Evolution of Ore-Forming Fluids at Azegour Mo-Cu-W Skarn Deposit, Western High Atlas, Morocco: Evidence from Mineral Chemistry and Fluid Inclusions
Abstract
:1. Introduction
2. Geological Setting
3. Sampling and Analytical Methods
4. Results
4.1. Petrography and Geochemistry of the Azegour Intrusion
4.2. Mineral Assemblage and Zonation of the Skarn
4.3. Mineral Chemistry of Pyroxene and Garnet
4.3.1. Pyroxene


4.3.2. Garnet
4.4. Metasomatic Alteration and Mineralization
4.5. Fluid Inclusions Petrography and Microthermometry
4.5.1. Petrography and Classification of Fluid Inclusions
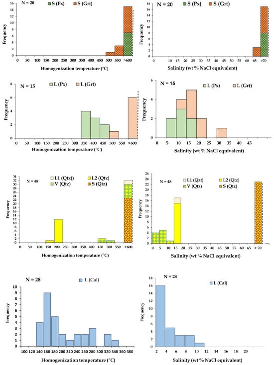
4.5.2. Microthermometry
Prograde Skarn Stage
Retrograde Skarn Stage
5. Discussion
5.1. Relationship between Skarn Type and the Granitoid Geochemistry
5.2. Fluid Evolution and Mineralization Process
6. Conclusions
- (i)
- The ore deposition resulted from the interplay between fluids and the carbonate host rock. By examining mineralogical and geological characteristics, we can classify the Azegour deposit as a proximal skarn system, closely linked with the Permian granitic intrusion (Azegour granite) in terms of spatial correlation. The major and trace element contents of the Azegour pluton are generally comparable to those of the Mo skarn granitoids.
- (ii)
- The skarnification processes and their evolutionary trend can be divided into four stages: (Early prograde stage → Late prograde stage → Early retrograde stage → Late retrograde stage). The sulfide mineralizations are developed mainly during the retrograde phases. They exhibit an early prograde phase with dominant assemblage minerals of wollastonite, diopside, andradite, and grandite; this stage appears relatively “oxidized”, transitioning to late prograde and retrograde stages, principally with grossular, hedenbergite, and hydrous silicates, respectively, which are termed “reduced” and confirmed by the presence of a small portion of subcalcic garnet (almandine) and johannsenite. These anomalies potentially signify changes in the oxygen fugacities and temperatures of the fluids involved in the mineralization process.
- (iii)
- Microthermometric data indicate a trend of decreasing temperatures and salinities from the early to late stages for both mineralization episodes. Fluid boiling is considered the main reason for tungsten mineralization in the prograde stage. Sulfide ores are formed as a result of the interaction/mixing between magmatic hydrothermal fluids with high temperatures and salinities released from the Azegour granite and an external fluid component, which is composed of metamorphic and meteoric fluid and characterized by low temperatures and salinities.
Author Contributions
Funding
Data Availability Statement
Conflicts of Interest
References
- Einaudi, M.; Meinert, L.; Newberry, R. Skarn deposits. In 75th Anniversary Volume; Society of Economic Geology: Littleton, CO, USA, 1981; pp. 317–391. [Google Scholar]
- Meinert, L. Igneous petrogenesis and skarn deposits. In Geological Association of Canada Special Paper 40; Geological Association of Canada: St. John’s, NL, Canada, 1993. [Google Scholar]
- Meinert, L.D.; Dipple, G.M.; Nicolescu, S. World skarn deposits. In Economic Geology 100th Anniversary Volume; Society of Economic Geologists, Inc.: Littleton, CO, USA, 2005; pp. 299–336. [Google Scholar]
- Jamtveit, B.; Hervig, R.L. Constraints on transport and kinetics in hydrothermal systems from zoned garnet crystals. Science 1994, 263, 505–508. [Google Scholar] [CrossRef]
- Rollinson, H. Metamorphic history suggested by garnet-growth chronologies in the Isua Greenstone Belt, West Greenland. Precambrian Res. 2003, 126, 181–196. [Google Scholar] [CrossRef]
- Sabau, G.; Negulescu, E.; Massonne, H.-J. Chemical zonation and relative timing of growth sections in garnets from eclogites of the Leaota Massif, South Carpathians. Mineral. Mag. 2006, 70, 655–667. [Google Scholar] [CrossRef]
- Zaw, K.; Singoyi, B. Formation of magnetite-scheelite skarn mineralization at Kara, Northwestern Tasmania: Evidence from mineral chemistry and stable isotopes. Econ. Geol. 2000, 95, 1215–1230. [Google Scholar] [CrossRef]
- Franchini, M.B.; Meinert, L.D.; Montenegro, T.F. Skarns Related to Porphyry–Style Mineralization at Caicayén Hill, Neuquén, Argentina: Composition and Evolution of Hydrothermal Fluids. Econ. Geol. 2000, 95, 1197–1213. [Google Scholar] [CrossRef]
- Oyman, T. Geochemistry, mineralogy and genesis of the Ayazmant Fe–Cu skarn deposit in Ayvalik, (Balikesir), Turkey. Ore Geol. Rev. 2010, 37, 175–201. [Google Scholar] [CrossRef]
- Taghipour, S.; Kananian, A.; Mackizadeh, M.A.; Somarin, A.K. Skarn mineral assemblages in the Esfordi iron oxide–apatite deposit, Bafq district, Central Iran. Arab. J. Geosci. 2015, 8, 2967–2981. [Google Scholar] [CrossRef]
- Timón Sánchez, S.M.; Benito, M.C.M.; Pérez, M.L.C. Mineralogical and physiochemical evolution of the Los Santos scheelite skarn, Salamanca, NW Spain. Econ. Geol. 2009, 104, 961–995. [Google Scholar] [CrossRef]
- Chen, Y.-J.; Zhang, C.; Li, N.; Yang, Y.-F.; Deng, K. Geology of the Mo deposits in Northeast China. J. Jilin Univ. 2012, 42, 1223–1268. [Google Scholar]
- Bodnar, R.; Lecumberri-Sanchez, P.; Moncada, D.; Steele-MacInnis, M. 13.5–Fluid inclusions in hydrothermal ore deposits. Treatise Geochem. 2014, 13, 119–142. [Google Scholar]
- Philippot, P. Fluid inclusions. In Encyclopedia of Astrobiology; Gargaud, M., Irvine, W.M., Amils, R., James, H., Pinti, D.L., Quintanilla, J.C., Rouan, D., Spohn, T., Tirard, S., Viso, M., Eds.; Springer: Berlin, Germany, 2015; pp. 859–863. [Google Scholar]
- Sonnet, P. Les Skarns à Tungstène, Étain et Bore de la Région d’El Hamman (Maroc Central). Ph.D. Thesis, UCL-Université Catholique de Louvain, Louvain, Belgium, 1981. [Google Scholar]
- Jébrak, M. Les districts à fluorine du Maroc central. Bur. Rech. Geol. Min. Bull. Sec II 1982, 2, 211–221. [Google Scholar]
- Jébrak, M.; Debbah, B.; Touray, J.-C. Saumures associées aux fluorines filonniennes du Maroc Central, dans le district d’El Hammam. Bull. Minéralogie 1984, 107, 233–240. [Google Scholar] [CrossRef]
- Sonnet, P.M.; Verkaeren, J. Scheelite-, malayaite-, and axinite-bearing skarns from El Hammam, central Morocco. Econ. Geol. 1989, 84, 575–590. [Google Scholar] [CrossRef]
- Aissa, M. Etude des Interactions Fluides-Minéraux des Skarns à Sn, W, B d’El Hammam (Maroc Central). Facteurs Physico-Chimiques Contrôlant le Développement du Stade Stannifère. Ph.D. Thesis, University of Moulay Ismail Meknes, Meknes, Morocco, 1997. [Google Scholar]
- Cheilletz, A. Le contrôle structural des minéralisations filoniennes en tungstène du Jbel Aouam, Maroc Central; application au système filonien Plomb-Zinc-Argent. Comptes-Rendus Séances L’académie Sci. Série 2 Mécanique-Phys. Chim. Sci. L’univers Sci. Terre 1983, 297, 417–420. [Google Scholar]
- Cheilletz, A.J.B.d.m. Caractéristiques géochimiques et thermobarométriques des fluides associés à la scheelite et au quartz des minéralisations de tungstène du Jbel Aouam (Maroc central). Bull. Minéralogie 1984, 107, 255–272. [Google Scholar] [CrossRef]
- Cheilletz, A.; Giuliani, G. Les Skarns tungstifères stratiformes du Djebel Aouam (Maroc Central): Modèle de développement métasomatique en deux étapes. Gisem. Métallifères Dans Leur Contexte Géologique. PIRSEM Doc. BRGM 1988, 158, 151–173. [Google Scholar]
- Marcoux, É.; Khadija, N.; Yannick, B.; Claire, R.; Gilles, R.; Jean-Jacques, P.; Ross, S.; Michel, J. Late-Hercynian Intrusion-related gold deposits: An integrated model on the Tighza polymetallic district, central Morocco. J. Afr. Earth Sci. 2015, 107, 65–88. [Google Scholar]
- Nerci, K. Les Minéralisations Aurifères du District Polymétallique de Tighza (Maroc Central): Un Exemple de Mise en Place Périgranitique Tardi-Hercynienne. Ph.D. Thesis, Université d’Orléans, Orléans, France, 2006. [Google Scholar]
- Tarrieu, L. Nouvelles Données Minéralogiques, Géochimiques et Géochronologiques sur le Gisement Polymétallique de Tighza (Maroc-Central).: Contribution à la Métallogénie des Gisements de Métaux de Base Filoniens en Contexte Post-Collisionnel. Ph.D. Thesis, Université de Grenoble, Savoie, France, 2014. [Google Scholar]
- Rossi, M.; Tarrieu, L.; Cheilletz, A.; Gasquet, D.; Deloule, E.; Paquette, J.-L.; Bounajma, H.; Mantoy, T.; Ouazzani, L.; Ouchtouban, L. The polymetallic (W–Au and Pb–Zn–Ag) Tighza district (Central Morocco): Ages of magmatic and hydrothermal events. In Mineral Deposits of North Africa; Springer: Berlin/Heidelberg, Germany, 2016; pp. 107–131. [Google Scholar]
- Ramboz, C.; Bastoul, A. Oxydation du fer dans les skarns et les schistes à graphite des Jebilet Centrales, Maroc: Un indicateur de transfer de matière par les fluides dans une zone de cisaillement ductile. Comptes Rendus L’académie Sci. Série 2 Mécanique Phys. Chim. Sci. L’univers Sci. Terre 1985, 301, 931–936. [Google Scholar]
- Wafik, A.; El Aouad, N.; Daafi, Y.; El Mostadi, A.; Boukhriss, Y.; Mouttaqi, A.A.; Admou, H. Graphite, Sheelite and Cassiterite Mineralized Skarns of Frag Al Ma, Sidi Bou Othmane District, Jebilet, Morocco. Iraqi Geol. J. 2023, 56, 279–302. [Google Scholar] [CrossRef]
- El Mostadi, A. Etude Géologique, Pétrographique et Gîtologique des Skarns Minéralisés en Shéelite et Cassitérite du Secteur de Sidi Bou-Othmane (Djebilet Centrales, Maroc). Guides de Recherche. Ph.D. Thesis, Université Cadi Ayyad, Marrakech, Morocco, 1992. [Google Scholar]
- El Mostadi, A.; Sagon, J.P.; A, B.A.e.E.B. Les skarns à scheelite de Bou-Othmane (Jbilet Centrales, Maroc): Étude pétrographique et métallogénique, guides de recherche. Notes Mémoires Serv. Géologique Maroc 2001, 408, 341–356. [Google Scholar]
- Ramboz, C. Non-Stoichiometric Ferric Garnets and Pyroxenes in Graphite-Rich Skarns from Sidi Bou Othmane (Morocco): Implications for Graphite Genesis. Ph.D. Thesis, INPL, Nancy, France, 1988. [Google Scholar]
- Ait Ayyad, N. Le Magmatisme Paléozoïque du Haut Atlas Occidental: Marqueur de L’évolution Géodynamique du Maroc Hercynien Méridional; Université Cadi Ayyad: Marrakech, Morocco, 2003. [Google Scholar]
- Berrada, S.; Hajjaji, M.; Belkabir, A. Mineralogical and geochemical features of the wollastonite deposit of Azegour, Haut-Atlas (Morocco). J. Afr. Earth Sci. 2011, 60, 247–252. [Google Scholar] [CrossRef]
- El Khalile, A.; Touil, A.; Hibti, M.; Bilal, E. Metasomatic zoning, mineralizations and genesis of Cu, Zn and Mo Azegour skarns (western High Atlas, Morocco). Carpathian J. Earth Environ. Sci. 2014, 9, 21–32. [Google Scholar]
- El Amrani, E.H. Contribution à L’étude Pétrologique, Minéralogique, Métallogénique et Pétrologie Structurale des Formations de la Région d’Azegour (Haut Atlas, Maroc). Ph.D. Thesis, Faculté des Sciences, Nancy, France, 1984. [Google Scholar]
- Ibouh, H.; Hibti, M.; Saidi, A.; Touil, A. Azegour, gîte métasomatique à Cu, Mo, W (Haut Atlas occidental). Nouv. Guides Géologiques Min. Maroc 2011, 9, 229–234. [Google Scholar]
- Marcoux, E.; Breillat, N.; Guerrot, C.; Négrel, P.; Hmima, S.B.; Selby, D. Multi-isotopic tracing (Mo, S, Pb, ReOs) and genesis of the MoW Azegour skarn deposit (High-Atlas, Morocco). J. Afr. Earth Sci. 2019, 155, 109–117. [Google Scholar] [CrossRef]
- Touil, A.; Hibti, M.; Bilal, E.; El Khalile, A. Chemistry of minerals from the Azegour skarn deposits, western High Atlas, Morocco. Rom. J. Miner. Depos. 2014, 87, 67–70. [Google Scholar]
- Permingeat, F. Le Gisement de Molybdène, Tungstène et Cuivre d’Azegour (Haut Atlas): Etude Pétrographique et Métallogénique; Notes et mém; SGM: Glenwood Springs, CO, USA, 1957; Volume 141. [Google Scholar]
- Zerhouni, Y. Contribution à L’étude Géologique de la Région d’Azegour et de Minéralisations en Mo, W, Cu et Fe: Haut-Atlas de Marrakeh, Maroc; Cadi Ayyad University: Marrakech, Morocco, 1988. [Google Scholar]
- Breillat, N.; Guerrot, C.; Marcoux, E.; Négrel, P. A new global database of δ98Mo in molybdenites: A literature review and new data. J. Geochem. Explor. 2016, 161, 1–15. [Google Scholar] [CrossRef]
- Ilmen, S.; Alansari, A.; Baidada, B.; Maacha, L.; Bajddi, A. Minerals of the Ag–Bi–Cu–Pb–S system from the Amensif carbonate-replacement deposit (western High Atlas, Morocco). J. Geochem. Explor. 2016, 161, 85–97. [Google Scholar] [CrossRef]
- Jinari, A.; Rddad, L.; Mouguina, E.M.; Ouadjou, A. Origin of the Amensif Zn-Cu (Pb-Ag-Au) distal skarn deposit (Western High Atlas, Morocco): Constraints from COS isotopes. J. Afr. Earth Sci. 2023, 199, 104850. [Google Scholar] [CrossRef]
- Loudaoued, I.; Touil, A.; Aysal, N.; Aissa, M.; Keskin, M.; Yılmaz, İ.; Ouadjou, A. Volcanic rocks from Amensif-Tnirt district in the western High Atlas (Morocco): Geochemistry, magma features and new age dating. J. Afr. Earth Sci. 2023, 205, 104975. [Google Scholar] [CrossRef]
- Bouabdellah, M.; Beaudoin, G.; Leach, D.L.; Grandia, F.; Cardellach, E. Genesis of the Assif El Mal Zn–Pb (Cu, Ag) vein deposit. An extension-related Mesozoic vein system in the High Atlas of Morocco. Structural, mineralogical, and geochemical evidence. Miner. Depos. 2009, 44, 689–704. [Google Scholar] [CrossRef]
- Badra, L. Les Minéralisations Polymétalliques (Pb, Zn, Cu, Ba) du Haut-Atlas Occidental Marocain et de Ses Confins Dans Leur Cadre Géodynamique. Ph.D. Thesis, Université d’Orléans, Orléans, France, 1993. [Google Scholar]
- Gaouzi, A.; Chauvet, A.; Barbanson, L.; Badra, L.; Touray, J.-C.; Oukarou, S.d.; El Wartiti, M. Mise en place syntectonique des minéralisations cuprifères du gíte d’Ifri (district du Haut Seksaoua, Haut Atlas occidental, Maroc). Comptes Rendus L’académie Des Sci.-Ser. IIA-Earth Planet. Sci. 2001, 333, 277–284. [Google Scholar]
- Badra, L.; Prost, A.; Mechiche, M. Plis couchés anté-viséens dans le Haut-Atlas occidental. In Proceedings of the Réunion des Sciences de la Terre, Paris, France, 10 April 1996. [Google Scholar]
- Piqué, A.; Bouabdelli, M.; Darboux, J.-R. Le rift cambrien du Maroc occidental. Comptes Rendus L’académie Sci. Série 2. Sci. La Terre Planètes 1995, 320, 1017–1024. [Google Scholar]
- Ouali, H.; Briand, B.; Bouchardon, J.-L.; El Maâtaoui, M. Mise en évidence d’un volcanisme alcalin intraplaque d’âge Acadien dans la Meseta nord-occidentale (Maroc). Comptes Rendus L’académie Sci.-Ser. IIA-Earth Planet. Sci. 2000, 330, 611–616. [Google Scholar] [CrossRef]
- Pouclet, A.; Ouazzani, H.; Fekkak, A. The Cambrian volcano-sedimentary formations of the westernmost High Atlas (Morocco): Their place in the geodynamic evolution of the West African Palaeo-Gondwana northern margin. Geol. Soc. Lond. Spec. Publ. 2008, 297, 303–327. [Google Scholar] [CrossRef]
- Pouclet, A.; El Hadi, H.; Álvaro, J.J.; Bardintzeff, J.-M.; Benharref, M.; Fekkak, A. Review of the Cambrian volcanic activity in Morocco: Geochemical fingerprints and geotectonic implications for the rifting of West Gondwana. Int. J. Earth Sci. 2018, 107, 2101–2123. [Google Scholar] [CrossRef]
- Mrini, Z.; Rafi, A.; Duthou, J.-L.; Vidal, P. Chronologie Rb-Sr des granitoides hercyniens du Maroc; consequences. Bull. Société Géologique Fr. 1992, 163, 281–291. [Google Scholar]
- Dias, R.; Hadani, M.; Machado, I.L.; Adnane, N.; Hendaq, Y.; Madih, K.; Matos, C. Variscan structural evolution of the western High Atlas and the Haouz plain (Morocco). J. Afr. Earth Sci. 2011, 61, 331–342. [Google Scholar] [CrossRef]
- Boukerrou, S.; Nalini, H.; Moreira, H.; Maacha, L.; Zouhair, M.; Outhounjite, M.; Ouirouane, S.; Hibti, M.; Touil, A. Geochronology and geochemistry of Ediacaran volcanic rocks of the Tighardine ore deposit formation (western High Atlas, Morocco). Arab. J. Geosci. 2018, 11, 22. [Google Scholar] [CrossRef]
- Ait Ayyad, N.; Ribeiro, M.; Sola, A.; Moreira, M.; Dias, R.; Bouabdelli, M.; Ezzouhairi, H.; Charif, A. Le granite d’Azegour (Maroc): Cartographie géochimique et interprétation géodynamique. Comun. Inst. Geol. Min. Port. 2000, 87, 155–164. [Google Scholar]
- Meinert, L.D. Compositional variation of igneous rocks associated with skarn deposits-chemical evidence for a genetic connection between petrogenesis and mineralization. Mineral. Assoc. Can. Short Course Ser. 1995, 23, 401–418. [Google Scholar]
- Peccerillo, A.; Taylor, S. Geochemistry of Eocene calc-alkaline volcanic rocks from the Kastamonu area, northern Turkey. Contrib. Mineral. Petrol. 1976, 58, 63–81. [Google Scholar] [CrossRef]
- Le Maitre, R.; Bateman, P.; Dudek, A.; Keller, J.; Lameyre, J.; Le Bas, M.; Sabine, P.; Schmid, R.; Sorensen, H.; Streckeisen, A. A Classification of Igneous Rocks and Glossary of Terms. Recommendations of the IUGS Subcommission on the Systematics of Igneous Rocks; Blackwell: Hoboken, NJ, USA, 1989. [Google Scholar]
- Maniar, P.D.; Piccoli, P.M. Tectonic discrimination of granitoids. Geol. Soc. Am. Bull. 1989, 101, 635–643. [Google Scholar] [CrossRef]
- Pearce, J.A.; Harris, N.B.; Tindle, A.G. Trace element discrimination diagrams for the tectonic interpretation of granitic rocks. J. Petrol. 1984, 25, 956–983. [Google Scholar] [CrossRef]
- Nakano, T. Pyroxene geochemistry as an indicator for skarn metallogenesis in Japan. Miner. Intrusion-Relat. Skarn Systems. 1998, 26, 147–168. [Google Scholar]
- Nakano, T.; Yoshino, T.; Shimazaki, H.; Shimizu, M. Pyroxene composition as an indicator in the classification of skarn deposits. Econ. Geol. 1994, 89, 1567–1580. [Google Scholar] [CrossRef]
- Walters, J.B. MinPlot: A mineral formula recalculation and plotting program for electron probe microanalysis. Mineralogia 2022, 53, 51–66. [Google Scholar] [CrossRef]
- Meinert, L.D. Skarns and skarn deposits. Geosci. Can. 1992, 19, 145–162. [Google Scholar]
- Berrada Hmima, S.; Marcoux, E.; Hafid, A. Le skarn Mo-W-Cu à grenat, wollastonite, pyroxène et vésuvianite d’Azegour (Haut-Atlas, Maroc). Bulletin de la Société géologique de France 2015, 186, 21–34. [Google Scholar] [CrossRef]
- Kwak, T.; Abeysinghe, P. Rare earth and uranium minerals present as daughter crystals in fluid inclusions, Mary Kathleen U-REE skarn, Queensland, Australia. Mineral. Mag. 1987, 51, 665–670. [Google Scholar] [CrossRef]
- Newberry, R. W- and Sn-skarn deposits: A 1998 status report. Miner. Intrusion-Relat. Skarn Syst. 1998, 26, 289–335. [Google Scholar]
- Zhao, W.W.; Zhou, M.-F. Mineralogical and metasomatic evolution of the Jurassic Baoshan scheelite skarn deposit, Nanling, South China. Ore Geol. Rev. 2018, 95, 182–194. [Google Scholar] [CrossRef]
- Newberry, R.J. The formation of subcalcic garnet in scheelite-bearing skarns. Can. Mineral. 1983, 21, 529–544. [Google Scholar]
- Gaspar, M.; Knaack, C.; Meinert, L.D.; Moretti, R. REE in skarn systems: A LA-ICP-MS study of garnets from the Crown Jewel gold deposit. Geochim. Cosmochim. Acta 2008, 72, 185–205. [Google Scholar] [CrossRef]
- Orhan, A. Evolution of the Mo-rich scheelite skarn mineralization at Kozbudaklar, Western Anatolia, Turkey: Evidence from mineral chemistry and fluid inclusions. Ore Geol. Rev. 2017, 80, 141–165. [Google Scholar] [CrossRef]
- Anderson, D.L. A global geochemical model for the evolution of the mantle. Evol. Earth 1981, 5, 6–18. [Google Scholar]
- Deer, W.A.; Howie, R.A.; Zussman, J. Rock-Forming Minerals. Framework Silicates: Feldspars; Geological Society: London, UK, 1993; Volume 4A, p. 327. [Google Scholar]
- Roedder, E. Volume 12: Fluid inclusions. Rev. Mineral. 1984, 12, 644. [Google Scholar]
- Steele-MacInnis, M.; Ridley, J.; Lecumberri-Sanchez, P.; Schlegel, T.U.; Heinrich, C.A. Application of low-temperature microthermometric data for interpreting multicomponent fluid inclusion compositions. Earth-Sci. Rev. 2016, 159, 14–35. [Google Scholar] [CrossRef]
- Bodnar, R. Revised equation and table for determining the freezing point depression of H2O-NaCl solutions. Geochim. Cosmochim. Acta 1993, 57, 683–684. [Google Scholar] [CrossRef]
- Baker, T.; Lang, J.R. Reconciling fluid inclusion types, fluid processes, and fluid sources in skarns: An example from the Bismark Deposit, Mexico. Miner. Depos. 2003, 38, 474–495. [Google Scholar] [CrossRef]
- Williams-Jones, A.; Samson, I.; Ault, K.; Gagnon, J.; Fryer, B. The genesis of distal zinc skarns: Evidence from the Mochito deposit, Honduras. Econ. Geol. 2010, 105, 1411–1440. [Google Scholar] [CrossRef]
- Shi, K.; Ulrich, T.; Wang, K.; Ma, X.; Li, S.; Wang, R. Hydrothermal evolution and ore genesis of the Laozuoshan Au skarn deposit, northeast China: Constrains from mineralogy, fluid inclusion, and O–C–S–Pb isotope geochemistry. Ore Geol. Rev. 2020, 127, 103879. [Google Scholar] [CrossRef]
- Haynes, F.M.; Kesler, S.E. Compositions and sources of mineralizing fluids for chimney and manto limestone-replacement ores in Mexico. Econ. Geol. 1988, 83, 1985–1992. [Google Scholar] [CrossRef]
- Bowman, J. Stable-isotope systematic of skarns. Miner. Intrusion-Relat. Skarn Syst. 1998, 26, 99–145. [Google Scholar]
- Kamvong, T.; Zaw, K. The origin and evolution of skarn-forming fluids from the Phu Lon deposit, northern Loei Fold Belt, Thailand: Evidence from fluid inclusion and sulfur isotope studies. J. Asian Earth Sci. 2009, 34, 624–633. [Google Scholar] [CrossRef]
- Wan, B.; Xiao, W.; Han, C.; Windley, B.F.; Zhang, L.; Qu, W.; Du, A. Re–Os molybdenite age of the Cu–Mo skarn ore deposit at Suoerkuduke in East Junggar, NW China and its geological significance. Ore Geol. Rev. 2014, 56, 541–548. [Google Scholar] [CrossRef]
- Soloviev, S.G.; Kryazhev, S.G. Magmatic-hydrothermal evolution at the Lyangar redox-intermediate tungsten-molybdenum skarn deposit, western Uzbekistan, Tien Shan: Insights from igneous petrology, hydrothermal alteration, and fluid inclusion study. Lithos 2018, 316, 154–177. [Google Scholar] [CrossRef]
- Soloviev, S.G.; Kryazhev, S.G. Geology, mineralization, and fluid inclusion characteristics of the Koitash redox-intermediate W–Mo skarn and W–Au stockwork deposit, western Uzbekistan, Tien Shan. Miner. Depos. 2019, 54, 1179–1206. [Google Scholar] [CrossRef]
- Gasquet, D.; Stussi, J.-M.; Nachit, H. Les granitoïdes hercyniens du Maroc dans le cadre de l’évolution géodynamique régionale. Bull. Société Géologique Fr. 1996, 167, 517–528. [Google Scholar]
- Kwak, T.; Tan, T.H. The geochemistry of zoning in skarn minerals at the King Island (Dolphin) mine. Econ. Geol. 1981, 76, 468–497. [Google Scholar] [CrossRef]
- Soloviev, S.G. Geology, mineralization, and fluid inclusion characteristics of the Kensu W-Mo skarn and Mo-W-Cu-Au alkalic porphyry deposit, Tien Shan, Kyrgyzstan. Econ. Geol. 2011, 106, 193–222. [Google Scholar] [CrossRef]
- Espeche, M.J.; Wan, B.; Lira, R.; Seltmann, R. Mineral Chemistry and U-Pb Garnet Geochronology of Strongly Reduced Tungsten Skarns at the Pampa de Olaen Mining district, Córdoba, Argentina. Ore Geol. Rev. 2021, 138, 104379. [Google Scholar] [CrossRef]
- Spencer, E. The Transport and Deposition of Molybdenum in Porphyry Ore Systems. Ph.D. Thesis, Imperial College London, London, UK, 2015. [Google Scholar]
- Cline, J.S.; Bodnar, R.J. Direct evolution of brine from a crystallizing silicic melt at the Questa, New Mexico, molybdenum deposit. Econ. Geol. 1994, 89, 1780–1802. [Google Scholar] [CrossRef]
- Chen, L.; Qin, K.Z.; Li, G.M.; Xiao, B.; Li, J.X.; Jiang, H.Z.; Chen, J.B.; Zhao, J.X.; Fan, X.; Han, F.J.; et al. Geochamical characteristics and origin skarn rocks in the Nuri Cu-Mo-W deposit, Southern Tibet. Geol. Explor. 2011, 47, 78–88. [Google Scholar]















| Sample No. | Z-86 | Z-87 | Z-99 | Z-88 | Z-89 | Z-92 | Z-82 | Z-100 |
|---|---|---|---|---|---|---|---|---|
| Major oxide (wt%) | ||||||||
| SiO2 | 78.28 | 76.49 | 77.11 | 77.35 | 76.93 | 78.01 | 76.59 | 77.41 |
| TiO2 | 0.09 | 0.08 | 0.11 | 0.07 | 0.14 | 0.09 | 0.11 | 0.08 |
| AL2O3 | 11.51 | 11.79 | 12.32 | 12.34 | 12.13 | 12.5 | 12.28 | 12.74 |
| Fe2O3(t) | 0.33 | 1.19 | 0.55 | 0.76 | 0.22 | 0.66 | 0.63 | 0.85 |
| MnO | 0.01 | 0.07 | 0.01 | 0.02 | 0.01 | 0.03 | 0.02 | 0.01 |
| CaO | 0.27 | 0.24 | 0.3 | 0.34 | 0.37 | 0.27 | 0.69 | 0.34 |
| MgO | 0.04 | 0.07 | 0.09 | 0.06 | 0.07 | 0.03 | 0.11 | 0.07 |
| Na2O | 2.48 | 2.12 | 2.52 | 2.65 | 2.57 | 2.47 | 2.42 | 3.01 |
| K2O | 4.75 | 5.74 | 5.18 | 5.15 | 4.86 | 4.91 | 5.21 | 4.53 |
| P2O5 | 0.01 | 0.01 | 0.01 | 0.01 | 0.01 | 0.02 | 0.01 | 0.01 |
| LOI | 0.44 | 0.68 | 0.54 | 0.56 | 0.48 | 0.87 | 0.41 | 0.48 |
| Total | 97.75 | 97.79 | 98.19 | 98.73 | 97.31 | 98.96 | 98.05 | 99.04 |
| Trace elements (ppm) | ||||||||
| Ni | 4.52 | 5.71 | 5.04 | 5.64 | 5.76 | 4.85 | 5.2 | 7.09 |
| Cu | 14.06 | 15.26 | 5.24 | 30.66 | 4.14 | 102.6 | 18.53 | 6.29 |
| Zn | 9.03 | 121.9 | 13.5 | 18.7 | 14.6 | 263.5 | 72.8 | 12.74 |
| Sc | 2.38 | 2.3 | 1.73 | 4.91 | 1.38 | 1.93 | 1.62 | 2.56 |
| Ga | 18 | 18.8 | 18.3 | 27.6 | 16.6 | 20.3 | 19.9 | 26.4 |
| Rb | 198.9 | 212.8 | 194.9 | 210 | 180.1 | 182.1 | 134.4 | 201.2 |
| Sr | 21.6 | 24.2 | 38.9 | 19 | 44.7 | 22.4 | 35.5 | 17.4 |
| Li | 8.29 | 10.01 | 11.79 | 5.83 | 16.36 | 5.67 | 25.77 | 15.7 |
| Y | 5.24 | 10.56 | 8.93 | 11.19 | 9.31 | 9.07 | 20.07 | 9 |
| Zr | 65.2 | 68.4 | 78.8 | 75.7 | 121 | 81 | 94.5 | 87.2 |
| Nb | 23.2 | 25.1 | 19.1 | 71.4 | 17.9 | 24.8 | 30.1 | 34.6 |
| Pb | 8.2 | 106.7 | 8.1 | 27.9 | 19.9 | 118.5 | 47.3 | 13 |
| Th | 27.37 | 32.78 | 23.52 | 20.21 | 32.1 | 34.3 | 37.74 | 29.2 |
| U | 5.2 | 3.8 | 3.2 | 9.3 | 6.1 | 8.6 | 13.8 | 7.1 |
| Ba | 165.7 | 484 | 224.8 | 307.9 | 289.8 | 160.1 | 178.4 | 98.52 |
| Co | bdl | 0.63 | 0.13 | 0.08 | bdl | 1.8 | 1.98 | 1.47 |
| Cr | 2 | 2.56 | 2.86 | 3.5 | 4.93 | 2.25 | 5.22 | 7.16 |
| V | 1.04 | 6.1 | 3.57 | 3.05 | 2.45 | 3.17 | 3.56 | 2.45 |
| La | 14.51 | 25.58 | 23.64 | 19.54 | 17.83 | 14.46 | 32.5 | 16.88 |
| Ce | 28.86 | 38.88 | 41.08 | 37.46 | 35.53 | 28.4 | 60.43 | 26.47 |
| Eu | 0.03 | 0.22 | 0.14 | 0.02 | 0.28 | 0.02 | 0.21 | 0.02 |
| Nd | 2.65 | 9.28 | 8.51 | 4.84 | 7.47 | 4.07 | 15.45 | 4.37 |
| Yb | 1.05 | 1.96 | 1.79 | 2.48 | 1.76 | 2.01 | 3.02 | 2.69 |
| Nb/Y | 4.43 | 2.38 | 2.14 | 6.38 | 1.92 | 2.73 | 1.5 | 3.85 |
| La/Yb | 13.87 | 13.06 | 13.18 | 7.88 | 10.11 | 7.19 | 10.75 | 6.27 |
| A/CNK | 1.19 | 1.16 | 1.2 | 1.17 | 1.19 | 1.27 | 1.13 | 1.22 |
| Rock Type | Sample No. | Mineral Facies | Mineral Assemblage | Characteristic Properties |
|---|---|---|---|---|
| Marble | Z1A,Z5A,Z5B,Z5B2,Z22,Z64,Z59,Z84,Z103,Z111,Z112 | Cal + Dol | Cal + Dol ± Px (Di) ± Sp ± Scp ± Ph | Marble show a heterogeneous composition, varying from pure calcite to calcite dolomite (Cc + Dt), with a few clasts of quartz, to dolomites with pelitic, volcanic and pyroclastic fractions. |
| Skarn | Z6A3,Z6AB,Z6B1,Z6B3,Z7A2,Z7B1,Z7B2,Z8A,Z8B,Z32A,Z35C,Z53,Z69,Z60 | Wo-Grt zone | Wo + Grt (Grs-Adr) ± Px (Di-Hd) ± Qz ± Cal ± Amp ± Sch ± Ves | Wollastonite developing directly on the marble. The contact between grenatites and wollastonitites is diffuse and progressive and garnets as isolated crystals or polycristalline clusters can appear within wollastonitites. |
| ZA2,Z4C1,Z4C2,Z9,Z9B,Z10,Z11A,Z11B,Z12B,Z13,Z14A,Z14B,Z17,Z18A,A19,Z21B,Z23A,Z23B,Z24A,Z24B,Z25A,Z25B,Z37A,Z37B,Z41A,Z41B,Z61,Z70,Z78,Z79,Z102,Z110,Z114,Z125B | Grt zone | Grt (Grs-Adr) + Px (Di-Hd) ± Sch ± Ves ± Sph ± Qz ± Cal ± Kfs ± Pl (Ab) ± Amp ± Ep ± Chl ± Ms ± Pect ± Sulphides ± Hem ± Oli | Zoned garnet is replaced by pyroxene. Calcite and chlorite are the main alteration products and interstitial quartz and calcite are observed. Pores and fractures of garnet are filled with quartz, calcite and k-feldspar crystals. |
| Sample No. | Z7B2A | Z7B2B | Z6B1A | Z6B1B | Z6B1C | Z7B2 | Z54 | Z20A | Z20B | Z18A | Z18B | Z4C1A | Z4C1B | Z49A | Z49B |
|---|---|---|---|---|---|---|---|---|---|---|---|---|---|---|---|
| (wt %) | |||||||||||||||
| SiO2 | 53.04 | 51.19 | 50.60 | 49.94 | 49.72 | 49.71 | 52.19 | 51.13 | 50.60 | 49.72 | 49.71 | 51.13 | 50.60 | 50.13 | 50.57 |
| TiO2 | 0.13 | 0.58 | 0.88 | 0.97 | 0.90 | 0.79 | 0.17 | 0.56 | 0.47 | 0.50 | 0.59 | 0.24 | 0.36 | 0.37 | 0.25 |
| Al2O3 | 0.64 | 2.35 | 3.18 | 3.46 | 3.71 | 3.42 | 0.65 | 2.59 | 2.18 | 1.71 | 1.42 | 0.99 | 0.82 | 1.53 | 1.82 |
| FeO | 6.55 | 9.98 | 9.26 | 9.35 | 10.28 | 11.14 | 11.91 | 12.42 | 13.93 | 16.38 | 16.14 | 18.42 | 18.42 | 19.93 | 18.92 |
| MnO | 0.44 | 0.25 | 0.26 | 0.23 | 0.29 | 0.17 | 0.49 | 0.24 | 0.26 | 0.39 | 0.17 | 0.24 | 0.24 | 0.24 | 0.24 |
| MgO | 14.06 | 11.91 | 11.93 | 11.73 | 11.35 | 10.80 | 10.98 | 8.72 | 7.36 | 7.35 | 7.80 | 4.72 | 4.96 | 3.72 | 3.96 |
| CaO | 24.65 | 24.11 | 24.05 | 23.79 | 23.55 | 23.36 | 24.11 | 24.02 | 24.05 | 23.55 | 23.36 | 23.02 | 23.65 | 22.60 | 22.98 |
| Na2O | 0.35 | 0.42 | 0.49 | 0.47 | 0.45 | 0.39 | 0.24 | 0.35 | 0.39 | 0.45 | 0.39 | 0.25 | 0.29 | 0.85 | 0.65 |
| K2O | bdl | bdl | bdl | 0.02 | 0.02 | bdl | bdl | 0.01 | bdl | 0.02 | bdl | 0.01 | 0.01 | 0.01 | 0.01 |
| Total | 99.86 | 100.79 | 100.65 | 99.96 | 100.27 | 99.78 | 100.74 | 100.04 | 99.24 | 100.07 | 99.58 | 99.02 | 99.35 | 99.38 | 99.40 |
| Cations on the basis of 6 oxygen atoms | |||||||||||||||
| Si | 3.74 | 3.69 | 3.66 | 3.65 | 3.65 | 3.66 | 3.74 | 3.72 | 3.73 | 3.68 | 3.71 | 3.79 | 3.77 | 3.76 | 3.77 |
| Ti | bdl | 0.01 | 0.01 | 0.01 | 0.01 | 0.01 | bdl | 0.01 | 0.01 | 0.01 | 0.01 | bdl | bdl | 0.01 | bdl |
| Al (IV) | 0.01 | 0.05 | 0.06 | 0.07 | 0.07 | 0.07 | 0.01 | 0.05 | 0.04 | 0.03 | 0.03 | 0.02 | 0.02 | 0.03 | 0.04 |
| Al (VI) | 0.02 | 0.07 | 0.09 | 0.10 | 0.11 | 0.10 | 0.02 | 0.08 | 0.06 | 0.05 | 0.04 | 0.03 | 0.02 | 0.05 | 0.05 |
| Fe2+ | 0.20 | 0.31 | 0.29 | 0.29 | 0.32 | 0.35 | 0.38 | 0.40 | 0.45 | 0.53 | 0.53 | 0.61 | 0.61 | 0.66 | 0.62 |
| Fe3+ | 0.09 | 0.14 | 0.13 | 0.13 | 0.14 | 0.16 | 0.17 | 0.17 | 0.19 | 0.23 | 0.22 | 0.26 | 0.26 | 0.38 | 0.36 |
| Mn | 0.01 | 0.01 | 0.01 | 0.01 | 0.01 | 0.01 | 0.02 | 0.01 | 0.01 | 0.01 | 0.01 | 0.01 | 0.01 | 0.01 | 0.01 |
| Mg | 0.35 | 0.30 | 0.30 | 0.29 | 0.28 | 0.27 | 0.28 | 0.22 | 0.18 | 0.18 | 0.20 | 0.12 | 0.12 | 0.09 | 0.10 |
| Ca | 1.42 | 1.41 | 1.41 | 1.40 | 1.39 | 1.39 | 1.42 | 1.42 | 1.44 | 1.43 | 1.42 | 1.41 | 1.44 | 1.40 | 1.41 |
| Na | 0.01 | 0.01 | 0.01 | 0.01 | 0.01 | 0.01 | bdl | 0.01 | 0.01 | 0.01 | 0.01 | bdl | 0.01 | 0.01 | 0.01 |
| K | bdl | bdl | bdl | bdl | bdl | bdl | bdl | bdl | bdl | bdl | bdl | bdl | bdl | bdl | bdl |
| % Di | 61.80 | 48.22 | 50.08 | 49.33 | 46.03 | 42.99 | 41.29 | 35.10 | 28.24 | 25.41 | 26.86 | 16.12 | 16.78 | 12.22 | 13.56 |
| % Hd | 35.74 | 50.49 | 48.57 | 49.49 | 52.51 | 56.21 | 56.31 | 63.61 | 70.36 | 73.20 | 72.45 | 82.79 | 82.14 | 86.73 | 85.34 |
| % Jo | 2.46 | 1.29 | 1.34 | 1.18 | 1.46 | 0.80 | 2.40 | 1.29 | 1.40 | 1.38 | 0.69 | 1.09 | 1.08 | 1.05 | 1.10 |
| Sample no. | Z54A | Z54B | Z48A | Z48B | Z4A | Z4B | Z9A | Z9B | Z6B1A | Z6B1B | Z7B2A | Z7B2C | ZT7 | ZT8 | ZT9 | ZT10 |
|---|---|---|---|---|---|---|---|---|---|---|---|---|---|---|---|---|
| (wt %) | ||||||||||||||||
| SiO2 | 42.40 | 40.43 | 39.85 | 38.85 | 44.43 | 38.54 | 38.45 | 37.96 | 38.09 | 38.01 | 36.84 | 36.72 | 35.26 | 35.26 | 34.36 | 34.93 |
| TiO2 | 0.56 | 0.68 | 0.01 | bdl | 0.05 | 0.26 | 0.12 | 0.04 | bdl | bdl | 0.87 | bdl | bdl | bdl | bdl | 0.01 |
| Al2O3 | 17.89 | 19.21 | 21.74 | 28.99 | 13.29 | 15.01 | 25.07 | 26.27 | 24.39 | 23.06 | 16.06 | 17.28 | 1.30 | 0.49 | 0.52 | 4.88 |
| FeO | 5.13 | 3.09 | 10.97 | 5.44 | 11.38 | 9.58 | 9.83 | 8.88 | 11.44 | 11.85 | 3.25 | 2.82 | 29.14 | 29.83 | 30.67 | 26.54 |
| MnO | 0.13 | 0.12 | bdl | 0.18 | 0.23 | 0.32 | 0.04 | 0.26 | 0.02 | 0.10 | bdl | bdl | 0.39 | 0.35 | 0.29 | 0.35 |
| MgO | 0.66 | 0.60 | 0.45 | 0.12 | 0.01 | 0.06 | 0.05 | 0.03 | 0.03 | 0.04 | 3.46 | 3.29 | 0.07 | 0.10 | 0.03 | 0.14 |
| CaO | 27.67 | 36.49 | 20.48 | 24.23 | 35.06 | 36.27 | 23.91 | 23.11 | 23.28 | 23.42 | 36.24 | 36.32 | 33.33 | 32.48 | 33.64 | 31.22 |
| Na2O | 0.34 | bdl | 0.03 | bdl | 0.02 | bdl | bdl | 0.01 | 0.01 | 0.02 | 0.02 | 0.01 | 0.32 | 0.51 | 0.27 | 0.21 |
| K2O | 0.23 | 0.02 | 0.08 | 0.01 | 0.01 | bdl | bdl | bdl | 0.01 | 0.01 | 0.02 | bdl | bdl | bdl | bdl | bdl |
| Cr2O3 | bdl | 0.01 | bdl | bdl | bdl | bdl | bdl | bdl | bdl | bdl | bdl | bdl | bdl | bdl | bdl | bdl |
| Total | 95.01 | 100.65 | 93.63 | 97.83 | 104.48 | 100.04 | 97.47 | 96.57 | 97.27 | 96.52 | 96.76 | 96.44 | 99.81 | 99.13 | 99.79 | 99.07 |
| Cations on the basis of 12 oxygen atoms | ||||||||||||||||
| Si | 3.33 | 3.04 | 3.13 | 2.80 | 3.27 | 2.99 | 2.91 | 2.86 | 2.92 | 2.97 | 2.92 | 2.91 | 2.96 | 3.00 | 2.91 | 2.94 |
| Al (IV) | bdl | bdl | bdl | 0.20 | bdl | 0.01 | 0.09 | 0.14 | 0.08 | 0.03 | 0.08 | 0.09 | 0.04 | bdl | 0.06 | 0.06 |
| Al (VI) | 1.66 | 1.71 | 2.05 | 2.37 | 1.18 | 1.40 | 2.19 | 2.26 | 2.16 | 2.11 | 1.43 | 1.54 | 0.10 | 0.05 | bdl | 0.46 |
| Ti | 0.03 | 0.04 | bdl | bdl | bdl | 0.02 | 0.01 | bdl | bdl | bdl | 0.05 | bdl | bdl | bdl | bdl | bdl |
| Cr | bdl | bdl | bdl | bdl | bdl | bdl | bdl | bdl | bdl | bdl | bdl | bdl | bdl | bdl | bdl | bdl |
| Fe3+ | bdl | 0.19 | bdl | bdl | 0.47 | 0.51 | bdl | bdl | bdl | bdl | 0.22 | 0.19 | 1.58 | 1.62 | 1.68 | 1.30 |
| Fe2+ | 0.37 | 0.01 | 0.96 | 0.79 | 0.23 | 0.11 | 0.88 | 0.89 | 0.94 | 0.92 | bdl | bdl | 0.47 | 0.51 | 0.49 | 0.57 |
| Mn | 0.01 | 0.01 | bdl | 0.01 | 0.01 | 0.02 | bdl | 0.02 | bdl | 0.01 | bdl | bdl | 0.03 | 0.03 | 0.02 | 0.02 |
| Mg | 0.08 | 0.07 | 0.05 | 0.01 | bdl | 0.01 | 0.01 | bdl | bdl | 0.01 | 0.41 | 0.39 | 0.01 | 0.01 | bdl | 0.02 |
| Ca | 2.33 | 2.94 | 1.72 | 1.87 | 2.77 | 3.02 | 1.94 | 1.87 | 1.91 | 1.96 | 3.08 | 3.09 | 3.00 | 2.96 | 3.06 | 2.82 |
| Total | 7.81 | 7.99 | 7.91 | 8.06 | 7.94 | 8.08 | 8.02 | 8.04 | 8.02 | 8.00 | 8.19 | 8.20 | 8.19 | 8.17 | 8.22 | 8.19 |
| % And | bdl | 9.82 | bdl | bdl | 29.08 | 27.12 | bdl | bdl | bdl | bdl | 12.57 | 10.39 | 92.44 | 97.07 | 97.02 | 72.81 |
| % Gro | 93.72 | 87.51 | 63.06 | 69.63 | 70.27 | 71.91 | 68.67 | 67.14 | 66.88 | 67.76 | 71.55 | 75.23 | 6.13 | 1.41 | 2.03 | 25.58 |
| % Alm | 2.84 | bdl | 34.99 | 29.46 | bdl | bdl | 31.03 | 32.11 | 32.97 | 31.82 | bdl | bdl | bdl | bdl | bdl | bdl |
| % Pyr | 3.10 | 2.36 | 1.95 | 0.49 | 0.04 | 0.23 | 0.20 | 0.14 | 0.12 | 0.18 | 15.89 | 14.37 | 0.33 | 0.50 | 0.15 | 0.68 |
| % Spe | 0.34 | 0.28 | bdl | 0.42 | 0.60 | 0.74 | 0.10 | 0.61 | 0.03 | 0.24 | bdl | bdl | 1.10 | 1.02 | 0.81 | 0.93 |
| Host Mineral | FI Type | Size (µm) | Eutectic Temperature Te (°C) | Ice-melting Temperature Tm (°C) | Halite Dissolution Temperature Td (°C) | Final Homogenization Temperature Th (°C) | Salinity (wt% NaCl Equivalent) |
|---|---|---|---|---|---|---|---|
| Pyroxene (n = 16) | L | 10–30 | −59.0 to −40.0 | −11.2 to −6.4 | ---- | 390 to 460 | 9.7–15.2 |
| S | 10–40 | −78.5 to −40.0 | −38.1 to −18.1 | >600 | >600 | >73.9 | |
| Garnet (n = 19) | L | 10–15 | −84.5 to −46.5 | −36.0 to −8.3 | ---- | >600 | 12.0–32.8 |
| S | 10–25 | −84.2 to −46.5 | −35.5 to −19.3 | 580 to >600 | 535 to >600 | 64.7–>73.9 | |
| Quartz (n = 48) | L1 | 10–30 | −53.0 to −45.0 | −13.7 to −11.4 | ---- | >600 | 15.4–17.5 |
| L2 | 10–30 | −53.0 to −46.0 | −13.7 to −11.4 | ---- | 223 to 246 | 15.0–16.6 | |
| V | 5–20 | −51.3 to −35.3 | −7.2 to −1.2 | ---- | 468.3 to >600 | 2.1–10.7 | |
| S | 15–30 | −66.0 to −45.0 | −31.6 to −8.2 | >600 | >600 | >73.9 | |
| Calcite (n = 28) | L | 10–15 | −55.3 to −30.6 | −0.6 to −8.5 | ---- | 160 to 358 | 2.0–11.9 |
Disclaimer/Publisher’s Note: The statements, opinions and data contained in all publications are solely those of the individual author(s) and contributor(s) and not of MDPI and/or the editor(s). MDPI and/or the editor(s) disclaim responsibility for any injury to people or property resulting from any ideas, methods, instructions or products referred to in the content. |
© 2023 by the authors. Licensee MDPI, Basel, Switzerland. This article is an open access article distributed under the terms and conditions of the Creative Commons Attribution (CC BY) license (https://creativecommons.org/licenses/by/4.0/).
Share and Cite
El Khalile, A.; Aissa, M.; Touil, A.; Hibti, M.; Loudaoued, I.; Bilal, E. Evolution of Ore-Forming Fluids at Azegour Mo-Cu-W Skarn Deposit, Western High Atlas, Morocco: Evidence from Mineral Chemistry and Fluid Inclusions. Minerals 2023, 13, 1537. https://doi.org/10.3390/min13121537
El Khalile A, Aissa M, Touil A, Hibti M, Loudaoued I, Bilal E. Evolution of Ore-Forming Fluids at Azegour Mo-Cu-W Skarn Deposit, Western High Atlas, Morocco: Evidence from Mineral Chemistry and Fluid Inclusions. Minerals. 2023; 13(12):1537. https://doi.org/10.3390/min13121537
Chicago/Turabian StyleEl Khalile, Abdessamed, Mohamed Aissa, Ahmed Touil, Mohamed Hibti, Ilyasse Loudaoued, and Essaid Bilal. 2023. "Evolution of Ore-Forming Fluids at Azegour Mo-Cu-W Skarn Deposit, Western High Atlas, Morocco: Evidence from Mineral Chemistry and Fluid Inclusions" Minerals 13, no. 12: 1537. https://doi.org/10.3390/min13121537
APA StyleEl Khalile, A., Aissa, M., Touil, A., Hibti, M., Loudaoued, I., & Bilal, E. (2023). Evolution of Ore-Forming Fluids at Azegour Mo-Cu-W Skarn Deposit, Western High Atlas, Morocco: Evidence from Mineral Chemistry and Fluid Inclusions. Minerals, 13(12), 1537. https://doi.org/10.3390/min13121537

