Abstract
At present, to achieve further reductions in CO2 emissions in the cement industry, it is essential to improve the efficiency of grinding processes and reduce the energy demand. This study examined the effects of various grinding parameters (addition of trass, ball to powder mass ratio (BPR), material of grinding bodies and jars, rotational speed, and mill type) to minimize the energy consumption of the mechanochemical activation of kaolinite. X-ray diffraction, Fourier transform infrared spectroscopy, inductively coupled plasma optical emission spectroscopy, scanning electron microscopy, and specific surface area measurements were used to examine the influence of grinding parameters. It was found that the addition of as little as 25% (mass percent) trass reduced the specific energy demand for the complete amorphization of kaolinite by 56%. The application of steel grinding bodies (instead of ZrO2 ones) had a slight influence on the amorphization kinetics of kaolinite, but it could mechanochemically activate 30% more samples at the same BPR and specific energy demand. The use of the four-pot milling instead of the one-pot could considerably decrease the specific energy demand of the complete and incomplete (α = 0.9) amorphization of kaolinite. Overall, a 94% reduction was achieved in specific energy demand with steel grinding material, 14:1 BPR, four-pot milling, and the incomplete amorphization of kaolinite.
1. Introduction
A wide range of natural and natural calcined raw materials (e.g., trass and metakaolin) and industrial by-products (e.g., fly ash and granulated blast furnace slag) exist that can be used as a pozzolanic substitute for ordinary Portland cement (OPC) in concrete production [1,2,3,4,5]. Currently, the use of supplementary cementitious materials (SCMs) for OPC is the most effective way to reduce global CO2 emissions. It is estimated that 5%–6% of global manmade CO2 emissions are produced by the cement industry. The availability of industrial by-products (e.g., fly ash, granulated blast furnace slag, silica fume), which are the most commonly used SCMs, is largely dependent on the production of the manufacturing industry [4,6,7,8,9,10]. This is particularly relevant for fly ash, which is the most frequently applied SCM among industrial by-products. In the US, 40% of coal-fired power plants have already closed. The UK and the Netherlands plan to close all coal-fired power plants by 2030. Therefore, researchers are working on alternatives to replace the current SCMs [10,11].
In countries where fly ash and blast furnace slag are less available or of poor quality, the use of locally accessible pozzolans (e.g., trass, metakaolin) should be considered to avoid long-distance transport for sustainability [9,10,12,13]. For example, transporting large quantities of fly ash and blast furnace slag from the source can result in higher CO2 emissions than producing cement with 95% clinker content [14]. Volcanic trasses, which are natural pozzolans, have large deposits in Asia, Europe, and America [4,15]. Metakaolin is one of the natural calcined clays (SCM) and possesses excellent pozzolanic properties. It can be produced by the thermal activation (TA) of kaolin [12,16]. However, due to the energy demand and cost of TA, alternative processes (e.g., mechanochemical activation) need to be considered [4,17]. The mechanochemical activation (MCA) of kaolin breaks the O-H, Al-OH, Al-O-Si, and Si-O bonds of kaolinite, producing an amorphous kaolinite phase with reactive silica, alumina, and weakly bonded coordinated water [18,19,20,21,22,23,24,25,26,27,28]. It was established that the mechanochemically amorphized kaolinite has a favorable pozzolanic property [22,27,29] and chemical reactivity in highly alkaline solutions [30,31,32]. These features of the mechanochemically amorphized kaolinite were found to be similar to those of the thermally activated one [27,29,30]. At the same time, the MCA can basically change the morphology of kaolinite and can produce aggregates or agglomerates of spherical nanoparticles [19,24,27,28]. The advantage of the MCA compared to the TA is that it requires 100-200 kWh less energy to amorphize kaolinite [29]. The disadvantage of the MCA is that a relatively long grinding time is needed to achieve complete amorphization, as the aggregation and agglomeration processes decelerate the amorphization and reduce the specific surface area [21,33].
The MCA can be performed in high-energy mills such as stirred media and planetary mills, which are suited for laboratory and even industrial-scale applications [19,34,35,36]. Planetary mills are popular devices for MCA due to their cost-effectiveness and ease of use. In a planetary mill, the accelerating force is generated by the rotation of grinding jars around their own axis, combined with the rotation of the main disk [36]. In addition to the properties of the activated material, the effectiveness of MCA in a planetary mill depends on several factors, such as the rotational speed of the main disk and grinding jars, the quantity and material of the grinding bodies, the BPR, and the duration of the MCA [37,38,39]. The increase in rotational speed and number of grinding bodies increases the frequency and intensity of collisions. This can enhance the effectiveness of the MCA, although it can contaminate the sample that originated from the wear of the grinding bodies and jars. Furthermore, it has been found that an increase in the energy of the grinding bodies results in an increase in the quantity of heat produced by friction, which reduces the efficiency of the activation process because of the increased adhesion, aggregation, and agglomeration of the sample. The collision energy of grinding bodies of various materials increases with their densities, which reduces the grinding temperature and the abrasion of the grinding bodies and jars. In grinding experiments, the effect of the ratio between the rotational speed of the jar and that of the main disk, namely, the transmission ratio (i), was rarely studied. According to the mathematical models describing the energy transferred to the material in a planetary mill, an increase in the value of i can lead to higher number and energy of collisions at a given rotational speed [39,40,41,42]. This raises the possibility that, to achieve the same degree of mechanochemical amorphization, it may be useful to investigate and apply reductions in the rotational speed and increases in the i factor, which may be advantageous to minimize the negative processes (e.g., agglomeration) that occur during MCA.
In our previous research, the co-grinding of kaolinite with inert quartz, the pozzolanic silica fume and diatomaceous earth was successfully used to reduce the energy demand of kaolinite amorphization [24,33]. In the present study, the effect of the addition of locally (in Hungary) available trass (TR) on the energy demand of MCA of kaolin was investigated. In addition, the influence of grinding parameters (BPR, material of grinding bodies and jars, rotational speed, mill type) is systematically studied, taking into account the energy required for production to maximize the efficiency of MCA and minimize the agglomeration process, as well as the abrasion of grinding bodies and jars.
2. Materials and Methods
2.1. Materials
In this study, as in previous studies [24,33], commercial Zettlitzer kaolin (Karlovy Vary, Czech Republic) was used. The major crystalline phase of kaolin was a medium-defect kaolinite (92 mass% (m%)) with a Hinckley index of around 0.8 [43]. The minor phase components were quartz (2 m%) and muscovite (7 m%). As an abrasive pozzolanic material, the natural trass from (Pálháza, Hungary) was used, which contains 92 m% of amorphous phase. The minor crystalline phases of trass were cristobalite (0.9 m%), quartz (0.3 m%) and albite (6.3 m%). The chemical compositions of the studied kaolin and trass are shown in Table 1. The chemical composition was measured by a Philips Axios PW 4400/24 wavelength dispersive X-ray fluorescence spectrometer (Philips Analytical B.V., Almelo, The Netherlands) using a fusion sample preparation. To investigate the amorphization effect of trass, 100, 75, 50 and 25 g of kaolin (ZK) was mixed with 0, 25, 50 and 75 g of trass (TR). (The symbols of the samples containing 100, 75, 50, and 25 m% of kaolin are ZK, 75ZK, 50ZK, and 25ZK, respectively.)
Table 1.
The chemical composition of the kaolin and trass. (LOI: loss on ignition.).
2.2. Mechanochemical Activation
The MCA of samples with different TR contents was performed using a Fritsch Pulverisette 6 type Planetary Mono Mill (P6). Samples were activated in ZrO2 and hardened stainless steel (Fe-Cr) jars and grinding bodies with 8:1, 11:1, and 14:1 BPR at 350, 400, and 450 rpm (Table 2).
Table 2.
Studied grinding parameters.
First, the effect of trass addition was examined at 100:0, 75:25, 50:50, and 25:75 kaolin:trass mass ratios. Secondly, the activation with zirconia and steel grinding materials was compared at 8:1, 11:1, and 14:1 BPR. Thirdly, 1-pot (P6) and 4-pot (P5/4) mills were used to investigate the possibility of increasing the grinding capacity at varying speeds (350, 400, and 450 rpm and 290, 330, and 380 rpm, respectively).
To scale the MCA, the cumulative impact energies (Ecum) associated with a given degree of amorphization and grinding time at 350, 400, and 450 rpm were calculated. The Ecum was determined by the Burgio’s modified mathematical model, as presented in Equations (1)–(4) [36,37,41]:
where ωd and ωv are the rotational speeds of the main disk and jar, Φ is the degree of filling, Nb is the number of balls, db is diameter of the ball, ms is the mass of the sample, ρs is the density of the sample, dv is the diameter of the jar, Hv is the height of the jar, rp is the radius of main disk, t is the grinding time, and K is a constant that accounts for collision elasticity. Based on the calculated Ecum, comparative grinding was performed in a Fritsch Pulverisette 5/4 planetary mill (P5/4) at 290, 330, and 380 rpm, with 14:1 BPR, using steel jars and grinding bodies (Table 2).
i = ωv/ωd
Φ = [⅙ Nb π db3 + (ms/ρs)]/π ¼ dv 2 Hv
Eb= ½ Φ mb ωd2 [i2 (½ (dv−db))2 (1−2 i)−2 rp i (½ (dv−db))−i2 (½ (dv−db))2]
Ecum = [Eb (Nb K (ωd−ωv)) t]/mb
In each grinding, 500 cm3 grinding jars and 121 grinding bodies with a diameter of 10 mm were utilized. After each 15 min grinding cycle, a 30 min cooling break was taken. The grinding parameters and the symbols of the ground samples are given in Table 2.
2.3. Analysis Methods
2.3.1. X-ray Diffraction (XRD)
X-ray diffraction (XRD) is one of the most important methods to characterize the amorphization of kaolinite during mechanochemical activation [44,45,46,47,48]. XRD patterns were measured with CuKα radiation (λ = 0.1541 nm), at 50 kV and 40 mA using a Philips PW 3710 diffractometer (Philips Analytical B.V., Almelo, The Netherlands) with a graphite diffracted-beam monochromator. Data collections and evaluations were performed with X’Pert Data Collector (2.0e, PANalytical B.V., Almelo, the Netherlands, 2010) and HighScore Plus (5.0, Malvern Panalytical B.V., Almelo, the Netherlands, 2021) software. The profile fitting option of HighScore Plus software was used to determine the full width at half-maximum (FWHM) value and the integral intensity of the 001 kaolinite reflection. To quantitatively characterize the MCA of kaolinite, the degree of amorphization (α) was used. It was calculated as the reduction ratio of the area of the 001 kaolinite reflection of the activated and non-activated samples with the same composition (the standard error of the degree of amorphization was 0.02) [33,49]. The 00-014-0164, 00-033-1161, 00-007-0025, and 00-041-1480 Powder Diffraction File (PDF) of International Centre for Diffraction Data (ICDD) of kaolinite, quartz, muscovite, and albite, respectively, were used to identify crystalline phases.
2.3.2. Analysis of Specific Surface Area
The specific surface area of the samples was determined using the Brunauer, Emmett, and Teller (BET) method [48]. The samples were pretreated at 30 °C and in vacuum for 4 h. The nitrogen gas (Messer 99.995%) adsorption was measured with a Micromeritics 3Flex (Micromeritics Instrument Corporation, Norcross, GA, USA) type instrument at −196 °C.
2.3.3. Scanning Electron Microscopy (SEM)
The morphology and primary and secondary particle-size distributions of raw and activated samples were analyzed using a Thermo Fisher Apreo S-type scanning electron microscope (SEM) (FEI/ThermoFisher, Waltham, MA, USA, Apreo S). SEM images with magnifications of 100×, 500×, 1000×, 25,000×, and 50,000× were obtained with a secondary electron (SE) detector, at 5 kV accelerating voltage using high-vacuum mode. Secondary and primary particle sizes were determined using the ImageJ (1.51w) software.
2.3.4. Fourier Transform Infrared Spectroscopy (FTIR)
FTIR spectra were collected by a Bruker Vertex 70 spectrometer (Bruker Scientific LLC, Billerica, MA, USA) equipped with a DTGS detector and Platinum ATR optics at room temperature. To improve the signal-to-noise ratio, 512 scans of each sample (at a resolution of 2 cm−1) were summarized. The spectra were processed using GRAMS/AI 9.0 software.
2.3.5. Inductively Coupled Plasma Optical Emission Spectroscopy (ICP-OES)
The ICP-OES measurements were carried out using a SPECTROFLAME MODULA E type (SPECTRO Analytical Instruments GmbH, Kleve, Germany) spectrometer in Ar plasma (4.6). The spectrometer is equipped with a horizontal torch and axial plasma viewing. The calibration curve was prepared using a four-point standard solution series: in 0, 10, 20 and 40 mg/L concentration. Fe was measured at 259.940 nm emission line with 0.01 mg/L detection limit.
In order to determine the changes in the Fe content of ground samples, the unground and ground 75ZK samples were treated with HCl 8 M. Analytical grade HCl was used from Scharlab (Scharlab, S.L., Barcelona, Spain), and 20 g of sample was stirred in 60 cm3 of HCl solution for 2 h at room temperature. After the treatment, the dispersion was centrifuged and washed two times with 40 cm3 of distilled water. The dissolved Fe content of the liquid parts was analyzed by ICP-OES.
2.3.6. Analysis of Energy Demand
The energy demand of the MCA with different grinding parameters was measured with an EM 03 type plug-in electricity meter. The energy consumption was recorded every 15 min until the complete amorphization of the kaolinite phase.
3. Results and Discussion
3.1. XRD Analysis
Initially, XRD was used to examine the effect of TR addition on the mechanochemical amorphization of kaolinite. At different grinding times, XRD patterns of samples with varying amounts of TR (ZK, 75ZK, 50ZK, and 25ZK) were measured. As an example, Figure 1 illustrates the XRD patterns of the 75ZK sample ground for 0, 30, 60, and 105 min. The XRD pattern of the raw sample (0 min) indicates that kaolinite (K) is the major phase, while muscovite (M), albite (A), and quartz (Q) are the minor phases. The XRD patterns of ground samples show that the increase in grinding time caused the broadening of the kaolinite reflections (K) and a decrease in their intensity (area) due to the deformation and amorphization of the crystal structure [22,50,51,52,53]. In addition to the reflections of kaolinite (K), the reflections of muscovite (M) and albite (A) declined and broadened because of MCA, while the reflections of quartz (Q) did not show remarkable changes. These results are in accordance with previous research [24,28,31,47,48]. After 105 min of grinding, all kaolinite reflections disappeared and only an amorphous hump remained at around 22° 2θ, which can be attributed to the amorphized kaolinite, muscovite, and albite phases. During the MCA, similar changes were observed in the XRD patterns of ZK, 50ZK, and 25ZK samples (not presented). To compare the amorphization process of kaolinite in samples with different TR contents, the degree of amorphization (α) was determined using the K(001) reflections of the XRD patterns (e.g., Figure 1) [33,49].
Figure 1.
XRD patterns of the 75ZK sample ground for 0, 30, 60 and 105 min. (The degree of amorphization (α) and the FWHM value of the K(001) reflection are indicated. M: muscovite; K: kaolinite; Q: quartz, A: albite.)
Then, the kinetics of the amorphization of kaolinite were characterized by the change in the degree of amorphization with time (Figure 2). In Figure 2, at the initial stage of grinding (up to 30 min), the amorphization rate (slope of the curves) dynamically increased, which indicates the intensive degradation of kaolinite structure. After that, the growth rate of the degree of amorphization decreases because of the aggregation and agglomeration processes [19]. The kinetics of such a solid-state reaction can be described by the Avrami–Erofeev deceleratory rate models [54]:
where n is the reaction order, α is the degree of amorphization at time t, and k is the reaction (amorphization) rate constant. The best fits (R2~0.998) to the measured data points (α) were obtained with the second-order (n = 2) model.
(−ln [1 − α])1/n = k·t
Figure 2.
Changes in the degree of amorphization of kaolinite as a function of grinding time for the samples with different amounts of TR. Table shows the fitted k and R2 parameters.
In Figure 2, the increase in TR content caused an increase in the slopes of the kinetic curves and, thus, the acceleration of the amorphization. The acceleration of amorphization is characterized by the fact that the rate constant (k) increased by nearly 2, 3, and 5 times with the addition of 25, 50, and 75 m% of TR, respectively. This means that the abrasive TR grains, similarly to previous results with quartz, silica fume (SF), or diatomaceous earth (DE) grains [24,33], act as extra grinding bodies, increasing the introduced grinding energy [19,33]. The effect of the TR contents of the samples is a little weaker than the effect of the SF or DE contents. The average degree of the amorphization of samples containing TR was about 0.07 lower for the identical grinding parameters. As the addition of 25m% TR effectively doubled the amorphization rate of kaolinite, the 75ZK sample was chosen to determine the effect of various grinding parameters.
Among the grinding parameters, the effects of ZrO2 and steel grinding materials, as well as the BPR values of 8:1, 11:1, and 14:1, on kaolinite amorphization, were first investigated at 400 rpm. In Figure 3, XRD patterns of samples activated with ZrO2 and steel grinding materials for 15 min with different BPRs are shown. At the same BPR (e.g., 11:1), the amorphization rate of kaolinite (0.72) and the FWHM of the K(001) reflection are almost identical for ZrO2 and steel materials. As the BPR increases (8:1, 11:1, 14:1), the K(001) reflection becomes increasingly wider (e.g., for steel, from FWHM = 0.5° to FWHM = 0.78°) and the area decreases more sharply (e.g., for steel, from α = 0.67 to α = 0.75).
Figure 3.
XRD patterns of the 75ZK samples ground with ZrO2 and steel grinding materials, at different BPR, for 15 min. (The degree of amorphization (α), the FWHM value of the K(001) reflection are indicated. M: muscovite; K: kaolinite; Q: quartz, A: albite.)
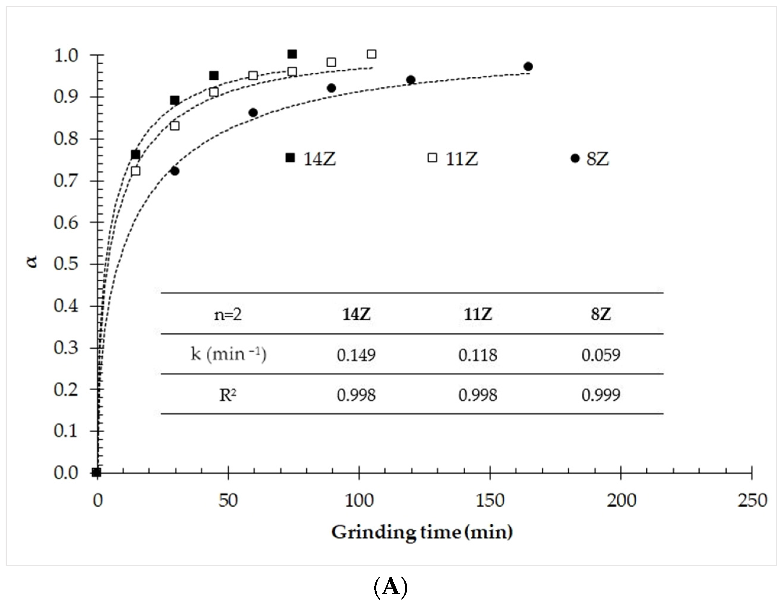
In Figure 4, the time dependence of the mechanochemical amorphization is shown at 8:1, 11:1 and 14:1 BPR for the ZrO2 and steel material. The curves of the ZrO2 material strongly overlap with the curves of the steel material at the respective BPR. At 8:1, 11:1 and 14:1 BPR, the amorphization rate constants (k) with the steel and the ZrO2 material are practically the same. Therefore, the replacement of ZrO2 material with steel has almost no effect on the kinetics of the amorphization of kaolinite. However, increasing BPR from 8:1 to 14:1 increases the rate constant (k) from 0.059 min−1 to 0.15 min−1, which represents the acceleration of the amorphization process. Notably, while the increase in the BPR from 8:1 to 11:1 increased the rate of amorphization (k) by 2.5 times, the increase in the BPR from 11:1 to 14:1 only increased this by 1.3 times. According to research by Ashrafizadeh et al. [55], this result can be explained by the fact that the decrease in the powder ratio increases the average impact energy, but there is an optimum value of the collision frequency with the total impact energy. Considering this, for further analysis of grinding parameters, steel grinding material and 14:1 BPR were chosen, with the same amount of sample (due to the higher density of steel) compared to that of the sample ground with ZrO2 material at 11:1 BPR.

Figure 4.
Changes in the degree of amorphization of kaolinite as a function of grinding time for the 75ZK samples grounded with different BPR using ZrO2 (A) and steel (B) grinding material. Tables show the fitted parameters (k and R2) for steel and ZrO2 grinding materials.
Next, using steel material and 14:1 BPR, the effect of different rotational speeds on the amorphization of kaolinite was examined in the Fritsch Pulverisette 6 (P6) and the Fritsch Pulverisette 5/4 (P5/4) planetary mills (using 34.6 g and 138.4 g of sample, respectively). Figure 5 indicates that the amorphization degrees of kaolinite and FWHM values of the K(001) reflection of samples ground at 350, 400, and 450 rpm in the P6 planetary mill and those of the samples ground at 290, 330, and 380 rpm in the P5/4 planetary mill are comparable. This proves that the calculated cumulative impact energies (Ecum) can be applied to determine the appropriate rotational speeds.
Figure 5.
XRD patterns of the 75ZK samples ground for 15 min with different rotational speeds using the P6 and P5/4 planetary mills. (The degree of amorphization (α), the FWHM value of the K(001) reflection are indicated. M: muscovite; K: kaolinite; Q: quartz, A: albite).
The difference between the degree of amorphization at 450 and 380 rpm is slightly larger (0.04) than the error of its determination (0.02) as the rotational speed of the P5/4 planetary mill can only be set with an accuracy of 10 rpm. In Figure 5, it can be established that the increase in the rotational speed enhances the amorphization and deformation of the kaolinite structure. The highest degree of amorphization and the highest FWHM value were achieved at 380 rpm among samples ground for 15 min with the P5/4 planetary mill.
In Figure 6, the kinetics of the mechanochemical amorphization are shown at 290, 330, and 380 rpm for the P6 and P5/4 planetary mills. The increase in rotational speed resulted in an increase in the slopes of the curves, which indicates the speed-up of the amorphization. Increasing the rotational speed from 290 to 380 rpm increases the rate constant (k) from 0.076 min−1 to 0.220 min−1, which represents the acceleration of the amorphization process. In the case of P6 planetary mill, a similar increasing tendency of k value (from 0.083 min−1 to 0.194 min−1) with the rotational speed was obtained. The replacement of the P6 planetary mill with the P5/4 one increased the i value from 1.82 to 2.19, which raised the collision energy of the grinding bodies 48% (Equations (1)–(3)). This allowed for the reduction in rotational speeds from 350, 400, and 450 rpm to 290, 330, and 380 rpm at the same degree of mechanochemical amorphization, respectively. This might be beneficial to the decrease in aggregation and agglomeration. The highest amorphization rate of kaolinite was obtained at 380 rpm with the P5/4 planetary mill. It should be mentioned that the increase in the rotational speed from 290 to 330 rpm doubled the rate of amorphization (k), but the increase in the rotational speed from 290 to 380 rpm only raised it by 2.9 times.

Figure 6.
Changes in the degree of amorphization of kaolinite as a function of grinding time for the 75ZK samples ground with different rotational speeds using the P6 (A) and P5/4 (B) planetary mill. Tables show the fitted parameters (k and R2) for the P6 and P5/4 planetary mills.
3.2. SEM Analysis and Analysis of Specific Surface Area
The SEM analysis was directly used to investigate the morphological changes [27,56], as well as the primary and secondary (aggregate and agglomerate) particle sizes (PPS and SPS, respectively) of the mechanochemically activated samples. In Figure 7A,B, the morphology of the raw 75ZK sample is visible, where the coarse grains of TR (with a diameter of 1–200 μm) are covered with the thin pseudo-hexagonal plates of kaolinite (with a diameter below 2 μm). In Figure 7C–F, the SEM images of the 75ZK samples ground for 45 and 105 min are shown. In the images, the size and morphology of the secondary and primary particles can be examined at 500× and 25,000× magnification, respectively. In the SEM image of the sample ground for 45 min, a reduction in the SPS (Figure 7C) and PPS (Figure 7D) is observed.

Figure 7.
SEM images of the 75ZK samples after different grinding times: 0 min (A,B); 45 min (C,D); 105 min (E,F).
After 105 min of grinding, there is a further increase in the SPS, while the decrease in the PPS is stopped (Figure 7E,F). In addition, as the grinding time increased, the original plate-like shape of the kaolinite was increasingly broken down and nanometer-sized spherical primary particles were produced [49,57]. In the SEM images of samples ground with various parameters (not presented), similar changes in the morphology, the PPS and SPS were detected with the increase in grinding time and amorphization rate. These morphological changes are similar to those described in earlier articles [27,28,31,48].
Following that, SEM images were analyzed in order to determine the SPS and PPS distributions of 75ZK samples ground for various times, which are presented in Figure 8 and Figure 9 as cumulative distribution (D) curves. After 15 min of grinding, the SPS distribution curve is shifted towards smaller particle sizes, indicating the formation of finer aggregates. For the samples ground for longer times (30, 45, and 105 min) (compared to the sample ground for 15 min), the SPS distribution curve is shifted to larger particle sizes, which is connected to the increased aggregation and agglomeration during MCA [19,33]. For up to 45 min of grinding, the PPS distribution curves are moved toward smaller particle sizes; then, the PPS curve is returned to greater particle sizes at 105 min of grinding. The PPS values are decreased significantly at 15 min of grinding and then they are slightly reduced for up to 45 min. The SPS and PPS distribution curves of the samples activated with different grinding parameters (not presented) show similar patterns. For comparison, the diameters of the D curves corresponding to 10% (D10, effective size), 50% (D50, median size), and 90% (D90) were determined as characteristic particle sizes (Figure 8, Table 3).
Figure 8.
The secondary particle-size distribution of the 75ZK sample at different grinding times (using 11Z grinding parameter).
Figure 9.
The primary particle-size distribution of the 75ZK sample at different grinding times (using 11Z grinding parameter).
Table 3.
Characteristic particle size of the 75ZK samples determined from SEM images at different grinding parameters, their degrees of amorphization and specific surface areas (SSA).
To identify the different stages of the grinding process [19], the characteristic particle sizes are studied together with specific surface area (SSA) values for the 75ZK samples with different degrees of amorphization (Table 3). In the case of the 11Z grinding parameter with ZrO2 balls and jar, the 15 min grinding (with α = 0.72) caused a significant reduction in the characteristic particle sizes of the SPS and PPS distributions, along with a high increase in the SSA value, which corresponds to the Rittinger’s stage of grinding. In this initial stage of grinding, the interactions of particles are negligible. The 30 min and 45 min grindings (with α = 0.83 and α = 0.91), compared to the 15 min one, slightly reduced the characteristic particle sizes of the PPS distribution and the SSA value, together with the increase in the characteristic particle sizes of the SPS distribution, which means that the aggregation of primary particles occurred. Grinding for 105 min, which ensured a complete amorphization (α = 1.00), resulted in a substantial reduction in SSA with a combined increase in the characteristic particle sizes of both distributions. These results confirm that the complete mechanochemical amorphization of kaolinite could be related to the agglomeration stage, where a decrease in the pozzolanic reactivity was previously shown because of the irreversible interaction of particles [33]. Therefore, the complete mechanochemical amorphization with a longer grinding time was found to be inappropriate due to the harmful agglomeration.
Then, the ZrO2 balls and jar were replaced with steel ones (11S). Here, similar changes in the characteristic particle sizes are observed. However, steel balls and jar produced slightly higher SSA values of the 75ZK sample ground for 30 and 45 min, which may be connected to the fact that 1.6 times higher sample amounts were ground in a steel jar. This allowed for us to increase the BPR from 11:1 to 14:1, which reduced the grinding time needed for a given degree of amorphization (e.g., α~0.9). Comparing the characteristic particle sizes and the SSA values of the 75ZK sample ground for 45 min with 11:1 BPR (11S) with that of the 75ZK sample ground for 30 min with 14:1 BPR (14S), it can be established that the higher BPR only slightly reduced the SSA value while the characteristic particle sizes remained almost unchanged. Overall, the application of steel balls and jar, together with the 14:1 BPR, can be considered favorable to faster amorphization with moderate aggregation.
Finally, the P5/4 planetary mill (Table 3, 330_P5/4 and 380_P5/4) was used instead of the P6 one (Table 3, 14S). XRD results demonstrated that the highest amorphization rate (k = 0.220 min−1) was achieved at 380 rpm with the P5/4, but the 0.150 min−1 k value reached at 330 rpm is also fairly high. The 330 rpm grindings (330_P5/4, with α = 0.89), compared to the 400 rpm grinding with the P6 planetary mill (14S, with α = 0.91) at the same grinding time (30 min), slightly reduced the characteristic particle sizes of the SPS distribution, together with the same SSA value, which means that the lower rotational speed decreased the aggregation of primary particles. On the other hand, the 380 rpm grindings (380_P5/4, with α = 0.91) correspondingly reduced the characteristic particle sizes of the SPS distribution, but considerably lowered the SSA value because of the agglomeration. This clearly indicates that it is recommended to apply the lower rotational speed (330 rpm) for the P5/4 planetary mill to achieve a similarly high degree of mechanochemical amorphization. In addition to lowering the rotational speed (and producing a larger amount of ground material); this is also beneficial to reducing the undesirable processes (e.g., aggregation and agglomeration) during MCA by increasing the i value.
3.3. FTIR and ICP-OES Analysis
The FTIR spectroscopy was used to detect changes in the molecular structure of kaolinite during the MCA. The MCA-induced spectral changes in the samples were analyzed in the 2500–3800 cm−1 (OH stretching) and 400–1200 cm−1 (SiO stretching and bending, Al-OH and Al-O-Si bending) ranges. Figure 10A shows the FTIR spectra related to the OH stretching range. In accordance with previous studies [24,45,54], the FTIR spectra of the raw kaolin (ZK) shows three inner surface-OH stretching bands at 3690, 3670, and 3653 cm−1 and one inner-OH stretching band at 3620 cm−1. In the FTIR spectra of the 330_P5/4 α = 1 sample, the disappearance of the characteristic OH stretching bands can be observed while a new broad band centered at about 3400 cm−1 appears. This is due to the structural OH groups and the loosely bonded gel–water [23,28,33,48,58]. In the FTIR spectra of ground samples where α = 0.9, the bands at 3670 and 3653 cm−1 disappeared, the intensity of the bands at 3690 and 3620 cm−1 was greatly reduced, and a broad band at around 3400 cm−1 (attributed to the adsorbed water and gel-water) was formed. The small bands at 3690 and 3620 cm−1, in agreement with the XRD results, prove that the mechanochemical amorphization of kaolinite is high, but incomplete.
Figure 10.
FTIR spectra of the ZK, the 330_P5/4 α = 0.9 and α = 1, the 380_P5/4 α = 0.9, the TR samples: (A) in the 2500–3800 cm−1 region, (B) in the 400–1200 cm−1 region.
The 1200–400 cm−1 range of the FTIR spectra also provides relevant structural information about the MCA of kaolinite. In Figure 10B, the FTIR spectra of the unground kaolin (ZK) show the vibrational bands attributed to the Si-O (1024, 997, 455 cm−1), Al-OH (934, 909 cm−1) and Al-O-Si (524 cm−1) bonds. After the complete amorphization of kaolinite (α = 1), the OH deformation bands of the inner surface and inner hydroxyls (934 and 909 cm−1) disappeared, and the SiO stretching bands (1024 and 997 cm−1) were converted into a wide FTIR band (at around 1000 cm−1). Furthermore, the intensity of the lattice vibrational bands (793, 749, 524, 455 and 404 cm−1) was strongly reduced, indicating a drastic internal structural change in the kaolinite layers and the formation of reactive silica and alumina groups [27,33,59,60]. In the FTIR spectra of ground samples where α = 0.9, the broadened and weak vibrational bands of the Al-OH, Si-O and Al-O-Si bonds of kaolinite are still present. The raw TR sample has three broad characteristic bands (450, 800 and 1050 cm−1), which are characteristic of the main glassy phase and similar to the vibrational bands of quartz glass [61].
Samples treated by the intensive MCA were analyzed with the ICP-OES technique to determine the changes of the Fe content, and to characterize the abrasion of the grinding media and jar. The determined Fe contents are presented in Figure 11.
Figure 11.
The Fe content of the unground and ground samples.
Generally, it can be established that the Fe content of the ground samples is slightly higher than that of the unground sample (75ZK). A larger amount of Fe contamination (~100 µg/g) of ground samples was obtained at 330 rpm (up to 75 min of grinding) than at 380 rpm (up to 20 min of grinding). This means that the Fe contamination of the MCA can be reduced by a higher rotational speed. This is probably due to the fact that a shorter grinding time is required to achieve the same amorphization degree because of the higher number of collisions. At a rotational speed of 330 rpm, there was almost no change in the Fe content, while the degree of amorphization increased from 0.9 to 1.
3.4. Specific Energy Demand of the Mechanochemical Activation
A correct assessment of the effect of the grinding parameters on the efficiency of MCA requires an examination of the specific energy demand (per unit mass). In Figure 12, the specific energy demand of MCA with various grinding parameters is shown. According to Figure 12, the addition of 25 m% TR (11Z) can reduce the specific energy demand of the MCA of raw kaolin (41 Wh/g) by almost 50%. Thus, this relatively small amount of TR, acting as a grinding body, can significantly increase the efficiency of MCA. The application of steel grinding material (11S) instead of ZrO2 (11Z) reduced the specific energy demand of MCA by a further 10%. This is due to the fact that the higher density steel allows for the MCA of a larger amount of samples at the same BPR. The increase in the BPR from 11:1 (11S) to 14:1 (14S) did not cause a noteworthy reduction (2%) in the specific energy demand of the MCA. However, compared to the MCA with the same sample amount (11Z), the steel grinding material (14S) reduced the specific energy demand by 12%. This result can be explained by Equations (3) and (4), which indicate that the increase in the density of the grinding bodies raises the cumulative energy [57]; thus, it can reduce the specific energy demand of kaolinite amorphization. Afterwards, the application of the P5/4 planetary mill instead of the P6 one, using the 14S and 330_P5/4 MCA with the same amorphization rate constant (k), can further reduce the specific energy demand by about 10% (4 Wh/g). As the energy uptake of the mill is primarily dependent on the rotational speed of the main disk [31], this reduction is due to the increase in the i value from 1.82 to 2.19 (Equations (1)–(4)). At the same time, the increase in the rotational speed from 330 rpm to 380 rpm caused only a 3% (1.4 Wh/g) reduction in the specific energy demand of the MCA. Since the agglomeration reduces the SSA value (and chemical reactivity) of the sample activated at 380 rpm compared to that of the sample activated at 330 rpm, the use of 380 rpm is not recommended for the MCA of kaolin. As in our previous study [28], a higher pozzolanic reactivity was obtained with the incompletely amorphized (α = 0.9) samples than the completely amorphized (α = 1) ones; the specific energy demand of these samples is also examined in Figure 12 (75ZK = 0.9). The specific energy demand at 0.9 degrees of amorphization is less than half that at 1.0 degrees of amorphization. Consequently, if the MCA of kaolin is performed with the addition of 25 m% of TR, steel grinding bodies and jar, 14:1 BPR, the P5/4 planetary mill, 330 rpm, as well as 0.9 degrees of amorphization, the specific energy demand can be decreased by 94% (from 41 Wh/g to 2.6 Wh/g).
Figure 12.
Specific energy demands of the different MCAs.
4. Conclusions
This study examined the effect of TR addition, grinding material, BPR, mill type, and rotational speed on the mechanochemical amorphization, the morphological changes and the specific energy demand of MCA of kaolin. The following main conclusions can be established from the research:
- The addition of 25 m% of TR doubled the amorphization rate of kaolinite and halved the specific energy demand of the MCA. This was due to the fact that the TR grains, acting as grinding bodies, accelerate and enhance the MCA of kaolinite.
- The replacement of ZrO2 material with steel has almost no effect on the kinetics of the amorphization of kaolinite. However, with the same specific energy demand, steel grinding bodies can mechanochemically activate 30% more samples than ZrO2 ones.
- The higher BPR favorably accelerated the amorphization of kaolinite during MCA. Nevertheless, with increasing BPR, the increase in amorphization rate and the decrease in the specific energy demand of the MCA became less noticeable.
- Using the P5/4 planetary mill instead of the P6 one with an increased i value, the rotational speed, and the specific energy demand of the same degree of amorphization could be significantly reduced. Furthermore, it is also important to emphasize that the calculation of the cumulative impact energy allowed for the true determination of the amorphization rate of kaolinite with precise knowledge of the device parameters.
- A higher rotational speed accelerated the amorphization of kaolinite, slightly reduced the specific energy demand of MCA, and increased the rate of agglomeration.
- The following parameters were found to be optimal: steel grinding bodies and jars, BPR equal to 14:1, the Pulverisette 5/4 planetary mill and a rotational speed equal to 330 rpm. The MCAs with these parameters resulted in the least agglomerated sample with a high degree of amorphization (α = 0.9) and the lowest specific energy demand.
Author Contributions
Conceptualization, C.Ő. and É.M.; methodology, C.Ő.; software, C.Ő.; validation, C.Ő. and É.M.; formal analysis, C.Ő.; investigation, C.Ő.; data curation, C.Ő.; writing—original draft preparation, C.Ő. and É.M.; writing—review and editing, C.Ő. and É.M.; visualization, C.Ő.; supervision, É.M. All authors have read and agreed to the published version of the manuscript.
Funding
This research received no external funding.
Data Availability Statement
The data presented in this study are available on request from the corresponding author.
Acknowledgments
Supported by the ÚNKP-22-3 New National Excellence Program of the Ministry for Culture and Innovation from the National Research, Development, and Innovation Fund.
Conflicts of Interest
The authors declare no conflict of interest.
References
- Sabir, B.B.; Wild, S.; Bai, J. Metakaolin and Calcined Clays as Pozzolans for Concrete: A Review. Cem. Concr. Compos. 2001, 23, 441–454. [Google Scholar] [CrossRef]
- Siddique, R.; Klaus, J. Influence of Metakaolin on the Properties of Mortar and Concrete: A Review. Appl. Clay Sci. 2009, 43, 392–400. [Google Scholar] [CrossRef]
- Schneider, M.; Romer, M.; Tschudin, M.; Bolio, H. Sustainable Cement Production—Present and Future. Cem. Concr. Res. 2011, 41, 642–650. [Google Scholar] [CrossRef]
- Black, L. Low Clinker Cement as a Sustainable Construction Material. In Sustainability of Construction Materials; Elsevier: Amsterdam, The Netherlands, 2016; pp. 415–457. ISBN 978-0-08-100995-6. [Google Scholar]
- Duchesne, J. Alternative Supplementary Cementitious Materials for Sustainable Concrete Structures: A Review on Characterization and Properties. Waste Biomass Valorization 2021, 12, 1219–1236. [Google Scholar] [CrossRef]
- Papadakis, V.G. Effect of Fly Ash on Portland Cement Systems Part I. Low-Calcium Fly Ash. Cem. Concr. Res. 1999, 29, 1727–1736. [Google Scholar] [CrossRef]
- Ghrici, M.; Kenai, S.; Said-Mansour, M. Mechanical Properties and Durability of Mortar and Concrete Containing Natural Pozzolana and Limestone Blended Cements. Cem. Concr. Compos. 2007, 29, 542–549. [Google Scholar] [CrossRef]
- Teng, S.; Lim, T.Y.D.; Sabet Divsholi, B. Durability and Mechanical Properties of High Strength Concrete Incorporating Ultra Fine Ground Granulated Blast-Furnace Slag. Constr. Build. Mater. 2013, 40, 875–881. [Google Scholar] [CrossRef]
- Scrivener, K.L. Options for the Future of Cement. Indian Concr. J. 2014, 88, 11–21. [Google Scholar]
- Juenger, M.C.G.; Snellings, R.; Bernal, S.A. Supplementary Cementitious Materials: New Sources, Characterization, and Performance Insights. Cem. Concr. Res. 2019, 122, 257–273. [Google Scholar] [CrossRef]
- McCarthy, M.J.; Robl, T.; Csetenyi, L.J. Recovery, Processing, and Usage of Wet-Stored Fly Ash. In Coal Combustion Products (CCP’s); Elsevier: Amsterdam, The Netherlands, 2017; pp. 343–367. ISBN 978-0-08-100945-1. [Google Scholar]
- Habert, G.; Miller, S.A.; John, V.M.; Provis, J.L.; Favier, A.; Horvath, A.; Scrivener, K.L. Environmental Impacts and Decarbonization Strategies in the Cement and Concrete Industries. Nat. Rev. Earth Environ. 2020, 1, 559–573. [Google Scholar] [CrossRef]
- Ghasemi, A.; Soleimani Amiri, S.; Habibnejad Korayem, A.; Mirvalad, S. Investigating the Potential of Trass-Cement Binary Blend for Enhancing Microscopic Properties, Macroscopic Performance, and Sustainability of Cement Paste. Constr. Build. Mater. 2022, 354, 129145. [Google Scholar] [CrossRef]
- Brinkman, L.; Miller, S.A. Environmental Impacts and Environmental Justice Implications of Supplementary Cementitious Materials for Use in Concrete. Environ. Res. Infrastruct. Sustain. 2021, 1, 025003. [Google Scholar] [CrossRef]
- Ramezanianpour, A.A. Cement Replacement Materials: Properties, Durability, Sustainability; Springer Geochemistry/Mineralogy; Springer: Berlin/Heidelberg, Germany, 2014; ISBN 978-3-642-36720-5. [Google Scholar]
- Scrivener, K.L.; John, V.M.; Gartner, E.M. Eco-Efficient Cements: Potential Economically Viable Solutions for a Low-CO2 Cement-Based Materials Industry. Cem. Concr. Res. 2018, 114, 2–26. [Google Scholar] [CrossRef]
- Ababneh, A.; Matalkah, F.; Aqel, R. Synthesis of Kaolin-Based Alkali-Activated Cement: Carbon Footprint, Cost and Energy Assessment. J. Mater. Res. Technol. 2020, 9, 8367–8378. [Google Scholar] [CrossRef]
- Kelly, W.P.; Jenny, H. The Relation of Crystal Structure to Base Exchange and Its Bearing on Base Exchange in Soils. Soil Sci. 1936, 41, 367–382. [Google Scholar] [CrossRef]
- Juhász, A.Z.; Opoczky, L. Mechanical Activation of Minerals by Grinding: Pulverizing and Morphology of Particles; Ellis Horwood Series in Mining and Mineral Resources Engineering; Ellis Horwood: Chichester, UK, 1990; ISBN 978-0-470-21518-0. [Google Scholar]
- Carmody, O.; Kristóf, J.; Frost, R.L.; Makó, É.; Kloprogge, J.T.; Kokot, S. A Spectroscopic Study of Mechanochemically Activated Kaolinite with the Aid of Chemometrics. J. Colloid Interface Sci. 2005, 287, 43–56. [Google Scholar] [CrossRef]
- Valášková, M.; Barabaszová, K.; Hundáková, M.; Ritz, M.; Plevová, E. Effects of Brief Milling and Acid Treatment on Two Ordered and Disordered Kaolinite Structures. Appl. Clay Sci. 2011, 54, 70–76. [Google Scholar] [CrossRef]
- Hamzaoui, R.; Bouchenafa, O.; Maaouia, O.B.; Guessasma, S. Introduction of Milled Kaolinite Obtained by Mechanosynthesis to Cement Mixture for the Production of Mortar: Study of Mechanical Performance of Modified Mortar. Powder Technol. 2019, 355, 340–348. [Google Scholar] [CrossRef]
- Gonzalez Garcia, F.; Ruiz Abrio, M.T.; Gonzalez Rodriguez, M. Effects of Dry Grinding on Two Kaolins of Different Degrees of Crystallinity. Clay Miner. 1991, 26, 549–565. [Google Scholar] [CrossRef]
- Makó, É.; Frost, R.L.; Kristóf, J.; Horváth, E. The Effect of Quartz Content on the Mechanochemical Activation of Kaolinite. J. Colloid Interface Sci. 2001, 244, 359–364. [Google Scholar] [CrossRef]
- Frost, R.L.; Makó, É.; Kristóf, J.; Kloprogge, J.T. Modification of Kaolinite Surfaces through Mechanochemical Treatment—A Mid-IR and near-IR Spectroscopic Study. Spectrochim. Acta. A Mol. Biomol. Spectrosc. 2002, 58, 2849–2859. [Google Scholar] [CrossRef] [PubMed]
- Horváth, E.; Frost, R.L.; Makó, É.; Kristóf, J.; Cseh, T. Thermal Treatment of Mechanochemically Activated Kaolinite. Thermochim. Acta 2003, 404, 227–234. [Google Scholar] [CrossRef]
- Souri, A.; Kazemi-Kamyab, H.; Snellings, R.; Naghizadeh, R.; Golestani-Fard, F.; Scrivener, K. Pozzolanic Activity of Mechanochemically and Thermally Activated Kaolins in Cement. Cem. Concr. Res. 2015, 77, 47–59. [Google Scholar] [CrossRef]
- Mañosa, J.; La Rosa, J.C.; Silvello, A.; Maldonado-Alameda, A.; Chimenos, J.M. Kaolinite Structural Modifications Induced by Mechanical Activation. Appl. Clay Sci. 2023, 238, 106918. [Google Scholar] [CrossRef]
- Fitos, M.; Badogiannis, E.G.; Tsivilis, S.G.; Perraki, M. Pozzolanic Activity of Thermally and Mechanically Treated Kaolins of Hydrothermal Origin. Appl. Clay Sci. 2015, 116–117, 182–192. [Google Scholar] [CrossRef]
- Mañosa, J.; Gómez-Carrera, A.M.; Svobodova-Sedlackova, A.; Maldonado-Alameda, A.; Fernández-Jiménez, A.; Chimenos, J.M. Potential Reactivity Assessment of Mechanically Activated Kaolin as Alternative Cement Precursor. Appl. Clay Sci. 2022, 228, 106648. [Google Scholar] [CrossRef]
- Kása, E.; Szabados, M.; Baán, K.; Kónya, Z.; Kukovecz, Á.; Kutus, B.; Pálinkó, I.; Sipos, P. The Dissolution Kinetics of Raw and Mechanochemically Treated Kaolinites in Industrial Spent Liquor—The Effect of the Physico-Chemical Properties of the Solids. Appl. Clay Sci. 2021, 203, 105994. [Google Scholar] [CrossRef]
- Kása, E.; Baán, K.; Kása, Z.; Kónya, Z.; Kukovecz, Á.; Pálinkó, I.; Sipos, P.; Szabados, M. The Effect of Mechanical and Thermal Treatments on the Dissolution Kinetics of Kaolinite in Alkaline Sodium Aluminate Solution under Conditions Typical to Bayer Desilication. Appl. Clay Sci. 2022, 229, 106671. [Google Scholar] [CrossRef]
- Makó, É.; Őze, C. The Effects of Silica Fume and Diatomaceous Earth on the Mechanochemical Activation and Pozzolanic Activity of Kaolin. Appl. Clay Sci. 2022, 228, 106636. [Google Scholar] [CrossRef]
- Suryanarayana, C. Mechanical Alloying and Milling. Prog. Mater. Sci. 2001, 46, 1–184. [Google Scholar] [CrossRef]
- Mucsi, G. Fast Test Method for the Determination of the Grindability of Fine Materials. Chem. Eng. Res. Des. 2008, 86, 395–400. [Google Scholar] [CrossRef]
- Schlem, R.; Burmeister, C.F.; Michalowski, P.; Ohno, S.; Dewald, G.F.; Kwade, A.; Zeier, W.G. Energy Storage Materials for Solid-State Batteries: Design by Mechanochemistry. Adv. Energy Mater. 2021, 11, 2101022. [Google Scholar] [CrossRef]
- Urakaev, F.K.; Boldyrev, V.V. Mechanism and Kinetics of Mechanochemical Processes in Comminuting Devices 1. Theory. Powder Technol. 2000, 107, 93–107. [Google Scholar] [CrossRef]
- Urakaev, F.K.; Boldyrev, V.V. Mechanism and Kinetics of Mechanochemical Processes in Comminuting Devices 2. Applications of the Theory. Experiment. Powder Technol. 2000, 107, 197–206. [Google Scholar] [CrossRef]
- Tole, I.; Delogu, F.; Qoku, E.; Habermehl-Cwirzen, K.; Cwirzen, A. Enhancement of the Pozzolanic Activity of Natural Clays by Mechanochemical Activation. Constr. Build. Mater. 2022, 352, 128739. [Google Scholar] [CrossRef]
- Burgio, N.; Iasonna, A.; Magini, M.; Martelli, S.; Padella, F. Mechanical Alloying of the Fe−Zr System. Correlation between Input Energy and End Products. Il Nuovo Cimento D 1991, 13, 459–476. [Google Scholar] [CrossRef]
- Martinez-Garcia, A.; Navarro-Mtz, A.K.; Neun, C.; Bayarjargal, L.; Morgenroth, W.; Lopez-Vazquez, E.; Avalos-Borja, M.; Winkler, B.; Juarez-Arellano, E.A. Effect of Ball to Powder Ratio on the Mechanosynthesis of Re2C and Its Compressibility. J. Alloys Compd. 2019, 810, 151867. [Google Scholar] [CrossRef]
- Kakuk, G.; Zsoldos, I.; Csanády, Á.; Oldal, I. Contributions To The Modelling Of The Milling Process in Planetary Ball Mill. Rev. Adv. Mater. Sci. 2009, 22, 21–38. [Google Scholar]
- Hinckley, D.N. Variability in “Crystallinity” Values among the Kaolin Deposits of the Coastal Plain of Georgia and South Carolina. Clay Clay Miner. 1963, 11, 229–235. [Google Scholar] [CrossRef]
- Juhász, A.Z. Aspects of Mechanochemical Activation in Terms of Comminution Theory. Colloids Surf. Physicochem. Eng. Asp. 1998, 141, 449–462. [Google Scholar] [CrossRef]
- Sánchez-Soto, P.J.; Carmen Jiménez De Haro, M.; Pérez-Maqueda, L.A.; Varona, I.; Pérez-Rodríguez, J.L. Effects of Dry Grinding on the Structural Changes of Kaolinite Powders. J. Am. Ceram. Soc. 2004, 83, 1649–1657. [Google Scholar] [CrossRef]
- Frost, R.L.; Horváth, E.; Makó, É.; Kristóf, J. Modification of Low- and High-Defect Kaolinite Surfaces: Implications for Kaolinite Mineral Processing. J. Colloid Interface Sci. 2004, 270, 337–346. [Google Scholar] [CrossRef]
- Vizcayno, C.; De Gutiérrez, R.M.; Castello, R.; Rodriguez, E.; Guerrero, C.E. Pozzolan Obtained by Mechanochemical and Thermal Treatments of Kaolin. Appl. Clay Sci. 2010, 49, 405–413. [Google Scholar] [CrossRef]
- Ilić, B.; Radonjanin, V.; Malešev, M.; Zdujić, M.; Mitrović, A. Effects of Mechanical and Thermal Activation on Pozzolanic Activity of Kaolin Containing Mica. Appl. Clay Sci. 2016, 123, 173–181. [Google Scholar] [CrossRef]
- Balczár, I.; Korim, T.; Kovács, A.; Makó, É. Mechanochemical and Thermal Activation of Kaolin for Manufacturing Geopolymer Mortars—Comparative Study. Ceram. Int. 2016, 42, 15367–15375. [Google Scholar] [CrossRef]
- Miller, J.G. Prototropy in Kaolinite During Percussive Grinding. Clays Clay Miner. 1970, 18, 313–323. [Google Scholar] [CrossRef]
- Aglietti, E.F.; Porto Lopez, J.M.; Pereira, E. Mechanochemical Effects in Kaolinite Grinding. I. Textural and Physicochemical Aspects. Int. J. Miner. Process. 1986, 16, 125–133. [Google Scholar] [CrossRef]
- Baláž, P.; Achimovičová, M.; Baláž, M.; Billik, P.; Cherkezova-Zheleva, Z.; Criado, J.M.; Delogu, F.; Dutková, E.; Gaffet, E.; Gotor, F.J.; et al. Hallmarks of Mechanochemistry: From Nanoparticles to Technology. Chem. Soc. Rev. 2013, 42, 7571. [Google Scholar] [CrossRef]
- Ondruška, J.; Csáki, Š.; Trnovcová, V.; Štubňa, I.; Lukáč, F.; Pokorný, J.; Vozár, L.; Dobroň, P. Influence of Mechanical Activation on DC Conductivity of Kaolin. Appl. Clay Sci. 2018, 154, 36–42. [Google Scholar] [CrossRef]
- Khawam, A.; Flanagan, D.R. Solid-State Kinetic Models: Basics and Mathematical Fundamentals. J. Phys. Chem. B 2006, 110, 17315–17328. [Google Scholar] [CrossRef]
- Ashrafizadeh, H.; Ashrafizaadeh, M. Influence of Processing Parameters on Grinding Mechanism in Planetary Mill by Employing Discrete Element Method. Adv. Powder Technol. 2012, 23, 708–716. [Google Scholar] [CrossRef]
- Tole, I.; Habermehl-Cwirzen, K.; Rajczakowska, M.; Cwirzen, A. Activation of a Raw Clay by Mechanochemical Process—Effects of Various Parameters on the Process Efficiency and Cementitious Properties. Materials 2018, 11, 1860. [Google Scholar] [CrossRef] [PubMed]
- Makó, É.; Kristóf, J.; Horváth, E.; Vágvölgyi, V. Kaolinite–Urea Complexes Obtained by Mechanochemical and Aqueous Suspension Techniques—A Comparative Study. J. Colloid Interface Sci. 2009, 330, 367–373. [Google Scholar] [CrossRef] [PubMed]
- Kristóf, É. The Effect of Mechanical Treatment on the Crystal Structure and Thermal Behavior of Kaolinite. Clays Clay Miner. 1993, 41, 608–612. [Google Scholar] [CrossRef]
- Frost, R.L.; Makó, É.; Kristóf, J.; Horváth, E.; Kloprogge, J.T. Mechanochemical Treatment of Kaolinite. J. Colloid Interface Sci. 2001, 239, 458–466. [Google Scholar] [CrossRef]
- Kloprogge, J. Spectroscopic Methods in the Study of Kaolin Minerals and Their Modifications; Springer Mineralogy; Springer International Publishing: Cham, Switzerland, 2019; ISBN 978-3-030-02371-3. [Google Scholar]
- Farmer, V.C. The Infrared Spectra of Minerals; Mineralogical Society of Great Britain and Ireland: London, UK, 1974; Volume 4, ISBN 978-0-903056-53-3. [Google Scholar]
Disclaimer/Publisher’s Note: The statements, opinions and data contained in all publications are solely those of the individual author(s) and contributor(s) and not of MDPI and/or the editor(s). MDPI and/or the editor(s) disclaim responsibility for any injury to people or property resulting from any ideas, methods, instructions or products referred to in the content. |
© 2023 by the authors. Licensee MDPI, Basel, Switzerland. This article is an open access article distributed under the terms and conditions of the Creative Commons Attribution (CC BY) license (https://creativecommons.org/licenses/by/4.0/).














