Pyrite Textures and Compositions in the Dunbasitao Gold Deposit, NW China: Implications for Ore Genesis and Gold Mineralization Processes
Abstract
1. Introduction
2. Regional Geology
3. Local and Deposit Geology
3.1. Stratigraphy
3.2. Intrusive Rocks
3.3. Structure
3.4. Orebodies
3.5. Mineralization and Alteration
3.6. Mineral Paragenesis and Pyrite Types
4. Sampling and Analytical Methods
4.1. Sampling Procedure
4.2. EPMA Major Elements Analysis
4.3. LA-ICP-MS Trace Elements Analysis and Mapping
5. Results
5.1. EPMA Major Element Compositions of Pyrites
5.2. LA-ICP-MS Trace Element Compositions of Pyrites
5.3. LA-ICP-MS Trace Element Mapping of Pyrites
6. Discussion
6.1. Trace Element Incorporation and Occurrence in Pyrites
6.2. Genesis of Ore Deposit
6.3. Trace Element Variations and Their Implications
6.4. Gold Mineralization Process and Precipitation Mechanism
7. Conclusions
- (1)
- Pyrite from the Dunbasitao gold deposit can be classified into five types, including the pre-ore framboidal/colloidal Py0; the coarse-grained, cubic, and homogeneous Py1 in the early stage; and the fine-grained cubic/pyritohedron Py2 in the middle stage composed of Py2a (core), Py2b (mantle), and Py2c (rim).
- (2)
- Trace elements of pyrite in the Dunbasitao gold deposit mainly occur in two forms: as solid solutions and as invisible or visible inclusions. Mn, Co, Ni, and As enter the pyrite lattice in the form of isomorphisms; Ti is distributed primarily as mineral inclusions; and Au, Cu, Zn, Sb, and Pb occur in both forms in pyrite.
- (3)
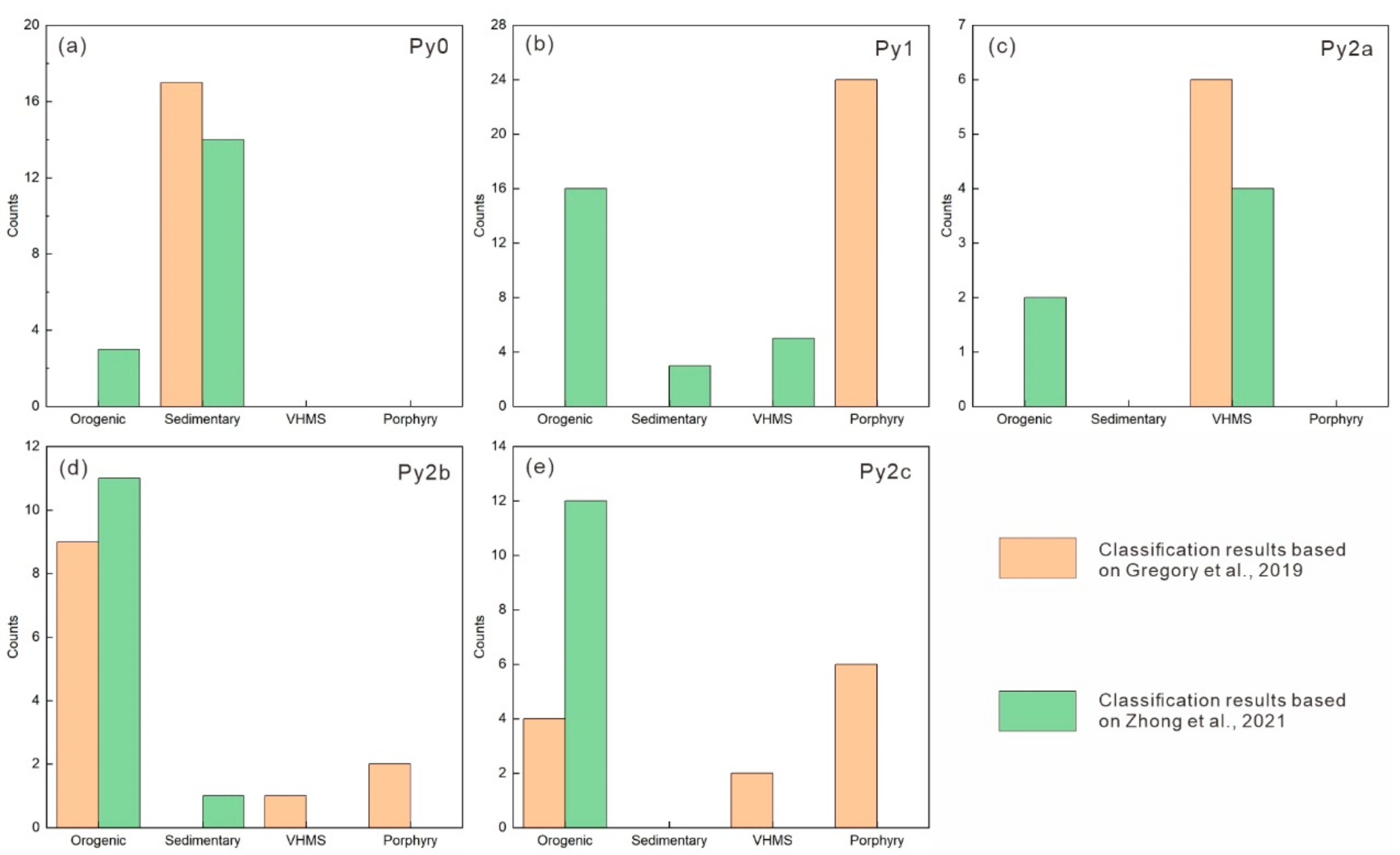
- The Dunbasitao deposit was identified as an orogenic gold deposit using two of the latest machine learning classifiers based on the pyrite trace element data in this work.
- (4)
- Gold and arsenic are strongly coupled in the pyrites in the Dunbasitao deposit, and their contents in Py2b are much higher than in the other pyrites. Fluid immiscibility, the sudden cooling of a fluid possibly caused by the addition of meteoric water, and the substitution of S1− with As1− may be the crucial mechanisms leading to the precipitation of Au and other trace elements and their incorporation into the pyrites.
- (5)
- The initial ore-forming fluids brought major amounts of As, Au, Co, Ni, Se, Zn, Ag, Cd, Sn, and other elements, and the Jiangbasitao Formation host rocks contributed certain amounts of As, Ni, Cu, Sb, Pb, and Bi, at least.
Supplementary Materials
Author Contributions
Funding
Data Availability Statement
Acknowledgments
Conflicts of Interest
References
- Wu, Y.F.; Evans, K.; Li, J.W.; Fougerouse, D.; Large, R.R.; Guagliardo, P. Metal remobilization and ore-fluid perturbation during episodic replacement of auriferous pyrite from an epizonal orogenic gold deposit. Geochim. Cosmochim. Acta 2019, 245, 98–117. [Google Scholar] [CrossRef]
- Wu, Y.F.; Evans, K.; Hu, S.Y.; Fougerouse, D.; Zhou, M.F.; Fisher, L.A.; Guagliardo, P.; Li, J.W. Decoupling of Au and As during rapid pyrite crystallization. Geology 2021, 49, 827–831. [Google Scholar] [CrossRef]
- Yang, L.; Wang, Q.F.; Large, R.R.; Fougerouse, D.; Mukherjee, I.; Zhang, Q.Z.; Deng, J. Texture and geochemistry of pyrite from the Jinya, Nakuang and Gaolong gold deposits in the Youjiang Basin: Implications for basin-scale gold mineralization. Miner. Depos. 2022, 57, 1367–1390. [Google Scholar] [CrossRef]
- Zhang, H.C.; Zhu, Y.F.; Salvi, S.; Wu, Y.F.; Gilbert, S. Complex fluid source of the multistage pyrite-bearing Huilvshan gold deposit (west Junggar, NW China): Insight from pyrite texture, sulfur isotope and trace element compositions. Ore Geol. Rev. 2022, 149, 105081. [Google Scholar] [CrossRef]
- Zoheir, B.; McAleer, R.; Steele-MacInnis, M.; Zeh, A.; Bain, W.; Poulette, S. Vein-type gold formation during late extensional collapse of the Eastern Desert, Egypt: The Gidami deposit. Miner. Depos. 2023, 58, 681–706. [Google Scholar] [CrossRef]
- Large, R.R.; Maslennikov, V.V.; Robert, F.; Danyushevsky, L.V.; Chang, Z. Multistage sedimentary and metamorphic origin of pyrite and gold in the giant Sukhoi Log Deposit, Lena gold province, Russia. Econ. Geol. 2007, 102, 1233–1267. [Google Scholar] [CrossRef]
- Large, R.R.; Halpin, J.A.; Danyushevsky, L.V.; Maslennikov, V.V.; Bull, S.W.; Long, J.A.; Gregory, D.D.; Lounejeva, E.; Lyons, T.W.; Sack, P.J.; et al. Trace element content of sedimentary pyrite as a new proxy for deep-time ocean–atmosphere evolution. Earth Planet. Sci. Lett. 2014, 389, 209–220. [Google Scholar] [CrossRef]
- Large, R.R.; Mukherjee, I.; Danyushevsky, L.; Gregory, D.; Steadman, J.; Corkrey, R. Sedimentary pyrite proxy for atmospheric oxygen: Evaluation of strengths and limitations. Earth-Sci. Rev. 2022, 227, 103941. [Google Scholar] [CrossRef]
- Maslennikov, V.V.; Maslennikova, S.P.; Large, R.R.; Danyushevsky, L.V. Study of trace element zonation in vent chimneys from the Silurian Yaman-Kasy volcanic-hosted massive sulfide deposit (Southern Urals, Russia) using laser ablation-inductively coupled plasma mass spectrometry (LA-ICPMS). Econ. Geol. 2009, 104, 1111–1141. [Google Scholar] [CrossRef]
- Deditius, A.P.; Utsunomiya, S.; Reich, M.; Kesler, S.E.; Ewing, R.C.; Hough, R.; Walshe, J. Trace metal nanoparticles in pyrite. Ore Geol. Rev. 2011, 42, 32–46. [Google Scholar] [CrossRef]
- Deditius, A.P.; Reich, M.; Kesler, S.E.; Utsunomiya, S.; Chryssoulis, S.L.; Walshe, J.; Ewing, R.C. The coupled geochemistry of Au and As in pyrite from hydrothermal ore deposits. Geochim. Cosmochim. Acta 2014, 140, 644–670. [Google Scholar] [CrossRef]
- Reich, M.; Deditius, A.; Chryssoulis, S.; Li, J.W.; Ma, C.Q.; Parada, M.A.; Barra, F.; Mittermayr, F. Pyrite as a record of hydrothermal fluid evolution in a porphyry copper system: A SIMS/EMPA trace element study. Geochim. Cosmochim. Acta 2013, 104, 42–62. [Google Scholar] [CrossRef]
- Román, N.; Reich, M.; Leisen, M.; Morata, D.; Barra, F.; Deditius, A.P. Geochemical and micro-textural fingerprints of boiling in pyrite. Geochim. Cosmochim. Acta 2019, 246, 60–85. [Google Scholar] [CrossRef]
- Steadman, J.A.; Large, R.R.; Olin, P.H.; Danyushevsky, L.V.; Meffre, S.; Huston, D.; Fabris, A.; Lisitsin, V.; Wells, T. Pyrite trace element behavior in magmatic-hydrothermal environments: An LA-ICPMS imaging study. Ore Geol. Rev. 2021, 128, 103878. [Google Scholar] [CrossRef]
- Li, R.C.; Chen, H.Y.; Large, R.R.; Zhao, L.D.; Liu, Y.H.; Jiao, J.G.; Xia, X.P.; Yang, Q. Ore-forming fluid source of the orogenic gold deposit: Implications from a combined pyrite texture and geochemistry study. Chem. Geol. 2020, 552, 119781. [Google Scholar] [CrossRef]
- Ma, Y.; Jiang, S.Y.; Frimmel, H.E.; Zhu, L.Y. In situ chemical and isotopic analyses and element mapping of multiple-generation pyrite: Evidence of episodic gold mobilization and deposition for the Qiucun epithermal gold deposit in Southeast China. Am. Mineral. 2022, 107, 1133–1148. [Google Scholar] [CrossRef]
- Sun, Z.Y.; Deng, X.H.; Pirajno, F. Textures, trace element compositions, and sulfur isotopes of pyrite from the Honghai volcanogenic massive sulfide deposit: Implications for ore genesis and mineral exploration. Sci. China Earth Sci. 2023. [Google Scholar] [CrossRef]
- Tan, H.J.; Shao, Y.J.; Liu, Q.Q.; Zhang, Y.; Feng, Y.Z.; Zhang, Y.C.; Ahmad Shah, S. Textures, trace element geochemistry and in-situ sulfur isotopes of pyrite from the Xiaojiashan gold deposit, Jiangnan Orogen: Implications for ore genesis. Ore Geol. Rev. 2022, 144, 104843. [Google Scholar] [CrossRef]
- Sciuba, M.; Beaudoin, G.; Grzela, D.; Makvandi, S. Trace element composition of scheelite in orogenic gold deposits. Miner. Depos. 2020, 55, 1149–1172. [Google Scholar] [CrossRef]
- Sciuba, M.; Beaudoin, G. Texture and trace element composition of rutile in orogenic gold deposits. Econ. Geol. 2021, 116, 1865–1892. [Google Scholar] [CrossRef]
- Tan, H.M.R.; Huang, X.W.; Meng, Y.M.; Xie, H.; Qi, L. Multivariate statistical analysis of trace elements in apatite: Discrimination of apatite with different origins. Ore Geol. Rev. 2023, 153, 105269. [Google Scholar] [CrossRef]
- Gregory, D.D.; Cracknell, M.J.; Large, R.R.; McGoldrick, P.; Kuhn, S.; Maslennikov, V.V.; Baker, M.J.; Fox, N.; Belousov, I.; Figueroa, M.C.; et al. Distinguishing ore deposit type and barren sedimentary pyrite using laser ablation-inductively coupled plasma-mass spectrometry trace element data and statistical analysis of Large Data Sets. Econ. Geol. 2019, 114, 771–786. [Google Scholar] [CrossRef]
- Zhong, R.C.; Deng, Y.; Li, W.; Danyushevsky, L.V.; Cracknell, M.J.; Belousov, I.; Chen, Y.J.; Li, L.M. Revealing the multi-stage ore-forming history of a mineral deposit using pyrite geochemistry and machine learning-based data interpretation. Ore Geol. Rev. 2021, 133, 104079. [Google Scholar] [CrossRef]
- Mao, J.W.; Konopelko, D.; Seltmann, R.; Lehmann, B.; Chen, W.; Wang, Y.; Eklund, O.; Usubaliev, T. Postcollisional age of the Kumtor gold deposit and timing of Hercynian events in the Tien Shan, Kyrgyzstan. Econ. Geol. 2004, 99, 1771–1780. [Google Scholar] [CrossRef]
- Windley, B.F.; Alexeiev, D.; Xiao, W.J.; Kröner, A.; Badarch, G. Tectonic models for accretion of the Central Asian Orogenic Belt. J. Geol. Soc. Lond. 2007, 164, 31–47. [Google Scholar] [CrossRef]
- Xiao, W.J.; Han, C.M.; Yuan, C.; Sun, M.; Lin, S.F.; Chen, H.L.; Li, Z.L.; Li, J.L.; Sun, S. Middle Cambrian to Permian subduction-related accretionary orogenesis of Northern Xinjiang, NW China: Implications for the tectonic evolution of central Asia. J. Asian Earth Sci. 2008, 32, 102–117. [Google Scholar] [CrossRef]
- Chen, H.Y.; Chen, Y.J.; Baker, M. Isotopic geochemistry of the Sawayaerdun orogenic-type gold deposit, Tianshan, northwest China: Implications for ore genesis and mineral exploration. Chem. Geol. 2012, 310–311, 1–11. [Google Scholar] [CrossRef]
- Goldfarb, R.J.; Taylor, R.D.; Collins, G.S.; Goryachev, N.A.; Orlandini, O.F. Phanerozoic continental growth and gold metallogeny of Asia. Gondwana Res. 2014, 25, 48–102. [Google Scholar] [CrossRef]
- Seltmann, R.; Goldfarb, R.J.; Zu, B.; Creaser, R.A.; Dolgopolova, A.; Shatov, V.V. Chapter 24: Muruntau, Uzbekistan: The World’s Largest Epigenetic Gold Deposit. In Geology of the World’s Major Gold Deposits and Provinces; Sillitoe, R.H., Goldfarb, R.J., Robert, F., Simmons, S.F., Eds.; Society of Economic Geologists: Littleton, CO, USA, 2020; pp. 497–521. [Google Scholar]
- Xiao, W.J.; Sun, M.; Santosh, M. Continental reconstruction and metallogeny of the Circum-Junggar areas and termination of the southern Central Asian Orogenic Belt. Geosci. Front. 2015, 6, 137–140. [Google Scholar] [CrossRef]
- Han, C.M.; Xiao, W.J.; Zhao, G.C.; Su, B.X.; Sakyi, P.A.; Ao, S.J.; Wan, B.; Zhang, J.E.; Zhang, Z.Y.; Wang, Z.M. Mid-Late Paleozoic metallogenesis and evolution of the Chinese Altai and East Junggar Orogenic Belt, NW China, Central Asia. J. Geosci. 2014, 59, 255–274. [Google Scholar] [CrossRef]
- Xu, B.; Lu, Y.M.; Gu, X.X.; Zhang, W.Z. Metallogenic epoch of the Shuangquan gold deposit in Qitai area, Xinjiang, China. Geol. Bull. China 2009, 28, 1871–1884. [Google Scholar]
- Wang, Y.H. Tectonic-Mineralizing Fluids in the Saerbulake Gold Deposit, Erqis Metallogenic Belt, Xinjiang. Master’s Thesis, University of Science and Technology Beijing, Beijing, China, 2010; pp. 1–71. [Google Scholar]
- Liu, W.X.; Deng, X.H.; Wu, Y.S.; Han, S.; Chen, X.; Li, X.; Wang, Y.; Chen, Y.J. Geological characteristics and genesis of Dunbastau gold deposit in eastern Junggar, Xinjiang. Geol. Rev. 2021, 67, 1–28. [Google Scholar]
- Liu, W.X.; Deng, X.H.; Pirajno, F.; Han, S.; Chen, X.; Li, X.; Aibai, A.; Wu, Y.S.; Wang, Y.; Chen, Y.J. The ore-forming fluid nature, source, and evolution of the Dunbasitao gold deposit, East Junggar, China: Constraints from geology, fluid inclusions, and C-H-O isotopes. SSRN Electron. J. 2023. [Google Scholar] [CrossRef]
- Li, H. The Metallogenic and Prospecting Model of Paleozoic Gold Deposits in the Dunbasitao and Adjacent Area, East Junggar, Xinjiang Province. Ph.D. Thesis, China University of Geosciences (Wuhan), Wuhan, China, 2018; pp. 1–156. [Google Scholar]
- Xiao, W.J.; Windley, B.F.; Huang, B.C.; Han, C.M.; Yuan, C.; Chen, H.L.; Sun, M.; Sun, S.; Li, J.L. End-Permian to mid-Triassic termination of the accretionary processes of the southern Altaids: Implications for the geodynamic evolution, Phanerozoic continental growth, and metallogeny of Central Asia. Int. J. Earth Sci. 2009, 98, 1189–1217. [Google Scholar] [CrossRef]
- Jahn, B.M. The Central Asian Orogenic Belt and growth of the continental crust in the Phanerozoic. Geol. Soc. Lond. Spec. Publ. 2004, 226, 73–100. [Google Scholar] [CrossRef]
- Şengör, A.M.C.; Natal’in, B.A.; Sunal, G.; Van der Voo, R. The tectonics of the Altaids: Crustal growth during the construction of the continental lithosphere of Central Asia between ∼750 and ∼130 Ma Ago. Annu. Rev. Earth Planet. Sci. 2018, 46, 439–494. [Google Scholar] [CrossRef]
- Zhou, J.B.; Wilde, S.A.; Zhao, G.C.; Han, J. Nature and assembly of microcontinental blocks within the Paleo-Asian Ocean. Earth-Sci. Rev. 2018, 186, 76–93. [Google Scholar] [CrossRef]
- Xiao, W.J.; Windley, B.F.; Han, C.M.; Liu, W.; Wan, B.; Zhang, J.E.; Ao, S.J.; Zhang, Z.Y.; Song, D.F. Late Paleozoic to early Triassic multiple roll-back and oroclinal bending of the Mongolia collage in Central Asia. Earth-Sci. Rev. 2018, 186, 94–128. [Google Scholar] [CrossRef]
- Tan, Z.; Xiao, W.J.; Mao, Q.G.; Wang, H.; Sang, M.; Li, R.; Gao, L.M.; Guo, Y.H.; Gan, J.M.; Liu, Y.H.; et al. Final closure of the Paleo Asian Ocean basin in the early Triassic. Commun. Earth Environ. 2022, 3, 1–15. [Google Scholar] [CrossRef]
- Long, X.P.; Yuan, C.; Sun, M.; Safonova, I.; Xiao, W.J.; Wang, Y.J. Geochemistry and U–Pb detrital zircon dating of Paleozoic graywackes in East Junggar, NW China: Insights into subduction–accretion processes in the southern Central Asian Orogenic Belt. Gondwana Res. 2012, 21, 637–653. [Google Scholar] [CrossRef]
- Li, P.F.; Sun, M.; Rosenbaum, G.; Cai, K.D.; Yu, Y. Structural evolution of the Irtysh Shear Zone (northwestern China) and implications for the amalgamation of arc systems in the Central Asian Orogenic Belt. J. Struct. Geol. 2015, 80, 142–156. [Google Scholar] [CrossRef]
- Li, P.F.; Sun, M.; Rosenbaum, G.; Jourdan, F.; Li, S.Z.; Cai, K.D. Late Paleozoic closure of the Ob-Zaisan Ocean along the Irtysh shear zone (NW China): Implications for arc amalgamation and oroclinal bending in the Central Asian orogenic belt. GSA Bull. 2017, 129, 547–569. [Google Scholar] [CrossRef]
- Hu, W.W.; Li, P.F.; Rosenbaum, G.; Liu, J.L.; Jourdan, F.; Jiang, Y.D.; Wu, D.; Zhang, J.; Yuan, C.; Sun, M. Structural evolution of the eastern segment of the Irtysh Shear Zone: Implications for the collision between the East Junggar Terrane and the Chinese Altai Orogen (northwestern China). J. Struct. Geol. 2020, 139, 104126. [Google Scholar] [CrossRef]
- Aibai, A.; Zhang, Z.C.; Cheng, Z.G.; Huang, H.; Santosh, M. Highly differentiated juvenile crust-derived magmas linked with the Xilekuduke porphyry Mo (Cu) deposit in East Junggar, NW China. Ore Geol. Rev. 2019, 115, 103103. [Google Scholar] [CrossRef]
- Dong, L.H.; Xu, X.W.; Qu, X.; Li, G.M. Tectonic setting and formation mechanism of the circum-Junggar porphyritic copper deposit belts. Acta Petrol. Sin. 2009, 25, 713–737. [Google Scholar]
- Zhang, Y.Y.; Pe-Piper, G.; Piper, D.J.W.; Guo, Z.J. Early Carboniferous collision of the Kalamaili orogenic belt, North Xinjiang, and its implications: Evidence from molasse deposits. GSA Bull. 2013, 125, 932–944. [Google Scholar] [CrossRef]
- Zhang, Z.C.; Yan, S.H.; Chen, B.L.; Zhou, G.; He, Y.K.; Chai, F.M.; He, L.X.; Wan, Y.S. SHRIMP zircon U-Pb dating for subduction-related granitic rocks in the northern part of east Jungaar, Xinjiang. Chin. Sci. Bull. 2006, 51, 952–962. [Google Scholar] [CrossRef]
- Tao, H.F.; Sun, S.; Wang, Q.C.; Yang, X.F.; Jiang, L. Petrography and geochemistry of lower carboniferous greywacke and mudstones in Northeast Junggar, China: Implications for provenance, source weathering, and tectonic setting. J. Asian Earth Sci. 2014, 87, 11–25. [Google Scholar] [CrossRef]
- An, R.; Zhao, G.C.; Liu, Q.; Han, Y.G. Early Palaeozoic subduction-accretion in East Junggar (NW China): Insights from age, geochemical, and Sr-Nd-Hf isotopic data of andesitic rocks in the northern Yemaquan Arc. Lithos 2021, 380–381, 105892. [Google Scholar] [CrossRef]
- Xu, X.W.; Jiang, N.; Li, X.H.; Qu, X.; Yang, Y.H.; Mao, Q.; Wu, Q.; Zhang, Y.; Dong, L.H. Tectonic evolution of the East Junggar terrane: Evidence from the Taheir tectonic window, Xinjiang, China. Gondwana Res. 2013, 24, 578–600. [Google Scholar] [CrossRef]
- Li, D.; He, D.F.; Sun, M.; Zhang, L. The Role of Arc-Arc Collision in Accretionary Orogenesis: Insights From ∼320 Ma Tectono-sedimentary Transition in the Karamaili Area, NW China. Tectonics 2020, 39, e2019TC005623. [Google Scholar] [CrossRef]
- Chen, Y.J.; Pirajno, F.; Wu, G.; Qi, J.P.; Xiong, X.L. Epithermal deposits in North Xinjiang, NW China. Int. J. Earth Sci. 2012, 101, 889–917. [Google Scholar] [CrossRef]
- Wan, B.; Xiao, W.J.; Han, C.M.; Windley, B.F.; Zhang, L.C.; Qu, W.J.; Du, A.D. Re–Os molybdenite age of the Cu–Mo skarn ore deposit at Suoerkuduke in East Junggar, NW China and its geological significance. Ore Geol. Rev. 2014, 56, 541–548. [Google Scholar] [CrossRef]
- Goldfarb, R.; Qiu, K.F.; Deng, J.; Chen, Y.J.; Yang, L.Q. Orogenic Gold Deposits of China. Soc. Econ. Geol. Spec. Publ. 2019, 22, 263–324. [Google Scholar]
- Liang, P.; Chen, H.Y.; Wu, C.; Xie, Y.L. Pyrite and magnetite Re–Os isotope systematics at the Laoshankou Fe–Cu–Au deposit in the northern margin of the East Junggar terrane, NW Xinjiang, China: Constraints on the multistage mineralization and metal sources. Geol. J. 2019, 55, 4265–4278. [Google Scholar] [CrossRef]
- Hong, T.; Hollings, P.; Gao, J.; Xu, X.W.; Wu, Q.; Wu, C.; Mao, Q. Mineralization and petrogenesis of the Qiongheba porphyry copper deposit in Mengxi district, East Junggar, China. Ore Geol. Rev. 2020, 127, 103848. [Google Scholar] [CrossRef]
- Tang, D.M.; Qin, K.Z.; Su, B.X.; Mao, Y.J.; Evans, N.J.; Niu, Y.J.; Kang, Z. Sulfur and copper isotopic signatures of chalcopyrite at Kalatongke and Baishiquan: Insights into the origin of magmatic Ni-Cu sulfide deposits. Geochim. Cosmochim. Acta 2020, 275, 209–228. [Google Scholar] [CrossRef]
- Reed, W.P. Certificate of Analysis: Standard Reference Materials 610 and 611; National Institute of Standards and Technology: Gaithersburg, MD, USA, 1992; pp. 1–4. [Google Scholar]
- Paton, C.; Hellstrom, J.C.; Paul, B.; Woodhead, J.D.; Hergt, J.M. Iolite: Freeware for the visualisation and processing of mass spectrometric data. J. Anal. Atom. Spectrom. 2011, 26, 2508–2518. [Google Scholar] [CrossRef]
- Wilson, S.; Ridley, I.; Koenig, A. Development of sulfide calibration standards for the laser ablation inductively-coupled plasma mass spectrometry technique. J. Anal. Atom. Spectrom. 2002, 17, 406–409. [Google Scholar] [CrossRef]
- Myers, A.T.; Havens, R.G.; Niles, W.W. Glass reference standards for trace element analysis of geologic materials. In Developments in Applied Spectroscopy; Grove, E.L., Ed.; Springer: New York, NY, USA, 1970; Volume 8. [Google Scholar] [CrossRef]
- Reich, M.; Kesler, S.E.; Utsunomiya, S.; Palenik, C.S.; Chryssoulis, S.L.; Ewing, R.C. Solubility of gold in arsenian pyrite. Geochim. Cosmochim. Acta 2005, 69, 2781–2796. [Google Scholar] [CrossRef]
- Yang, R.S.; Chen, Y.J.; Xie, J.L. X-ray photoelectron spectroscopic study on arsenian pyrite and arsenopyrite from the Yangshan gold deposit, Gansu province (North China). Acta Petrol. Sin. 2009, 25, 2791–2800. [Google Scholar]
- Li, J.; Chen, Y.J.; Liu, Y.X. Typomorphic characteristics of pyrite from the lode gold deposits in North China Craton: Implications for fluid mineralization. J. Miner. Petrol. 2004, 24, 93–102. [Google Scholar]
- Simon, G.; Huang, H.; Hahn, J.E.P.; Kesler, S.E.; Kao, L.S. Oxidation state of gold and arsenic in gold-bearing arsenian pyrite. Am. Mineral. 1999, 84, 1071–1079. [Google Scholar] [CrossRef]
- Chouinard, A.; Paquette, J.; Williams-Jones, A.E. Crystallographic controls on trace-element incorporation in auriferous pyrite from the Pascua epithermal high-sulfidation deposit, Chile-Argentina. Can. Mineral. 2005, 43, 951–963. [Google Scholar] [CrossRef]
- Cook, N.J.; Ciobanu, C.L.; Meria, D.; Silcock, D.; Wade, B. Arsenopyrite-pyrite association in an orogenic gold ore: Tracing mineralization history from textures and trace elements. Econ. Geol. 2013, 108, 1273–1283. [Google Scholar] [CrossRef]
- Zhou, C.; Yang, Z.; Sun, H.S.; Koua, K.A.D.; Lyu, C.L. LA-ICP-MS trace element analysis of sphalerite and pyrite from the Beishan Pb-Zn ore district, south China: Implications for ore genesis. Ore Geol. Rev. 2022, 150, 105128. [Google Scholar] [CrossRef]
- Large, R.R.; Meffre, S.; Burnett, R.; Guy, B.; Bull, S.; Gilbert, S.; Goemann, K.; Danyushevsky, L. Evidence for an intrabasinal source and multiple concentration processes in the formation of the Carbon Leader Reef, Witwatersrand Supergroup, South Africa. Econ. Geol. 2013, 108, 1215–1241. [Google Scholar] [CrossRef]
- Gregory, D.D.; Large, R.R.; Halpin, J.A.; Baturina, E.L.; Lyons, T.W.; Wu, S.; Danyushevsky, L.; Sack, P.J.; Chappaz, A.; Maslennikov, V.V.; et al. Trace element content of sedimentary pyrite in black shales. Econ. Geol. 2015, 110, 1389–1410. [Google Scholar] [CrossRef]
- Zhang, Y.; Chen, H.Y.; Cheng, J.M.; Tian, J.; Zhang, L.J.; Olin, P. Pyrite geochemistry and its implications on Au-Cu skarn metallogeny: An example from the Jiguanzui deposit, Eastern China. Am. Mineral. 2022, 107, 1910–1925. [Google Scholar] [CrossRef]
- Ding, Z.P.; Sun, X.M.; Hu, S.Y.; Chen, H.J.; Li, D.F.; Fu, Y.; Xu, L.; Wu, Z.Y.; Huang, F. Role of carbonaceous material in gold precipitation for orogenic gold deposits: A case study of the Bangbu gold deposit in southern Tibet, China. Ore Geol. Rev. 2023, 152, 105231. [Google Scholar] [CrossRef]
- Vasilopoulos, M.; Molnár, F.; Ranta, J.P.; O’Brien, H. Mineralogical, lithogeochemical and sulfide trace element characteristics of the Hirvilavanmaa Au-only and the base metal-rich Naakenavaara orogenic gold deposits in the Central Lapland belt, northern Finland. J. Geochem. Explor. 2023, 244, 107132. [Google Scholar] [CrossRef]
- Loftus-Hills, G.; Solomon, M. Cobalt, nickel and selenium in sulphides as indicators of ore genesis. Miner. Depos. 1967, 2, 228–242. [Google Scholar] [CrossRef]
- Bralia, A.; Sabatini, G.; Troja, F. A revaluation of the Co/Ni ratio in pyrite as geochemical tool in ore genesis problems. Miner. Depos. 1979, 14, 353–374. [Google Scholar] [CrossRef]
- Bajwah, Z.U.; Seccombe, P.K.; Offler, R. Trace element distribution, Co:Ni ratios and genesis of the Big Cadia iron-copper deposit, New South Wales, Australia. Miner. Depos. 1987, 22, 292–300. [Google Scholar] [CrossRef]
- Brill, B.A. Trace-element contents and partitioning of elements in ore minerals from the CSA Cu-Pb-Zn Deposit, Australia, and implications for ore genesis. Can. Mineral. 1989, 27, 263–274. [Google Scholar]
- Large, R.R.; Danyushevsky, L.; Hollit, C.; Maslennikov, V.; Meffre, S.; Gilbert, S.; Bull, S.; Scott, R.; Emsbo, P.; Thomas, H.; et al. Gold and trace element zonation in pyrite using a laser imaging technique: Implications for the timing of gold in orogenic and Carlin-Style sediment-hosted deposits. Econ. Geol. 2009, 104, 635–668. [Google Scholar] [CrossRef]
- Revan, M.K.; Genç, Y.; Maslennikov, V.V.; Maslennikova, S.P.; Large, R.R.; Danyushevsky, L.V. Mineralogy and trace-element geochemistry of sulfide minerals in hydrothermal chimneys from the Upper-Cretaceous VMS deposits of the eastern Pontide orogenic belt (NE Turkey). Ore Geol. Rev. 2014, 63, 129–149. [Google Scholar] [CrossRef]
- Chen, Y.J. The development of continental collision metallogeny and its application. Acta Petrol. Sin. 2013, 29, 1–17. [Google Scholar]














| Sample No. | Stage | Type | Description |
|---|---|---|---|
| 307-4 | Pre-ore | Py0 | Sedimentary rock rich in pyrite framboids and nodules |
| 810-24 | Pre-ore | Py0 | Sedimentary rock rich in pyrite framboids and nodules |
| 002-13b | Early | Py1 | Chlorite-altered host rock containing early-stage quartz–albite–pyrite vein |
| 304-16 | Middle | Py2 | Disseminated ore containing middle-stage quartz–ankerite–pyrite vein |
| 5203-5 | Middle | Py2 | Middle-stage quartz–ankerite–pyrite vein |
| Type | Mn | Co | Ni | Cu | Zn | As | Se | Mo | Ag | Sb | Te | Au | Pb | Bi | |
|---|---|---|---|---|---|---|---|---|---|---|---|---|---|---|---|
| Py0 (N = 17) | Min. | 21.0 | 6.88 | 28.6 | 75.5 | 3.31 | 177 | 0.50 | 7.17 | 0.37 | 7.19 | 0.10 | 0.01 | 18.3 | 0.01 |
| Max. | 817 | 559 | 265 | 467 | 433 | 1724 | 3.48 | 45.4 | 5.36 | 100 | 1.63 | 0.36 | 460 | 0.33 | |
| Median | 190 | 256 | 69.0 | 115 | 8.44 | 619 | 0.89 | 24.6 | 2.29 | 44.8 | 0.89 | 0.01 | 201 | 0.16 | |
| Average | 224 | 187 | 78.1 | 173 | 69.0 | 739 | 1.31 | 21.9 | 2.49 | 50.9 | 0.78 | 0.06 | 177 | 0.15 | |
| SD | 177 | 159 | 54.6 | 123 | 131 | 540 | 0.94 | 11.0 | 1.68 | 33.3 | 0.58 | 0.09 | 124 | 0.11 | |
| Py1 (N = 24) | Min. | 0.11 | 0.09 | 0.16 | 0.11 | 0.47 | 20.9 | 14.9 | 0.21 | 0.04 | 0.10 | 0.16 | 0.01 | 0.02 | 0.00 |
| Max. | 45.1 | 40.6 | 378 | 26.6 | 3.33 | 355 | 78.8 | 0.25 | 0.82 | 0.35 | 3.28 | 0.02 | 19.4 | 0.00 | |
| Median | 0.13 | 4.22 | 2.83 | 0.12 | 0.60 | 128 | 40.0 | 0.22 | 0.05 | 0.10 | 0.16 | 0.01 | 0.02 | 0.00 | |
| Average | 2.00 | 8.15 | 36.1 | 2.19 | 1.02 | 140 | 45.0 | 0.22 | 0.10 | 0.11 | 0.38 | 0.01 | 1.78 | 0.00 | |
| SD | 8.98 | 10.7 | 86.5 | 5.75 | 0.84 | 90.3 | 17.0 | 0.01 | 0.18 | 0.05 | 0.66 | 0.00 | 4.12 | 0.00 | |
| Py2a (N = 6) | Min. | 0.12 | 0.74 | 2.84 | 169 | 595 | 53.1 | 1.25 | 0.16 | 2.85 | 17.3 | 0.18 | 0.31 | 19.7 | 0.18 |
| Max. | 0.35 | 18.1 | 29.2 | 5467 | 5446 | 595 | 2.95 | 0.20 | 726 | 3190 | 0.20 | 2.48 | 189 | 0.35 | |
| Median | 0.21 | 1.19 | 5.15 | 245 | 3968 | 218 | 1.32 | 0.18 | 9.27 | 30.8 | 0.19 | 1.27 | 133 | 0.29 | |
| Average | 0.22 | 4.19 | 8.99 | 1107 | 3351 | 272 | 1.81 | 0.18 | 128 | 556 | 0.19 | 1.35 | 114 | 0.27 | |
| SD | 0.09 | 6.27 | 9.17 | 1951 | 1668 | 186 | 0.72 | 0.01 | 268 | 1176 | 0.01 | 0.68 | 55.2 | 0.07 | |
| Py2b (N = 12) | Min. | 0.10 | 0.10 | 0.16 | 16.7 | 0.48 | 30139 | 1.08 | 0.15 | 0.04 | 0.11 | 0.16 | 20.1 | 0.35 | 0.00 |
| Max. | 2.46 | 60.0 | 81.4 | 239 | 52.5 | 65265 | 5.78 | 0.18 | 7.74 | 43.0 | 0.18 | 201 | 240 | 0.42 | |
| Median | 0.13 | 16.6 | 17.5 | 68.7 | 0.60 | 48363 | 2.62 | 0.17 | 1.07 | 9.98 | 0.17 | 110 | 66.9 | 0.09 | |
| Average | 0.37 | 22.4 | 26.5 | 87.8 | 6.57 | 49258 | 2.88 | 0.17 | 1.44 | 10.1 | 0.17 | 109 | 73.5 | 0.11 | |
| SD | 0.64 | 18.8 | 24.2 | 63.8 | 14.6 | 9884 | 1.60 | 0.01 | 1.99 | 11.1 | 0.01 | 49.5 | 70.5 | 0.12 | |
| Py2c (N = 12) | Min. | 0.11 | 0.10 | 0.51 | 2.67 | 0.52 | 9895 | 1.14 | 0.16 | 0.04 | 0.11 | 0.16 | 0.18 | 0.36 | 0.00 |
| Max. | 844 | 46.4 | 90.5 | 445 | 13.4 | 31654 | 9.91 | 1.57 | 1.32 | 9.55 | 0.22 | 18.0 | 65.6 | 0.19 | |
| Median | 0.13 | 1.47 | 4.23 | 15.5 | 0.63 | 19752 | 4.66 | 0.18 | 0.18 | 1.29 | 0.18 | 3.57 | 7.65 | 0.01 | |
| Average | 97.0 | 6.32 | 19.0 | 58.3 | 2.32 | 19537 | 5.15 | 0.38 | 0.39 | 2.75 | 0.18 | 5.26 | 16.2 | 0.04 | |
| SD | 242 | 12.7 | 27.6 | 120 | 3.83 | 5956 | 2.56 | 0.41 | 0.45 | 3.21 | 0.01 | 5.32 | 19.3 | 0.06 |
| Type | Stage | Discrimination Results (Number, Percentage) | |||
|---|---|---|---|---|---|
| Orogenic | Sedimentary | VHMS | Porphyry | ||
| Py0 | Pre-ore | 0 (0%) | 17 (100%) | 0 (0%) | 0 (0%) |
| Py1 | Early | 0 (0%) | 0 (0%) | 0 (0%) | 24 (100%) |
| Py2a | Middle | 0 (0%) | 0 (0%) | 6 (100%) | 0 (0%) |
| Py2b | Middle | 9 (75.00%) | 0 (0%) | 1 (8.33%) | 2 (16.67%) |
| Py2c | Middle | 4 (33.33%) | 0 (0%) | 2 (16.67%) | 6 (50.00%) |
| Type | Stage | Discrimination Results (Number, Percentage) | ||
|---|---|---|---|---|
| Orogenic | Sedimentary | VHMS | ||
| Py0 | Pre-ore | 3 (17.65%) | 14 (82.35%) | 0 (0%) |
| Py1 | Early | 16 (66.67%) | 3 (12.50%) | 5 (20.83%) |
| Py2a | Middle | 2 (33.33%) | 0 (0%) | 4 (66.67%) |
| Py2b | Middle | 11 (91.67%) | 1 (8.33%) | 0 (0%) |
| Py2c | Middle | 12 (100%) | 0 (0%) | 0 (0%) |
Disclaimer/Publisher’s Note: The statements, opinions and data contained in all publications are solely those of the individual author(s) and contributor(s) and not of MDPI and/or the editor(s). MDPI and/or the editor(s) disclaim responsibility for any injury to people or property resulting from any ideas, methods, instructions or products referred to in the content. |
© 2023 by the authors. Licensee MDPI, Basel, Switzerland. This article is an open access article distributed under the terms and conditions of the Creative Commons Attribution (CC BY) license (https://creativecommons.org/licenses/by/4.0/).
Share and Cite
Liu, W.; Deng, X.; Han, S.; Chen, X.; Li, X.; Aibai, A.; Wu, Y.; Wang, Y.; Shan, W.; Li, Z.; et al. Pyrite Textures and Compositions in the Dunbasitao Gold Deposit, NW China: Implications for Ore Genesis and Gold Mineralization Processes. Minerals 2023, 13, 534. https://doi.org/10.3390/min13040534
Liu W, Deng X, Han S, Chen X, Li X, Aibai A, Wu Y, Wang Y, Shan W, Li Z, et al. Pyrite Textures and Compositions in the Dunbasitao Gold Deposit, NW China: Implications for Ore Genesis and Gold Mineralization Processes. Minerals. 2023; 13(4):534. https://doi.org/10.3390/min13040534
Chicago/Turabian StyleLiu, Wenxiang, Xiaohua Deng, Shen Han, Xi Chen, Xun Li, Abulimiti Aibai, Yanshuang Wu, Yong Wang, Wei Shan, Zengsheng Li, and et al. 2023. "Pyrite Textures and Compositions in the Dunbasitao Gold Deposit, NW China: Implications for Ore Genesis and Gold Mineralization Processes" Minerals 13, no. 4: 534. https://doi.org/10.3390/min13040534
APA StyleLiu, W., Deng, X., Han, S., Chen, X., Li, X., Aibai, A., Wu, Y., Wang, Y., Shan, W., Li, Z., & Chen, Y. (2023). Pyrite Textures and Compositions in the Dunbasitao Gold Deposit, NW China: Implications for Ore Genesis and Gold Mineralization Processes. Minerals, 13(4), 534. https://doi.org/10.3390/min13040534

