Abstract
This article describes the characteristics of gold–sulfide–quartz and gold–sulfide (gold–arsenic) ore occurrences in the Manitanyrd region of the Polar Urals. Ore occurrences are confined to NE-trending shear zones and have the common features of a geological structure. The host rocks are metamorphosed volcanic and volcanic–sedimentary rocks. We analyzed the mineral and chemical composition of the ore mineralization in all studied ore occurrences, showing that they belong to the same mineral type—pyrite–arsenopyrite, with a variable ratio of the main minerals. Arsenic pyrite is present in all ore occurrences. Two stages of ore formation were distinguished: early gold–pyrite–arsenopyrite with finely dispersed gold and late gold–galena–chalcopyrite–sphalerite with coarse gold, fahlore, and sulfosalts Pb, Cu, Bi, Sb. Native gold of the first generation, finely dispersed in arsenopyrite and pyrite, had an average to high fineness (800‰–1000‰) with a relatively low dispersion. Native gold of the second generation was larger, and its fineness in ore occurrences varied; in one of them, it varied from 300‰ to 950‰, while in others, it varied from 800‰ to 950‰. The isotope composition of sulfur in sulfides (δ34S) ranged between −0.2‰ and −8.0‰. δ34S values of sulfides in the range of −0.2‰ to −3.5‰ were similar to meteorite, indicating the participation of a single deep magmatic source of sulfur in the ore formation. According to the study of fluid inclusions, the formation of ore quartz veins occurs in the temperature range of 467–109 °C. The similarity of the geological–structural, mineralogical–geochemical, and isotope–geochemical features of the gold–sulfide–quartz and gold–sulfide occurrences in the area suggest their formation in a single hydrothermal system.
1. Introduction
Gold deposits are widely developed in the various ore provinces of the world. In the literature, a significant proportion of hydrothermal vein gold deposits are classified as orogenic in metamorphic terranes, and they display large variations in their mineralization age and style [1,2,3,4,5]. A feature of the mineral composition of these deposits is the constant presence of pyrite and arsenopyrite in varying proportions. Arsenopyrite is the most common sulfide mineral in metasedimentary country rocks, while pyrite or pyrrhotite is more typical of metamorphosed igneous rocks [1,2]. According to [6,7,8], hydrothermal gold deposits are subdivided into gold–quartz, gold–sulfide–quartz, and gold–quartz–sulfide formations. The gold–quartz–sulfide formation is characterized by a high content of sulfides (>15%), with the gold–arsenic subformation standing out. The typical features of the gold–arsenic deposits are (1) a predominance of arsenopyrite or pyrite in ores; (2) a predominant connection between gold and sulfides, with finely dispersed “invisible” gold in ores; (3) a high positive correlation between gold and arsenic; (4) refractory arsenic primary ores [9,10]. In Russia, this type includes bulk mineable gold deposits such as Olimpiada, Mayskoe, Nezhdaninskoe, and Kyuchyus [8,11,12,13,14,15,16]. Gold–arsenic deposits occur in various rocks, such as carbon-bearing terrigenous rocks and carbonate–terrigenous suites of different ages and formation categories, metamorphosed under conditions of low (not higher than greenschist) facies of regional metamorphism, which are less common in igneous rocks of basalt–andesite–dacite formation [8,17,18]. Typical of such deposits is a paragenetic relationship with minor intrusions of variegated composition and a considerable distance from large granitoid intrusions. Zones of shear, stratification, cleavage, cutting folds, and areas of injection in the crest parts of the folds serve as ore-hosting structures of gold–arsenic–sulfide deposits. Ore bodies, represented by mineralized zones and deposits, have different forms, subject to the elements of lithological and structural control. Gold is distributed rather evenly in ore bodies with relatively moderate mean contents [8].
Gold ore occurrences of the Manitanyrd region belong to the gold–sulfide–quartz and gold–sulfide formations. Their increased content of arsenopyrite allows us to consider them as gold–arsenic–sulfide. A feature of the geological structure of gold manifestations in this area is their localization in volcanogenic and volcanogenic–sedimentary rocks.
The Manitanyrd gold mining area is located on the western slope of the Polar Urals, within the Manitanyrd ridge. Studies of ore mineralization in this region started in the 1960s when the first gold–sulfide–quartz deposit, Verkhniayuskoye-2, along with several closely spaced gold–sulfide occurrences, were discovered. According to exploration data, the reserves of the Verkhniayuskoye-2 deposit amounted to 3.4 tons of gold (up to 4.8 g/t) and 10.9 tons of silver; it was recognized as small, with refractory pyrite–arsenopyrite ores, and unpromising. No further exploration was carried out, although boreholes traced mineralization to a depth of 240 m without signs of wedging out, and with a high gold grade (approximately 14 g/t), i.e., there were prospects for increasing gold reserves at depth, as well as on the flanks of the deposit. As a result of subsequent prospecting and revision works (1988–2009), two more new occurrences of gold and numerous points with signs of gold mineralization were discovered in the area [19]. At present, the Manitanyrd region is considered one of the industrially promising gold-bearing regions in the north of the Urals.
Gold ore occurrences of the Manitanyrd region belong to the gold–sulfide–quartz and gold–sulfide (gold–arsenic) formation types and a gold–pyrite–arsenopyrite mineral type [19,20]. According to previous research [21], ore-grade gold mineralization in this region is polygenetic and polychronous. Early pyrite–arsenopyrite mineralization with finely dispersed gold, accompanied by propylitic alteration, is typical of mesothermal Au–Ag deposits and was formed during the Riphaean age. Late ore-grade mineralization (sphalerite + galena + native gold), confined to beresites, listvenites, and quartz–sericitic metasomatites, is shallow in depth and is likely to be related to the Late Paleozoic collision processes in the Urals. It is assumed that there is a deep-seated source of the substance of gold occurrences in the Manitanyrd region. It is reasonable that the Verkhneniyayuskoye-2 deposit, most thoroughly studied by the data of mineralogical studies, has two prominent stages of ore formation: gold–pyrite–arsenopyrite and gold–chalcopyrite–galena–sphalerite, separated by the period of cataclasis of the primary ores [22].
A basic understanding of the polygenetic and polychronic nature of the ore-grade gold mineralization in the Manitanyrd region is based on geological, structural, textural, mineralogical, and geochemical data and a few determinations of the absolute age of the associated metasomatites.
To date, the gold ore occurrences of the Manitanyrd region have been studied in various degrees of detail. This study reports on new mineralogical and geochemical data—data on the fluid inclusions and sulfur isotopes of the gold–sulfide mineralization of the area in order to decipher the characteristics of ore-forming fluids and to ultimately determine the sources of the substances.
2. Geology of the Area
2.1. Regional Geological Setting
In the tectonic structure of both the Polar Urals and the entire Urals, the Manitanyrd ridge is positioned in the meridionally elongated West Uralian folded zone, involving the shallow- and deep-water sediments of the Paleozoic continent margin [23]. It constitutes the autochthone in the form of the Manitanyrd anticlinorium, a compound anticline fold, northwestwardly overturned with a predominant southwestward dip of the axial planes at a 60–75° angle [24]. The structure is northeasterly oriented. An anticlinal core is built by the Upper Riphaean and Vendian rocks of the Bedamel series, and the Enganepe suite wings by the Vendian–Cambrian deposits of the Manitanyrd series (Figure 1).
Figure 1.
The geological structure and location of gold ore occurrences in the Manitanyrd region (modified from [20]). 1, Quaternary deposits; 2, undivided Manitanyrd series (Upper Cambrian–Lower Ordovician); 3, Enganepe suite (Upper Vendian–Lower Cambrian); 4, undivided Bedamel series (Upper Riphean–Vendian). Intrusions: 5, Lekvozhsky complex: olivine gabbro, dolerites and picrodolerites; 6, Kyzygeiskii complex: diorites, granodiorites, and plagiogranites; 7, Lower Bedamel complex: gabbro and gabbro–dolerites; 8, Niyayu complex: diorites, granodiorites, and plagiogranites; 9, Enganepe complex: serpentinites, apoperidotite, and apopyroxenite; 10, overthrust nappes; 11, faults: a—proved, b—probable; 12, Niyayu ore zone; 13, gold ore deposits (a) and occurrences (b); 14, placer gold occurrences.
The Bedamel series is undivided (R3–V2bd). In the deeper section, it is composed of basalts, andesite–basalts, andesites, trachybasalts and their clastolavas and lava breccias, dacites and their tuffs, and tuff–conglomerates and tuff–gritrock. The upper section contains acidic lavas, their clastolavas, and tuffs [24]. The series thickness is 2000–2700 m.
The Enganepe suite (V2–Є1en) is characterized by rough interbedding of medium- and course-grained sandstones, tuff sandstones, and tuff–conglomerates (coarse-grained arenaceous flysch or molasse). The suite thickness is 1200–1500 m.
The Manitanyrd series (Є–O1mnt), with angular unconformity, superposes the erosional surface of the Bedamel series and Enganepe suite rocks. It is formed by conglomerates, metaquartzites, and siltstones. The series thickness varies greatly from 500 to 800 m.
The volcanites of the Bedamel series are considered to have been formed during the development of the island arc that, perhaps, had not undergone the final stages of its evolution [24]. The lower age limit of this series is unknown, while the upper limit is identified by the age of the latest geological relationships between the subvolcanic and extrusive rhyolites of the upper part of the series—555–547 Ma [25].
The intrusive rocks in the Manitanyrd region were developed in a minor way (Figure 1). Most numerous are the small bodies and dikes of gabbro and dolerites of the Lower Ordovician Lekvozhsky complex (476 ± 61 Ma [24]). Generally, they are northeasterly elongated, in line with the predominant extension of geological structures. Minor intrusions have been found of serpentized picrites, granodiorites, gabbro, and gabbro–dolerites of the Late Riphean age and quartz diorites of the Vendian age (Figure 1).
The central part of the region is characterized by large, mostly NE-trending faults, which probably occurred in the pre-Ordovician, with subsequent renewal in the Ordovician and at a later time. These faults are confined to the bodies of gabbro and gabbro–dolerites, zones of intense schist-forming and crushing of rocks, and their metasomatic alterations (sericitization, chloritization, and epidotization).
All rocks of the region underwent regional metamorphism of greenschist facies. Commonly developed are hydrothermal quartz, sulfide–quartz, quartz–carbonate, quartz–chlorite, quartz–tremolite, and quartz–epidote veins and veinlets, mostly filling NE-trending cracks, oriented in conformity with the schistosity of the rocks. The veins have a lenticular, slab-shaped form with a thickness that varies from a few centimeters to 20–30 cm. Thus, lode gold mineralization, barren quartz veins, and veinlet-disseminated mineralization in the host rocks are present in the area.
2.2. Ore Deposit Geology
All of the examined gold ore occurrences in the Manitanyrd region are located within the 4–5 km-wide northeast-trending Niyayu ore zone, extending for approximately 25 km [19]. Here, Niyahoyskoye-1 and -2, Yagodnoye, Verkhneniyayuskoye-1 and -2, and Verkhnelekeletskoye gold occurrences are positioned from northeast to southwest (Figure 1).
2.2.1. Verkhneniyayuskoye-2 Deposit
The Verkhneniyayuskoye-2 deposit is located in the central part of the Manitanyrd region and the Niyayu ore zone (Figure 1). Within the deposit area, effusive rocks have been found that have the principal composition of the Bedamel series—their tuffs, tuff sandstones, tuff siltstones, and orthoschists [21,26]. Four ore zones stand out in the deposit: Southern, Intermediate, Northern, and Polar, that are northeasterly elongated for 1200 m [19,21,22,27]. The ore zones are 4 to 6 m wide and are traceable downward to a depth of 240 m. The ore zones contain veins and veinlets of sulfide–quartz, quartz, and quartz–chlorite compositions. Quartz veins with sulfide mineralization incorporate lenses of massive sulfide ores with the highest gold content. The thickness of the ore veins is up to 0.2–0.5 m, while that of the veinlets is 4–5 cm. There are distinct boundaries between the veins and host rocks. In selvages, there are traces of slipping, with the intra-ore layers being schistosed and mylonitized. All of the veins are cataclased and often transformed into breccia. The ore bodies are oriented according to the schistosity of the rocks, which have a NE trend (35–50°) and a SE dip at 60–70° [21,26]. In terms of their mineral composition, the ores are classified as arsenopyrite + pyrite, pyrite + sphalerite + arsenopyrite, and sphalerite + arsenopyrite. In the upper part of the deposit, the ores are considerably oxidized.
All other ore occurrences (Niyahoyskoye-1, Niyahoyskoye-2, Yagodnoye, and Verkhneniyayuskoye-1) are confined to the posterior deposits of the Enganepe suite of the Late Vendian–Early Cambrian; tuff stones, tuff schists, and albite–sericite schists with rare interlayers of basic effusive rocks. Inherent in them is the development of gold-bearing vein zones and veinlet-disseminated sulfide mineralization in the host rocks.
2.2.2. Verkhneniyayuskoye-1 Occurrence
The Verkhneniyayuskoye-1 occurrence is 1.6 km northeast of the Verkhneniyayuskoye-2 deposit. The ore zone is northeasterly elongated as a narrow strip for 1.4 km. The ore mineralization is confined to zones of intense schistose rocks. The thickness of the veinlets varies from several millimeters to 10–15 cm. They occur as an echelon, in accordance with the host rocks, and form zones that are 2–3 m and, rarely, 8–10 m long. Mineralization has been traced by wells to a depth of 32 m. The ore veinlets have a NNE strike (15–20°) and a SE dip at 60–70° [21,26]. The ores in the upper part of the occurrence are also considerably oxidized. In addition to sulfide and quartz–sulfide veinlets, quartz and quartz–carbonate barren veins also occur conformably with the host rocks and are well represented throughout the ore occurrence.
2.2.3. Niyahoyskoye-2 Occurrence
The Niyahoyskoye-2 ore occurrence is located in the north–northeastern part of the Niyayu ore zone (Figure 1). It contains a stripe of mineralized rocks, extending along a NNE strike fault (20–30°) with a SE dip at 50–70°, and is confined to its lower plate near the eastern contact of the dike of dolerites [28]. The ore mineralization is penetrated by up to 122 m-deep wells and has been traced at 160 m with a mean thickness of approximately 14 m. The host tuff stones of the Enganepe suite within the ore zone are strongly cataclased and schistosed, with the hydrothermal alteration involving pyritization, silicification, chloritization, sericitization, and carbonatization. The ore mineralization is represented by quartz–sulfide and sulfide veins and veinlets, oriented according to the schistosity of the rocks. The length of the veins and veinlets reaches 1–3 m, with a thickness that varies from 1 to 30 cm. The ores are pyrite + arsenopyrite. There are also barren quartz, quartz–chlorite, and quartz–carbonate veins and veinlets. A feature of the occurrence is the wide development, along with lode ore veins, of the veinlets and disseminated gold-bearing mineralization.
2.2.4. Niyahoyskoye-1 Occurrence
The Niyahoyskoye-1 ore occurrence is positioned northeast of the Niyahoyskoye-2 occurrence. The ore mineralization is confined to the sites with the most intense deformities and schist formation in the fault zone and is controlled by a system of fine cracks. The host rocks, i.e., deposits of the Enganepe suite and dikes of gabbro–dolerites, are schistosity, and their hydrothermal alterations include silicification, carbonatization, sericitization, and chloritization. The gold-bearing veins are quartz–pyrite–arsenopyrite, which is concordant with the host rocks and cutting them. Barren quartz, quartz–chlorite, and quartz–epidote veins are well represented.
2.2.5. Verkhnelekeletskoye Occurrence
The Verkhnelekeletskoye ore occurrence is located in the SE part of the Niyayu ore zone (Figure 1). The ore occurrence is in the margin part of the dolerite dike of the Lekvozhsky complex and is 4–6 m thick. The ore zone constitutes a stripe of metasomatites of variable thickness (0.5–2 m) parallel to the dike contact, with disseminated sulfide mineralization, a lenticular quartz vein, and numerous veinlets, also containing sulfide (gold + arsenopyrite + pyrite) mineralization. The quartz vein has a maximum thickness of 40 cm and a length of approximately 5 m [29].
2.2.6. Yagodnoye Occurrence
The Yagodnoye ore occurrence is positioned in the northeastern part of the Niyayu ore zone between the Verkhneniyayuskoye-1 and Niyahoyskoye-2 occurrences (Figure 1). It constitutes a mineralized zone of schistosed, cataclased, and hydrothermally altered tuff stones and tuff siltstones extended along a NE-trending fault. On the surface, the zone thickness is approximately 20 m, increasing to a depth of 30 m. The ore mineralization is mostly represented by disseminated pyrite with a content that is no more than 1%. Single gold-bearing quartz–arsenopyrite veins (2–30 cm thick) have been identified. Quartz, quartz–carbonate, and epidote–quartz veins and veinlets with disseminated sulfides (pyrite, chalcopyrite, pyrrhotite, and, rarely, galena) are represented more extensively. Free native gold has been found in the mineralized zone rocks.
3. Materials and Methods
3.1. Sampling
This research study employed 150 specimens of rock, ore, and vein quartz collected in the course of field works from 1982 to 2009 in the Manitanyrd region, in the gold ore occurrences Verkhneniyayuskoye-1 (10), Verkhneniyayuskoye-2 (50), Niyahoyskoye-1 (10), Niyahoyskoye-2 (30), Yagodnoye (30), and Verkhnelekeletskoye (20). To examine the mineral composition of the ores and the chemical composition of the minerals, 2–4 polished sections, each from the most representative specimens, were used. A total of 60 polished sections were analyzed. Pure free gold separates were handpicked under a binocular microscope after crushing, followed by magnetic and heavy liquid separation. Then, 15 ore specimens from various ore occurrences were selected to determine the isotope composition of sulfur. Pure sulfide separates were handpicked under a binocular microscope after crushing, followed by magnetic and heavy liquid separation. These separates were then ground to an approximate 200 mesh in an agate mortar. To study the fluid inclusions, double-polished plates were made from the quartz specimens. More than 20 crystal plates were analyzed.
3.2. Methods
Most of the analytical studies were carried out in the Institute of Geology, Komi Research Center, Ural Branch of Russian Academy of Sciences (Syktyvkar, Russia), Centre of Isotope Studies of the All-Russian Geological Research Institute (Saint Petersburg, Russia), the Laboratory of Stable Isotopes of the Research Equipment Sharing Centre of the Far East Geological Institute of the Far-Eastern Division of Russian Academy of Sciences (Vladivostok, Russia), and, in part, the Institute of Geology and Mineralogy of the Siberian Branch of Russian Academy of Sciences (Novosibirsk, Russia).
The composition of the native gold and ore minerals in the polished sections and in the individual grains was studied using a JSM-6400 scanning electron microscope (JEOL Ltd., Tokyo, Japan) with a Microspec wave spectrometer, model WDX-400 (City, Microspec Corporation, Fremont, CA, USA), and a Link energy-dispersive spectrometer with the ISIS analysis program. The analytical conditions were as follows: accelerating voltage 20 kV, beam current 30 nA, beam diameter 2 μm, and live spectra acquisition time 30 s. The following X-ray lines were selected: Kα for Fe, Cu, Zn, As, and S; Lα for Ag; Mα for Pb, Bi, Au, Sb, and Hg. Pure metals (Fe, Cu, Zn, Ag, Au, Pb, Bi, and Sb) were used as the standards: FeS2 for Fe, PbS for S, InAs for As, and CdHgTe for Hg. The detection limits (wt.%) were: 0.1 Fe, 0.15 Cu, 0.25 Ag, Sb, 0.3 As, 0.6 Au, and 0.8 Hg. Part of the chemical analyses of the simple sulfides was performed on a Tescan Vega 3LMN scanning electron microscope (Tescan, Czech Republic) with an X-Max 50 energy dispersive spectrometer (Oxford Instruments, Oxford, UK). The following parameters were used: accelerating voltage 20 kV, beam current 15 nA, beam diameter up to 1 µm, and time to register the spectra of 600,000 counts. The following X-ray lines were selected: Kα for Fe, Cu, Zn, and S; Lα for Ag, Sb, and As; Mα for Pb, Au, Bi, and Hg. Determination error (wt.%): 0.15 Fe, 0.22 As, 0.14 S, 0.29 Cu, 0.69 Pb, 0.51 Bi, 0.2 Sb, 0.5 Au, 0.38 Ag, 0.43 Hg, and 0.2 Zn. Pure metals for Fe, Cu, Zn, Ag, Au, Pb, Bi, and Sb were used as the standards: FeS2 for Fe and S; PbTe for Pb; InAs for As; HgTe for Hg. The compositions of the fine gold particles (<10 µm) and sulfide microinclusions in pyrite and arsenopyrite were determined with a 190 nm point probe, but the size of the generation region of the X-ray emission in gold and sulfides with an electron beam energy 20 kV was up to 1 µm. Therefore, these analyses cannot be considered quantitative if the minimum size of the object under study is approximately 1 µm. Scanning electron microscopy was used to determine the textural and structural characteristics of the ores and the morphology of the minerals, with the resulting images in back-scattered electrons (BSEs).
The fluid inclusions in the quartz were studied in polished plates with a thickness of 200–300 µm. Homogenization and cryometry of the inclusions were partially carried out in a Linkam THMSG 600 thermal cryo-chamber mounted on an Olympus BX51 microscope (Institute of Geology and Mineralogy, Siberian Branch of the Russian Academy of Sciences, Novosibirsk), with the precision of the measurements being ±1 °C during heating and ±0.2 °C during freezing using a measurement range from −196 to 600 °C. Homogenization of the inclusions was also carried out on a commercial UMTK-3 setup mounted on an Amplival microscope (Carl Zeiss Jena, Germany) with a long-focus objective of 50x/0.50 BD (Institute of Geology, Komi Research Center, Ural Branch, Russian Academy of Sciences, Syktyvkar), a measurement error of ±2 °C, and a range of measurements from room temperature to 600 °C. The salt composition of the fluids in the inclusions was defined by the eutectic temperature of the liquid phase [30]. The salinity of the solutions in the inclusions was measured by the ice melting temperature [31]. The study of fluid inclusions and the interpretation of the obtained data were carried out on the basis of the criteria proposed by Roedder [32].
Isotope analysis of the sulfur in the sulfides was conducted on a Finnigan MAT 253 isotope mass spectrometer (ThermoFinnigan, Bremen, Germany) using the double-puffing system according to Grinenko’s methodology [33]. The sulfur isotope ratio is reported as the permil (‰) deviations of the international VCDT standard. The monomineral specimens of sulfides weighing 10 mg were analyzed. The accuracy of δ34S (2σ) was ±0.20‰.
4. Results
4.1. Mineral Composition of the Ores
The Niyayu ore zone (Figure 1) extends from the northeast to the southwest. In terms of structure, this is a zone of contiguous tectonic disturbances with a north–northeastern strike, characterized by excessive fracturing of the rocks, broadly developed zones of schistose and crushing rocks, and metasomatic alterations (chloritization, epidotization, silicification, and pyritization). All of the major gold occurrences are located within the Niyayu ore zone [19]. Gold–sulfide, gold–sulfide–quartz vein, and vein-disseminated mineralization are located in the pre-Ordovician volcanogenic and volcanogenic sedimentary rocks and are controlled by faults.
The small-scale Verkhneniyayuskoye-2 deposit and gold Niyahoyskoye-2 and Verkhnelekeletskoye occurrences are the most thoroughly studied. Mineralogical–geochemical and isotope–geochemical surveys have been undertaken in the Verkhneniyayuskoye-1, Niyahoyskoye-1, and Yagodnoye ore occurrences.
Verkhneniyayuskoye-2 deposit. Based on mineral composition, the Verkhneniyayuskoye-2 deposit ores were mostly arsenopyrite–pyrite. The textures of the ores were massive and banded (Figure 2a), disseminated, veinlet-disseminated, and taxitic. The content of the sulfides in the ore veins reached 50%. Along with pyrite and arsenopyrite, the ores contained pyrrhotite, pentlandite, sphalerite, galena, chalcopyrite, tetrahedrite and tennantite, cubanite, sternbergite, freibergite, aurostibite, electrum, kustelite, native bismuth, and minor supergene minerals (chalcocite, covellite, goethite, limonite, scorodite, and cerussite) [22].
Figure 2.
(a) Photo of the representative ore hand specimen Verkhneniyayuskoye-2 occurrence; (b) submicron inclusions of native gold in arsenopyrite; (c) native gold and sphalerite, developed along the cracks in arsenopyrite; (d) native gold and galena in pyrite; (e) native gold in chalcopyrite; (f) chalcopyrite, galena, and native gold, developed along the cracks in arsenopyrite; (g) aurostibite intergrown with native gold in arsenopyrite; (h) relationship between native bismuth and galena and sphalerite; (i) microinclusion of sulfosalt in pyrite. BSE images. Acronyms for minerals: Apy, arsenopyrite; Py, pyrite; Ccp, chalcopyrite; Sp, sphalerite; Gn, galena; Aur, aurostibite; Bis, native bismuth.
Pyrite was represented by cubic, pyritohedron-shaped, 1.5–2 mm-sized grains or crystals. Arsenopyrite was seen in up to 0.5 mm- and, in certain cases, 2 mm-sized individuals with columnar, short-columnar, or complex shapes. Arsenic (up to 3.3 wt.%) in pyrite and antimony (up to 3.2 wt.%) in arsenopyrite were sometimes found as impurities. Grains and aggregates of arsenopyrite and pyrite were quite often strongly cataclased, with inclusions of chalcopyrite, galena, sphalerite, and other sulfides, often confined to the cracks (Figure 2). Very typical was the replacement of pyrite with iron hydroxides and arsenopyrite with scorodite. Chalcopyrite, sphalerite, and galena were rather common; however, their content in the ores was lower than that of pyrite and arsenopyrite. Silver (up to 1.5 wt.%), bismuth, and thorium were sometimes found in small amounts in galena. Pyrrhotite, tetrahedrite, and tennantite were rarely observed. The tetrahedrite contained silver, whose content could be rather high (up to 15.4 wt.%), corresponding to the independent mineral phase freibergite.
Free gold was extracted by crushing the entire samples taken from sulfide-enriched sections of the veins and host rock. This native gold was predominantly small (less than 0.2 mm), though sometimes particles of up to 2–7 mm in diameter were found. The gold particles had a complex shape and were a yellow, greenish-yellow, or reddish-yellow color.
In the polished sections, gold could be seen as the smallest isolated isometric inclusions in arsenopyrite (Figure 2b), pyrite, and, rarely, chalcopyrite (Figure 2e). Such particles of gold were 1–5 µm in size. At the same time, of note were relatively large (up to 10–50 µm) particles with an elongated, irregular shape of late generation, located in the pyrite and arsenopyrite microcracks, often together with chalcopyrite, galena, and sphalerite (Figure 2c,d,f).
From the microprobe analysis results, Ag was the principal impurity in the native gold, with Hg observed. Submicron particles of gold, inherent in pyrite and arsenopyrite, usually have 8–10 wt.%, although sometimes 15–20 wt.%, of Ag (Table 1). The Ag content was generally higher in the native gold and was confined to the microcracks in the arsenopyrite and pyrite grains, being associated with galena, chalcopyrite, and sphalerite (Table 1). Occasionally, grains occurred, comprising more Ag than Au of up to 61 wt.%. Almost without exception, the native gold contained up to 3.6 wt.% of Hg. Cu impurity was observed rarely and in small amounts. The Ag content and other impurities within the gold particles varied to one extent or another. Sometimes, rims were noted with a relatively high content of Ag.
Table 1.
Chemical composition of gold from the Verkhneniayuskoye-2 gold deposit (wt.%).
A specific feature of the ores from this deposit was the presence of bismuth minerals and silver fahlores.
Niyahoyskoye-2 ore occurrence. In terms of mineral composition, the ores were substantially arsenopyrite with a subordinate amount of pyrite. The ores were massive and banded (Figure 3a). Their structures were small- and medium-grained with course-grained plots. The sulfide content reached 70% in the ore veins and veinlets, and 1%–2% in the host rocks. In the near-surface zone, the ores were considerably oxidized.
Figure 3.
(a) Photo of the representative ore hand specimen Niyahoyskoye-2 occurrence. Mineral assemblages: (b) crystal of As–pyrite with inclusions of gold and sphalerite; (c) galena, gold, and tetrahedrite in arsenopyrite; (d) gold in association with tetrahedrite; (e) association between gold and pyrite, arsenopyrite, scorodite, and oxysulfosalts Pb and Bi; (f) inclusion of sulfosalt in arsenopyrite. BSE images. Acronyms for minerals: Apy, arsenopyrite; Py, pyrite; Ttr, tetrahedrite; Sp, sphalerite; Gn, galena; Sk, scorodite; Kov, covellite; Slf, sulfosalt; Au, native gold.
It has been established that there was chalcopyrite, sphalerite, galena, tetrahedrite, aikinite, native bismuth, and supergene minerals—covellite, scorodite, and oxysulfosalts of lead with bismuth—in the composition of the ores, in association with arsenopyrite and pyrite [29]. Arsenopyrite formed continuous granular masses. Individual grains were elongated columnar or relatively isometric in shape. Most of the arsenopyrite grains were crushed due to cataclasis, with the formation of numerous small cracks across which scorodite had developed (Figure 3c). Pyrite occurred in a subordinate amount, distributed unevenly and forming single disseminations or accumulations of various shapes and sizes in the bulk of the arsenopyrite. Pyrite was represented by crystals of cubic or cuboctahedral shape (Figure 3b) or subhedral grains (Figure 3d,e). It often contained impurities of arsenic (up to 1.46 wt.% As). Pyrite and arsenopyrite often contained microinclusions of sphalerite, galena, tetrahedrite, and gold (Figure 3b,c). Chalcopyrite and tetrahedrite formed relatively large xenomorphic segregations of elongated or close-to-isometric shapes (Figure 3d). Sphalerite and galena occurred rarely, found only as microinclusions in arsenopyrite (or scorodite), pyrite, and quartz.
In close association with sulfides, few, usually 6–200 µm-sized elongated occurrences were rarely found in quartz, close in chemical composition to the sulfosalts of lead and copper with bismuth and antimony [29]. The analyzed occurrences of the sulfosalts had a variable composition with considerable variations in the content of principal elements. Inclusions of sulfosalts (2–10 µm in size) were often found in arsenopyrite and pyrite, forming isometric or elongated, single (Figure 3f), or grouped (cloud-like) occurrences. Due to the small sizes of the inclusions and a strong effect of the matrix of the host mineral (arsenopyrite or pyrite), it was difficult to precisely identify sulfosalts, though they were diagnosed by the set of elements (Pb, Cu, Bi, Sb, and S).
Free gold was found in the intergrowths with arsenopyrite and other sulfides (Figure 3d,e), often observed in the form of microinclusions in pyrite and arsenopyrite (Figure 3b,c). In terms of particle size distribution, the particles mostly qualified as finely dispersed and dust-like (0.001–0.05 mm) or extra fine and fine (0.05–1.00 mm). Medium-grained gold of up to 1.5 mm in size also occurred. The gold particles were plate-like, scaly, lumpy-shaped dendritoids, and also partially faceted crystals were found.
Ag and Hg were the major impurities in the gold. The Ag content varied from 7.11 to 22.61 wt.%. Hg was not always observed; its content amounted to 1.23–8 wt.%. The fineness of the gold varied from 643‰ to 898‰ (Table 2). Medium fineness gold prevailed. Analyzing the surface composition of the gold grains demonstrated that most of them had rims with a lower fineness (700‰–800‰), typical of ore gold. At the same time, some of the gold grains had rims with a high fineness (approximately 990‰), indicative of the effect of supergene processes.
Table 2.
Chemical composition of the native gold from the Niyahoyskoye-2 occurrence (wt.%).
Verkhnelekeletskoye ore occurrence. Based on mineral composition, the ores were essentially pyritic with a subordinate amount of arsenopyrite (Figure 4a). Sphalerite was the principal minor mineral (Figure 4b). Gold was found as submicron inclusions in pyrite, and less frequently in arsenopyrite (Figure 4c). Galena and chalcopyrite occurred only as microinclusions in pyrite and arsenopyrite (Figure 4d). Moreover, tetrahedrite and sulfosalt occurred as microinclusions (Figure 4e,f). Native gold was medium in fineness (816‰–847‰), with silver as the major impurity (Table 3). Thus, a galena + chalcopyrite + sphalerite association was weakly manifested, and, in addition to sphalerite, was represented by micromineralization in pyrite and/or arsenopyrite [29].
Figure 4.
(a) Photo of the representative ore hand specimen Verkhnelekeletskoye occurrence. (b) Structure of the ore and major mineral assemblages; (c) submicron gold inclusions in pyrite; (d) microinclusions of galena and chalcopyrite in pyrite; (e) inclusion of tetrahedrite in sphalerite; (f) submicron inclusions of sulfosalt and galena in arsenopyrite. BSE images. Acronyms for minerals: Qz, quartz; Apy, arsenopyrite; Py, pyrite; Sp, sphalerite; Gn, galena; Ccp, chalcopyrite; Slf, sulfosalt; Au, native gold.
Table 3.
Chemical composition of the native gold from the Verkhnelekeletskoye occurrence (wt.%).
Yagodnoye ore occurrence. This occurrence has been poorly studied in the past. Herein, pyrite was shown to be the major ore mineral. Its content in mineralized rocks was not more than 1%–2%. In a few ore veinlets, chalcopyrite, galena, and sphalerite were observed. Free native gold was identified at the ore occurrence, which was extracted from the host rocks and fully disintegrated into a clayish–micaceous mass. The gold grains were 0.1–0.25 mm-sized. The gold was of ore facies, crystallomorphic and complex in shape (Figure 5a,b). The fineness of the gold was 700‰–800‰, with Ag being the major impurity (Table 4). Microinclusions of gold in association with chalcopyrite were found in pyrite (Figure 5c). Due to the small sizes, it was difficult to identify the gold composition since the analysis results always incorporated the matrix elements (Fe and S). The computed fineness of the gold was 800‰–900‰.
Figure 5.
Photos showing the morphology of the free gold from the mineralized zone of the Yagodnoye ore occurrence: (a) crystallomorphic and lumpy; (b) complex shape; (c) microninclusion of gold and chalcopyrite in pyrite. BSE images. Acronyms for minerals: Py, pyrite; Ccp, chalcopyrite; Au, native gold.
Table 4.
Chemical composition of the native gold from the Yagodnoye occurrence (wt.%).
4.2. Fluid Inclusions
Fluid inclusions in quartz and calcite were studied in the Verkhniayuskoye-2 deposit. As mentioned above, two groups of veins had developed in the deposit: (1) quartz–sulfide and sulfide veins and veinlets with gold mineralization; (2) quartz, quartz–chlorite, quartz–calcite, and other barren veins and veinlets. Their relationship is not entirely clear since both of them were oriented according to the rock schistosity. The vein quartz was milky white, with subhedral quartz grains up to 0.5–1 mm in size. Quartz crystals were rare and filled the voids in the quartz veins. In the massive sulfide ores, quartz filled the interstices between the sulfide grains (Figure 2c) or formed small lenses. Calcite in the quartz veins was present in the form of nests. Specimens of quartz and calcite were taken from the quartz veins with gold–sulfide mineralization (herein called ore veins, ore quartz) and quartz veins with no ore mineralization (herein called barren veins, barren quartz). The study results are given in Table 5.
Table 5.
Microthermometric results of the fluid inclusions of the Verkhneniayuskoye-2 gold deposit.
Quartz. Primary, pseudosecondary, and secondary fluid inclusions were analyzed in the quartz. Primary inclusions were isolated or occurred in small groups within individual quartz grains, while pseudosecondary inclusions occurred in a trail inside the quartz grains. Meanwhile, secondary inclusions were located in trails cutting mineral boundaries. The inclusions were usually oval or irregular in shape, sometimes in the form of a negative crystal. Their size reached 80 µm but usually did not exceed 10 µm. The most typical ore and barren quartz comprised one-phase (L) aqueous inclusions of up to 30 µm in size (Figure 6a). Their abundance was over 90%. Biphase inclusions were encountered less frequently (Figure 6b). They consisted of two phases, a liquid aqueous phase and a vapor phase, where the vapor bubble occupied ≤ 5% of the volume of the inclusion. In the two phases, liquid–vapor inclusions in which the latter occupies ≥ 70% of the volume of the inclusion were rare. The temperature of homogenization of the inclusions in quartz of both types of veins was approximately the same. Most of the inclusions became homogenous up to 394 °C; they usually homogenized into the liquid phase. Higher-temperature inclusions were rare and homogenized into the vapor phase.
Figure 6.
Typical fluid inclusions in quartz: (a) One-phase aqueous; (b) biphase; (c) biphase in calcite.
The crystals were a later generation of quartz, dominated by one-phase inclusions (L) and two-phase (L + V) inclusions, where vapor bubbles occupying 5%–20% of the volume of the inclusion were less common. They displayed subrounded to rectangular or negative crystal shapes. The size of the inclusions reached 80 µm but usually did not exceed 20 µm. Fluid inclusions in the quartz were characterized by low homogenization temperatures (Table 5) in the vapor phase.
Calcite was the latest in the deposit, containing one-phase (L) and biphase (L + V) inclusions, where the vapor bubble occupied approximately 5% of the volume of the inclusion (Figure 6c). The inclusions were often shaped as a negative crystal and were up to 10 µm in size. The homogenization temperature of the fluid inclusions was up to 287 °C, and they were homogenized into the liquid phase.
The fluid inclusions of ore and barren quartz contained aqueous solutions of salts with a eutectic melting point of approximately −23 °C and −35 °C, which corresponds to the salt system NaCl–KCl–H2O, and NaCl–MgCl2–H2O in very rare cases. The concentration of salts ranged from 0.5 to 17 wt.% NaCl-equiv. In the fluid inclusions of quartz crystals, the eutectic temperature was −23 °C, which corresponds to the NaCl–H2O system. The salinity ranged from 0.5 to 2 wt.% NaCl-equiv. In the fluid inclusions of calcite, the eutectic temperature was −35 °C, corresponding to the NaCl–MgCl2–H2O system. The salinity was approximately 15 wt.% NaCl-equiv. Liquid carbon dioxide was not found in the inclusions.
When examining the bulk composition of the gases in the fluid inclusions of ore and barren quartz, it water vapors and CO2 were found to be the principal components. CO2 prevailed among the gases; others were present in dramatically subordinate amounts [26].
4.3. Sulfur Isotopes
The approximate data of the sulfur isotopes of the sulfides are listed in Table 6 and shown in Figure 7. The sulfides in the ores and ore-hosting rocks of the Manitanyrd region occurrences were enriched with light sulfur isotopes and had δ34S values from −0.2‰ to −8.0‰. The isotope composition of the sulfur in pyrite varied from −0.2‰ to −8.0‰, in arsenopyrite from −0.8‰ to −7.9‰, and in sphalerite from −1.0‰ to −1.9‰.
Table 6.
Sulfuric isotope composition (‰) of the sulfides in the examined ore occurrences in the Manitanyrd region.
Figure 7.
Isotope composition of the sulfur in the sulfides of the gold occurrences of the Manitanyrd region. Circle, δ34S‰ unit values; rectangle, range of variations; bracketed number, the number of analyses.
In the Verkhneniyayuskoye-2 deposit, the isotope composition of the sulfur in the sulfides had a narrow range from −0.2‰ to −2.6‰ with δ34S values varying from −0.2‰ to −2.6‰ for pyrite, from −0.8‰ to −2.1‰ for arsenopyrite, and from −1.0‰ to −1.9‰ for sphalerite. In the southern zone of the deposit, with mostly gold–pyrite–arsenopyrite-type ores, the sulfur isotopes in the sulfides had the following values of δ34S: from −0.5‰ to −2.6‰ of pyrite, from −0.8‰ to −1.1‰ for arsenopyrite, and from −1.0‰ to −1.9‰ for sphalerite. Pyrite had the maximum range of variations in δ34S value, including the isotope compositions of arsenopyrite and sphalerite. In the Polar zone of the deposit, with mostly gold–pyritic-type ores, the sulfur isotopes in the sulfides had the following values of δ34S: from −1.6‰ to −1.9‰ for pyrite and −2.1‰ for arsenopyrite. Pyrite had a somewhat lighter sulfur composition (mean −1.7‰) than arsenopyrite (−2.1‰). The pyrite of the wallrock quartz–sericitic metasomatites (samples 14,170 and 14,171) had the lightest sulfur isotope composition (from −0.2‰ to −0.3‰). Disseminated pyrite in the ore-hosting volcanics of the Bedamel series (samples BT-14189 and BT-14193) had δ34S values from −1.2‰ to −1.5‰ and, thus, in the isotopes, the sulfur was not different from the pyrite of the ore bodies.
In the Verkhnelekeletskoye occurrence, gold–pyrite ore-grade mineralization was confined to the quartz vein in the dike of gabbro–dolerites, intruding into the volcanogenic sedimentary rocks of the Enganepe suite. The isotope composition of the sulfur in the sulfides varied slightly from −1.2‰ to −3.5‰ with variations in the δ34S value from −1.2‰ to −1.5‰ for pyrite and from −2.3‰ to −3.5‰ for arsenopyrite, i.e., arsenopyrite had a somewhat lighter sulfur composition.
The Niyahoyskoye-2 ore occurrence, with gold–arsenopyrite-type ores, is also located in the volcanogenic sedimentary rocks of the Enganepe suite. The isotope composition of the sulfur in the sulfides varied from −3.9‰ to −4.7‰, at which there is no difference between arsenopyrite and pyrite in the sulfur isotopes. Compared to the above-described ore occurrences, the sulfur isotope composition in the sulfides from the Niyahoyskoye-2 deposit was somewhat lighter.
In the small-scale Verkhneniyayuskoye-1 and Niyahoyskoye-1 ore occurrences, which constitute mineralized zones of vein-disseminated mineralization in Enganepe suite rocks, the sulfides (pyrite and arsenopyrite) were notable in terms of having a considerably lighter isotope composition of sulfur. The δ34S values varied from −7.1‰ to −8.0‰. Arsenopyrite was enriched with light sulfur isotopes compared to pyrite in all ore occurrences, except for the Verkhneniyayuskoye-2 deposit (Southern zone), where the δ34S values were in the range of the pyrite δ34S variations, corresponding to a light isotope composition.
The isotope composition of the sulfur in the sulfides of the ore occurrences varied within rather narrow ranges: Verkhneniyayuskoye-2 from −0.2‰ to −2.6‰; Niyahoyskoye-2 from −3.9‰ to −4.7‰; Verkhnelekeletskoye from −1.2‰ to −3.5‰. The difference in the δ34S value of the sulfides from different gold occurrences was 2.41‰, 0.8‰, and 2.3‰, respectively.
5. Discussion
All of the studied and other known gold–sulfide–quartz ore occurrences in the Manitanyrd region belong to the same pyrite–arsenopyrite mineral type, with a variable ratio of main minerals.
The conducted studies show that the ore formation was staged. The staging of the ore formation is most clearly manifested in the Verkhneniyayuskoye-2 deposit. Here, pyrite–arsenopyrite mineralization with finely dispersed gold of the early generation was first superimposed on quartz veins and near-vein rocks. Then, there were tectonic shifts that caused cataclasis of the ores. This was followed by the deposition of ore association of the second stage—chalcopyrite, galena, sphalerite, and relatively large gold of the late generation. Fahlore crystallized at the end of this stage. Thus, two stages of ore formation were reasonably distinguished: Gold + pyrite + arsenopyrite and gold + chalcopyrite + galena + sphalerite. In the Niyahoyskoye-2 occurrence, two stages of ore formation were also distinguished: early pyrite + arsenopyrite with finely dispersed gold and late tetrahedrite + chalcopyrite with coarser gold, separated from the early stage by ore cataclasis. Fahlore and sulfosalts crystallized at the end of the late stage. However, galena and sphalerite, the main minerals of the late stage in the Verkhneniyayuskoye-2 deposit, occurred here only as microinclusions in arsenopyrite, pyrite, and, rarely, in quartz.
In the Yagodnoye occurrence, we confidently distinguished an early pyrite stage with finely dispersed gold and, apparently, a late stage with native gold, the paragenetic association of which has not yet been determined. In the Verkhnelekeletskoye occurrence, one stage of pyrite + arsenopyrite (+ sphalerite) with finely dispersed gold was distinguished, comparable to the early stage of ore formation in the Verkhniayuskoye-2 deposit and the Niyahoyskoye-2 occurrence. Minerals of the late stage (Verkhneniyayuskoye-2 deposit)—chalcopyrite + galena + tetrahedrite + lead sulfosalt (presumably boulangerite)—were present only as microinclusions in pyrite and arsenopyrite [29]. A characteristic feature of the ore composition of all studied gold occurrences was the presence of arsenic pyrite (up to 3.3 wt.% As). In the Verkhneniyayuskoye-2 deposit, veins and co-ore quartz crystallized throughout the entire process of hydrothermal mineral formation. The generalized paragenetic sequence of ore minerals in the ore occurrences of the Manitanyrd region is shown in Figure 8.
Figure 8.
Paragenetic sequence of the ore minerals in the Manitanyrd region gold occurrences. The thickness of the line shows the relative content of minerals.
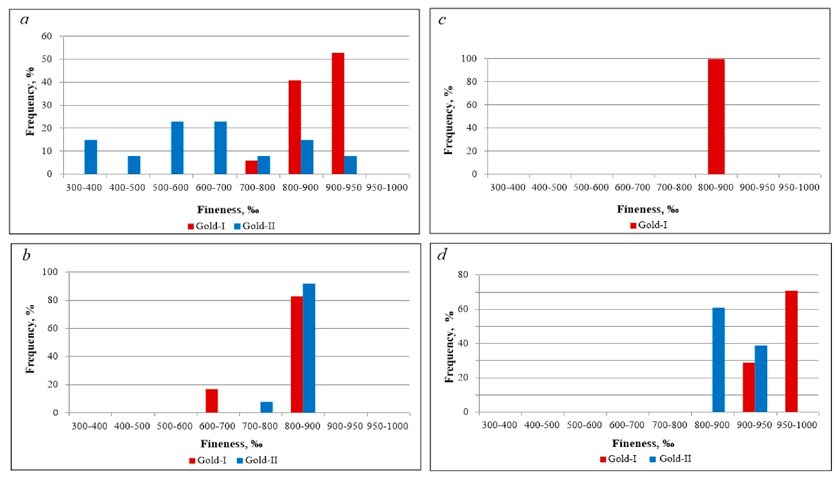
In all studied ore occurrences of the early-stage minerals, pyrite, and arsenopyrite, finely dispersed gold was present in the form of microinclusions ranging in size from 500 nm to 20 µm, mainly 1–5 µm (gold I). The gold was characterized by medium and high fineness with maxima values in the areas of 800‰–900‰, 900‰–950‰, and 950‰–1000‰ and relatively low dispersion (Figure 9).
Figure 9.
Histograms of gold fineness variations in the occurrences of the Manitanyrd region: (a) Verkhneniyayuskoye-2, (b) Niyahoyskoye-2, (c) Verkhnelekeletskoye, and (d) Yagodnoye.
Native gold of the late stage had dimensions of more than 0.5 to 1.5–2 mm (gold II). The native gold of the Verkhneniyayuskoye-2 deposit was characterized by a relatively low fineness with a polymodal distribution on the fineness histogram. The scatter of the values of this indicator was in the region of 300‰–950‰ (Figure 9). Native gold from the Niyahoyskoye-2 and Yagodnoye occurrences was characterized by medium and high fineness, unimodal distribution on the fineness histograms, and the distribution of this index in the areas of 800‰–950‰ (Figure 9b,d). Thus, significant differences in the fineness of the gold of the early (gold I) and late (gold II) stages were observed in the Verkhneniyayuskoye-2 deposit, while they were insignificant in the other ore occurrences.
According to the typomorphic features (low fineness, wide scatter of values of this indicator, and polymodal distribution), the native gold of the Verkhneniyayuskoye-2 deposit was similar to the epithermal–volcanogenic deposits, while the Niyahoyskoye-2 and Yagodnoye ore occurrences (medium and high fineness, unimodal distribution with low dispersion) were similar to the gold–arsenic–sulfide ones in the black shale strata of the northeast of Russia [34].
According to the study of fluid inclusions, in the Verkhneniyayuskoye-2 deposit, a wide range of temperatures for homogenization of the primary inclusions (109–467 °C) in the veins of ore quartz was established. The salinity varied over a wide range from 0.5 to 17 wt.% NaCl-equiv., which corresponds to a wide range of inclusion homogenization temperatures. The compositions of the solutions of fluid inclusions correspond to the NaCl–KCl–H2O and, in rare cases, NaCl–MgCl2–H2O systems. Numerous studies of fluid inclusions in the quartz of gold deposits of various types have generally shown a narrower temperature range of homogenization of the primary inclusions (<50 °C) and salinity of solutions 5–10 wt.% NaCl-equiv. [35,36,37,38,39].
Our data on fluid inclusions, together with the identified stages of ore formation, likely indicate the duration of the hydrothermal process. Quartz is often cataclased, which could result in overlapping in the same areas of inclusions with different homogenization temperatures. In addition, quartz contains a large number of epigenetic inclusions, indicating repeated healing of cracks. This imposes a limitation on using the data on fluid inclusions in quartz to estimate some parameters of the formation of sulfide mineralization.
The isotope composition of the sulfides in the gold occurrences and host rocks of the Niyayu ore zone was characterized by prevailing light isotopes and negative δ34S values, varying from −0.2‰ to −8.0‰. Based on the isotope composition of the sulfur in the sulfides, two groups of ore occurrences stood apart. The first group (Verkhneniyayuskoye-2 and Verkhnelekeletskoye) was characterized by the lightest isotope composition of the sulfur in the sulfides (δ34S = −0.2 ÷ −3.5‰), close to the meteorite standard, narrow range of variations (the difference in the δ34S value did not exceed 2.4‰), which is usually inherent in systems with magmatic sources of sulfur [40,41,42,43]. These ore occurrences belong to the veined gold–sulfide–quartz type.
The second group of ore occurrences (Verkhneniyayuskoye-1 and Niyahoyskoye-1) had the lightest isotope composition of the sulfur in the sulfides of the region (δ34S = −7.1 ÷ −8.0‰), being well out of sulfur that has a magmatic origin. These ore occurrences belong to the type of mineralized zones with vein-disseminated gold–sulfide ore-grade mineralization and are positioned in the posterior volcanogenic sedimentary rocks. Niyahoyskoye-2 ore occurrence by isotope composition of the sulfur in the sulfides (δ34S = −3.9 ÷ −4.7‰) occupied an intermediate position; however, the percentage of magmatic sulfur in the formation of sulfides here was rather high. Both types of ore-grade mineralization, namely, the veined gold–sulfide–quartz and vein-disseminated gold–sulfide types of mineralized zones, were combined in this ore occurrence. It should be noted that ore occurrence was also localized in the volcanogenic sedimentary rocks of the Enganepe suite.
The considerably lighter isotope composition of the sulfides (δ34S = −7.1 ÷ −8.0‰) from the second group of ore occurrences, for which volcanogenic sedimentary rocks were the host rocks, is likely attributed to the mixing of magmatic–hydrothermal fluid with crustal, enriched with sulfur of sedimentary origin [44].
6. Conclusions
Our study results are characteristic of gold–sulfide–quartz and gold–sulfide (gold–arsenic) ore occurrences of the Manitanyrd region of the Polar Urals, which are localized in volcanic and volcanic–sedimentary Upper Precambrian rocks. We revealed that they are confined to the fault zone and have the common features of geological structure. As a result of mineralogical and geochemical studies, the same type of material composition was established for ore mineralization in all studied ore occurrences, belonging to the same mineral type—pyrite + arsenopyrite, with a variable ratio of main minerals. Arsenic pyrite was present in all ore occurrences. Two stages of ore formation were distinguished: early gold + pyrite + arsenopyrite with finely dispersed gold and late gold + galena + chalcopyrite + sphalerite with coarse gold, fahlore, and the sulfosalts Pb, Cu, Bi, and Sb. The sulfur isotope composition of δ34S sulfides varied from −0.2‰ to −8.0‰. δ34S values of the sulfides in the range of −0.2‰ to −3.5‰ correspond to the meteorite standard, which indicates the participation of a single deep magmatic source of sulfur in ore formation. According to the study of fluid inclusions, the formation of ore quartz veins occurred in a temperature range from 467 to 109 °C. No substantial differences between ore and barren quartz were found. Their fluid inclusions had similar homogenization temperatures, almost similar salinity of the solutions (equal to 0.5–17 wt.% and 4–16.5 wt.% NaCl-equiv., respectively), and correspond to the same NaCl–KCl–H2O and NaCl–MgCl2–H2O systems. Our data on fluid inclusions, together with the identified stages of ore formation, likely indicate the duration of the hydrothermal process. The similarity of the geological–structural, mineralogical, geochemical, and isotope–geochemical features of the gold–sulfide–quartz and gold–sulfide occurrences of the area suggests their formation in a single hydrothermal system.
Author Contributions
Conceptualization, T.P.M., S.K.K., L.I.E. and N.V.S.; field work, L.I.E.; writing—design of the work, T.P.M. and L.I.E.; acquisition, analysis, and interpretation of data: mineralogy, sulphur isotopes, T.P.M.; mineralogy, S.K.K.; geology, L.I.E.; fluid inclusions, N.V.S.; writing—review and editing, T.P.M., S.K.K., L.I.E. and N.V.S. All authors have read and agreed to the published version of the manuscript.
Funding
The work was carried out according to the state order of the Yushkin Institute of Geology, Komi Science Center, Ural Branch, Russian Academy of Sciences, and with the support of the Russian Science Foundation, project No. 22-77-10088.
Data Availability Statement
Data are available in the references cited.
Acknowledgments
We thank Vasily Filippov, Eugene Tropnikov, and Alexander Shuisky for their assistance with the lab work.
Conflicts of Interest
The authors declare no conflict of interest.
References
- Groves, D.J.; Goldfarb, R.J.; Gebre-Mariam, M.; Hagemann, S.G.; Robert, F. Orogenic gold deposits: A proposed classification in the context of their crustal distributions and relationship to other gold deposits. Ore Geol. Rev. 1998, 13, 7–27. [Google Scholar] [CrossRef]
- Goldfarb, R.J.; Baker, T.; Dubé, D.; Groves, D.I.; Craig, J.R.; Hart, C.J.; Gosselin, P. Distribution, Character, and Genesis of Gold Deposits in Metamorphic Terranes; Society of Economic Geologists, Inc.: Littleton, CO, USA, 2005; pp. 407–450. [Google Scholar]
- Nguimatsia, D.F.W.; Bolarinwa, A.T.; Yongue, R.F.; de Dieu Ndikumana, J.; Olajide-Kayode, J.O.; Olisa, O.G.; Abdu-Salam, M.O.; Kamga, M.A.; Djou, E.S. Diversity of Gold Deposits, Geodynamics and Conditions of Formation: A Perspective View. Open J. Geol. 2017, 7, 1690–1709. [Google Scholar] [CrossRef]
- Li, H.; Wang, Q.; Deng, J.; Yang, L.; Dong, C.; Yu, H. Alteration and mineralization styles of the orogenic disseminated Zhenyuan gold deposit, southeastern Tibet: Contrast with Carlin gold deposit. Geosci. Front. 2019, 10, 1849–1862. [Google Scholar] [CrossRef]
- Le Guen, M.; Lescuyer, J.L.; Marcoux, E. Lead-isotope evidence for a Hercynian origin of the Salsigne gold deposit. Southern Massif Central France. Miner. Depos. 1992, 27, 129–136. [Google Scholar] [CrossRef]
- Petrovskaya, N.V. Native Gold; Nauka: Moscow, Russia, 1973; p. 348. (In Russian) [Google Scholar]
- Petrovskaya, N.V.; Safonov, Y.G.; Sher, S.D. Formations of gold deposits. In Ore Formations of Endogenous Deposits; Nauka: Moscow, Russia, 1976; pp. 3–110. (In Russian) [Google Scholar]
- Nikolaeva, A.N.; Gavrilov, A.M.; Nekrasova, A.N.; Yablokova, S.V.; Shatilova, L.V. Free Gold of Ore and Placer Deposits in Russia: Atlas; Watercolour: Moscow, Russia, 2015; p. 200. (In Russian) [Google Scholar]
- Mumin, A.H.; Fleet, M.E.; Chryssoulis, S.L. Gold mineralization in As-rich mesothermal gold ores of the Bogosu–Prestea mining district of the Ashanti Gold Belt, Ghana: Remobilization of “invisible” gold. Miner. Depos. 1994, 29, 445–460. [Google Scholar] [CrossRef]
- Genkin, A.D.; Bortnikov, N.S.; Cabri, L.J.; Wagner, F.E.; Stanley, C.J.; Safonov, Y.G.; McMahon, G.; Friedl, J.; Kerzin, A.L.; Gamyanin, G.N. A multidisciplinary study of invisible gold in arsenopyrite from four mesothermal gold deposits in Siberia, Russian Federation. Econ. Geol. 1998, 93, 463–487. [Google Scholar] [CrossRef]
- Genkin, A.D.; Lopatin, V.A.; Savel’ev, R.A.; Safonov, Y.G.; Sergeev, N.B.; Kerzin, A.L.; Tsepin, A.I.; Amshtuts, K.; Afanas’eva, Z.B.; Wagner, F.; et al. Gold ores of the Olimpiada deposit (Enisei range, Siberia). Geol. Ore Depos. 1994, 36, 101. [Google Scholar]
- Konstantinov, M.M.; Nekrasov, E.M.; Sidorov, A.A.; Struzhkov, S.F. Gold Mining Giants of Russia and the World; Scientific World: Moscow, Russia, 2000; p. 272. [Google Scholar]
- Bortnikov, N.S.; Gamyanin, G.N.; Alpatov, V.A.; Nosik, L.P.; Naumov, V.B.; Mironova, O.F. Mineralogy, geochemistry, and origin of the Nezhdaninsk gold deposit (Sakha-Yakutia, Russia). Geol. Ore Depos. 1998, 2, 121–138. [Google Scholar]
- Safonov, Y.G. Gold and gold-bearing deposits of the world: Genesis and metallogenic potential. Geol. Ore Depos. 2003, 45, 305–320. [Google Scholar]
- Bortnikov, N.S.; Bryzgalov, I.A.; Krivitskaya, N.N.; Prokof’ev, V.Y.; Vikentieva, O.V. The Maiskoe multimegastage disseminated gold-sulfide deposit (Chukotka, Russia): Mineralogy, fluid inclusions, stable isotopes (O and S), history, and conditions of formation. Geol. Ore Depos. 2004, 6, 409–440. [Google Scholar]
- Sazonov, A.M.; Zvyagina Ye, A.; Silyanov, S.A.; Lobanov, K.V.; Leontyev, S.I.; Kalinin Yu, A.; Savichev, A.A.; Tishin, P.A. Ore genesis of the Olimpiada gold deposit (Yenisei Ridge, Russia). Geosphere Res. 2019, 1, 17–43. (In Russian) [Google Scholar] [CrossRef]
- Golovanov, I.M. (Ed.) Ore Deposits of Uzbekistan; FAN: Tashkent, Uzbekistan, 2001; p. 660. (In Russian) [Google Scholar]
- Özgür, S.; Nezihi, K.; Emin, Ç.; Necla, K.; Gürkan, T.; Yılmaz, D. Mineralogy, geochemistry, fluid inclusion, and stable sulfur isotope investigation of the Terziali shear-related orogenic gold deposit (Central Anatolia, Turkey): Implications for ore genesis and mineral exploration. Arab. J. Geosci. 2022, 15, 113. [Google Scholar] [CrossRef]
- Efanova, L.I.; Kuznetsov, S.K.; Tarbaev, M.B.; Mayorova, T.P. Gold mineralisation of the Manitanyrd region and prospects for the development of resource potential (Polar Urals). Russ. Ores Met. 2020, 3, 39–51, (In Russian with English abstract). [Google Scholar] [CrossRef]
- Shishkin, M.A.; Astapov, A.P.; Kabatov, N.V.; Kazak, A.P.; Kolesnik, L.S.; Kotelnikov, V.G.; Kudrin, E.N.; Likhotin, V.G.; Mityusheva, V.S.; Molchanova, E.V.; et al. State Geological Map of the Russian Federation, scale 1:1,000,000 (third generation). In Series Urals. Sheet Q-41–Vorkuta. Explanatory Note Kart; VSEGEI: St. Petersburg, Russia, 2007. [Google Scholar]
- Sazonov, V.N.; Ogorodnikov, V.N.; Koroteev, V.A.; Polenov, Y.A. Gold Deposits in Urals; USMU: Yekaterinburg, Russia, 2001; p. 622. (In Russian) [Google Scholar]
- Kuznetsov, S.K.; Mayorova, T.P.; Sokerina, N.V.; Filippov, V.N. Gold ore mineralization of the Verkhneniyayuskoye deposit in the Polar Urals. Russ. Zapiski RMO 2011, 4, 58–71, (In Russian with English abstract). [Google Scholar]
- Puchkov, V.N. Geology of the Urals and Cis-Urals (Actual Problems of Stratigraphy, Tectonics, Geodynamics and Metallogeny); DesignPoligraphService: Ufa, Russia, 2010; p. 280. (In Russian) [Google Scholar]
- Shishkin, M.A.; Malykh, O.N.; Popov, P.E.; Kolesnik, L.S. State Geological Map of the Russian Federation, scale 1:200,000. In Series Polar-Urals. Sheet Q-41-V, VI (Vorkuta), Explanatory Note Kart, 2nd ed.; MF VSEGEI: Moscow, Russia, 2013. [Google Scholar]
- Shishkin, M.A.; Malykh, I.M.; Matukov, D.I.; Sergeev, S.A. Rhyolite complexes of the western slope of the Polar Urals. Geol. Miner. Resour. Eur. Northeast. Russ. 2004, 2, 148–150. (In Russian) [Google Scholar]
- Sokerina, N.V.; Zykin, N.N.; Efanova, L.I.; Shanina, S.N.; Simakova, Y.S. Conditions of forming quartz veins of gold ore occurrences in the Manitanyrd region (Nether-Polar Urals). Lithosphere (Russia) 2010, 2, 100–111. (In Russian) [Google Scholar]
- Vakhrushev, S.N.; Makarov, A.B. Mineralogical and geochemical particular features of ores and metasomatites of gold-arsenic occurrences in one of the regions. In Geochemistry and Mineralogy of Primary and Secondary Aureoles; FAN: Tashkent, Uzbekistan, 1986; pp. 84–93. (In Russian) [Google Scholar]
- Mayorova, T.P.; Efanova, L.I. Niyahoyskoye-2 gold-arsenic occurrence in the Polar Urals (Manitanyrd ridge). Bull. IG SC RAS 2019, 8, 33–41, (In Russian with English abstract). [Google Scholar] [CrossRef]
- Mayorova, T.P.; Efanova, L.I.; Sokerina, N.V. Mineralogical and geochemical features of the ores of the Verkhnelekeletskoye gold-quartzsulfide occurrence in the Polar Urals (Manitanyrd Ridge). Vestn. Geosci. 2022, 6, 10–25, (In Russian with English abstract). [Google Scholar] [CrossRef]
- Borisenko, A.S. Study of salt composition of gaseous-fluid inclusion solutions in the minerals employing cryometry. Russ. Geol. Geophys. 1977, 8, 16–27. [Google Scholar]
- Bodnar, R.J.; Vityk, M.O. Interpretation of microthermometric data for H2O-NaCl fluid inclusions. In Fluid Inclusions in Minerals: Methods and Applications; Pontignano: Siena, Italy, 1994; pp. 117–130. [Google Scholar]
- Roedder, E. Fluid inclusions in minerals. Rev. Miner. 1984, 12, 1–664. [Google Scholar]
- Grinenko, V.A. Preparation of sulphur dioxide for isotope analysis. Russ. J. Inorg. Chem. 1962, 7, 2578–2582. [Google Scholar]
- Savva, N.E.; Kravtsova, R.G.; Anisimova, G.S.; Palyanova, G.A. Typomorphism of Native Gold (Geological-Industrial Types of Gold Deposits in the North-East of Russia). Minerals 2022, 12, 561. [Google Scholar] [CrossRef]
- Wilkinson, J.J. Fluid inclusions in hydrothermal ore deposits. Lithos 2001, 55, 229–272. [Google Scholar] [CrossRef]
- Naumov, V.B.; Dorofeeva, V.A.; Mironova, O.F. Physicochemical formation parameters of hydrothermal mineral deposits: Evidence from fluid inclusions. II. Gold, silver, lead, and zink deposits. Geochem. Int. 2014, 52, 433–455. [Google Scholar] [CrossRef]
- Goldfarb, R.J.; Groves, D.I. Orogenic gold: Common or evolving fluid and metal sources through time. Lithos 2015, 233, 2–26. [Google Scholar] [CrossRef]
- Chi, G.; Diamond, L.W.; Lu, H.; Lai, J.; Chu, H. Common Problems and Pitfalls in Fluid Inclusion Study: A Review and Discussion. Minerals 2021, 11, 7. [Google Scholar] [CrossRef]
- Liu, S.; Guo, L.; Ding, J.; Hou, L.; Xu, S.; Shi, M.; Liang, H.; Nie, F.; Cui, X. Evolution of Ore-Forming Fluids and Gold Deposition of the Sanakham Lode Gold Deposit, SW Laos: Constrains from Fluid Inclusions Study. Minerals 2022, 12, 259. [Google Scholar] [CrossRef]
- Faure, G. Principles of Isotope Geology; Mir: Moscow, Russia, 1989; p. 590. (In Russian) [Google Scholar]
- Ohmoto, H.; Rye, R.O. Isotopes of sulphur and carbon. In Geochemistry of Hydrothermal Ore Deposits, 2nd ed.; John Wiley and Sons: New York, MY, USA, 1979; pp. 509–567. [Google Scholar]
- Kudrin, M.; Fridovsky, V.; Polufuntikova, L.; Kryuchkova, L. Disseminated Gold-Sulfide Mineralization in Metasomatites of the Khangalas Deposit, Yana–Kolyma Metallogenic Belt (Northeast Russia): Analysis of the Texture, Geochemistry, and S Isotopic Composition of Pyrite and Arsenopyrite. Minerals 2021, 11, 403. [Google Scholar] [CrossRef]
- Fridovsky, V.Y.; Polufuntikova, L.I.; Kudrin, M.V.; Goryachev, N.A. Sulfur isotope composition and geochemical characteristics of gold-bearing sulfides of the Badran orogenic deposit, Yana-Kolyma metallogenic belt (North-East Asia). Dokl. Akad. Nauk 2022, 502, 3–9. [Google Scholar] [CrossRef]
- Fridovsky, V.Y.; Polufuntikova, L.I.; Kudrin, M.V. Origin of Disseminated Gold-Sulfide Mineralization from Proximal Alteration in Orogenic Gold Deposits in the Central Sector of the Yana–Kolyma Metallogenic Belt, NE Russia. Minerals 2023, 13, 394. [Google Scholar] [CrossRef]
Disclaimer/Publisher’s Note: The statements, opinions and data contained in all publications are solely those of the individual author(s) and contributor(s) and not of MDPI and/or the editor(s). MDPI and/or the editor(s) disclaim responsibility for any injury to people or property resulting from any ideas, methods, instructions or products referred to in the content. |
© 2023 by the authors. Licensee MDPI, Basel, Switzerland. This article is an open access article distributed under the terms and conditions of the Creative Commons Attribution (CC BY) license (https://creativecommons.org/licenses/by/4.0/).








