Abstract
The Qulong porphyry copper deposit in Tibet is located in the Tethis–Himalaya metallogenic domain, one of the three major porphyry metallogenic domains in the world. At present, the mining area is mainly used for surface mining. The depth revealed by the drilling project is less than 2 km. The potential for deep resources is unknown. Based on an analysis of the geochemical characteristics of the primary halos around the No. 16 prospecting line, deep extension is discussed in this paper. Studies show that the metallogenic elements are Cu and Mo; the near-ore halo elements are Co, Au, Ag, and W; the supra-ore halo elements are Pb, Zn, Mn, and As; and the sub-ore halo elements are Sn and Bi. According to Gregorian’s zoning index and the barycenter method, the primary halo zoning of the No. 16 exploration line from shallow to deep is Mn–P–Pb–Ni–Zn–V–As–Hg–Co–Au–Cu–W–Ag–Mo–Sb–Sr–Cd–Sn–Ti–Bi. This sequence has a distinct “reverse” zoning feature, indicating that there may be a blind ore body deep in the mine. The geochemical parameter evaluation index based on the element content contrast coefficient suggests that there may be a hidden ore body in the deep. The relative hydrothermal mineralization in the center position of the section may be located deep below the north side of borehole ZK1601-1 in the middle of the section. The ore body erosion parameter model shows that the bottom of the drilling engineering control is the middle tail of the ore body, and there is a certain amount of extension in the deep part. The ideal superimposed model of the primary halo reflects the ore body trend of the 16th line section. The ore body is inclined to the north as a whole; the ore fluid flows from the deep to the southern side of the north side, and the deep part of the northern side of the ore body has a downward trend.
1. Introduction
The Qulong porphyry copper deposit in Tibet is located in the Tethis–Himalaya metallogenic domain, one of the three major porphyry metallogenic domains in the world (Figure 1a). It is also the largest porphyry metallogenic belt in China. Since 2001, a series of large-giant porphyry copper–molybdenum deposits have been discovered, including Qulong, Chongjiang, Xiongcun, and Zhunuo, marking a major breakthrough in prospecting on the Tibetan Plateau [1] (Figure 1c). The Qulong deposit in the eastern Gangdese is the largest porphyry copper deposit in China [1,2,3,4,5]. As it is a world-class super-large porphyry deposit, in recent years, many scholars have conducted research on the petrology, chronology, metallogenic process, metallogenic mechanism, and so on [1,5,6,7,8,9]. Liu et al. [10] preliminarily classified the horizontal zonation sequence of elements of the Qulong deposit by studying surface samples of the mining area and concluded that the mineralized bodies had been exposed to the surface and subjected to intense denudation. In combination with the engineering disclosure and mining status of the mining area, Zheng et al. [1] concluded that the upper part of the ore body in the Qulong deposit is basically covered by Quaternary sediment, and the ore body presents a semi-concealed output. At present, the drilled holes are not controlled to the bottom boundary of the main ore body, and there are several deep holes in the ore body. To sum up, it is indeed the case that the ore body in the Qulong deposit has been exposed to the surface and subjected to denudation, but it is impossible to accurately determine whether the exposed part is the head of the ore body or the root of its residual denudation, and the potential of deep resources; so far, the engineering process has not disclosed anything further.
The primary halo method, also known as the petrogeochemical survey method, is an effective method to search for hydrothermal concealed deposits, which was recognized by exploration geochemists at home and abroad in the late 1920s. Primary geochemical haloes of mineral deposits resulting from the interaction between wall rocks and mineralizing fluids are characterized by depletion or enrichment of the metals or associated trace elements [11]. These haloes have been subdivided into three types, including the axial, longitudinal, and transverse zonations, in which the axial zonation has an important role in the exploration of ore deposits due to its relationship with the direction of ore-forming fluid pathways [12,13]. Investigation of primary geochemical haloes of elements is an important and powerful method for the exploration of blinded mineral deposits [11,14,15]. Primary halo prospecting has been proved by numerous studies and practices to be an effective method for searching deep concealed ore bodies [11,12,13,14,15,16,17,18,19,20,21] and has also been widely applied in porphyry copper deposits [22] and other hydrothermal metal deposits [13,23,24,25]. Based on the detailed geological field survey, a superposition model was preliminarily established by analyzing the geochemical characteristics of the primary halo of the No. 16 prospecting line ore body in the Qulong mine area, aiming to provide a reference for deep prospecting of the ore body.
Figure 1.
Regional geological map. (a) Simplified regional geological map of China. (b) Tectonic framework of the Tibetan Plateau (modified from [26]). (c) The distribution of main porphyry Cu–Mo (Au) deposits in the Gangdese metallogenic belt and location of the study area (modified from [3,27,28]).
Figure 1.
Regional geological map. (a) Simplified regional geological map of China. (b) Tectonic framework of the Tibetan Plateau (modified from [26]). (c) The distribution of main porphyry Cu–Mo (Au) deposits in the Gangdese metallogenic belt and location of the study area (modified from [3,27,28]).

2. Deposit Geology and Mineralization
The Gangdisi copper polymetallic metallogenic belt, located between the Yarlung Zangbo River and the Bangong Hu-Nujiang suture zone, is a giant tectonic-magmatic belt extending nearly east-west [29], bounded by the developed Luobadui-Milashan fault and the Shiquanhe-Namco-Jiali snake suture zone. From south to north, they are usually divided into southern Gangdises, middle Gangdises and northern Gangdises [26] (Figure 1b). The Qulong porphyry copper deposit is located in Mozhugongka County, Lhasa City, Tibet Autonomous Region, which is approximately 50 km from Lhasa. The mining area is 38.44 km2, with an altitude of 4950–5450 m. The strata in the mining area are mainly of the Middle Jurassic Yeba Formation and Quaternary sediments (Figure 2), accounting for about 75.5% of the total area of the mining area [1]. Quaternary sediments are mainly distributed in the gullies and gentle slopes on both sides, and only Holocene sediments developed, forming landforms such as eluvium–diluvium, alluvium–proluvium, and glacial drift. The Yeba Formation is the main stratigraphic unit in the Qulong mining area, which is mostly distributed on the surface. It is a set of volcanic and pyroclastic sedimentary rocks; the volcanic rocks are dacitic and rhyolite. As a whole, the deposition of the Yeba Formation in the mining area is relatively continuous, forming lithologic assemblages mainly composed of volcanic sedimentary rocks. Large tectonic phenomena, such as folds and faults, are not obvious in the mining area, while tiny fissure structures are extremely developed, which are important metallogenic structures [30]. The Qulong porphyry mineralization system has the classic “trinity” of mineralization characteristics; that is, there are three kinds of porphyry in the same space: ore body, skarn ore body, and hydrothermal vein ore body [8]. Porphyry orebody is the main type in the Qulong deposit. There is a skarn deposit in the outer contact zone about 4 km to the south and southeast of the porphyry ore body, called the Langmu Jiaguo ore block. A small-scale hydrothermal copper mineralization vein is found in the contact area between the porphyry and the Yeba Formation in the northern part of the Qulong deposit.
Figure 2.
Simplified metallogenic map of Qulong deposit showing the location of prospecting line. Modified from [1].
In general, the Qulong copper–molybdenum deposit is a concealed and semi-concealed ore body. Except for the exposed mineralized bodies in some boreholes, the rest of the surface is basically covered by the Quaternary, and only superficial enrichment with a small thickness (less than 22 m) is developed locally on the surface. Therefore, almost all ore bodies are primary ore, and the super genetic enrichment in the mining area is not of industrial significance. The ore body is basically distributed between No. 15–20 exploration lines (Figure 2), with a width of about 1000 m from north to south and a length of about 1800 m from east to west. It continuously forms a whole along the plane and vertical direction. It is an irregular cylinder with deep morphology. The central part is the core part of the ore body, which extends to the depth almost vertically. The orebody gradually peered out at line 20 in the east and line 19 in the west. The ore body has been controlled to the boundary on the north side, and the boundary is undulating in an east-west direction. The ore bodies are in the direction of due south, southeast, and southwest, with large thicknesses. Most of them are industrial ore bodies. The edge of the ore bodies has not been completely controlled, and the slope to the south is steep, with a tendency to extend to the south.
There is only one main ore body controlled by the Qulong copper–molybdenum deposit at present. The elevation of ore body occurrence is 4452–5368 m, and the burial depth is generally 13.50–64.86 m. The top of the ore body is concave due to the topography. The Cu–Mo deposits of Qulong are mainly distributed in the porphyry mineralization and biotite monzogranite. The ore is dominated by a thinly disseminated structure with fine grain, which gradually turns into a scattered disseminated structure with fine grain, followed by vein structure, and there is very little colloidal structure, mass structure, and brecciform structure. Magmatic rocks are widely developed in the mining area, mainly composed of volcanic rocks of the Middle Jurassic Yeba Formation and intrusive rocks of the Miocene Epoch.
According to magmatic activity and its relationship with mineralization, it can be divided into three stages from early to late: pre-mineralization, metallogenic period, and post-mineralization. The volcanic rocks of the Middle Jurassic Yeba Formation were formed by pre-mineralization magmatic activity. The main lithologies are rhyolite porphyry and tuff, which belong to ore-bearing surrounding rocks. The magmatic activity in the metallogenic period was characterized by multiple intrusions. The intrusive rocks are mainly Miocene intermediate-acid complex rocks, which can be subdivided into three stages: early, main, and late mineralization. The intrusive rocks from the early ore-forming period are mainly biotite monzogranites, porphyritic biotite monzogranites, and granodiorites, conventionally known as the Rongmucuola complex rock mass [1]. The ore-forming intrusive rocks are mainly porphyry, belonging to the Qulong ore-forming rock mass. The lithology of the ore-forming porphyry is mainly monzonite granite porphyry and granite porphyry. The late mineralization intrusive rocks are granodiorite and aplitic vein. After mineralization, the magmatic activity gradually weakened, mainly manifested as a large number of dike rocks of different scales, and the main lithology was quartz diorite porphyrite. Therefore, the types of intrusive rocks formed during the Miocene in the Qulong mining area, from early to late, are as follows: granodiorite → biotite monzogranite, porphyritic-like porphyritic biotite monzogranite → monzogranite, granitic porphyry → granodiorite porphyry → fine crystal → quartz diorite porphyry.
3. Materials and Methods
A total of 5614 drill core samples were collected from boreholes ZK1601-1, ZK1608-1, ZK1609-1, ZK1616-1, ZK1617-1, and ZK1624 of the No. 16 prospecting line at 1 m sampling intervals. The collected samples were field tested using a hand-held XRF analyzer. The reliability of field test results of the hand-held XRF analyzer was previously verified in the Qulong mining area [31]. Due to the precision limit of the instrument itself, according to the actual test results and Delphi method [32,33,34], 31 elements were selected for research and analysis: Cu, Mo, Pb, Zn, Ag, Au, W, Bi, Hg, As, Sn, Sb, Cd, Cs, Ba, Nb, Ni, Rb, Sr, Zr, Th, Te, Fe, Mn, Ti, Ca, K, Al, Si, P, and S.
4. Data Processing and Analysis
For unraveling the indicator element associations to describe the samples in the Qulong deposit, three methods (analysis of correlation, cluster, and factor analyses) could be useful [24,35].
4.1. Analysis of Correlation
In order to eliminate the influence of extremely high values and reduce the skewness of the raw data, log 10 transformation was adopted [24], and the correlation coefficient matrix was calculated (Table 1). A correlation coefficient greater than the critical value (n = 5614, confidence level = 0.01, critical value = 0.053) indicated a significant correlation. Cu, Mo, Pb, Zn, Ag, and S, which are the main ore-forming elements, showed a significant correlation. Cu had the best correlation with Mo, W, S, Zn, Rb, and Pb and a significant negative correlation with Mn. Mo had the best correlation with S, Sn, Rb, Pb, Ag, W, and Cd and a significant negative correlation with Mn. Pb had the best correlation with Zn, As, and Rb. Zn had the best correlation with As, Mn, Fe, Rb, and W. Ag had the best correlation with Sn, Sb, Cd, Ba, and S and a significant negative correlation with Bi, Mn, and Fe. According to the above analysis results, W, Sb, Cd, and Ba can be used as characteristic indicator elements of the Qulong deposit.
Table 1.
Significant correlations among main ore-forming elements and correlation coefficients.
4.2. Cluster Analysis
The Pearson correlation coefficient was used for the R-type cluster analysis of the 31 elements [36], and the R-type clustering tree of elements was obtained (Figure 3). With the correlation level 0.3 as the boundary, the distance coefficient was 20, and the elements could be divided into nine categories. Cs, Te, Sn, Sb, Cd, Ba, and Ag comprise a typical combination of low- and medium-temperature elements. Ca and S belong to the same category, suggesting a close relationship between the development of special anhydrite and mineralization in the Qulong mining area. Pb, Zn, As, and Mn belong to one class. Rb and K belong to the large-ion lithophile elements. Cu, Mo, W, and Nb are high-temperature metallogenic elements. Th and Bi are in the same category. Au and Hg are low-temperature elements. Fe, Ni, Zr, Ti, and Sr are one kind. Al, Si, and P belong to the class of non-forming main mineral elements.
Figure 3.
R type dendrogram of elements.
4.3. Factor Analysis
Principal component analysis (PCA) is an important variable reduction method that is widely applied in geochemical data processing and analysis [22,37]. Principal component analysis was used to obtain 31 eigenvalues. In this process, 11 principal components were extracted using the criterion of eigenvalue >1 (the PCs with eigenvalues greater than one could be considered significant [37,38]) (Table 2). The result of factor analysis is consistent with that of cluster analysis. The first and second factors represent the medium- and low-temperature element combinations; the first is the important associated element combination, and the second is the supra-ore halo elements of the ore-forming elements. The first and second factors represent important indicator elements of mineralization. The third and fifth factors represent the combination of major elements, and the fourth factor is the large ion lithophile element. The third, fourth, and fifth factors reflect the important role of ore-forming surrounding rock in mineralization. The sixth factor represents Cu and W, revealing a very close relationship between them, showing that W is closely related to the main mineralization of Cu. The combination of Ca and S is the main component of anhydrite, suggesting that the development of special anhydrite in the Qulong mining area was closely related to mineralization.
Table 2.
R type factor analysis of element combinations.
4.4. Element Distribution Pattern
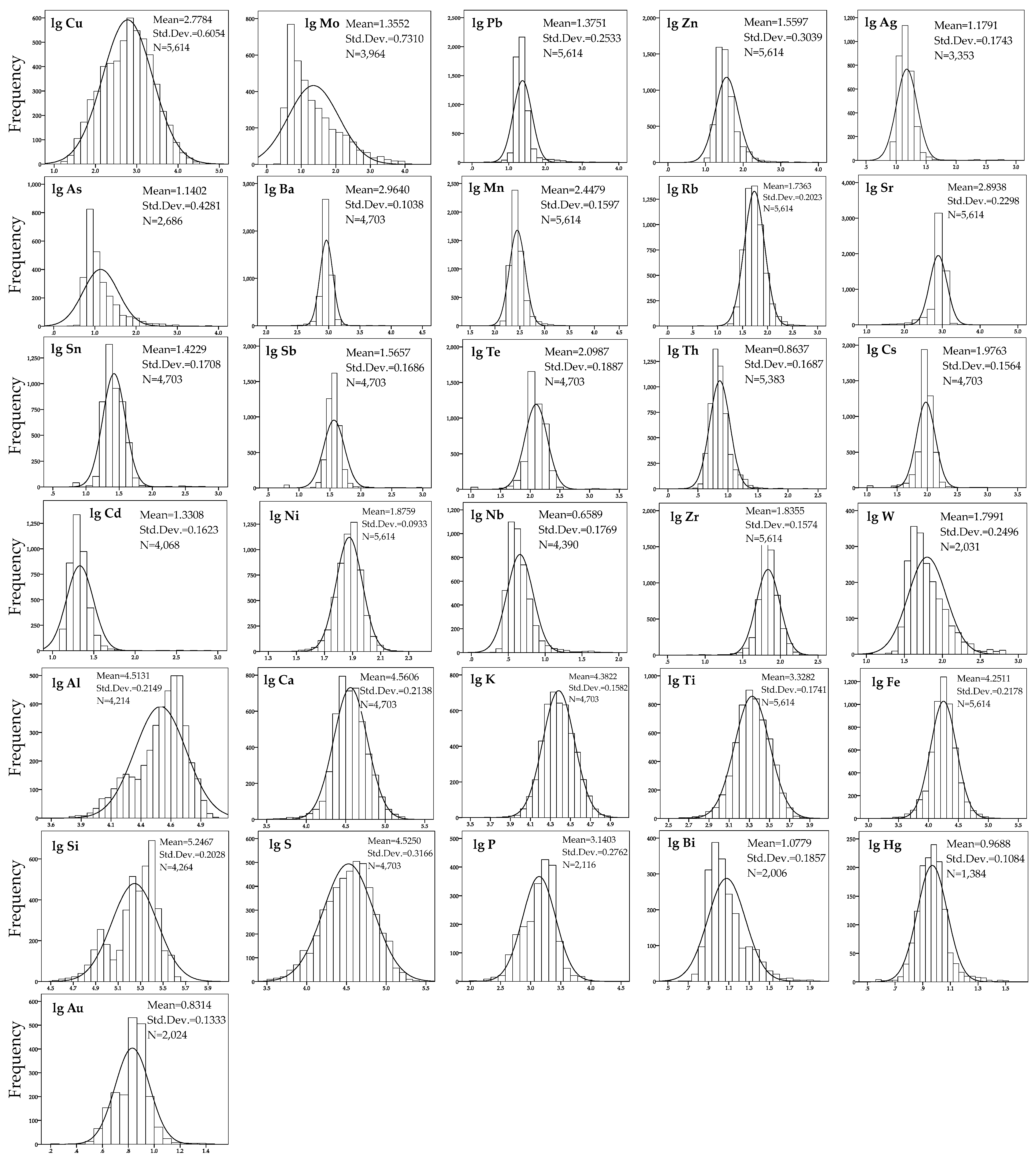
According to geological theory, trace elements conform to log normal distribution in geological bodies [39,40]. The logarithm of all element contents was used to construct a frequency distribution histogram (Figure 4). The elements Cu, Ni, Rb, Zr, Hg, Ca, K, Fe, Ti, and S are normally distributed. The elements Pb, Zn, Ag, Sn, Sb, Cd, Cs, Ba, Rb, Zr, Th, Te, Fe, Mn, Ti, Ca, K, and P basically conform to the normal distribution. Mo, As, Nb, W, and Bi show a left-leaning skewed distribution. Sr, Au, and Al are skewed to the right. Si has a bimodal distribution. On the whole, the distribution pattern of element content in the test samples basically conforms to the normal distribution, which is the premise of multivariate statistical analysis.
Figure 4.
Histograms of frequency distribution of element content in Qulong deposit.
5. Discussion
5.1. Primary Halo Characteristics
5.1.1. Background Value and Lower Exception Limit
For the metallogenic elements Cu, Mo, Ag, Au, and S, the boundary grade is used as an abnormal inner zone due to the high content of elements. For the elements closely related to mineralization (Pb, Zn, W, Bi, Hg, As, Sn, Sb, Cd, Cs, Co, Ba, Ni, Te, and Mn), the element anomaly zonation method recommended by Shao [18] was adopted. For the major non-metallogenic elements (Fe, Ti, Ca, K, Mg, Al, Si, and P), the anomaly classification boundary was flexibly divided according to the actual test. The classification of the abnormal concentrations of 28 elements is shown in Table 3.
Table 3.
Classification of abnormal concentrations of primary halo elements in No. 16 prospecting line, Qulong deposit.
5.1.2. Profile Features of Primary Halo
Based on the data from six boreholes in the No. 16 exploration line of the deposit combined with the abnormal zonation value of each element in the deposit, an abnormal zonation diagram of 20 elements was drawn (Figure 5). It can be seen from Figure 5 that the distribution range of anomalies in the Cu and Mo inner belts is basically well aligned with the locations of Cu and Mo ore bodies (Figure 6); Mo has an especially high degree of alignment. Cu has a high degree of convergence with the ore body casing from the surface to the middle part, but the inner zone anomaly also appears in the “non-ore” position at the bottom controlled by the borehole, suggesting that there may be a Cu anomaly in the deep part. The Mo anomaly is located closer to the deep than the Cu anomaly, revealing that Mo has a deeper metallogenic depth than Cu, which agrees with the typical characteristics of upper copper and lower molybdenum.

Figure 5.
Primary halo profile feature distribution map.
Figure 6.
Distribution of (a) Cu ore body and (b) Mo ore body.
Other trace elements, Pb, Zn, W, Bi, Hg, As, Sn, Sb, Cd, Cs, Ba, Ni, Th, and Te, and the major element Mn are shown in Figure 5. Pb, Zn, and Mn are mainly grade II and III anomalies, and the anomaly intensity is weak overall. The distribution range of anomalies is basically the same, showing a relatively small zonal area, mainly distributed in the southwest surface of the ore body, with sporadic distribution in other parts. It is revealed that Pb, Zn, and Mn are located above the metallogenic elements Cu and Mo, which belong to the supra-ore halo elements. Sn, Sb, Te, Cs, and Cd did not reach grade I anomaly (only a small part of the grade I anomaly appeared in Cd), and the whole section basically reached grade III anomaly or above. Their secondary anomaly area is small and mainly distributed in the middle of the ore body. The anomaly distribution is basically consistent with that of Ag, and the grade II anomaly is banded and has a good overlap with Cu and Mo. It is revealed that Ag, Sn, Sb, Te, Cs, and Cd are closely related to mineralization and belong to mineralization-associated elements. The whole section of W and Hg is above grade III anomaly, and the area of grade II anomaly accounts for half of the whole section. However, only grade III anomaly occurs in Ni, and the grade III anomaly of Ni and the grade II anomaly of W and Hg are basically in the same distribution, mainly located in the south and bottom of the outer perimeter of the ore body. The grade I anomaly of W occurs in the ZK1624 borehole in a large area, while there is no grade I anomaly of Hg. Therefore, W, Hg, and Ni can be used as indicator elements for mineralization, and the anomaly intensity is found to decrease successively. Only grade II and III anomalies occur in Bi; the grade II anomaly is mainly distributed at the bottom of borehole ZK1617-1, while other parts appear sporadically; that is, they are mainly located below the ore body. Ba has only a grade III anomaly, and the abnormal area is small and weak, mainly located at the bottom of the ore body. It is preliminarily judged that Bi and Ba belong to the sub-ore halo elements.
5.1.3. Primary Halo Axial Zonation Sequence
The borehole samples collected from the No. 16 exploration line in the Qulong mining area were from 3952–5321 m. According to the principle of not having less than three cross-sections, there were five cross-sections downward from the surface: 5000 m and above was cross-section I, 4750–5000 m was cross-section II, 4500–4750 m was cross-section III, 4250–4500 m was cross-section IV, and below 4250 m was cross-section V. The average content of each element in the cross-sections of the 16th line was calculated. According to the improved zonal index calculation method [24,25,41], the zonal index values of all elements were obtained (Table 4). Based on the data in Table 4, the element zonation sequence can be preliminarily divided. Near the surface, cross-section I is Pb, Zn, As, Mn, and Ni; cross-section II is Au, Hg, and Co; cross-section III is Cu and W; cross-section IV is Mo, Ag, Sb, Te, and Cs; and cross-section V is Sn, Bi, and Cd. In summary, the complete vertical zonation sequence of the 16th line section from shallow to deep (top to bottom) is Mn–P–Pb–Ni–Zn–V–As–Hg–Co–Au–Cu–W–Ag–Mo–Sb–Sr–Cd–Sn–Ti–Bi.
Table 4.
Zoning indexes of primary halos.
Through integrative analysis, the features of the axis zonal sequence of the 16th line section in the Qulong can be explained as follows:
(1) High-temperature sub-ore halo elements P, Ni, and V were concentrated in the upper part of the ore body. It was speculated that there might be a denudated ore body at the top of the section to the tail; this can be overruled by the conclusions in Section 5.3. At the same time, Zhu et al. [42] also found in the Shaxi porphyry copper mine that the content of Ni elements is higher in the upper part of the copper body, and Liu et al. [43] found that the content of Ni and V elements is higher in Zijinshan copper mine. In addition, Zheng et al. [1] found a slightly increased content of Ni and Au in the volcanic strata of the outer Yeba Formation in the Qulong mining area. The invading diorite porphyrite in the late mineralization period originated from mantle-derived magma, which also resulted in increased Ni. At the same time, Ni is easily enriched by superorganism leaching, so the occurrence of Ni anomaly at the top of the section may be due to the lithology and the late environmental modification.
(2) The central parts of the orebody represent superimposed near-ore halo elements (Co, Au with W, Ag), which may be caused by two close sub-orebodies.
(3) The supra-ore halo elements Ag, Cd, Sb, and Sr are concentrated in the middle and lower parts of the ore body and superimposed with the sub-ore halo elements (Sn, Ti, and Bi). Therefore, the zonation sequence has an obvious “reverse” feature, indicating that there may be blind ore bodies in the deep.
5.2. Geochemical Parameters of Primary Halo
5.2.1. Element Content Contrast Coefficient
Due to the orders of magnitude differences between the contents of elements, the dimensionless value of the contrast coefficient of the average value excluding the background value, was used to characterize the elements’ enrichment degree [24]. The element content of each sampling section is calculated as the arithmetic mean of the element content of all samples in the sampling section. The axial variation of the element content contrast coefficient is shown in Figure 7.
Figure 7.
Axial change diagram of element contrast coefficients in No. 16 prospecting line, Qulong deposit.
(1) The main metallogenic elements Cu and Mo have the same variation trend. The overall downward trend from the surface shows a pattern of decline → rise → decline. The difference is that the highest value of Cu occurs in the section at 4500–4750 m, while the highest value of Mo occurs at 4250–4500 m. The concentration center of Cu is above the concentration center of Mo, which agrees with the typical characteristics of upper copper and lower molybdenum in this deposit. In addition, Cu shows a downward trend to a certain extent at the surface, and an upward trend to a certain extent at the exposed tail of the ore body, suggesting that there may be a denudated ore body at the tail at the top of the section, and there may be a concealed Cu ore body at the lower part. The change trends of the associated Ag and Au are basically the same, and the overall trend is upward to downward. Similar to the main ore-forming elements, the highest values of Ag and Au appear in the cross-section at 4250–4500 m and 4750–5000 m, respectively, that is, below and above the central part of the ore body, and they are the main near-ore halo elements.
(2) The supra-ore halo elements Pb, Zn, As, Mn, and Hg showed the same variation trend, with an overall downward trend from shallow to deep. Except for Hg, other elements showed a certain upward trend in the depth, suggesting that there may be a hidden orebody front in the depth.
(3) The variation trend of sub-ore halo elements Sn, Ti, and Bi is basically the same. From shallow to deep, the overall trend is upward, and the highest value is in the cross-section of the bottom 4250 m. The overall increasing rate of Sn and Ti is small, while that of Bi is large. There is a small downward trend of Ti in the process of descending from the shallow to the middle part, which further reveals that there may be a denudated ore body at the top of the section to the tail.
5.2.2. Geochemical Parameter Evaluation Index
(1) Law of axial (vertical) change
In order to eliminate the order of magnitude difference between element contents and strengthen the variation trend of the contrast coefficient, the contrast value of each element was used as the evaluation index. The supra-ore halo elements As, Mn, Hg, Sb, and Sr and sub-ore elements Sn, Bi, Ti, P, V, and Ni were selected, and nine geochemical parameter evaluation indexes were established by the formula: P = (supra-ore halo element contrast fatigue value)/ (sub-ore halo element contrast fatigue value), with the parameters represented as a, b1, b2, c1, c2, c3, d1, d2, and e. The values of the evaluation indexes were calculated (Table 5), and an axial variation chart was drawn (Figure 8). As can be seen from Figure 8, the nine geochemical parameters show a downward trend from the shallow part to the deep part, which reflects that the currently identified main ore body is a relatively complete mineralized body, and its tail has been basically exposed. The difference is that indexes c3 and d2 show an upward trend from near surface cross-section I to cross-section II, suggesting that there may be a denudated ore body at the top of this section to the tail. At the same time, indexes a, b2, c2, c3, and d1 also increased to a certain extent between cross-sections IV and V in the deep of the section, suggesting that there may be a concealed ore body in the lower part.
Table 5.
Evaluation indexes of geochemical parameters.
Figure 8.
Axial change diagram of evaluation indexes for geochemical parameters.
(2) Law of horizontal variation
Gregorian et al. [12] studied the primary halos at the Saronrechku porphyry copper mine in the former Soviet Union and found that Ag anomaly widened above the front of the ore body and Mo anomaly widened below the back of the ore body. They believed that the distribution pattern of Ag and Mo anomalies and the ratio of w(Ag)/w(Mo) could be used to judge the head and tail of a gently inclined ore body so as to determine the possible flow direction of the mineral fluid. In this paper, two indexes of Ag/Cu and Ag/Mo were established based on the element contrast coefficient, and the average values of Cu, Mo, and Ag in the ZK1624, ZK1616-1, ZK1608-1, ZK1601-1, and ZK1609-1 boreholes were calculated (Ag was not tested in ZK1617-1 and was not included in the calculation), and then the Ag/Cu and Ag/Mo index values of each borehole were calculated. The horizontal trend chart (Figure 9) shows that the overall change trend of the Ag/Cu and Ag/Mo indexes is basically the same. In the horizontal direction, there is a decreasing trend from south to north, and the low value is the location of the ore body. The location of borehole ZK1601-1 is the smallest, which indicates that the mineral fluid flows southward from ZK1601-1. Therefore, it can be inferred that ZK1601-1 is the location of the hydrothermal center in the 16th line section.
Figure 9.
Longitudinal distribution of Qulong 16th line ore body and changes in the ratio of Ag/Cu and Ag/Mo and the flow direction of the mineral fluid.
5.3. Ore body Denudation Parameter Model
According to the axial zonation sequence of the elements in the 16th line section, As, Mn, Au, and Hg were selected as the supra-ore element group and Mo, Sn, Ti, and W as the sub-ore element group. The relative elevation ∆H of the known ore body was selected as the dependent variable. Since the contrast coefficient adopted in this paper had a relatively small multiplicative ratio, the denudation evaluation index was multiplied by 1000, and the logarithm was taken. Using the evaluation parameter K = ln (η × 1000) as the independent variable, the unitary linear regression equation between the dependent variable ∆H and the independent variable K was established: ∆H = a + b × K, where ∆H = (H − H0)/L, H is the central elevation of the ore body section, H0 is the elevation of the central position of the ore body, and L is the vertical extension length of the ore body.
According to the exploration data of the Qulong mining area, the spatial distribution elevation of ore bodies is between 4350 and 5100 m. Therefore, the central position of the ore body in the 16th line section is 4725 m, and the vertical extension is about 750 m. The ranges of the selected section from top to bottom are 4750–5000 m, 4500–4750 m, and 4250–4500 m, and the central elevation is 4875 m, 4625 m, and 4375 m, respectively. Two first-order parameters (A1 and A2), four second-order parameters (B1, B2, B3, B4), three third-order parameters (C1, C2, C3), and one fourth-order parameter (D) were established according to the contrast coefficients of elements in each section. The evaluation parameters of each index in each section were calculated (Table 6), and a trend chart of the relative elevation of the denudation parameters and the ore body was made (Figure 10). As can be seen from Table 6 and Figure 10, ore body denudation evaluation index parameter K regularly decreases with decreased ore body elevation. The linear relationship between K and ∆H in the trend diagram is good. The goodness of fit (R2) of the linear fitting equation between the relative elevation (∆H) of the ore body and the index parameter (K) are both greater than 0.956, and the credibility is high, indicating that there is a good linear correspondence between the index parameters of denudation evaluation and the section elevation. The location of the ore body section can be judged by the parameters of the denudation evaluation index.
Table 6.
Indexes of erosion parameters.
Figure 10.
Change trend diagram of erosion parameter regression.
The 10 evaluation index parameters of the cross-sections above 5000 m and below 4250 m were substituted into the fitted linear regression equation to obtain the ∆H value of these two cross-sections (Table 7). From the analysis of the obtained denudation parameters, it was inferred that the uppermost part of the profile should belong to the head of the ore body, which is in a state of mild denudation, and the bottom part of the section belongs to the middle tail of the ore body, which does not reach the tail. It was concluded that the bottom of the section exposed by deep engineering should extend downward to a certain extent.
Table 7.
Results of erosion parameter verification.
5.4. Ideal Superimposed Model of Primary Halo
Based on the above analysis of the original anomaly distribution characteristics of elements in the 16th line section of the Qulong mining area and the change characteristics of the corresponding indexes, the following analysis was conducted:
(1) In the upper part of the primary halo zoning sequence, there are mainly supra-ore and some sub-ore halo elements. Combined with the variation rule of geological parameters in the shallow part and the values of denudation parameters, it is inferred that the near-surface part of the ore body belongs to the head of the ore body, but it has undergone mild denudation.
(2) Elements of supra-ore, near-ore, and sub-ore halos appear successively in the upper, middle, and lower parts of the zonal sequence. Combined with the overall decreasing trend of geological parameter index values and denudation parameter index values, it is inferred that there is a relatively complete ore body from the near-surface to the middle and lower part.
(3) According to the element axial zonation sequence, the zonation sequence has an obvious “reverse” feature, that is, the supra-ore and near-ore halo elements are superimposed to a certain extent in the middle and lower part of the sequence. Combined with other judgment indexes, it is inferred that there is a middle tail of the ore body in the middle and lower part, and the deep part should extend a certain amount.
Through the above comprehensive analysis, the ideal superposition model of the primary halo of the No. 16 exploration line can be preliminarily established (Figure 11).
Figure 11.
Ideal zoning models of primary dispersion halos in No. 16 prospecting line of Qulong deposit.
6. Conclusions
(1) According to the hand-held XRF analyzer and the actual situation of the Qulong mining area, 31 elements were selected as the research objects: Cu, Mo, Pb, Zn, Ag, Au, W, Bi, Hg, As, Sn, Sb, Cd, Cs, Ba, Nb, Ni, Rb, Sr, Zr, Th, Te, Fe, Mn, Ti, Ca, K, Al, Si, P, and S. The correlation analysis results show that the overall correlation of the 31 elements is good: Cu, Mo, Pb, Zn, Ag, and S are significantly positively correlated, and Cu and Mo are the main ore-forming elements. The cumulative variance contribution of the factor combination of 11 principal factors extracted from factor analysis is 73.3%.
(2) The geochemical characteristics of primary halos in the 16th line show that Cu and Mo are ore-forming elements; Co, Au, Ag, and W are near-ore halo elements; Pb, Zn, Mn, and As are supra-ore halo elements; and Sn and Bi are sub-ore halo elements. The vertical zoning sequence of primary halo elements is Mn–P–Pb–Ni–Zn–V–As–Hg–Co–Au–Cu–W–Ag–Mo–Sb–Sr–Cd–Sn–Ti–Bi from shallow to deep. The zoning sequence has an obvious “reverse” feature, indicating that there may be blind ore bodies in the deep.
(3) The series values of geochemical parameter evaluation index P, calculated as P = (supra-ore halo element contrast multiplicity)/(sub-ore halo element contrast multiplicity), based on the element content contrast coefficient, show a downward to upward trend from shallow to deep in the axial direction, suggesting that there may be a concealed ore body in the lower part. The evaluation index values established in the horizontal direction show a decreasing trend from south to north, indicating that the relative hydrothermal center of the section is located in the middle section of ZK1601-1 in the north of the deep.
(4) The denudation parameter model shows that the upper part of the No. 16 prospecting line is the head of the ore body, which has only suffered mild shallow denudation. The bottom, controlled by drilling engineering, is the middle tail of the ore body, and there is a certain degree of extension in the deep. The ideal superposition model of the primary halo reflects the ore body trend of the 16th line section to a certain extent. The ore body leans northward on the whole, and the ore fluid flows from the northern deep part to the southern shallow part, and the northern deep part has a downward trend, which can potentially be used as a deep copper prospecting area.
Author Contributions
Conceptualization, W.S.; methodology, W.S.; software, W.S. and Y.Z.; investigation, W.S., W.W., X.F., X.Z. and Z.Z.; resources, Y.Z.; writing—original draft, W.S.; writing—review and editing, W.S., Y.Z., H.H., L.G. and H.L.; project administration, Y.Z. All authors have read and agreed to the published version of the manuscript.
Funding
The research involved in this paper is mainly supported by the national key research and development program of the Ministry of Science and Technology of China (2017YFC0601506) and the project of surface foundation layer survey in the Ningbo area of the Yangtze River Delta (DD20211425), undertaken by Langfang Center for General Survey of Natural Resources, China Geological Survey.
Data Availability Statement
Not applicable.
Acknowledgments
We thank Yanyi Qiao for his helpful discussions during the English writing and research process. We also appreciate the kind help of Huan Ren from the China University of Geosciences (Beijing) in drawing the figures. The authors acknowledge the Editor-in-Chief and the Associate Editor of Minerals. Thorough and constructive reviews by three anonymous reviewers were very helpful in our revision and are gratefully acknowledged.
Conflicts of Interest
The authors declare no conflict of interest.
References
- Zheng, Y. Study on Metallogenic Condition and Mechanism of Qulong Super-Large Porphyry Copper-Molybdenum Deposit in Tibet; Geological Publishing House: Beijing, China, 2013. (In Chinese) [Google Scholar]
- Zheng, Y.; Wu, S.; Ci, Q.; Chen, X.; Gao, S.; Liu, X.; Jiang, X.; Zheng, S.; Li, M.; Jiang, X. Cu-Mo-Au metallogenesis and minerogenetic series during superimposed. Earth Sci. 2021, 46, 1909–1940, (In Chinese with English Abstract). [Google Scholar]
- Wu, S.; Zheng, Y.; Sun, X. Subduction metasomatism and collision-related metamorphic dehydration controls on the fertility of porphyry copper ore-forming high Sr/Y magma in Tibet. Ore Geol. Rev. 2016, 73, 83–103. [Google Scholar] [CrossRef]
- Wu, S.; Zheng, Y.; Xu, B.; Jiang, G.; Yi, J.; Liu, X.; Zheng, S.; Li, L. Heterogeneous mantle associated with asthenosphere and Indian slab metasomatism: Constraints on fertilization of porphyry Cu mineralization in Tibetan orogen. Ore Geol. Rev. 2022, 140, 104601. [Google Scholar] [CrossRef]
- Yang, Z.; Hou, Z.; White, N.C.; Chang, Z.; Li, Z.; Song, Y. Geology of the post-collisional porphyry copper–molybdenum deposit at Qulong, Tibet. Ore Geol. Rev. 2009, 36, 133–159. [Google Scholar] [CrossRef]
- Meng, X.; Hou, Z.; Li, Z. Sulfur and lead isotope compositions of the Qulong porphyry copper deposit, Tibet: Implications for the sources of plutons and metals in the deposit. Acta Geol. Sin. 2006, 80, 554–560, (In Chinese with English Abstract). [Google Scholar]
- Li, Y.; Selby, D.; Condon, D.; Tapster, S. Cyclic magmatic-hydrothermal evolution in porphyry systems: High-precision U-Pb and Re-Os geochronology constraints on the Tibetan Qulong porphyry Cu-Mo deposit. Econ. Geol. 2017, 112, 1419–1440. [Google Scholar] [CrossRef]
- Qin, K. Qulong Porphyry-Skarn Copper-Molybdenum Deposit in Tibet; Science Press: Beijing, China, 2014. (In Chinese) [Google Scholar]
- Zhou, A.; Dai, J.; Li, Y.; Li, H.; Tang, J.; Wang, C. Differential exhumation histories between Qulong and Xiongcun porphyry copper deposits in the Gangdese copper metallogenic belt: Insights from low temperature thermochronology. Ore Geol. Rev. 2019, 107, 801–819. [Google Scholar] [CrossRef]
- Liu, C.; Hu, S. Characteristics of geochemical anomalies in the Qulong porphyry copper-molybdenum deposit of Tibet. Geophys. Geochem. Explor. 2003, 27, 441–444, (In Chinese with English Abstract). [Google Scholar]
- Goldberg, I.S.; Abramson, G.Y.; Los, V.L. Depletion and enrichment of primary haloes: Their importance in the genesis of and exploration for mineral deposits. Geochem.-Explor. Environ. A 2003, 3, 281–293. [Google Scholar] [CrossRef]
- Beus, A.A.; Gregorian, S.V. Geochemical Exploration Methods for Mineral Deposits; Applied Publishing Ltd.: Moscow, Russia, 1977. [Google Scholar]
- Li, Y.; Zhang, D.; Yang, N.; Zhang, T.; Shi, W. Primary geochemical haloes study of the possibly Carlin-like Dashui gold deposit for gold exploration in southern Gansu Province, central China. Geochem.-Explor. Environ. A 2018, 19, 6–23. [Google Scholar] [CrossRef]
- Schmid, S.; Taylor, W.R. Signifcance of carbonaceous shales and vanadium geochemical haloes in the exploration for rock phosphate deposits in the southern Georgina Basin, Central Australia. J. Geochem. Explor. 2009, 101, 91–92. [Google Scholar] [CrossRef]
- Imamalipour, A.; Karimlou, M.; Hajalilo, B. Geochemical zonality coeffcients in the primary halo of Tavreh mercury prospect, northwestern Iran: Implications for exploration of listwaenitic type mercury deposits. Geochem. Explor. Environ. Anal. 2018, 19, 347–357. [Google Scholar] [CrossRef]
- Boström, K. Geochemical exploration methods for mineral deposits. Earth-Sci. Rev. 1978, 14, 67–69. [Google Scholar] [CrossRef]
- Boyle, R.W. The prospect for geochemical exploration-predictable advances and new approaches. J. Geochem. Explor. 1984, 21, 1–18. [Google Scholar] [CrossRef]
- Shao, Y. Hydrothermal Deposit Prospecting of Lithochemical Methods (Primary Halo Methods); Geological Publishing House: Beijing, China, 1997. (In Chinese) [Google Scholar]
- Cameron, E.M.; Hamilton, S.M.; Leybourne, M.I.; Hall, G.E.M.; McClenaghan, M.B. Finding deeply buried deposits using geochemistry. Geochem.-Explor. Environ. A 2004, 4, 7–32. [Google Scholar] [CrossRef]
- Aliyari, F.; Yousefi, T.; Abedini, A.; Calagari, A.A. Primary geochemical haloes and alteration zoning applied to gold exploration in the Zarshuran Carlin-type deposit, northwestern Iran. J. Geochem. Explor. 2021, 231, 106864. [Google Scholar] [CrossRef]
- Liu, C.; Hu, S.; Ma, S. Lithochemical Exploration of Hydrothermal Polymetallic Ore; Geological Publishing House: Beijing, China, 2014. (In Chinese) [Google Scholar]
- Parsapoor, A.; Khalili, M.; Maghami, M. Discrimination between mineralized and unmineralized alteration zones using primary geochemical haloes in the Darreh-Zar porphyry copper deposit in Kerman, southeastern Iran. J. Afr. Earth Sci. 2017, 132, 109–126. [Google Scholar] [CrossRef]
- Cheng, W.; Yin, L.; Chen, C.; Song, Y.; Li, G.; Zhang, X.; Xia, B.; Dawa, C. Geochemical Characteristics of Primary Halos in No. I Ore Body of Keyue Pb Zn Sb Ag Polymetallic Deposit, Tibet. J. Jilin Univ. Earth Sci. Ed. 2016, 46, 1711–1723, (In Chinese with English Abstract). [Google Scholar]
- Li, Y.; Zhang, D.; Dai, L.; Wan, G.; Hou, B. Characteristics of structurally superimposed geochemical haloes at the polymetallic Xiasai silver-lead-zinc ore deposit in Sichuan Province, SW China. J. Geochem. Explor. 2016, 169, 100–122. [Google Scholar] [CrossRef]
- Zhu, X.; Yang, R.; Chen, Y.; Wang, L.; Li, G. Primary halo zonation in and a deep orebody prediction model for the inner-outer contact zone of the Laochang Sn-Cu deposit in Gejiu. Earth Sci. Front. 2021, 28, 112–127, (In Chinese with English Abstract). [Google Scholar]
- Zhu, D.C.; Zhao, Z.D.; Niu, Y.; Dilek, Y.; Wang, Q.; Ji, W.H.; Dong, G.C.; Sui, Q.L.; Liu, Y.S.; Yuan, H.L.; et al. Cambrian bimodal volcanism in the Lhasa Terrane, southern Tibet: Record of an early Paleozoic Andean-type magmatic arc in the Australian proto-Tethyan margin. Chem. Geol. 2012, 328, 290–308. [Google Scholar] [CrossRef]
- Zheng, Y.Y.; Sun, X.; Gao, S.B.; Zhao, Z.; Zhang, G.; Wu, S.; You, Z.; Li, J. Multiple Mineralization Events at the Jiru Porphyry Copper Deposit, Southern Tibet: Implications for Eocene and Miocene Magma Sources and Resource Potential. J. Asian Earth Sci. 2014, 79, 842–857. [Google Scholar] [CrossRef]
- Wu, S.; Zheng, Y.Y.; Sun, X.; Liu, S.A.; Geng, R.R.; You, Z.M.; Ouyang, H.T.; Lei, D.; Zhao, Z.Y. Origin of the Miocene porphyries and their mafic microgranular enclaves from Dabu porphyry Cu–Mo deposit, southern Tibet: Implications for magma mixing/mingling and mineralization. Int. Geol. Rev. 2014, 56, 571–595. [Google Scholar] [CrossRef]
- Pan, G.T.; Mo, X.X.; Hou, Z.Q.; Zhu, D.C.; Wang, L.Q.; Li, G.M.; Zhao, Z.D.; Geng, Q.R.; Liao, Z.L. Spatial-temporal framework of the Gangdese Orogenic Belt and its evolution. Acta Petrol. Sin. 2006, 22, 521–533, (In Chinese with English Abstract). [Google Scholar]
- Xiao, B.; Li, G.; Qin, K.; Li, J.; Zhao, J.; Liu, X.; Xia, D.; Wu, X.; Peng, Z. Magmatic intrusion center and mineralization center of Qulong porphyry Cu-Mo deposit in Tibet: Evidence from fissure-veinlets and mineralization intensity. Miner. Deposits. 2008, 2, 200–208, (In Chinese with English Abstract). [Google Scholar]
- Sun, W.; Zheng, Y.; Niu, X.; Qin, Y.; Wang, W.; Qiao, Y.; Di, B.; Hou, H.; Zhang, S.; Cong, P. Practicality of hand-held XRF analyzer in rapid exploration of porphyry copper deposit. Rock Miner. Anal. 2021, 40, 206–216, (In Chinese with English Abstract). [Google Scholar]
- Somerville, J. Critical factors affecting the assessment of student learning outcomes: A Delphi study of the opinions of community college personnel. J. Appl. Res. Community Coll. 2008, 15, 9–19. [Google Scholar]
- Williams, P.L.; Webb, C. The Delphi technique: A methodological discussion. J. Adv. Nurs. 1994, 19, 180–186. [Google Scholar] [CrossRef]
- Ghasemi, M.; Ghanavati, E.; Kazemi, J. Identifying the most effective geosite evaluation models in Iran using Delphi and analytic hierarchy process methods. Quaest. Geogr. 2021, 43, 21–31. [Google Scholar] [CrossRef]
- Howarth, R.J.; Sinding-Larsen, R. Multivariate analysis. In Statistics and Data Analysis in Geochemical Prospecting; Howarth, R.J., Ed.; Handbook of Exploration Geochemistry; Elsevier: Amsterdam, The Netherlands, 1983; Volme 2, pp. 207–291. [Google Scholar]
- Ji, H.; Zhu, Y.; Wu, X. Correspondence cluster analysis and its application in exploration geochemistry. J. Geochem. Explor. 1995, 55, 137–144. [Google Scholar] [CrossRef]
- Wang, C.; Carranza, E.J.M.; Zhang, S.; Zhang, J.; Liu, X.; Zhang, D.; Sun, X.; Duan, C. Characterization of primary geochemical haloes for gold exploration at the Huanxiangwa gold deposit, China. J. Geochem. Explor. 2013, 124, 40–58. [Google Scholar] [CrossRef]
- Kaiser, H.F. The application of electronic computers to factor analysis. Educ. Psychol. Meas. 1960, 20, 141–151. [Google Scholar] [CrossRef]
- Hu, Y. Multivariate Analysis in Geochemistry; China University of Geosciences Publishing House: Wuhan, China, 1991. (In Chinese) [Google Scholar]
- Jiang, J.; Cheng, J.; Qi, S.; Xiang, W. Applied Geochemistry; China University of Geosciences Publishing House: Wuhan, China, 2006. (In Chinese) [Google Scholar]
- Wang, J.; Zang, X.; Guo, X.; Xie, H.; Zhao, L.; Sun, Y. The improved Gregorian’s zoning index calculating method. J. Jilin Univ. Earth Sci. Ed. 2007, 37, 884–888, (In Chinese with English Abstract). [Google Scholar]
- Zhu, B.; Xu, W. Geochemical characteristics of mineralization of porphyry copper deposits. Geochemical 1984, 2, 107–117, (In Chinese with English Abstract). [Google Scholar]
- Liu, G.; Dai, M.; Qi, J.; Zhang, J. Geochemical characteristics of primary halos and ore-search prospecting in the depth of the Zijinshan copper-gold deposit, Fujian province. Geophys. Geochem. Explor. 2014, 38, 434–440, (In Chinese with English Abstract). [Google Scholar]
Disclaimer/Publisher’s Note: The statements, opinions and data contained in all publications are solely those of the individual author(s) and contributor(s) and not of MDPI and/or the editor(s). MDPI and/or the editor(s) disclaim responsibility for any injury to people or property resulting from any ideas, methods, instructions or products referred to in the content. |
© 2023 by the authors. Licensee MDPI, Basel, Switzerland. This article is an open access article distributed under the terms and conditions of the Creative Commons Attribution (CC BY) license (https://creativecommons.org/licenses/by/4.0/).










