite, wüstite, monticellite, srebrodolskite, willemite, åkermanite, augite, diopside, fayalite, and brownmillerite.
Larnite can transform into monticellite or, when exposed to CO2, be converted into calcite and amorphous silica [50].
Magnesioferrite, like other spinels, is a relatively weathering-resistant mineral. However, under the action of hypergenic factors, Fe2+ can be oxidised to Fe3+. As a result, phases such as goethite, maghemite, and hematite will form [30].
Chromite is fairly resistant to weathering processes. In the presence of water and atmospheric oxygen, Cr (III) undergoes gradual oxidation to Cr (IV), which leads to the formation of soluble chromium compounds. The release of Cr and Fe is promoted in acidic environments.
When exposed to hypergenic conditions, magnetite may be oxidised to hematite or goethite.
Hematite can also be formed in metallurgical slags through crystallisation or the oxidation of iron-containing phases. Under the influence of hypergenic factors, it is transformed into Fe hydroxides, including goethite. In the presence of oxygen, wüstite can also undergo oxidation and transform to goethite or lepidocrocite.
Monticellite is resistant to hypergenic factors and has low reactivity, which tends to reduce leaching from monticellite-containing waste [51].
Srebrodolskite, which crystallises during the solidification of CaO- and Fe2O3-rich slags, is a highly reactive phase which can be rapidly transformed under hypergenic conditions by processes including oxidation, hydration and carbonatisation [30].
Willemite is a zinc silicate commonly found in slags from Zn and Pb production. Under hypergenic conditions, it can undergo hydration, forming amorphous silica and releasing Zn ions into solution. In the presence of CO2, carbonatisation may occur, resulting in the formation of smithsonite. In acidic environments, willemite rapidly dissolves, releasing Zn into the environment [30].
Åkermanite can undergo hydration on exposure to water, especially in the presence of CO2. As a result of this process, its crystal structure breaks down, releasing Ca2+ and Mg2+ ions into the environment. These ions can react with CO2, resulting in the formation of calcite and magnesite.
Minerals from the pyroxene group (augite and diopside) also form an important constituent of slag. Under hypergenic conditions, they can undergo hydration processes, resulting in the formation of clay minerals such as kaolinite and smectite.
Fayalite is a mineral from the olivine group, which can undergo hydrolysis when exposed to hypergenic conditions. As a result of the action of water in the presence of CO2, the crystal lattice breaks down, releasing iron hydroxides and amorphous silica. In the next stage, clay minerals (kaolinite and smectite) may form, or carbonatisation processes and siderite formation may occur.
Brownmillerite is a phase that undergoes hydration and hydrolysis processes under hypergenic conditions, releasing Ca2+ and Fe2+ ions into the environment. The Fe ions may crystallise to form goethite or lepidocrocite, while the Ca ions can react with CO2 and crystallise as calcite. Additionally, Al can crystallise in the form of hydroxides (gibbsite). The identified phases, such as gypsum, brucite, calcite, and portlandite, were formed as a result of hypergenic processes acting on the slags after they had solidified (group III).
The phases identified in group III, such as gypsum, brucite, calcite and portlandite, were formed as a result of hypergenic processes acting on the slags after they had solidified.
In the case of slags from the iron and steel industry, based on the authors’ experi-ence, calcite can crystallise as early as 30 days after the waste is deposited in hypergenic conditions.
Based on a detailed characterisation of the chemical and mineral compositions of aggregates combined with leachability test results, the degree of mobility of mineral constituents of aggregates in a hypergenic environment can be determined. The leaching rates of individual constituents are determined by multiple factors, the most important being the phase composition of the aggregates and the solubility of elements dependent on the pH of the environment [52,53].
The leaching tests showed a low degree of leaching of the studied elements, not exceeding 1.62%. Low leaching degrees indicate that the chemical constituents are bound in stable mineral phases and, for the most part, do not tend to migrate.
The highest levels of Zn and Pb leaching were observed in aggregates based on Zn and Pb slags. This behaviour relates to these elements occurring as PbS and ZnS sulphides, which are highly soluble in acidic environments. The relatively high levels of Zn leaching from aggregates derived from blast furnace slag, despite the low ZnO content in the slag, indicate the binding of this element in the glass [54]. The very high alkalinity (pH > 11) of the steel production and blast furnace slag aggregate eluates likely suppressed the leaching of other elements. The level of element leaching from aggregates derived from blast furnace slags may also be influenced by the effects of dicalcium silicate disintegration on aggregates [55,56].
To assess the impacts of the studied aggregates on aquatic environments, the leachability test results were compared with the requirements specified in the Ordinance of the Minister of the Environment of 16 December 2014 on the conditions to be met when discharging wastewater into water or the ground and on substances particularly harmful to aquatic environments [57].
Despite their low leaching degree, the Mn concentrations in acidic eluates from all aggregates, Zn concentrations in acidic eluates from Zn smelting slag and blast furnace slag-based aggregates, and the Pb concentrations in Zn smelting slag-based eluates ex-ceeded the permissible values specified in the Ordinance (Figure 5).
5. Conclusions
Based on this study’s results, the following conclusions can be drawn:
- The studied aggregates are characterised by differences in chemical and phase compositions, resulting from the type of slag from which they originate; however, the dominant chemical components of all the aggregates are SiO2 and Fe2O3.
- In the phase composition of aggregates, in terms of their origin, the following components were identified:
- −
- components derived from input material (ore or fluxes): sphalerite, galena, quartz (Zn and Pb slags); quartz (blast furnace slags, steel slags);
- −
- components formed during the metallurgical process: diopside, akermanite, fayalite, magnetite, chromite (Ni slags); willemite, åkermanite, augite, brownmillerite (Zn and Pb slags); larnite, monticellite, srebrodolskite, hematite, magnesioferrite (blast furnace slags); larnite, brownmillerite, hematite, wüstite (steel slags);
- −
- components formed through the action of hypergenic processes on waste after its disposal: gypsum (Zn and Pb slags); brucite, calcite (blast furnace slags); portlandite (steel slags).
- The leachability tests showed low leaching degrees of the studied elements (<1.65%), resulting from the phase composition of aggregates, which are dominated by low-solubility components. The leaching degrees are higher in acidic environments. Despite the low leaching degree, the concentrations of some of the elements in acid eluates, i.e., Mn (all aggregates), Zn and Pb (zinc slags and blast furnace slags), exceed the permissible values specified in the Ordinance on wastewater discharge, making these aggregates a potential threat to soil and water environments.
Author Contributions
Conceptualization, J.N., K.N., and M.K.-P.; methodology, J.N., M.K.-P. and K.N.; validation, A.B. and K.K.; formal analysis, K.K. and A.B.; investigation, J.N., K.N., and M.K.-P.; resources, A.B. and K.K.; data curation, K.K. and K.N. writing—original draft preparation, K.N., J.N., and M.K.-P.; writing—review and editing, K.N.; visualisation, A.B. and K.K.; supervision, K.K. and M.K.-P.; project administration, K.N. All authors have read and agreed to the published version of the manuscript.
Funding
This research received no external funding.
Data Availability Statement
The original contributions presented in this study are included in the article. Further inquiries can be directed to the corresponding author.
Conflicts of Interest
The authors declare no conflicts of interest.
References
- Research and Markets. Construction Aggregates—Global Strategic Business Report; Research and Markets: Dublin, Ireland, 2025. [Google Scholar]
- Global Construction Aggregates Industry Report. 2025. Available online: https://www.gminsights.com/industry-analysis/construction-aggregates-market (accessed on 15 August 2025).
- Worldwide Aggregates Market Research Report. 2025. Available online: https://www.marketreportsworld.com/market-reports/aggregates-market-14716374 (accessed on 15 August 2025).
- Pizoń, J.; Gołaszewski, J.; Alwaeli, M.; Szwan, P. Properties of Concrete with Recycled Concrete Aggregate Containing Metallurgical Sludge Waste. Materials 2020, 13, 1448. [Google Scholar] [CrossRef] [PubMed]
- Paldyna, J.; Krasnodebska-Ostrega, B.; Kregielewska, K.; Kowalska, J.; Jedynak, L.; Golimowski, J.; Grobelski, T.; Farbiszewska-Kiczma, J.; Farbiszewska, T. The Assessment of Environmental Pollution Caused by Mining and Metallurgy Wastes from Highly Polluted Post-Industrial Regions in Southern Poland. Environ. Earth Sci. 2013, 68, 439–450. [Google Scholar] [CrossRef][Green Version]
- Vaněk, A.; Grösslová, Z.; Mihaljevič, M.; Ettler, V.; Trubač, J.; Chrastný, V.; Penížek, V.; Teper, L.; Cabala, J.; Voegelin, A. Thallium Isotopes in Metallurgical Wastes/Contaminated Soils: A Novel Tool to Trace Metal Source and Behavior. J. Hazard. Mater. 2018, 343, 78–85. [Google Scholar] [CrossRef] [PubMed]
- Vijerathne, D.; Wahala, S.; Illankoon, C. Impact of Crushed Natural Aggregate on Environmental Footprint of the Construction Industry: Enhancing Sustainability in Aggregate Production. Buildings 2024, 14, 2770. [Google Scholar] [CrossRef]
- Pal, S.; Mandal, I. Impacts of Stone Mining and Crushing on Environmental Health in Dwarka River Basin. Geocarto Int. 2019, 36, 392–420. [Google Scholar] [CrossRef]
- Anees, M.; Khan, E.; Shah, W. Environmental Impact Assessment of a Typical Stone Crushing Plant. Int. Rev. Soc. Sci. 2023, 11, 11–18. [Google Scholar]
- Nowińska, K.; Grzesik, B.; Kokowska-Pawłowska, M.; Nowak, J. Use of Mineral Waste for the Production of Artificial Aggregates. Appl. Sci. 2024, 14, 11734. [Google Scholar] [CrossRef]
- Nowińska, K.; Kokowska-Pawłowska, M. Mineralogy of Zinc and Lead Metallurgical Slags in Terms of Their Impact on the Environment: A Review. Minerals 2024, 14, 852. [Google Scholar] [CrossRef]
- Wowkonowicz, P.; Bojanowicz-Bablok, A.; Gworek, B. Wykorzystanie Odpadów z Przemysłu Wydobywczego i Hutnictwa w Drogownictwie. Rocz. Ochr. Sr. 2018, 20, 1335–1349. [Google Scholar]
- Yao, Y.; Hong, B. Evolution of Recycled Concrete Research: A Data-Driven Scientometric Review. Low-Carbon Mater. Green Constr. 2024, 2, 16. [Google Scholar] [CrossRef]
- Skotniczny, G.; Kozioł, M.; Korol, J.; Poneta, P. Production and Evaluation of Synthetic Lightweight Aggregates Based on Mixture of Fluidized Bed Fly Ash and Post-Mining Residues. Materials 2022, 15, 660. [Google Scholar] [CrossRef] [PubMed]
- Bekkeri, G.B.; Shetty, K.K.; Nayak, G. Synthesis of Artificial Aggregates and Their Impact on Performance of Concrete: A Review. J. Mater. Cycles Waste Manag. 2023, 25, 1988–2011. [Google Scholar] [CrossRef]
- Duan, Z.; Yang, W.; Zou, S.H.; Liu, H.W.; Zhao, W.; Chen, W. A Critical Review on Cold-Bonded Artificial Aggregate Developed from Solid Wastes: From Granulation Analysis to Performance Evaluation. J. Build. Eng. 2025, 99, 111588. [Google Scholar] [CrossRef]
- Matinde, E.; Simate, G.S.; Ndlovu, S. Mining and Metallurgical Wastes: A Review of Recycling and Re-Use Practices. J. S. Afr. Inst. Min. Metall. 2018, 118, 825–844. [Google Scholar] [CrossRef]
- Dhanalakshmi, K.; Alex, A.G.; Jose, P.A.; Kumar, R.D. Effect of Using Recycled E-Waste Plastic as Coarse Aggregate with Supplementary Nano-Fills in Concrete. Int. J. Concr. Struct. Mater. 2025, 19, 44. [Google Scholar] [CrossRef]
- Loureiro, C.D.A.; Moura, C.F.N.; Rodrigues, M.; Martinho, F.C.G.; Silva, H.M.R.D.; Oliveira, J.R.M. Steel Slag and Recycled Concrete Aggregates: Replacing Quarries to Supply Sustainable Materials for the Asphalt Paving Industry. Sustainability 2022, 14, 5022. [Google Scholar] [CrossRef]
- Olofinnade, O.; Morawo, A.; Okedairo, O.; Kim, B. Solid Waste Management in Developing Countries: Reusing of Steel Slag Aggregate in Eco-Friendly Interlocking Concrete Paving Blocks Production. Case Stud. Constr. Mater. 2021, 14, e00532. [Google Scholar] [CrossRef]
- Rani, K.; Senthil, K. WITHDRAWN: Performance of Plastic Aggregate Along with Steel Slag in the Concrete Through the Mechanical Tests and Microstructural Analysis. Preprint. Research Square. 2024; Version 1. Available online: https://www.researchsquare.com/article/rs-4354714/v1 (accessed on 30 September 2025).
- Zhang, X.; Gao, M.; Zhang, D.; Zhang, B.; Wang, M. Experimental Study on the Mechanical Properties of Metallurgical Slag Aggregate Concrete and Artificial Aggregate Concrete. Buildings 2024, 14, 2548. [Google Scholar] [CrossRef]
- Ettler, V.; Johan, Z.; Kříbek, B.; Šebek, O.; Mihaljevic, M. Mineralogy and Environmental Stability of Slags from the Tsumeb Smelter, Namibia. Appl. Geochem. 2009, 24, 1–15. [Google Scholar] [CrossRef]
- De Andrade Lima, L.R.P.; Bernardez, L.A. Characterization of the Lead Smelter Slag in Santo Amaro, Bahia, Brazil. J. Hazard. Mater. 2011, 189, 692–699. [Google Scholar] [CrossRef]
- Nowińska, K.; Adamczyk, Z. Zinc and Lead Metallurgical Slags as a Potential Source of Metal Recovery: A Review. Materials 2023, 16, 7295. [Google Scholar] [CrossRef] [PubMed]
- Piatak, N.M. Environmental Characteristics and Utilization Potential of Metallurgical Slag. In Environmental Geochemistry; De Vivo, B., Belkin, H.E., Lima, A., Eds.; Elsevier: Amsterdam, The Netherlands, 2018; pp. 487–519. [Google Scholar] [CrossRef]
- Iluţiu-Varvara, D.A.; Aciu, C. Metallurgical Wastes as Resources for Sustainability of the Steel Industry. Sustainability 2022, 14, 5488. [Google Scholar] [CrossRef]
- Đorđević, T.; Tasev, G.; Aicher, C.; Potysz, A.; Nagl, P.; Lengauer, C.L.; Pędziwiatr, A.; Serafimovski, T.; Boev, I.; Boev, B. Mineralogy and Environmental Stability of Metallurgical Slags from the Euronickel Smelter, Vozarci, North Macedonia. Appl. Geochem. 2024, 170, 106068. [Google Scholar] [CrossRef]
- Mahieux, P.Y.; Aubert, J.E.; Cyr, M.; Coutand, M.; Husson, B. Quantitative Mineralogical Composition of Complex Mineral Wastes—Contribution of the Rietveld Method. Waste Manag. 2010, 30, 378–388. [Google Scholar] [CrossRef]
- Piatak, N.M.; Parsons, M.B.; Seal, R.R. Characteristics and Environmental Aspects of Slag: A Review. Appl. Geochem. 2015, 57, 236–266. [Google Scholar] [CrossRef]
- Kwiecień, S.; Grzesik, B.; Adamczyk, Z.; Nowak, J.; Grzyb, K.; Zając, J.; Drobiec, Ł. The Impact of Slag Swelling on Building Structures Demonstrated through Long-Term Measurement Analysis: A Case Study Lesson. Sci. Rep. 2025, 15, 33474. [Google Scholar] [CrossRef]
- Ali, A.; Chiang, Y.W.; Santos, R.M. X-ray Diffraction Techniques for Mineral Characterization: A Review for Engineers of the Fundamentals, Applications, and Research Directions. Minerals 2022, 12, 205. [Google Scholar] [CrossRef]
- Liu, J.; Guo, R. Applications of Steel Slag Powder and Steel Slag Aggregate in Ultra-High Performance Concrete. Adv. Civ. Eng. 2018, 2018, 1426037. [Google Scholar] [CrossRef]
- Nicolae, M.; Vîlciu, I.; Zăman, F. X-ray Diffraction Analysis of Steel Slag and Blast Furnace Slag Viewing Their Use for Road Construction. UPB Sci. Bull. 2007, 69, 99–108. [Google Scholar]
- Piatak, N.M.; Ettler, V.; Hoppe, D. Geochemistry and Mineralogy of Slags. In Metallurgical Slags: Environmental Geochemistry and Resource Potential, 1st ed.; Piatak, N.M., Ettler, V., Eds.; Royal Society of Chemistry: London, UK, 2021. [Google Scholar]
- PN-EN 12457-2:2002; Characterisation of Waste—Leaching—Compliance Test for Leaching of Granular Waste Materials and Sludges—Part 2. Polish Standardization Committee: Warsaw, Poland, 2002.
- Doschek-Held, K.; Krammer, A.C.; Steindl, F.R.; Gatschlhofer, C.; Raonic, Z.; Wohlmuth, D. Treatment of Metallurgical Residues by Chemical Modification, Reduction, and Phase Modification for Metal Recovery and Slag Utilization. Minerals 2025, 15, 408. [Google Scholar] [CrossRef]
- Kasina, M.; Michalik, M. Iron Metallurgy Slags as a Potential Source of Critical Elements—Nb, Ta and REE. Mineralogia 2016, 47, 15–28. [Google Scholar] [CrossRef]
- Herbelin, M.; Bascou, J.; Lavastre, V.; Guillaume, D.; Benbakkar, M.; Peuble, S.; Baron, J.-P. Steel Slag Characterisation—Benefit of Coupling Chemical, Mineralogical and Magnetic Techniques. Minerals 2020, 10, 705. [Google Scholar] [CrossRef]
- Nocoń, M.; Korus, I.; Łoska, K. Quantitative and Qualitative Analysis of Slags from Zinc and Lead Metallurgy. Arch. Environ. Prot. 2023, 49, 26–37. [Google Scholar] [CrossRef]
- Guo, Z.; Zhu, D.; Pan, J.; Zhang, F. Mineralogical Characteristics and Preliminary Beneficiation of Nickel Slag from Reduction Roasting–Ammonia Leaching. Minerals 2017, 7, 98. [Google Scholar] [CrossRef]
- Kierczak, J.; Néel, C.; Puziewicz, J.; Bril, H. The Mineralogy and Weathering of Slag Produced by the Smelting of Lateritic Ni Ores, Szklary. Can. Mineral. 2009, 47, 557–572. [Google Scholar] [CrossRef]
- Nang-Htay, Y.; Sivry, Y.; Guyot, F.; Lens, P.N.; van Hullebusch, E.D. Evaluation on Chemical Stability of Lead Blast Furnace (LBF) and Imperial Smelting Furnace (ISF) Slags. J. Environ. Manag. 2016, 180, 310–323. [Google Scholar] [CrossRef]
- Gomes, J.F.P.; Pinto, C.G. Leaching of Heavy Metals from Steelmaking Slags. Rev. Metal. 2006, 42, 409–416. [Google Scholar] [CrossRef]
- Nguyen, L.H.; Nguyen, T.D.; Tran, T.V.; Nguyen, D.L.; Tran, H.S.; Nguyen, T.L.; Nguyen, T.H.; Nguyen, H.G.; Nguyen, T.P.; Nguyen, N.T.; et al. Steel Slag Quality Control for Road Construction Aggregates and Its Environmental Impact: Case Study of Vietnamese Steel Industry—Leaching of Heavy Metals from Steel-Making Slag. Environ. Sci. Pollut. Res. 2022, 29, 41983–41991. [Google Scholar] [CrossRef]
- Lim, B.; Alorro, R.D.; Aylmore, M.; Grimsey, D. Complexation Leaching of Critical and Strategic Metals from Nickel Converter Slag Using Organic Acids. Miner. Eng. 2023, 201, 108167. [Google Scholar] [CrossRef]
- He, X.; Shi, J.; Li, J.; Wang, J. Leaching Characteristics of Heavy Metals from Nickel Slag. Chin. J. Environ. Eng. 2014, 8, 3385–3389. [Google Scholar]
- Mombelli, D.; Mapelli, C.; Barella, S.; Gruttadauria, A.; Le Saout, G.; Garcia-Diaz, E. The Efficiency of Quartz Addition on Electric Arc Furnace (EAF) Carbon Steel Slag Stability. J. Hazard. Mater. 2014, 279, 586–596. [Google Scholar] [CrossRef] [PubMed]
- Cabała, J.; Warchulski, R.; Rozmus, D.; Środek, D.; Szełęg, E. Pb-Rich Slags, Minerals, and Pollution Resulted from a Medieval Ag-Pb Smelting and Mining Operation in the Silesian-Cracovian Region (Southern Poland). Minerals 2020, 10, 28. [Google Scholar] [CrossRef]
- Riley, A.L.; Cameron, J.; Burke, I.T.; Onnis, P.; MacDonald, J.M.; Gandy, C.J.; Crane, R.A.; Byrne, P.; Comber, S.; Jarvis, A.P.; et al. Environmental Behaviour of Iron and Steel Slags in Coastal Settings. Environ. Sci. Pollut. Res. 2024, 31, 42428–42444. [Google Scholar] [CrossRef] [PubMed]
- Strandkvist, I.; Björkman, B.; Engström, F. Synthesis and Dissolution of Slag Minerals—A Study of β-Dicalcium Silicate, Pseudowollastonite and Monticellite. Can. Metall. Q. 2015, 54, 446–454. [Google Scholar] [CrossRef]
- Ettler, V.; Johan, Z. 12 Years of Leaching of Contaminants from Pb Smelter Slags: Geochemical/Mineralogical Controls and Slag Recycling Potential. Appl. Geochem. 2014, 40, 97–103. [Google Scholar] [CrossRef]
- Ettler, V.; Komarkova, M.; Jechlicka, J.; Coufal, P.; Hradil, D.; Machovic, V.; Delorme, F. Leaching of Lead Metallurgical Slag in Citric Solutions—Implications for Disposal and Weathering in Soil Environments. Chemosphere 2004, 57, 567–577. [Google Scholar] [CrossRef]
- Perederiy, I.; Papangelakis, V.G. Why Amorphous FeO–SiO2 Slags Do Not Acid-Leach at High Temperatures. J. Hazard. Mater. 2017, 321, 737–744. [Google Scholar] [CrossRef]
- Eker, H.; Şahin, D.D.; Çullu, M. Effect of Reduced Fineness of Fly Ash Used on the Alkali–Silica Reaction (ASR) of Concrete. Iran. J. Sci. Technol. Trans. Civ. Eng. 2023, 47, 2203–2217. [Google Scholar] [CrossRef]
- Juckes, L.M. Dicalcium Silicate in Blast-Furnace Slag: A Critical Review of the Implications for Aggregate Stability. Miner. Process. Extr. Metall. 2002, 111, 120–128. [Google Scholar] [CrossRef]
- The Ordinance of the Minister of the Environment of 16 December 2014 on the Conditions to Be Met When Discharging Wastewater into Water or Ground, and on Substances Particularly Harmful to the Aquatic Environment. Journal of Laws 2014, Item 1800. Available online: https://isap.sejm.gov.pl/isap.nsf/DocDetails.xsp?id=wdu20140001800 (accessed on 19 August 2025).
Disclaimer/Publisher’s Note: The statements, opinions and data contained in all publications are solely those of the individual author(s) and contributor(s) and not of MDPI and/or the editor(s). MDPI and/or the editor(s) disclaim responsibility for any injury to people or property resulting from any ideas, methods, instructions or products referred to in the content. |
© 2025 by the authors. Licensee MDPI, Basel, Switzerland. This article is an open access article distributed under the terms and conditions of the Creative Commons Attribution (CC BY) license (https://creativecommons.org/licenses/by/4.0/).