Abstract
Early Carboniferous (359.3–323.4 Ma) volcanic complexes are widespread in the Southern Ural tectonic province, a fragment of the western (in present-day coordinates) segment of the Central Asian Orogenic Belt. Here, the Lower Carboniferous sequences crop out within the following N–S-trending tectonic zones (from west to east): Magnitogorsk, Ui River, East Ural, Transural, and Valeryanovka. We describe and discuss the geology and geochemistry of the Early Carboniferous volcanic complexes on the basis of published and newly obtained data, with implications for paleo-tectonic models. The western zones are dominated by bimodal rhyolite-basalt series, with the basalts relatively enriched in Ti and Zr but depleted in Nb. The volcanics of the Valeryanovka zone belong to the typically evolved calc-alkaline series, with the derivatives depleted in Ti and Nb. Almost all of the selected groups of volcanics bear geochemical signatures transitional between those of subduction-related and intraplate igneous rocks. The relative enrichment of the volcanics of the East Ural and Transural Zones may be interpreted as a result of a contribution from asthenospheric mantle and/or from subcontinental lithospheric mantle. The volcanics of the Valeryanovka zone reveal features common to subduction-related series of the Andean type. The data obtained allow us to compare the Early Carboniferous geodynamic settings in the western zones with the modern setting of the Northeastern Pacific, whereas the geodynamic setting of the Valeryanovka zone resembles that at the western margin of South America.
1. Introduction
The tectonic province of the Southern Urals is a part of the Central Asian Orogenic Belt, one of the largest accretionary systems of the Phanerozoic (538.8–0 Ma, [1]) time (e.g., [2] and references therein). The Southern Ural area comprises various Neoproterozoic (1000–541 Ma, [1]) and Paleozoic (538.8–251.9 Ma, [1]) complexes that were finally assembled during the Permian (298.9–251.9 Ma, [1]) time, as a result of the collision between the East European Craton and Kazakhstan continent (e.g., [3,4,5]). Lower Carboniferous rocks are widespread within the Southern Urals.
The Lower Carboniferous volcanic complexes of the Southern Urals have been studied by many researchers (e.g., [6,7,8,9,10,11,12]). Sections of volcanic complexes have been studied in detail, and their age was determined using paleontological data. Numerous major oxide analyses have been performed [6,8,9,10,13,14], and some complexes have been characterized using trace elements.
Geodynamic models for the Early Carboniferous of the Southern Urals differ significantly [7,8,15,16,17]. According to the traditional interpretation [15], the volcanic series of the Magnitogorsk and East Ural Zones mark the late stages of the Magnitogorsk Island arc evolution at the active margin of the East European paleocontinent, or Baltia, whereas the East Magnitogorsk zone is commonly considered a microcontinent; volcanic rocks of the Valeryanovka zone are regarded as being related to the Andean-type margin of the Kazakhstan paleocontinent. However, the subsequent comprehensive study of the Lower Carboniferous igneous rocks in the Magnitogorsk and East Ural Zones has revealed their appreciable difference from typical island arc complexes. Salikhov and Yarkova [7] suggested that these volcanic complexes were formed in a rift setting during the collision of the Magnitogorsk Island arc and the East European continent. The idea of a rift origin has recently been applied to the volcanic complexes of the Valeryanovka zone [8]. The Early Carboniferous basins underlain by the oceanic crust, which are shown between the Baltia and Kazakhstan paleocontinents in many paleogeodynamic reconstructions [15,16,17], are also questionable.
By now, there is no generalizing work on the Early Carboniferous volcanic complexes of the Southern Urals. Many aspects of the origin of the Carboniferous (359.3–298.9 Ma, [1]) volcanic rocks and their geodynamic settings have remained a matter of debate until now.
The authors took part in a geological survey on a scale of 1:200,000 in the Southern Urals. We compiled a large geological and geochemical database on Early Carboniferous volcanics and obtained new data on the structure and composition of the Carboniferous rock complexes of the East Ural and Magnitogorsk Zones. Furthermore, new areas occupied by the Early Carboniferous basalts were found in the Transural and Magnitogorsk zones [6].
We have summarized a large number of new detailed geological descriptions of the volcanic sections in different zones of the Southern Urals; studied a large number of thin sections; and compiled the most complete database of geochemical data on the Early Carboniferous volcanic rocks of this region to date. These data, coupled with the previously published information, allow us to offer a new interpretation of the geodynamic evolution of the Southern Urals and the adjacent territory of Kazakhstan in the Early Carboniferous.
2. Materials and Methods
Our fieldwork included the following components: (1) the reconnaissance routes aimed to understand the general geologic structure of the studied area, and to prove the main geologic units distinguished by previous studies; (2) the study of outcrops within selected key areas, to ascertain the relations between geologic units and details of their internal structure. Particular attention is placed on the detailed description of stratigraphic sections available in outcrops, with sampling of all main rock types. The first step in the laboratory study of the collected samples was the petrographic description of thin sections. Then, a set of representative samples was selected for bulk rock chemical analyses.
In total, 402 major oxide analyses were performed using the conventional wet chemistry method at the chemical laboratory of the Institute of Mineralogy, Ural Branch of the Russian Academy of Sciences (Miass, Russia).
Multi-element standards (Agilent) were routinely analyzed as quality control. The analytical performance was assessed through related materials, including Russian reference materials SGD-2a (Essexite gabbro) and SKD-1 (quartz diorite), which both have certified/recommended values. The relative standard deviation (RSD) was below 8%. The recovery of the reference materials was 91–112%.
A total of 213 samples was analyzed for trace elements using the ICPMS method at the Zavaritsky Institute of Geology and Geochemistry (Ekaterinburg, Russia). In the analyses, 100 mg shots of each sample were digested in a multi-acid solution (HCl + HNO3 + HF) using a Berghof Speedwave MWS 3+ system. The analyses were performed using a NexIONTM 300S mass spectrometer (PerkinElmer Inc., Waltham, MA, USA). Certified reference materials BCR-2 (basalt) and AGV-2 (andesite) were used as standard samples.
Additionally, 152 major oxide and 14 trace element analyses that were previously published were included in this study [8,9,10,13] to provide a representative database.
3. Results
3.1. Geology and Age of Volcanic Complexes
Lower Carboniferous rocks are widespread within the Southern Urals. The volcanic and volcano-sedimentary sequences of this age are localized within several N–S-trending zones: Magnitogorsk, East Ural, Transural, and Valeryanovka zones, listed from west to east (Figure 1). In the present-day structure, they are divided by narrow wrench sutures: the Ui River Suture between the Magnitogorsk and East Ural Zones, and the Kopeisk Suture between the Transural and Valeryanovka Zones. The Tobol Suture divides the margins of the East European and Kazakhstan paleocontinents.
Figure 1.
Location of the Lower Carboniferous complexes in the Southern Urals (modified from [6]) and field study area with sampling. Legend: (1) East European Craton; (2) Kazakhstan continent; (3) margins of the East European Craton; (4) margins of the Kazakhstan continent; (5) Upper Carboniferous–Permian sedimentary complexes; (6) Late Paleozoic granitic plutons; (7) Central Asian Orogenic Belt; (8) Lower Carboniferous volcanic complexes; (9) Tobol Suture; (10) zone boundaries; (11) faults; (12) field study area with sampling.
The Early Carboniferous volcanic complexes are the most abundant in the Magnitogorsk and Valeryanovka zones and locally occur in the East Ural and Transural zones (Figure 1 and Figure 2). Organogenic limestones that are everywhere, which are associated with volcanics, provide their acceptable age estimates.
Figure 2.
Stratigraphy of the Lower Carboniferous complexes of the Southern Urals and the transural region. Stratigraphic columns of the Magnitogorsk, Ui River, East Ural, and Transural zones built based on field data. Stratigraphic column of the Valeryanovka zone from [8,9,10]. Time scale from [1]. Legend: (1) Basalt; (2) trachybasalt; (3) basaltic breccia; (4) basaltic tuff; (5, 6) basaltic andesite and andesite: (5) lava and (6) tuff; (7, 8) continental volcanics (redstones): andesitic lava (7) and tuff (8); (9, 10) rhyolite and rhyodacite: (9) lava and (10) tuff; (11) trachyrhyolite and trachydacite; (12) tuffaceous sedimentary rocks; (13) limestone; (14) sandstone and siltstone with limestone interbeds; (15) sandstone and siltstone; (16) mainly sandstone; (17) conglomerate; (18) Early Carboniferous volcanic complexes.
3.1.1. The Magnitogorsk Zone
The Magnitogorsk zone is a complexly built synclinorium largely composed of Devonian (419–359.3 Ma, [1]) volcanic and volcano-sedimentary sequences. The Lower Carboniferous volcanics are present in the eastern part of this zone ([5,7,11], to name but a few). The upper Tournaisian-lower Visean (time scale from [1]) sequence conformably overlies the diverse Upper Devonian-Lower Carboniferous (378.9–323.4 Ma, [1]) rocks and mainly consists of mid-alkaline volcanics. Basalt and rhyolite are predominant (Figure 3); pyroclastic, volcano-sedimentary, terrigenous, and carbonate rocks are also widespread. The middle Visean sequence consists of moderately alkaline basalt, andesite, dacite including lavas, pyroclastic rocks, and epiclastic rocks.
Figure 3.
Pillow basalts (A) and rhyolitic ignimbrites (B) in the Magnitogorsk zone.
The thickness of the Lower Carboniferous volcanic group varies from 1200 to 5500 m; volcanics are overlain by the upper Visean limestone (Figure 2). The age of volcanic rocks has been proved by findings of foraminifers in limestone interbeds [7] and U–Pb zircon dating (350.7 ± 2.9 Ma; 348.5 ± 3.1 Ma; 340.6 ± 2.8 Ma) using SHRIMP [18]. The oldest volcanics appear at the base of the upper Tournaisian, while the youngest igneous rocks are recorded in the middle of the upper Visean. In the Southern Magnitogorsk zone, the Early Carboniferous volcanic complexes are completely replaced with clastic-carbonate and coal-bearing sequences [19].
Basalts are massive dark gray and greenish rocks of a porphyrytic or, sometimes, aphyric texture. Phenocrysts include plagioclase and pyroxene in various volume proportions. The matrix is composed of altered glass, plagioclase, and pyroxene microlites, and tiny Ti-magnetite. The texture of the groundmass is intersertal or microlitic, and sometimes amygdaloidal. Basaltic pyroclastic rocks are petrographically diverse, and they usually form distinct layers with variable size and volume proportions of lithic, vitric, and crystal clasts.
Rhyolites are also characterized by a porphyritic or aphyric texture, and sometimes reveal fine flow banding. In rhyolitic ignimbrites, variable rock clasts and fragmented feldspar, quartz, and biotite grains are embedded in a strongly welded and altered glassy matrix, sometimes containing fiamme of up to 10 cm in length.
In almost all studied thin sections, the magmatic phases are largely replaced by aggregates of hydrothermal minerals (the most ubiquitous are chlorites, albite, epidote, and sericite).
3.1.2. The Ui River Suture Zone
The Ui River Suture is a stack of steeply dipping tectonic sheets composed of rocks of various ages. The Lower Carboniferous is represented in these sheets by basalt and rhyolite as lavas, lava breccias (Figure 4), tuffs, and tuffites. The total thickness of the sequence is 1000–1400 m.
Figure 4.
Rhyolytic lava breccias in the Ui River Zone.
Basalts and basaltic andesites are characterized by a porphyrytic or, rarely, aphyric texture. The most common phenocryst phase is plagioclase. The groundmass is intersertal or hyalopilitic. Trachybasalts are usually porphyritic, with an intersertal or doleritic matrix. The basaltic breccias include angular fragments of aphyric and sparsely porphyritic basalts embedded in a texturally similar but somewhat different matrix. Porphyritic basaltic andesites have an intersertal groundmass.
Rhyolites have a porphyritic texture, with phenocrysts of plagioclase, K-Na feldspar, and minor pyroxene and biotite. Feldspars frequently form glomerocrysts. The matrix is massive, flow-banded, or spherulitic. Vitric tuffs of rhyolites are composed of altered glassy shards and small pumice fragments.
3.1.3. The East Ural Zone
The Precambrian–Lower Paleozoic (2500–419 Ma, [1]) metamorphic basement of the East Ural Zone is overthrust by stacks of tectonic sheets, including the middle Visean volcanic sequence [13].
In the west, this sequence is exposed as a number of N–S-trending tectonic sheets extending for more than 40 km and having a width of 2–16 km. The sheets are composed of volcanic, volcano-sedimentary, and sedimentary members more than 1500 m in total thickness. Carbonaceous, terrigenous rocks and diverse basaltic lavas, tuffs, and breccias are found at the base of the sequence, whereas intermediate and silicic volcanics make up its upper portion. The age of the sequence is determined by sporadic findings of fossil plants [13].
In the eastern part of this zone, the volcanic rocks occur as a few tectonic sheets, as long as 30 km and as wide as 4–9 km. Here, the sequence consists of both lavas and tuffs of basalt and basaltic andesite that upsection give way to rhyolite and andesite. The total thickness of the sequence varies from 800 to 1500 m. These rocks are barren of fossils, and their age is assumed by analogy with the volcanics that occur in the west of this zone [13].
The most common volcanic rocks of the East Ural Zone are porphyrytic amygdaloidal basalts with phenocrysts of plagioclase and pyroxene, and an intersertal to microlitic matrix. Basaltic tuffs usually consist of lithic and crystal clasts. Rhyolites are characterized by a porphyritic or aphyric texture, often fluidal. Tuffs and tuff breccias of rhyolites contain clasts of glass, crystals, and felsic rocks.
3.1.4. The Transural Zone
The Transural zone is characterized by a complex nappe-fold structure of various igneous and sedimentary complexes varying in age from the Ordovician (486.9–443.1 Ma, [1]) to the Early Carboniferous [6].
The Lower Carboniferous volcanic units make up a narrow synform broken by numerous longitudinal faults. No reliable normal contacts with the underlying Upper Devonian (378.9–359.3 Ma, [1]) and Lower Carboniferous terrigenous–carbonate rocks are known to date.
Basaltic pillow lavas (Figure 5A) are prevalent, and diverse hyaloclastites and volcanic breccias (Figure 5B) are also widespread. The late Visean–Serpukhovian age of the sequence is supported by fossils [6].
Figure 5.
Basaltic pillow lavas (A) and lava breccias (B) in the Transural zone.
The most common petrographic differences are porphyrytic basalt, lava breccia, aphyric basalt, porphyrytic amygdaloidal basalt, and hyaloclastites.
In porphyrytic basalts, phenocrysts include plagioclase, pyroxene, and hornblende. The texture of the groundmass is microlitic or intersertal. Basalts are composed of plagioclase, pyroxene, hornblende, altered glass, and Ti-magnetite. Lava breccias consist of clasts of both porphyritic and aphyric basalts. Aphyric basalts are characterized by an intersertal or ophitic texture of the groundmass. The matrix is composed of plagioclase and pyroxene microlites, altered glass, and magnetite.
3.1.5. The Valeryanovka Zone
The Paleozoic complexes are largely overlain by the Mesozoic (251.9–66 Ma, [1]) and Cenozoic (66–0 Ma, [1]) sedimentary cover and are studied using sporadic outcrops and borehole cores, as well as in the process of mining large iron deposits that are hosted in the Carboniferous (359.3–251.9 Ma, [1]) volcanic sequences [9,14,20].
In the west of this zone, the Lower Carboniferous sequence consists of basalt, basaltic andesite, and andesite. The total thickness of this sequence reaches 1000 m. Interbeds of organogenic limestone with middle-late Visean fossils occur within the volcanic pile [20].
To the east, the Lower Carboniferous is composed of Visean (346.7–330.3 Ma, [1]) and Serpukhovian (330.3–323.4 Ma, [1]) volcanic and volcano-sedimentary complexes, mainly of andesitic, basaltic andesitic, and basaltic compositions. Here, their total thickness reaches 6–7 km [12]. Proportions of various rocks vary within a wide range [8]. Numerous thick limestone lenses with diverse organic remains are typical of volcanic sequences in the Valeryanovka zone.
3.2. Geochemistry of Volcanic Complexes
3.2.1. Major Oxides
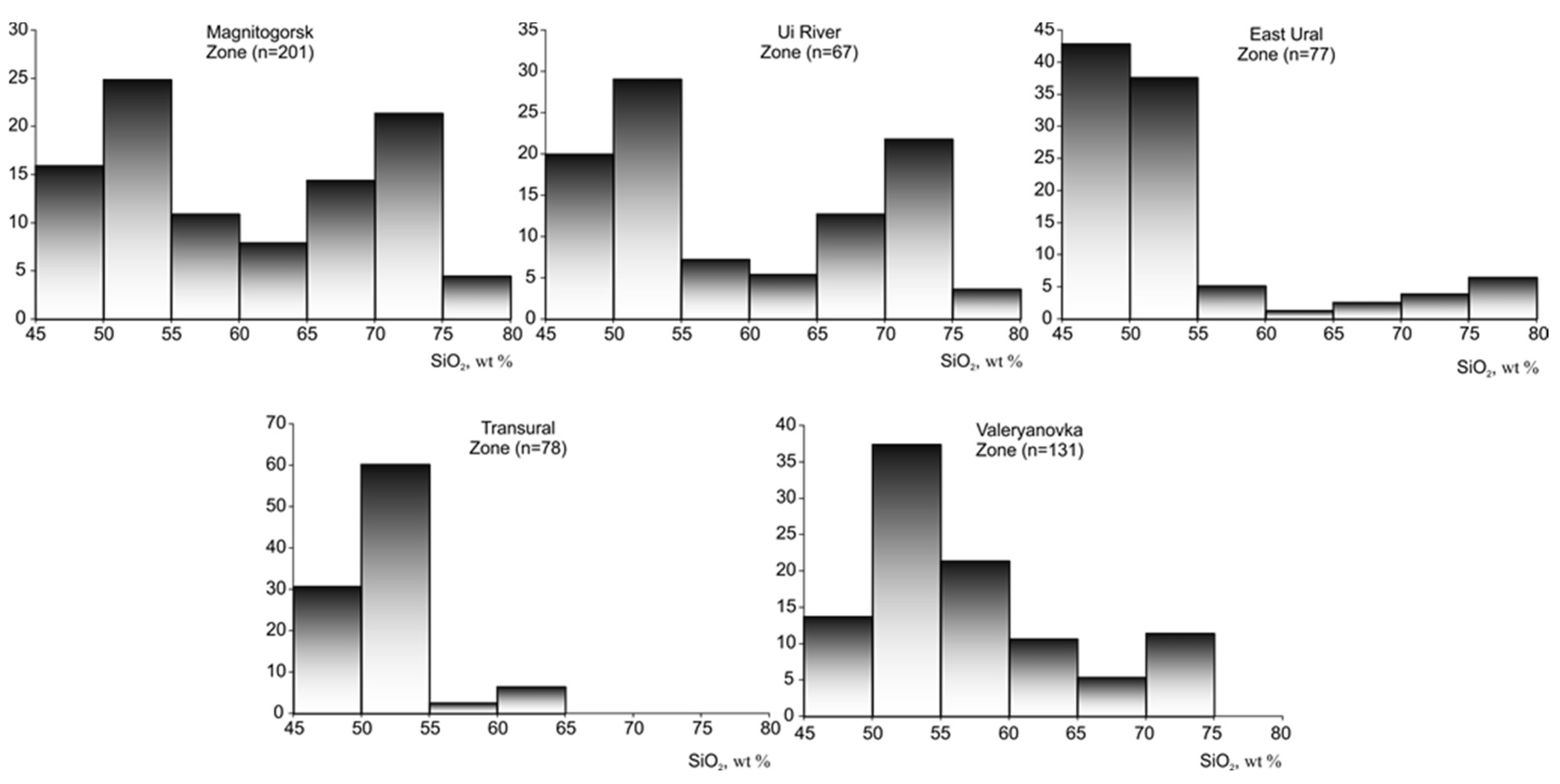
The newly obtained major element data are presented in Table S1 and in Figure 6, Figure 7, Figure 8 and Figure 9. All the studied volcanic sequences are represented by compositionally differentiated series, with basalts and basaltic andesites as major components. In the sequences of the Magnitogorsk and Ui River zones, silicic rocks are also quite abundant, and the histograms of the SiO2 content display two nearly equal peaks here (Figure 6). The portion of silicic rocks is smaller in the Valeryanovka and East Ural zones, and almost negligible in the Transural zone (Figure 6).
Figure 6.
SiO2 histograms of the Early Carboniferous volcanic rocks of the Southern Urals based on SiO2 contents; n is the number of samples. Samples from the East Ural zone are partly from [13]; those from the Valeryanovka zone are from [8,9,10].
Figure 7.
Compositions of the Early Carboniferous volcanic rocks of the Southern Urals plotted on the (A) (Na2O + K2O)–SiO2 (TAS diagram) and (B) MgO–SiO2 diagrams. Samples from the East Ural zone are partly from [13]; those from the Valeryanovka zone are from [8,9]. TAS diagram fields [21]: 1—foidite; 2—picrobasalt; 3—basalt; 4—trachybasalt; 5—basanite/tephrite; 6—basaltic andesite; 7—basaltic trachyandesite; 8—phonotephrite; 9—andesite; 10—trachyandesite; 11—tephriphonolite; 12—dacite; 13—trachyte/trachydacite; 14—phonolite; 15—rhyolite.
Figure 8.
Compositions of the Early Carboniferous volcanic rocks of the Southern Urals plotted on the (A) TiO2–SiO2 and (B) Al2O3–SiO2 diagrams. Samples from the East Ural zone are partly from [13]; those from the Valeryanovka zone are from [8,9].
Figure 9.
Compositions of the Early Carboniferous volcanic rocks of the Southern Urals plotted on the AFM diagram [22]. T and CA are fields of tholeiitic and calc-alkaline series, respectively. Samples from the East Ural zone are partly from [13]; those from the Valeryanovka zone are from [8,9].
A considerable part of the analyses corresponds to moderately alkaline rocks that are present in all tectonic zones of the Southern Urals. In the Magnitogorsk and Ui River zones, the moderately alkaline volcanics predominate, and several samples are even plotted in the field of basanites/tephrites in the TAS diagram (Figure 7A). The presence of modal nepheline has been detected in a few samples from the Ui River zone.
The rocks from the Magnitogorsk, Ui River, East Ural, and Transural zones comprise a significant portion of high-Ti basalts, with the TiO2 content varying between 2 and 4 wt. % (Figure 8A). In Valeryanovka zone basalts, the TiO2 content varies between 0.5 and 2 wt. %, with an average of nearly 1 wt. % (Figure 8A). The AFM diagram (Figure 9) shows the presence of both tholeiitic and calc-alkaline series rocks in all studied tectonic zones, but the portion of tholeiites is greater in the East Ural and Transural Zones. This is consistent with the slightly lower-average Al2O3 content in volcanics from these zones (Figure 8B).
3.2.2. Trace Elements
Throughout the entire area of the Southern Urals, mafic and silicic volcanic rocks of Carboniferous age display considerable differences in their trace element compositions. The samples with a SiO2 content above 57 wt. % are substantially enriched in REE, Zr, and Th and strongly depleted in Sr, relative to both coeval volcanics with SiO2 < 57 wt. % and an average continental crust composition (Figure 10A). The basalts and basaltic andesites of the Southern Urals are moderately enriched, with total incompatible element contents between those of E-MORB and OIB (Figure 10B). Sr contents are unstable, with both negative and positive anomalies. Almost all studied complexes are Nb-depleted (Figure 10), with an LaN/NbN ratio between 1 and 4.
Figure 10.
Trace element plots for (A) intermediate and silicic (SiO2 > 57 wt. %) and (B) basic and intermediate (SiO2 < 57 wt. %) Early Carboniferous volcanic rocks of the Southern Urals. The contents are normalized to the primitive mantle composition, after [23]. The compositions of the upper (UCC) and lower (LCC) continental crust are from [24]. Average E-MORB and OIB compositions are from [23]. Samples from the Valeryanovka Zone are from [10]. The average compositional fields for (1) intermediate and silicic (SiO2 > 57 wt. %, n = 518, 98% confidence) volcanic rocks from the Basin and Range Province, after [25], (2) Andean andesites (63 wt. % > SiO2 > 55 wt. %, n = 590, 95% confidence), after [26], and (3) basic and intermediate (SiO2 < 57 wt. %, n = 97, 95% confidence) volcanic rocks from the Basin and Range Province, after [25], are presented for reference.
The samples from the Valeryanovka zone [10] are relatively depleted in HREE, so their La/Yb ratios approach those of OIB (Figure 11B). The volcanics from other tectonic zones display relatively gentle REE patterns (Figure 11). Any other vestiges of spatial geochemical zonation of Carboniferous volcanics in the Southern Urals are rather ambiguous. For instance, the La/Nb ratio is slightly lower in the samples from the Ui River and East Ural zones, relative to the other studied complexes (Figure 12C).
Figure 11.
REE plots for (A) intermediate and silicic (SiO2 > 57 wt. %) and (B) basic and intermediate (SiO2 < 57 wt. %) Early Carboniferous volcanic rocks of the Southern Urals. Normalized chondrite CI values and average E-MORB and OIB compositions are from [23]. The compositions of the upper (UCC) and lower (LCC) continental crust are from [24]. Samples from the Valeryanovka zone are from [10]. The average compositional fields for (1) intermediate and silicic (SiO2 > 57 wt. %, n = 518, 98% confidence) volcanic rocks from the Basin and Range Province, after [25], (2) Andean andesites (63 wt. % > SiO2 > 55 wt. %, n = 590, 95% confidence), after [26], and (3) basic and intermediate (SiO2 < 57 wt. %, n = 97, 95% confidence) volcanic rocks from the Basin and Range Province, after [25], are presented for reference.
Figure 12.
Compositions of the Early Carboniferous volcanics from the Southern Urals plotted on LaN—LaN/SmN (A), LaN/YbN (B), and LaN/NbN (C) diagrams. REE contents are normalized to the primitive mantle, after [23]. The asterisks depict the reference compositions of N-MORB, E-MORB, and OIB [23]; LCC and UCC [24]; and IAB [27]. Samples from the Valeryanovka zone are from [10].
4. Discussion
4.1. Major Magma Sources
Many of the studied volcanic complexes include considerable portions of felsic rocks that could hardly originate from mantle sources only. The significant difference between the trace element contents and ratios in mafic and silicic volcanics of the Southern Urals (Figure 10, Figure 11, Figure 12 and Figure 13) also infers that crustal sources were actively involved in the generation of silicic magmas through the AFC (assimilation and fractional crystallization) process and/or the direct melting of crustal material. Both processes are thought to be common in Andean-type continental arcs, in post-orogenic settings, and in some continental rift zones (e.g., [27,28]). Additionally, crust-derived magmatic rocks have been reported in island arc and in back-arc environments. Within the Southern Urals, the portion of silicic rocks, and probably the contribution from crustal sources, seems to be greater in the Magnitogorsk and Ui River zones. The Valeryanovka belt is dominated by andesitic series with minor silicic rocks, which is typical of many continental volcanic arcs [29]. In the East Ural zone, and especially in the Transural zone, the contribution from crustal sources appears to be insignificant. Our conclusions on magma sources need to be verified by isotopic data.
Figure 13.
Compositions of the Early Carboniferous volcanics from the Southern Urals plotted on SiO2—LaN (A) and LaN/YbN (B) diagrams. REE contents are normalized to the primitive mantle, after [23]. Samples from the Valeryanovka zone are from [10].
The diagrams of SiO2 vs. LaN and SiO2 vs. LaN/YbN (Figure 13) indicate the relative enrichment of silicic melts, both in terms of bulk LREE contents and REE fractionation. The compositional trends between the hypothetic mantle-derived and crust-derived magmas are unclear, probably because of the heterogenous source compositions.
In the Th/Yb vs. Nb/Yb diagram (Figure 14) from [30], almost all studied samples are plotted above the mantle array (N-MORB to OIB), which is typical of subduction-related magmas and results from direct contamination by continental crust material or source contamination (fluid transport of some elements from a sinking slab).
Figure 14.
Compositions of the Early Carboniferous volcanics from the Southern Urals plotted on the Th/Yb—Nb/Yb diagram, from [30]. Samples from the Valeryanovka zone are from [10].
The discussion of the composition of Early Carboniferous volcanic rocks of the Southern Urals is presented separately for mostly mafic (with SiO2 < 57 wt. %) and mostly silicic rocks (SiO2 > 57 wt. %), considering that they are likely dominated by derivatives from mantle and crustal sources, respectively.
4.1.1. Basalts and Basaltic Andesites
The volcanics with a SiO2 content below 57 wt. % likely originate from moderately enriched mantle sources. Mostly, their La/Sm and La/Yb ratios are similar to those of E-MORB, and gradually increase with the SiO2 content (Figure 12A,B), probably because of crustal contamination and crystal fractionation. The latter process likely played a significant role in magma evolution because the bulk incompatible element contents of Southern Ural mafic volcanics far exceed those of typical E-MORB (Figure 10B).
The almost omnipresent Nb depletion and high LILE/HFSE ratios infer that supra-subduction mantle wedge material was the main source of the mafic magmas of the Southern Urals during the Early Carboniferous. The variations in the average La/Nb ratio (Figure 13C) perhaps result from various contributions from Nb-depleted primary melts. For instance, a greater number of samples from the Valeryanovka belt display high LaN/NbN values of 4 to 5, approaching the average for typical island arc basalt [31]. This confirms the suggestion that the Valeryanovka belt is a normal subduction-related magmatic province. The mafic volcanics from other tectonic zones of the Southern Urals are characterized by lower LaN/NbN ratios between 1 and 3, which could result from the contribution from some less Nb-depleted magma sources, for example, asthenospheric mantle. This source likely dominated in the East Ural Zone, where basaltic rocks yield LaN/NbN ratios similar to, and sometimes even lower than, those of E-MORB (Figure 12C).
4.1.2. Andesites and Silicic Rocks
The trace element composition of the Early Carboniferous volcanics of the Valeryanovka Zone characterized by a SiO2 content above 57 wt. % (Figure 10A) is broadly consistent with the average composition of the upper continental crust [24], while the rocks from the other studied tectonic zones (Magnitogorsk, East Ural, and Transural) reveal substantially higher Zr and HREE contents, and lower La/Sm and La/Yb ratios (Figure 10A, Figure 11A and Figure 12A,B). This could result from the large-scale compositional difference between the magma sources located in the blocks of continental crust that later collided to form the present-day structure of the Southern Urals. A few samples of silicic rocks display a relatively depleted composition (Figure 10A and Figure 11A). They are either a product of the melting of the depleted lower crust or a product of the differentiation of depleted mafic melts. The common Nb depletion (Figure 10A) may be interpreted as being inherited from ancient subduction-related complexes within the continental crust.
4.2. Geodynamic Settings of Volcanic Complexes
Conventionally, the Paleozoic structure of the Southern Urals is thought to have formed after the collision of the East European and Kazakhstan paleocontinents [3,4,5]. The complexes of various ages previously formed at active and passive margins of these paleocontinents are juxtaposed in the collisional structure. Having considered the structure, composition, vertical succession, and lateral zoning of the Early Carboniferous volcanic complexes in the Southern Urals and Transural Zone, we offer a new model of the evolution of the East European and Kazakhstan continental margins in the Early Carboniferous (Figure 15).
Figure 15.
Tectonic model for the Southern Urals during the Early Carboniferous time. (1) Continental crust; (2) transitional and oceanic crust; (3) island arc complexes; (4) accretionary complexes; (5) gabbro–granite and tonalite–granodiorite intrusive complexes; (6) clastic, carbonate, and siliceous rocks; (7) suture zones; (8) active volcanism. Time scale from [1]. See text for explanation.
First, we focus our attention on the Early Carboniferous complexes of the East European paleocontinent, which are well-exposed and studied in detail. We assume that these volcanic complexes formed under rifting conditions superimposed on blocks of different terranes.
- By the beginning of the Early Carboniferous, subduction in the Southern Urals had already ended [3,4,5].
- The Early Carboniferous volcanic complexes are localized within local N–S-trending zones.
- Almost all selected groups of volcanics bear geochemical signatures transitional between those of subduction-related and intraplate igneous rocks. Hybrid geochemical characteristics are typical of rifting areas superimposed on young-folded structures [32,33,34].
The reconstruction of the tectonic setting of these volcanic complexes requires consideration of the coeval rocks that occurred within the ancient continent and in the west of the Southern Urals (in present-day coordinates, here and thereafter). The area of carbonate sedimentation was bounded in the east by the deepwater flysch trough that started to subside in the Late Devonian and continued to develop in the Early Carboniferous. Further eastward, the flysch trough gave way to the Lower Carboniferous carbonate and clastic rocks of the Magnitogorsk and East Ural Zones. Hence, the Magnitogorsk island-arc system and the East Ural microcontinent were already accreted to the East European paleocontinent in the Early Carboniferous [4,5].
The collision of the East European continent and the Magnitogorsk Island arc most likely happened in the mid-Frasnian (~375 Ma, after [1]), as evidenced not only from the structure of this arc itself but also from the structural rearrangement of the platform. Consistent with the predominant NW-directed compression structural features and the NE-trending extension features, the regional stress field of the East European paleocontinent was characterized by the principal compression axis oriented in the northwestern direction and the extension axis trending in the northeastern direction [35,36]. This structural grain is consistent with paleomagnetic data [37] indicating that convergence of the East European and Siberian–Kazakhstan blocks largely resulted from their differential clockwise rotation.
Thus, the collision of the East European paleocontinent and Magnitogorsk Island arc was oblique rather than frontal [38], with predominance of left-lateral strike-slip motions. The left-lateral kinematics of large strike-slip zones, which are documented in the suture zones [13], were retained until the Early Carboniferous.
The Magnitogorsk Island arc and East Ural microcontinent accreted to the East European continent became the areas of vigorous volcanism during the Early Carboniferous time. The volcanic sequences were accumulated on the background of shallow-water carbonate sedimentation. The volcanic activity occurred in relatively short volcanic belts (no longer than 200–250 km, Figure 1), with abrupt replacements of volcanic rocks with terrigenous and carbonate sequences both across and along the strike of volcanic belts, with variable ages of the onset and cessation of volcanic activity (Figure 2). In general, the volcanism was initiated in the west of the Magnitogorsk zone, and then gradually migrated to the east during ca. 20 m.y. The volcanic eruptions were confined to local grabens that display sharp variations in the thickness of volcanic and sedimentary sequences. The grabens were formed under conditions of general NE extension. Some of them are probably related to the opening of transtensional pull-apart structures in the course of the evolution of regional strike-slip fault systems. In the East Ural zone, such structures controlled the emplacement of tonalite–plagiogranite intrusions [39,40].
The Early Carboniferous magmas of the Magnitogorsk zone reveal compositional features somewhat hybrid between those of supra-subduction and intraplate settings (Figure 10B and Figure 11B). A considerable portion of silicic volcanics (Figure 6 and Figure 7) attest to the wide-scale melting of the continental crust. Such a combination of magma sources is common to some post-collisional igneous provinces (e.g., [33,41]), or the Basin and Range Province of western North America (e.g., [42,43]). All these provinces were formed in extensional settings superimposed on collages of various continental and island arc terranes [6]. The bimodal volcanic sequences (Figure 6 and Figure 7) formed in a series of grabens, while shallow-water carbonate sediments overlapped the horsts. In contrast to the Basin and Range Province, the Southern Ural margin was a shallow-water shelf, an area of local volcanic eruptions against the background of terrigenous and carbonate sedimentation. The picritic and picrobasaltic eruptions that are noted already in the Famennian (371.1–359.3 Ma, [1]) resumed in the early Tournaisian [44].
The sequence of Early Carboniferous events on the eastern slope of the Southern Urals was controlled by relationships between nonuniform general extension and discrete shearing.
(1) In the beginning of the early Tournaisian, an extension spread over the entire territory from the East European continent to the East Ural microcontinent (Figure 15). The turbidite complexes were deposited in the deepwater trough of the western Magnitogorsk zone [4]. Local troughs with carbonate and terrigenous sedimentation developed in the eastern Magnitogorsk zone.
The East Ural microcontinent remained uplifted, and only several small troughs are marked by the deposition of red beds [13]. In the Transural zone, accreted to the microcontinent in the east, the island arc and related back-arc rifts that arose in the Famennian continued to evolve in the Tournaisian (359.3–346.7 Ma, [1]) [44].
(2) The end of the early Tournaisian/beginning of the early Visean is a stage characterized by the prevalence of strike-slip faulting. The left-lateral strike-slip fault zones bounded the rigid East Ural microcontinent. The onset of this stage is poorly constrained, whereas its upper chronological boundary gradually becomes younger in the eastern direction (Figure 2). This shift is illustrated by two profiles (Figure 15), which correspond to the two stages.
The first stage (terminal early and late Tournaisian) is marked by activation of the Early Carboniferous magmatism in the Magnitogorsk Zone composed of the Devonian Island arc complexes. Tonalite and granodiorite intrusions were emplaced in the eastern part of the Magnitogorsk Zone, while the first Early Carboniferous basalts were erupted in the west. The East Ural microcontinent stood out as an amagmatic region with paralic coal-bearing basins (Figure 2). Further to the east, in the accreted Transural Zone, the ongoing development of the island arc was related to the subduction zone of the western polarity.
The second stage (late Tournaisian–early Visean) was characterized by the expansion of igneous activity toward the East Ural microcontinent, where tonalite–granodiorite–adamellite plutons were emplaced [39], being controlled by local transtensional zones conjugated with pull-apart depressions filled with coal-bearing sediments.
The eastern margin of the Magnitogorsk zone was involved in volcanic activity (Figure 2). The subduction zone in the Transural zone ceased to work. No supra-subduction complexes were formed here at that time, and only terrigenous and carbonate sediments were deposited in sporadic troughs (Figure 2).
(3) The early/late Tournaisian boundary/beginning of the late Visean. According to paleontological and isotope data [7,13,18], the onset of the third stage is distinctly shifted from west to east in time, as shown in Figure 15. The specific feature of this stage is the prevalent extension setting accompanied by the thinning of the continental crust and formation of a rift system with bimodal (Figure 6 and Figure 7) basalt–rhyolite volcanic series. It is suggested that the zone of extension progressively propagated eastward, and zones of strike-slip faults gradually died out. This mechanism may be described in terms of the simple shear model [45], providing that particular grabens are related to the common listric fault dipping to the east. According to this model, the rifts consecutively opened from west to east.
As mentioned above, the third stage in the Magnitogorsk zone started in the late Tournaisian; the oldest volcanics are known in the west of this zone. The widespread volcanic activity developed in the latest Tournaisian and during the entire early Visean. In the Ui River zone, the active volcanism began very early in the Visean, whereas in the East Ural zone, it began in the mid-early Visean time (Figure 2).
The third stage was completed almost synchronously throughout the eastern slope of the Urals in the midst of the late Visean, and the duration of this stage in the east (~10 Ma) was twice as short as in the west (~20 Ma).
By the end of the third stage, the extension reached a maximum. In the East Ural microcontinent, the release of loading led to the pull-apart of tectonic sheets and the rapid exhumation of granitoids, formed in the second stage, and Precambrian and Early Paleozoic metamorphic complexes [39,46,47].
No principal difference in comparison with the preceding stage is noted in the Transural zone, where the terrigenous and carbonate complexes were deposited. A slab was probably detached at that time.
(4) The midst and the end of the late Visean. The fourth stage was expressed almost synchronously throughout the eastern slope of the Southern Urals and characterized by waning extension and development of local shears. The formation of the rift system in the East Magnitogorsk and East Ural zones was completed, the volcanic activity was terminated, and small intrusions of bimodal moderately alkaline gabbro–granite series were emplaced in local transtensional zones as the last manifestations of magmatism related to rifting. The entire territory, including the East Ural continent, was involved in subsidence. Granitoid and metamorphic rocks exhumed at the surface were again overlapped by terrigenous–carbonate sequences.
(5) The end of the late Visean–Serpukhovian. The fifth, final stage of the Early Carboniferous evolution of the East Magnitogorsk zone and East Ural microcontinent continued the preceding stage, remaining amagmatic (Figure 2). Precisely at that time, the youngest Early Carboniferous volcanic complex in the accretionary Transural zone was formed. Three variants of the geodynamic setting may be offered for the formation of this complex. The first scenario supposes that this event was the last episode in the evolution of the rift system that jumped to the neighboring block of the thinned and heated crust. In terms of the second variant, the transural basalts are manifestations of quite different volcanism related to the eventual detachment of the slab (Figure 15). This variant suggests ascent of hot mantle material as a response to the subduction of cold lithosphere [48,49,50,51]. In the third variant, the volcanics and associated gabbroids are referred to as fragments of the Early Carboniferous oceanic crust abducted from the east upon the accretionary complexes.
The gradual subsidence of the entire territory and related deposition of carbonate sequence occurred during the fifth stage. According to [52], the following causes of the widespread subsidence may be pointed out: (i) plunging of a regional tract parallel to the subduction zone [53,54]; (ii) collapse of the lower lithosphere and its replacement with the asthenospheric material and its subsequent cooling [49,50]; (iii) phase transition in the crust and the mantle; and (iv) descending mantle flows.
Complexes of the margin of Kazakhstan paleocontinent in the general collisional structure of the Southern Urals and Transural region occupy the Valeryanovka zone. The volcanic rocks of this zone make up an extended (up to 1500 km) belt. The volcanics in the Valeryanovka zone are close to the igneous rocks of active continental margins (Figure 7, Figure 8, Figure 9, Figure 10, Figure 11 and Figure 13) and occupy the Andean-type margin of the Kazakhstan continental block. The distinguishing feature of the western (in present-day coordinates) margin of the Kazakhstan block in the Early Carboniferous consists in the widespread shallow-water marine terrigenous–carbonate sediments and formation of volcanic and sedimentary rocks of the Valeryanovka marginal continental belt (Figure 2) in the subaqueous environment.
Thus, the structure and composition of volcanic–sedimentary complexes of the Magnitogorsk and East Ural zones on the one hand, and the Valeryanovka zone on the other, confirm the concept that assumes the formation of these complexes at active margins of the East European and Kazakhstan continents, respectively. In contrast to traditional reconstructions, the new data allow for a comparison of the Early Carboniferous Southern Ural margin of the East European continent with the Californian margin of North America. Since the East European and Kazakhstan paleocontinents in the Early Carboniferous were separated by a Uralian oceanic basin, it cannot be ruled out that the oceanic complexes have been retained in the collisional structure of the Southern Urals and Transural zone. Fragments of oceanic crust might be found in the Transural Zone. As mentioned above, the Lower Carboniferous volcanic sequence and associated gabbroid rocks can be regarded as fragments of a basin with an oceanic crust.
5. Conclusions
1. The Southern Ural area includes the remnants of at least two major volcanic provinces of the Early Carboniferous age separated by an oceanic basin that was closed later to form the Tobol Suture zone. To the east of this basin (in present-day coordinates), the Andean-type Valeryanovka belt was formed on the margin of the Kazakhstan continent. To the west, the volcanic activity occurred within several terranes of the Magnitogorsk, Ui River, East Ural, and Transural zones finally accreted to the margin of the East European Craton during the latest Devonian time. Here, the subduction-related magmatism was combined with a rift-related activity.
2. At the margin of the East European continental block, the volcanism was initiated in the west and then gradually migrated to the east during ca. 20 m.y.
3. The volcanic sequences formed at the margin of the East European continent show the geochemical affinity of both subduction-related and intraplate series.
Supplementary Materials
The following supporting information can be downloaded at: https://www.mdpi.com/article/10.3390/min13020258/s1, Table S1: Major oxide and trace element contents of the Early Carboniferous volcanic rocks of the Southern Urals.
Author Contributions
Conceptualization, N.V.P., P.L.T. and A.V.T.; methodology, P.L.T. and T.N.S.; field work, A.V.T., I.A.K. and N.V.P.; writing—original draft preparation, N.V.P. and A.V.T.; writing—review and editing, P.L.T.; visualization, N.V.P. and I.A.K. All authors have read and agreed to the published version of the manuscript.
Funding
The reported study was funded by RFBR and the Czech Science Foundation according to the research project № 19-55-26009. Centre of collective usage ‘Geoportal’, Lomonosov Moscow State University (MSU) provided access to remote sensing data. The work by P.L. Tikhomirov was performed within the framework of a State Assignment of Shilo North-East Interdisciplinary Scientific Research Institute, Far East Branch, Russian Academy of Sciences (project no. 121031700312-1).
Data Availability Statement
The samples are archived at the Lomonosov Moscow State University, Geological Faculty, 119234, Leninskie Gory, 1, Moscow, Russia. Major oxide and trace element contents can be found in the Supplementary Materials, Table S1.
Conflicts of Interest
The authors declare no conflict of interest.
References
- Gradstein, F.M.; Ogg, J.G.; Schmitz, M.; Ogg, G. (Eds.) Geologic Time Scale 2020; Elsevier: Amsterdam, The Netherlands, 2020; Volume 2, 809p. [Google Scholar] [CrossRef]
- Xiao, W.; Song, D.; Windley, B.F.; Li, J.; Han, C.; Wan, B.; Zhang, J.; Ao, S.; Zhang, Z. Accretionary processes and metallogenesis of the Central Asian Orogenic Belt: Advances and perspectives. Sci. China Earth Sci. 2020, 63, 329–361. [Google Scholar] [CrossRef]
- Ivanov, K.S.; Kontorovich, V.A.; Puchkov, V.N.; Fyodorov, Y.N.; Erokhin, Y.V. Tectonics of the Urals and the basement of West Siberia: Geology and development features. Geol. Miner. Resour. Sib. 2014, S2, 22–35. (In Russian) [Google Scholar]
- Puchkov, V.N. Geology of the Urals and Cis-Urals (Actual Problems of Stratigraphy, Tectonics, Geodynamics and Metallogeny); Design Poligraph Service: Ufa, Russia, 2010; 280p. (In Russian) [Google Scholar]
- Puchkov, V.N. Paleogeodinamics of the Southern and Middle Urals; Dauriya: Ufa, Russia, 2000; 146p. (In Russian) [Google Scholar]
- Tevelev, A.V.; Degtyarev, K.E.; Tikhomirov, P.L.; Kosheleva, I.A.; Kosarev, A.M.; Moseychuk, V.M.; Pravikova, N.V.; Surin, T.N. Geodynamic settings for the formation of Carboniferous volcanic complexes in the Southern Urals. In Essays on the Regional Tectonics of the Urals, Kazakhstan and Tien Shan; Nauka: Moscow, Russia, 2005; Volume 1, pp. 213–247. (In Russian) [Google Scholar]
- Salikhov, D.N.; Yarkova, A.V. Lower Carboniferous Volcanism of the Magnitogorsk Megasynclinorium; Institute of Geology of the Ufa Scientific Center of the Academy of Sciences SSSR: Ufa, Russia, 1992; 136p. (In Russian) [Google Scholar]
- Samarkin, G.I.; Samarkina, E.Y. Comparative geological and petrochemical characteristics of the Early Carboniferous iron-bearing volcanic series of the northern and Southern segments of the Valeryanovka belt. Urals Geol. J. 2002, 27, 3–36. (In Russian) [Google Scholar]
- Ovchinnikov, L.N.; Dymkin, A.M. (Eds.) Iron Ore Formations of the Trans-Urals; UB AS USSR: Sverdlovsk, Russia, 1987; 232p. (In Russian) [Google Scholar]
- Saraev, S.V.; Baturina, T.P.; Medvedev, A.Y.; Travin, A.V. Carboniferous deposits in the basement of the southwestern West Siberian geosyneclise (Kurgan Region). Russ. Geol. Geophys. 2016, 57, 1143–1160. [Google Scholar] [CrossRef]
- Znamenskiy, S.E.; Kosarev, A.M.; Rodicheva, Z.I.; Rykus, M.V.; Salikhov, D.N.; Seravkin, I.B. Volcanism of the Southern Urals; Nauka: Moscow, Russia, 1992; 197p. (In Russian) [Google Scholar]
- Pumpyansky, A.M. Carboniferous deposits of the Kurgan Trans-Urals. In Toporkovskie Chteniya; Rudny Industrial Institute: Rudny, Kazakhstan, 1999; pp. 55–62. (In Russian) [Google Scholar]
- Tevelev, A.V.; Kosheleva, I.A. Geological Structure and Development History of the Southern Urals (East Ural Uplift and Trans-Urals); MSU: Moscow, Russia, 2002; 124p. (In Russian) [Google Scholar]
- Abdulin, A.A. (Ed.) Geology and Mineral Resources of the South-East of the Turgai Trough and Northern Ulytau; Nauka: Alma-Ata, Kazakhstan, 1984; Volume 1, 232p. (In Russian) [Google Scholar]
- Zonenshain, L.P.; Korinevsky, V.G.; Kazmin, V.G.; Sorokhtin, O.G.; Koroteev, V.A. Structure and development of the Southern Urals from the point of view of lithospheric plates. In History of the Development of the Ural Paleoocean; Zonenshain, L.P., Matveenkov, V.V., Eds.; IB AS USSR: Moskva, Russia, 1984; pp. 6–56. (In Russian) [Google Scholar]
- Şengör, A.M.; Natalyin, B.A.; Burtman, V.S. Tectonic evolution of Altai. Russ. Geol. Geophys. 1994, 35, 41–58. [Google Scholar]
- Daukeev, S.Z.; Uzhkenov, B.S.; Miletenko, N.V.; Morozov, A.F.; Leonov, Y.G.; Wang, F.; Akhmedov, N.A.; Abdullaev, E.K.; Mursagaziev, S.M.; Orifov, A.O.; et al. (Eds.) Atlas of Lithological-Paleogeographical and Structural Maps of the Central Part of Eurasia (Southeast of the European Part of Russia); NIIPR YUGGEO: Almaty, Kazakhstan, 2002. (In Russian) [Google Scholar]
- Pravikova, N.V.; Tevelev, A.V.; Kazansky, A.Y.; Kosheleva, I.A.; Sobolev, I.V.; Borisenko, A.A.; Koptev, E.V.; Shestakov, P.A.; Zak, J. Early Carboniferous rifting in the Southern Urals: New isotopic dating of plutonic and volcanic complexes. In Proceedings of the EGU-2022, Vienna, Austria, 23–27 May 2022. [Google Scholar] [CrossRef]
- Yanshin, F.L. (Ed.) Geology of the USSR; Nedra: Moscow, Russia, 1970; Volume XXI, p. I. (In Russian) [Google Scholar]
- Litvin, P.A. New data on the structure and age of the sedimentary-volcanogenic sequence of the upper reaches of the river Ayat. In Geology of the Turgai Trough; Litvin, P.A., Ed.; RSRI: Leningrad, Russia, 1961; pp. 21–25. (In Russian) [Google Scholar]
- Le Maitre, R.W. (Ed.) Igneous Rocks: A Classification and Glossary of Terms, 2nd ed.; Cambridge University Press: Cambridge, UK, 2002; 252p. [Google Scholar] [CrossRef]
- Irvine, T.N.; Baragar, W.R.A. A guide to the chemical classification of the common volcanic rocks. Can. J. Earth Sci. 1971, 8, 523–548. [Google Scholar] [CrossRef]
- Sun, S.-S.; McDonough, W.F. Chemical and isotopic systematics of oceanic basalts: Implications for mantle composition and processes. In Magmatism in Ocean Basins; Saunders, A.D., Norry, M.J., Eds.; Geological Society Special Publications: London, UK, 1989; pp. 313–345. [Google Scholar] [CrossRef]
- Rudnick, R.L.; Gao, S. Composition of the continental crust. In Treatise on Geochemistry; Holland, H.D., Turekian, K.K., Eds.; Elsevier: Amsterdam, The Netherlands, 2004; Volume 3, pp. 1–64. [Google Scholar] [CrossRef]
- DIGIS Team. GEOROC Compilation: Rift Volcanics. 2022. Available online: https://georoc.eu/georoc/precompiled/metadata.php?doi=10.25625/KAIVCT (accessed on 20 January 2023).
- DIGIS Team. GEOROC Compilation: Convergent Margins. 2022. Available online: https://georoc.eu/georoc/precompiled/metadata.php?doi=10.25625/PVFZCE (accessed on 20 January 2023).
- Pankhurst, R.J.; Leat, P.T.; Sruoga, P.; Rapela, C.W.; Marques, M.; Storey, B.C.; Riley, T.R. Chon Aike silicic igneous province of Patagonia and related rocks in Antarctica: A silicic LIP. J. Volcanol. Geotherm. Res. 1998, 81, 113–136. [Google Scholar] [CrossRef]
- Hildreth, W.; Moorbath, S. Crustal contributions to arc magmatism in the Andes of Central Chile. Contrib. Mineral. Petrol. 1988, 98, 455–489. [Google Scholar] [CrossRef]
- Wilson, M. Igneous Petrogenesis: A Global Tectonic Approach; Springer: Cham, Switzerland, 1989; 466p. [Google Scholar] [CrossRef]
- Pearce, J.A. Geochemical fingerprinting of oceanic basalts with applications to ophiolite classification and the search for Archean oceanic crust. Lithos 2008, 100, 14–48. [Google Scholar] [CrossRef]
- Shibata, T.; Nakamura, E. Across-arc variations of isotope and trace element compositions from Quaternary basaltic volcanic rocks in northeastern Japan: Implications for interaction between subducted oceanic slab and mantle wedge. J. Geophys. Res. 1997, 102, 8051–8064. [Google Scholar] [CrossRef]
- Bryan, S.E.; Riley, T.R.; Jerram, D.A.; Leat, P.T.; Stephens, C.J. Silicic volcanism: An under-valued component of large igneous provinces and volcanic rifted margins. In Magmatic Rifted Margins; Menzies, M.A., Klemperer, S.L., Ebinger, C.J., Baker, J., Eds.; Geological Society of America Special Paper; GSA: Boulder, CO, USA, 2002; Volume 362, pp. 99–118. [Google Scholar]
- Tikhomirov, P.L.; Prokof’ev, V.Y.; Kal’ko, I.A.; Apletalin, A.V.; Nikolaev, Y.N.; Kobayashi, K.; Nakamura, E. Post-collisional magmatism of western Chukotka and Early Cretaceous tectonic rearrangement in northeastern Asia. Geotectonics 2017, 51, 131–151. [Google Scholar] [CrossRef]
- Ferrari, L.; Valencia-Moreno, M.; Bryan, S.E. Magmatism and tectonics of the Sierra Madre Occidental and their relation to the evolution of the western margin of North America. Geol. Soc. Am. Spec. Pap. 2007, 442, 1–39. [Google Scholar]
- Wilson, M.; Kusznir, N.; Lyashkevich, Z.M.; Nikishin, A.M. Late Devonian magmatic activity associated with the Pripyat–Dniepr–Donets rift. In Proceedings of the Europrobe Georift Conference, Zürich, Switzerland, 16–19 October 1997; Volume 18. [Google Scholar]
- Fokin, P.A.; Nikishin, A.M. Tectonics of the East European Platform in the Devonian-Early Carboniferous. Moscow Univ. Geol. Bull. 1999, 6, 9–20. (In Russian) [Google Scholar]
- Kurenkov, S.A.; Didenko, A.N.; Simonov, V.A. Geodynamics of paleospreading. In Trudy GIN RAS; GEOS: Moscow, Russia, 2002; Volume 490, 294p. (In Russian) [Google Scholar]
- Salikhov, D.N. Development of the Southern Urals in the Collisional Epoch of the Late Paleozoic; Preprint of the report of the Presidium of the Ufa Scientific Center of the Russian Academy of Sciences: Ufa, Russia, 1996; 38p. (In Russian) [Google Scholar]
- Tevelev, A.V.; Sobolev, I.V.; Borisenko, A.A.; Pravikova, N.V.; Kazansky, A.Y.; Koptev, E.V.; Kosheleva, I.A.; Zak, J. The initial stage of early carboniferous rifting in the Southern urals: First the results of u–pb dating of zircons from granitoids of the neplyuevka complex. Mosc. Univ. Geol. Bull. 2022, 77, 39–47. [Google Scholar] [CrossRef]
- Koptev, E.V.; Kazansky, A.Y.; Tevelev, A.V.; Borisenko, A.A.; Pravikova, N.V.; Jirí, Z. Granitic batholith emplacement mechanism in a transtensional setting: Petromagnetic evidence from the Southern Urals. In Proceedings of the EGU-2022, Vienna, Austria, 23–27 May 2022. [Google Scholar] [CrossRef]
- Vorontsov, A.A.; Gazizova, T.F.; Yarmolyuk, V.V.; Fedoseev, G.S.; Travin, A.V.; Perfilova, O.Y.; Posokhov, V.F. Differentiated Volcanic Association of the Minusa Trough: Mechanisms of Formation and Sources of Melts, as Exemplified by Batenevo Rise. Petrology 2015, 23, 353–375. [Google Scholar] [CrossRef]
- Gans, P.B.; Mahood, G.A.; Schermer, E. Synextensional Magmatism in the Basin and Range Province; A Case Study from the Eastern Great Basin; Geological Society of America: Boulder, CO, USA, 1989. [Google Scholar] [CrossRef]
- Cole, R.B.; Brian, W.S. Continental margin volcanism at sites of spreading ridge subduction: Examples from southern Alaska and western California. Tectonophysics 2009, 464, 118–136. [Google Scholar] [CrossRef]
- Veimarn, A.B.; Abramova, A.N.; Artyushkova, O.V.; Baryshev, V.N.; Degtiarev, K.E.; Kononova, L.J.; Maslov, V.A.; Moseychuk, V.M.; Pazuhin, V.N.; Pravikova, N.V.; et al. The famennian stratigraphy and geological events on the frasnian – famennian boundary on the South Urals. Geol. Q. 2004, 48, 233–244. [Google Scholar]
- Wernicke, B. Uniform sense simple shear of the continental lithosphere. Can. J. Earth Sci. 1985, 22, 108–125. [Google Scholar] [CrossRef]
- Borisenko, A.; Tevelev, A.; Sobolev, I.; Pravikova, N.; Kazansky, A.; Koptev, E.; Kosheleva, I.; Zak, J. The first results of U-Pb dating of the granitoids of the Neplyuevka pluton(The Southern Urals). In Proceedings of the EGU General Assembly 2022, Vienna, Austria, 23–27 May 2022. [Google Scholar] [CrossRef]
- Tevelev, A.V.; Kosheleva, I.A.; Khotylev, A.O.; Tevelev, A.V.; Prudnikov, I.A. Peculiarities of the Kinematics of the South Uralian Suture Zones as a Cause of the Formation of the Convergent Structure of the East Uralian Megazone. Moscow Univ. Geol. Bull. 2014, 69, 289–298. [Google Scholar] [CrossRef]
- Davies, J.Y.; von Blanckenburg, F. Slab break off: A model of lithosphere detachment and its test in the magmatism and deformation of collisional orogens. Earth Planet. Sci. Lett. 1995, 129, 85–102. [Google Scholar] [CrossRef]
- Nikishin, A.M.; Ershov, A.V.; Brunet, M.-F. Delamination of subducted slab and detachment of the lower part of the lithosphere as one of the causes of magmatism. In Tectonics, Geodynamics and Processes of Magmatism and Metamorphism; GEOS: Moscow, Russia, 1999; Volume 2, pp. 43–46. (In Russian) [Google Scholar]
- Magni, V.; Király, Á. Delamination. In Reference Module in Earth Systems and Environmental Sciences; Elsevier: Amsterdam, The Netherlands, 2020. [Google Scholar] [CrossRef]
- Luo, A.-B.; Fan, J.-J.; Sun, D.-Y.; Wu, H.; Yu, Y.-P.; Zhang, B.-C.; Shen, D. Terminal stage of divergent double subduction: Insights from Early Cretaceous magmatic rocks in the Gerze area, central Tibet. Lithos 2022, 420–421, 106713. [Google Scholar] [CrossRef]
- Nikishin, A.M. Tectonic Settings. Intraplate and Marginal Plate Processes; MSU: Moscow, Russia, 2002; 366p. (In Russian) [Google Scholar]
- Mitrovica, J.X.; Beaumont, C.; Jarvis, G.T. Tilting of continental interiors by the dynamic effects of subduction. Tectonics 1989, 8, 1079–1094. [Google Scholar] [CrossRef]
- Gurnis, M. Rapid continental subsidence following the initiation and evolution of subduction. Science 1992, 255, 1556–1558. [Google Scholar] [CrossRef] [PubMed]
Disclaimer/Publisher’s Note: The statements, opinions and data contained in all publications are solely those of the individual author(s) and contributor(s) and not of MDPI and/or the editor(s). MDPI and/or the editor(s) disclaim responsibility for any injury to people or property resulting from any ideas, methods, instructions or products referred to in the content. |
© 2023 by the authors. Licensee MDPI, Basel, Switzerland. This article is an open access article distributed under the terms and conditions of the Creative Commons Attribution (CC BY) license (https://creativecommons.org/licenses/by/4.0/).














