Geochemistry, Chronology and Tectonic Implications of the Hadayang Schists in the Northern Great Xing’an Range, Northeast China
Abstract
:1. Introduction
2. Geological Settings and Sampling
3. Analytical Methods
3.1. Major and Trace Element Analysis
3.2. Zircon U–Pb Dating
3.3. Lu–Hf Isotope Analysis
4. Analytical Results
4.1. Whole-Rock Geochemistry
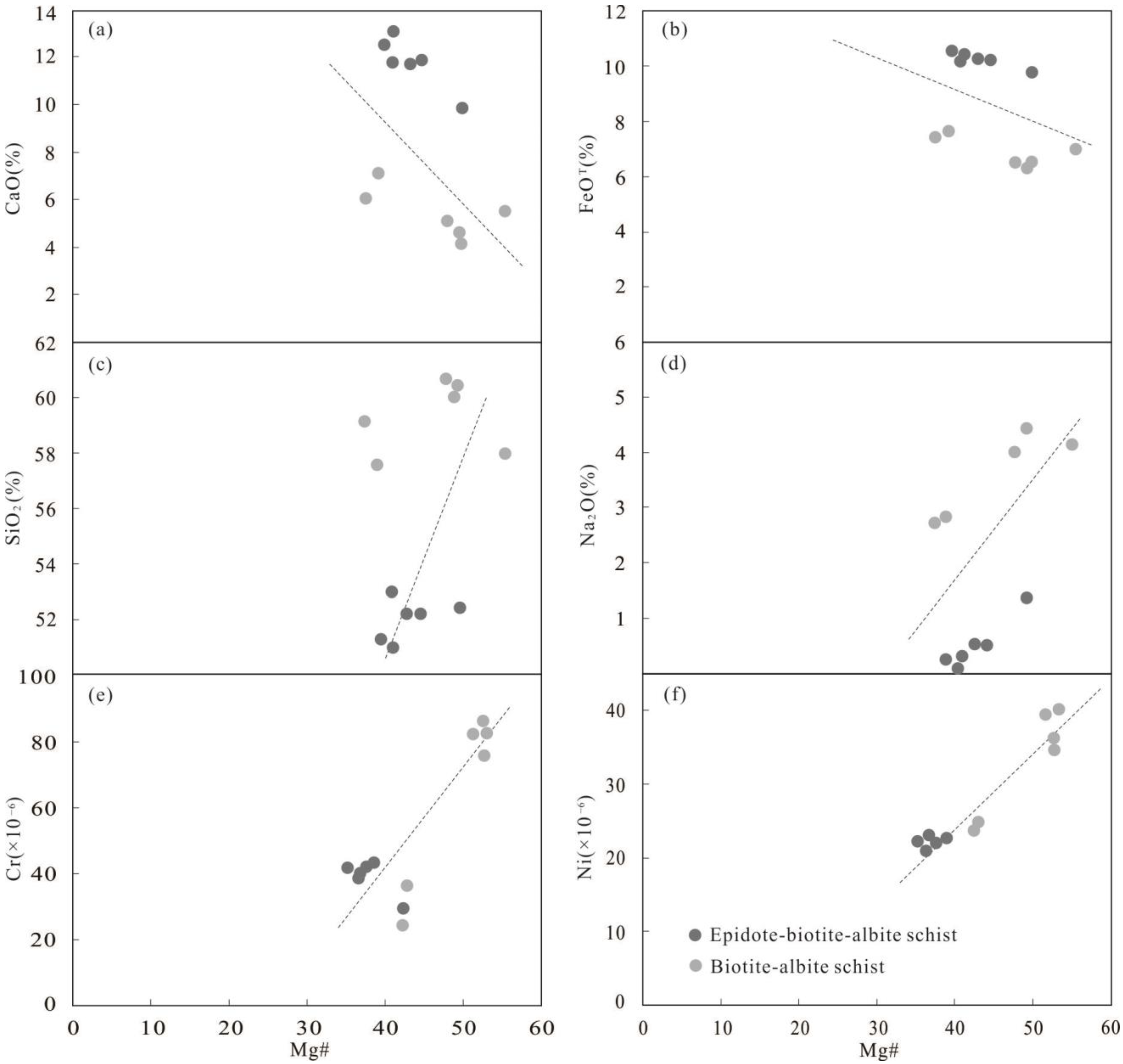
4.1.1. The Epidote-Biotite-Albite Schists
4.1.2. The Biotite-Albite Schists
4.2. Zircon U-Pb Dating
4.3. Zircon Hf Isotopies
5. Discussion
5.1. Protolith Restoration
5.2. Geochronological Framework
5.3. Petrogenesis
5.3.1. Crustal Contamination
5.3.2. Fractional Crystallization
5.3.3. Magma Source
5.4. Tectonic Evolution and Geological Significance
6. Conclusions
- The protolith of the Hadayang schists was intermediate-basic volcanic rock. LA-ICP-MS U-Pb dating of zircons from the epidote-biotite-albite schist and biotite-albite schist yielded crystallization ages of 360 ± 2 Ma (MSWD = 1.4) and 355 ± 3 Ma (MSWD = 2.1). This, combined with the presence of contemporaneous magmatic rocks in the region, indicates an important magmatic event in the eastern XB during the Late Devonian–Early Carboniferous.
- The magma source of the Hadayang schists was a mantle that consisted of both spinel and garnet lherzolite, with a partial melting degree of 1%–5%, and which underwent fractional crystallization of olivine, orthopyroxene and plagioclase.
- The Late Devonian–Early Carboniferous intermediate-basic magmatic rocks in the eastern XB were formed in an intracontinental extension setting, which is consistent with the tectonic setting of contemporaneous ophiolites in the western section. The Xing’an block would have been in the stage of intracontinental extension during the Late Devonian–Early Carboniferous.
Author Contributions
Funding
Data Availability Statement
Conflicts of Interest
References
- Şengör, A.; Natal’In, B.; Burtman, V. Evolution of the Altaid tectonic collage and Palaeozoic crustal growth in Eurasia. Nature 1993, 364, 299–307. [Google Scholar] [CrossRef]
- Jahn, B.-M.; Griffin, W.; Windley, B. Continental growth in the Phanerozoic: Evidence from Central Asia. Tectonophysics 2000, 328, 7–10. [Google Scholar] [CrossRef]
- Jahn, B.-M. The Central Asian Orogenic Belt and growth of the continental crust in the Phanerozoic. Geol. Soc. Lond. Spec. Publ. 2004, 226, 73–100. [Google Scholar] [CrossRef]
- Kröner, A.; Windley, B.; Badarch, G.; Tomurtogoo, O.; Hegner, E.; Jahn, B.M.; Gruschka, S.; Khain, E.V.; Demoux, A.; Wingate, M.T.D.; et al. Accretionary growth and crust formation in the Central Asian Orogenic Belt and comparison with the Arabian-Nubian shield. Geol. Soc. Am. Mem. 2007, 200, 461. [Google Scholar] [CrossRef]
- Windley, B.F.; Alexeiev, D.; Xiao, W.; Kröner, A.; Badarch, G. Tectonic models for accretion of the Central Asian Orogenic Belt. J. Geol. Soc. 2007, 164, 31–47. [Google Scholar] [CrossRef]
- Xu, B.; Zhao, P.; Bao, Q.Z.; Zhou, Y.H.; Wang, Y.Y.; Luo, Z.W. Preliminary study on the pre-Mesozoic tectonic unit division of the Xing-Meng Orogenic Belt (XMOB). Acta Petrol. Sin. 2014, 30, 1841–1857, (In Chinese with English Abstract). [Google Scholar]
- Xu, B.; Zhao, P.; Wang, Y.Y.; Liao, W.; Luo, Z.W.; Bao, Q.Z.; Zhou, Y.H. The pre-Devonian tectonic framework of Xing’an–Mongolia orogenic belt (XMOB) in north China. J. Asian Earth Sci. 2015, 97, 183–196. [Google Scholar] [CrossRef]
- Liu, Y.; Li, W.; Feng, Z.; Wen, Q.; Neubauer, F.; Liang, C. A review of the Paleozoic tectonics in the eastern part of Central Asian Orogenic Belt. Gondwana Res. 2017, 43, 123–148. [Google Scholar] [CrossRef]
- Liu, Y.; Li, W.; Ma, Y.; Feng, Z.; Guan, Q.; Li, S.; Chen, Z.; Liang, C.; Wen, Q. An orocline in the eastern Central Asian Orogenic Belt. Earth-Sci. Rev. 2021, 221, 103808. [Google Scholar] [CrossRef]
- Zhou, J.B.; Wilde, S.A.; Zhao, G.C.; Han, J. Nature and assembly of microcontinental blocks within the Paleo-Asian Ocean. Earth-Sci. Rev. 2018, 186, 76–93. [Google Scholar] [CrossRef]
- Xu, W.L.; Sun, Y.C.; Tang, J.; Luan, J.P.; Wang, F. Basement nature and tectonic evolution of the Xing’an-Mongolian Orogenic belt. Earth Sci. 2019, 44, 1620–1646, (In Chinese with English Abstract). [Google Scholar] [CrossRef]
- Zhang, J.M.; Xu, B.; Yan, L.J.; Wang, Y.Y. Evolution of the Heihe-Nenjiang Ocean in the eastern Paleo-Asian Ocean: Constraints of sedimentological, geochronological and geochemical investigations from Early-Middle Paleozoic Heihe-Dashizhai Orogenic Belt in the northeast China. Gondwana Res. 2020, 81, 339–361. [Google Scholar] [CrossRef]
- Ma, Y.F. The Late Paleozoic Tectonic Evolution of the Central Great Xing’an Range, NE China. Ph.D. Thesis, Jilin University, Changchun, China, 2019. (In Chinese with English Abstract). [Google Scholar]
- Ma, Y.-F.; Liu, Y.-J.; Wang, Y.; Qin, T.; Chen, H.J.; Sun, W.; Zang, Y.Q. Late Carboniferous mafic to felsic intrusive rocks in the central Great Xing’an Range, NE China: Petrogenesis and tectonic implications. Int. J. Earth Sci. 2020, 109, 761–783. [Google Scholar] [CrossRef]
- Liu, Y.J.; Feng, Z.Q.; Jiang, L.W.; Jin, W.; Li, W.M.; Guan, Q.B.; Wen, Q.B.; Liang, C.Y. Ophiolite in the eastern Central Asian Orogenic Belt, NE China. Acta Pet. Sin. 2019, 35, 3017–3047, (In Chinese with English Abstract). [Google Scholar] [CrossRef]
- Li, Y.; Xu, W.-L.; Tang, J.; Sun, C.-Y.; Zhang, X.-M.; Xiong, S. Late Paleozoic igneous rocks in the Xing’an Massif and its amalgamation with the Songnen Massif, NE China. J. Asian Earth Sci. 2020, 197, 104407. [Google Scholar] [CrossRef]
- Shao, J.A. Crust Evolution in the Middle Part of the Northern Margin of Sino-Korean Plate; Peking University Press: Beijing, China, 1991; pp. 1–136, (In Chinese with English Abstract). [Google Scholar]
- Hong, D.; Huang, H.; Xiao, Y.; Xu, H.; Jin, M. The Permian alkaline granites in Central Inner Mongolia and their geodynamic significance. Acta Geol. Sin. Engl. Ed. 1995, 8, 27–39. [Google Scholar] [CrossRef]
- Sun, D.Y.; Wu, F.Y.; Li, H.M.; Lin, Q. Emplacement age of the postorogenic A-type granites in Northwestern Lesser Xing’an Ranges, and its relationship to the eastward extension of Suolushan-Hegenshan-Zhalaite collisional suture zone. Chin. Sci. Bull. 2001, 46, 427–432. [Google Scholar] [CrossRef]
- Tong, Y.; Hong, D.W.; Wang, T.; Shi, X.J.; Zhang, J.J.; Zeng, T. Spatial and temporal distribution of granitoids in the middle segment of the Sino-Mongolian Border and its tectonic and metallogenic implications. Acta Geosci. Sin. 2010, 31, 395–412, (In Chinese with English Abstract). [Google Scholar]
- Chen, B.; Jahn, B.-M.; Wilde, S.; Xu, B. Two contrasting paleozoic magmatic belts in northern Inner Mongolia, China: Petrogenesis and tectonic implications. Tectonophysics 2000, 328, 157–182. [Google Scholar] [CrossRef]
- Miao, L.C.; Fan, W.M.; Zhang, F.Q.; Liu, D.Y.; Jian, P.; Shi, G.H.; Tao, H.; Shi, Y.Q. Zircon SHRIMP geochronology of the Xinkailing-Kele complex in the northwestern Lesser Xing’an Range, and its geological implications. Chin. Sci. Bull. 2004, 49, 201–209. [Google Scholar] [CrossRef]
- Yarmolyuk, V.V.; Kovalenko, V.I.; Sal’nikova, E.B.; Kovach, V.P.; Kozlovsky, A.M.; Kotov, A.B.; Lebedev, V.I. Geochronology of igneous rocks and formation of the Late Paleozoic south Mongolian active margin of the Siberian continent. Strat. Geol. Correl. 2008, 162, 162–181. [Google Scholar] [CrossRef]
- Sun, L.X.; Ren, B.F.; Zhao, F.Q.; Ji, S.P.; Geng, J.Z. Late Paleoproterozoic magmatic records in the Erguna massif: Evidences from the zircon U-Pb dating of granitic gneisses. Geol. Bull. China 2013, 32, 341–352, (In Chinese with English Abstract). [Google Scholar] [CrossRef]
- Shao, J.; Li, Y.F.; Zhou, Y.H.; Wang, H.B.; Zhang, J. Neo-Archaean magmatic event in Erguna Massif of northeast China: Evidence from the zircon LA-ICP-MS dating of the geneissic monogranite from the drill. J. Jilin Univ. Earth Sci. Ed. 2015, 45, 364–373, (In Chinese with English Abstract). [Google Scholar] [CrossRef]
- Li, G.Y.; Zhou, J.B.; Li, L.; Han, J.; Song, M.C. Paleoproterozoic basement of the Xing’an Block in the eastern Central Asian Orogenic Belt: Evidence from the geochemistry and zircon U–Pb geochronology of granitic gneisses. Precambrian Res. 2019, 331, 105372. [Google Scholar] [CrossRef]
- Feng, Z.Q.; Zhang, Q.H.; Liu, Y.J.; Li, L.; Jiang, L.W.; Zhou, J.P.; Li, W.M.; Ma, Y.F. Reconstruction of Rodinia supercontinent: Evidence from the Erguna Block (NE China) and adjacent units in the eastern Central Asian orogenic Belt. Precambrian Res. 2022, 368, 106467. [Google Scholar] [CrossRef]
- Ge, W.C.; Chen, J.S.; Yang, H.; Zhao, G.C.; Zhang, Y.L.; Tian, D.X. Tectonic implications of new zircon U–Pb ages for the Xinghuadukou Complex, Erguna Massif, northern Great Xing’an Range, NE China. J. Asian Earth Sci. 2015, 106, 169–185. [Google Scholar] [CrossRef]
- Zhao, S.; Xu, W.-L.; Tang, J.; Li, Y.; Guo, P. Timing of formation and tectonic nature of the purportedly Neoproterozoic Jiageda Formation of the Erguna Massif, NE China: Constraints from field geology and U–Pb geochronology of detrital and magmatic zircons. Precambrian Res. 2016, 281, 585–601. [Google Scholar] [CrossRef]
- Xu, J.L.; Zheng, C.Q.; Tajčmanová, L.; Zhong, X.; Han, X.M.; Wang, Z.Y.; Yang, Y. Phase Equilibria Modeling and Zircon Dating for Precambrian Metapelites from the Xinghuadukou Complex in the Lulin Forest of the Erguna Massif, Northeast China. J. Earth Sci. 2018, 29, 1276–1290. [Google Scholar] [CrossRef]
- Liu, H.C.; Li, Y.L.; Wan, Z.F.; Lai, C.K. Early Neoproterozoic tectonic evolution of the Erguna Terrane (NE China) and its paleogeographic location in Rodinia supercontinent: Insights from magmatic and sedimentary record. Gondwana Res. 2020, 88, 185–220. [Google Scholar] [CrossRef]
- Tang, J.; Xu, W.L.; Wang, F.; Wang, W.; Xu, M.J.; Zhang, Y.H. Geochronology and geochemistry of Neoproterozoic magmatism in the Erguna Massif, NE China: Petrogenesis and implications for the breakup of the Rodinia supercontinent. Precambrian Res. 2013, 244, 597–615. [Google Scholar] [CrossRef]
- Zhao, S.; Xu, W.L.; Wang, F.; Wang, W.; Tang, J.; Zhang, Y.H. Neoproterozoic Magmatisms in the Erguna Massif, NE China: Evidence from Zircon U-Pb Geochronology. Geotecton. Metallog. 2016, 40, 559–573, (In Chinese with English Abstract). [Google Scholar] [CrossRef]
- Zhao, S.; Xu, W.L.; Tang, J.; Li, Y.; Guo, Y.P. Neoproterozoic magmatic events and tectonic attribution of the Erguna Massif: Constraints from geochronological, geochemical and Hf isotopic data of intrusive rocks. Earth Sci. 2016, 41, 1803–1829, (In Chinese with English Abstract). [Google Scholar] [CrossRef]
- Sun, W.; Chi, X.-G.; Zhao, Z.; Pan, S.-Y.; Liu, J.-F.; Zhang, R.; Quan, J.-Y. Zircon geochronology constraints on the age and nature of ‘Precambrian metamorphic rocks’ in the Xing’an block of Northeast China. Int. Geol. Rev. 2014, 56, 672–694. [Google Scholar] [CrossRef]
- Na, F.C.; Song, W.M.; Liu, Y.C.; Wang, Y.; Fu, J.Y.; Sun, W.; Li, L.C.; Wu, J.W.; Ge, J.T.; Tan, H.Y. Chronological study and tectonic significance of Precambrian metamorphic rocks in Zhalantun area of Da Hinggan Mountains. Geol. Bull. China 2018, 37, 1607–1619, (In Chinese with English Abstract). [Google Scholar]
- Na, F.C.; Fu, J.Y.; Song, W.M.; Liu, Y.C.; Wang, Y.; Ge, J.T.; Sun, W.; Yang, F.; Zhang, G.Y.; Zhong, H. Petrological and geochronological study of Keluo Complex in northwestern Lesser Xing’an Range. Earth Sci. 2019, 44, 3265–3278, (In Chinese with English Abstract). [Google Scholar] [CrossRef]
- Zhang, C.; Wu, X.; Guo, W.; Zhang, Y.; Quan, J. Discovery of the 1.8 Ga Granite on the Western Margin of the Songnen Masiff, China. Acta Geol. Sin. Engl. Ed. 2017, 91, 1497–1498. [Google Scholar] [CrossRef]
- Zhang, C.; Wu, X.W.; Liu, Z.H.; Zhang, Y.J.; Guo, W.; Quan, J.Y. Precambrian geological events on the western margin of Songnen massif: Evidence from LA-ICP-MS U-Pb geochronologu of zircons from Paleoproterozoic granite in the Longjiang area. Acta Petrol. Sin. 2018, 34, 3137–3152, (In Chinese with English Abstract). [Google Scholar] [CrossRef]
- Qian, C.; Chen, H.J.; Lu, L.; Pang, X.J.; Qin, T.; Wang, Y. The discovery of Neoarchean granite in Longjiang area, Heilongjiang Province. Acta Geosci. Sin. 2018, 39, 27–36, (In Chinese with English Abstract). [Google Scholar] [CrossRef]
- Wu, X.W.; Zhang, C.; Zhang, Y.J.; Guo, W.; Zhang, C.; Cui, T.R.; Yang, Y.J.; Hu, J.F.; Song, W.B. 2.7 Ga Monzogranite on the Songnen Massif and Its Geological Implications. Acta Geol. Sin. Engl. Ed. 2018, 92, 1265–1266. [Google Scholar] [CrossRef]
- Wu, X.W.; Zhang, C.; Shao, J.; Guo, W.; Li, L.C.; Zhang, G.Y.; Liu, B.S.; Song, W.B. The Neoarchean to Paleoproterozoic magmatic events in Longjiang area and Ulanhot area: Constraint on the attribute of Precambrian geological units in western Songnen massif. Acta Petrol. Sin. 2022, 38, 2811–2828, (In Chinese with English Abstract). [Google Scholar]
- Cheng, Z.X.; Wang, Y.; Qian, C.; Yang, X.P.; Li, Z.H.; Liu, H.W.; Xiao, L. The discovery of the Paleoproterozoic metamorphic rocks in Ulanhot, Inner Mongolia, and its geological significance. Geol. Bull. China 2018, 37, 1599–1606, (In Chinese with English Abstract). [Google Scholar]
- Zhao, P.; Fang, J.Q.; Xu, B.; Chen, Y.; Faure, M. Early Paleozoic tectonic evolution of the Xing-Meng Orogenic Belt: Constraints from detrital zircon geochronology of western Erguna–Xing’an Block, North China. J. Asian Earth Sci. 2014, 95, 136–146. [Google Scholar] [CrossRef]
- Zhou, J.B.; Wang, B.; Wilde, S.A.; Zhao, G.C.; Cao, J.L.; Zheng, C.Q. Geochemistry and U–Pb zircon dating of the Toudaoqiao blueschists in the Great Xing’an Range, northeast China, and tectonic implications. J. Asian Earth Sci. 2015, 97, 197–210. [Google Scholar] [CrossRef]
- Miao, L.C.; Zhang, F.C.; Jiao, S.J. Age, protoliths and tectonic implications of the Toudaoqiao blueschist, Inner Mongolia, China. J. Asian Earth Sci. 2015, 105, 360–373. [Google Scholar] [CrossRef]
- Zhao, L.M.; Takasu, A.; Liu, Y.J.; Li, W.M. Blueschist from the Toudaoqiao Area, Inner Mongolia, NE China: Evidence for the Suture between the Ergun and the Xing’an Blocks. J. Earth Sci. 2017, 28, 241–248. [Google Scholar] [CrossRef]
- Feng, Z.Q.; Liu, Y.J.; Li, Y.R.; Li, W.M.; Wen, Q.B.; Liu, B.Q.; Zhou, J.P.; Zhao, Y.L. Ages, geochemistry and tectonic implications of the Cambrian igneous rocks in the northern Great Xing’an Range, NE China. J. Asian Earth Sci. 2017, 144, 5–21. [Google Scholar] [CrossRef]
- Feng, Z.Q.; Liu, Y.J.; Li, L.; She, H.Q.; Jiang, L.W.; Du, B.Y.; Liu, Y.W.; Li, W.M.; Wen, Q.B.; Liang, C.Y. Subduction, accretion, and collision during the Neoproterozoic-Cambrian orogeny in the Great Xing’an Range, NE China: Insights from geochemistry and geochronology of the Ali River ophiolitic mélange and arc-type granodiorites. Precambrian Res. 2018, 311, 117–135. [Google Scholar] [CrossRef]
- Gao, F.H.; Wang, F.; Xu, W.L.; Yang, Y. Age of the “Paleoproterozoic” Dongfengshan Group in the Lesser Xing’an Range, NE China, and its tectonic implications: Constraints from zircon U-Pb geochronology. J. Jilin Univ. Earth Sci. Ed. 2013, 43, 440–456, (In Chinese with English Abstract). [Google Scholar] [CrossRef]
- Quan, J.Y.; Chi, X.G.; Zhang, R.; Fan, L.F.; Hu, Z.C. LA-ICP-MS U-Pb geochronology of detrital zircon from the Neoproterozoic Dongfengshan Group in Songnen masiff and its geological significance. Geol. Bull. China 2013, 32, 353–364, (In Chinese with English Abstract). [Google Scholar] [CrossRef]
- Wang, F.; Xu, W.L.; Gao, F.H.; Zhang, H.H.; Pei, F.P.; Zhao, L.; Yang, Y. Precambrian terrane within the Songnen–Zhangguangcai Range Massif, NE China: Evidence from U–Pb ages of detrital zircons from the Dongfengshan and Tadong groups. Gondwana Res. 2014, 26, 402–413. [Google Scholar] [CrossRef]
- Luan, J.P.; Xu, W.L.; Wang, F.; Wang, Z.W.; Guo, P. Age and geochemistry of Neoproterozoic granitoids in the Songnen–Zhangguangcai Range Massif, NE China: Petrogenesis and tectonic implications. J. Asian Earth Sci. 2017, 148, 265–276. [Google Scholar] [CrossRef]
- Luan, J.P.; Yu, J.J.; Yu, J.L.; Cui, Y.C.; Xu, W.L. Early Neoproterozoic magmatism and the associated metamorphism in the Songnen Massif, NE China: Petrogenesis and tectonic implications. Precambrian Res. 2019, 328, 250–268. [Google Scholar] [CrossRef]
- Luan, J.P.; Tang, J.; Xu, W.L.; Guo, P.; Long, X.Y.; Xiong, S. Petrogenesis of Neoproterozoic magmatic rocks in the Songnen Massif (northeastern China): Implications for basement composition and crustal growth. Precambrian Res. 2022, 376, 106687. [Google Scholar] [CrossRef]
- Zhang, L.Y.; Wang, Z.W.; Xu, B.; Zou, H.B.; Zhao, P.; Zhang, H. Neoproterozoic–Early Cambrian igneous and sedimentary sequences in the Songliao Block, NE China: Records of Rodinia supercontinent evolution in eastern Central Asian orogenic Belt. Precambrian Res. 2022, 381, 106865. [Google Scholar] [CrossRef]
- Na, F.C.; Fu, J.Y.; Wang, Y.; Yang, F.; Zhang, G.Y.; Liu, Y.C.; Kang, Z. LA-ICP-MS zircon U-Pb age of the chlorite-muscovite tectonic schist in Hadayang, Morin Dawa Banner, Inner Mongolia, and its tectonic significance. Geol. Bull. China 2014, 33, 1326–1332, (In Chinese with English Abstract). [Google Scholar] [CrossRef]
- Zhao, Z.; Chi, X.G.; Pan, S.Y.; Liu, J.F.; Sun, W.; Hu, Z.C. Zircon U-Pb LA-ICP-MS dating of Carboniferous volcanics and its geological significance in the northwestern Lesser Xing’an Range. Acta Petrol. Sin. 2010, 26, 2452–2464, (In Chinese with English Abstract). [Google Scholar]
- Feng, Z.Q.; Li, W.M.; Liu, Y.J.; Jin, W.; Wen, Q.B.; Liu, B.Q.; Zhou, J.P.; Zhang, T.A.; Li, X.Y. Early Carboniferous tectonic evolution of the northern Heihe-Nenjiang-Hegenshan suture zone, NE China: Constraints from the mylonitized Nenjiang rhyolites and the Moguqi gabbros. Geol. J. 2018, 53, 1005–1021. [Google Scholar] [CrossRef]
- Yang, F.; Na, F.C.; Zhang, G.Y.; Wang, Y.; Fu, J.Y.; Sun, W.; Chen, J.S.; Li, B.; Liu, M.; Pang, X.J.; et al. New Discovery of the Devonian Orthoclase Granite of Nenjiang-Heihe Structural belt, China and its Zircon U-Pb Data. Acta Geol. Sin. Engl. Ed. 2018, 92, 874–875. [Google Scholar] [CrossRef]
- Fu, J.Y.; Wang, Y.; Na, F.C.; Sun, W.; Yang, F.; Zhong, H.; Zhang, G.Y.; Liu, Y.C. Zircon U-Pb geochronology and geochemistry of the Hadayang mafic-ultramafic rocks in Inner Mongolia: Constraints on the Late Devonian subduction of Nenjiang-Heihe area, Northeast China. Geol. China 2015, 42, 1740–1753, (In Chinese with English Abstract). [Google Scholar]
- Fu, J.Y.; Wang, Y.; Na, F.C.; Zhang, G.Y.; Liu, Y.C.; Kang, Z. Geology of the Hadayang tectonic mélange in Inner Mongolia: Discovery significance. Geol. Resour. 2015, 24, 408–413, (In Chinese with English Abstract). [Google Scholar] [CrossRef]
- Hou, K.J.; Li, Y.H.; Tian, Y.R. In situ U-Pb zircon dating using laser ablation-multiion counting-ICP-MS. Miner. Depos. 2009, 28, 481–492, (In Chinese with English Abstract). [Google Scholar] [CrossRef]
- Liu, Y.S.; Gao, S.; Hu, Z.C.; Gao, C.G.; Zong, K.Q.; Wang, D.B. Continental and oceanic crust recycling-induced melt-peridotite interactions in the Trans-North China Orogen: U-Pb dating, Hf isotopes and trace elements in zircons from mantle xenoliths. J. Pet. 2010, 51, 537–571. [Google Scholar] [CrossRef]
- Sláma, J.; Kosler, J.; Condon, D.J.; Crowley, J.L.; Gerdes, A.; Hanchar, J.M.; Horstwood, M.S.A.; Morris, G.A.; Nasdala, L.; Norberg, N.; et al. Plešovice zircon—A new natural reference material for U–Pb and Hf isotopic microanalysis. Chem. Geol. 2008, 249, 1–35. [Google Scholar] [CrossRef]
- Hou, K.J.; Yanhe, L.I.; Xie, G.Q. Laser ablation-MC-ICP-MS technique for Hf isotope microanalysis of zircon and its geological applications. Acta Petrol. Sin. 2007, 23, 2595–2604, (In Chinese with English Abstract). [Google Scholar] [CrossRef]
- Le Maitre, R.W.; Streckeisen, A.; Zanettin, B.; Bas, M.J.L.; Bonin, B.; Bateman, P. Igneous Rocks: A Classification and Glossary of Terms; Cambridge University Press: Cambridge, UK, 2005; p. 256. [Google Scholar]
- Irvine, T.N.; Baragar, W.R.A. A Guide to the chemical classification of the common volcanic rocks. Can. J. Earth Sci. 1971, 8, 523–548. [Google Scholar] [CrossRef]
- Winchester, J.A.; Floyd, P.A. Geochemical discrimination of different magma series and their differentiation products using immobile elements. Chem. Geol. 1977, 20, 325–343. [Google Scholar] [CrossRef]
- Miyashiro, A. Volcanic rock series in island arcs and active continental margins. Am. J. Sci. 1974, 274, 321–355. [Google Scholar] [CrossRef]
- Boynton, W.V. Cosmochemistry of the Rare Earth Elements: Meteorite Studies. Dev. Geochem. 1984, 2, 63–114. [Google Scholar] [CrossRef]
- Sun, S.S.; McDonough, W.F. Chemical and isotopic systematics of oceanic basalts: Implications for mantle composition and processes. Geol. Soc. Lond. 1989, 42, 313–345. [Google Scholar] [CrossRef]
- Rubatto, D.; Gebauer, D. Use of cathodoluminescence for U-Pb Zircon dating by Ion Microprobe: Some examples from the western Alps. In Cathodoluminescence in Geoscience; Springer: Berlin/Heidelberg, Germany, 2000; pp. 373–400. [Google Scholar] [CrossRef]
- Wu, J.S.; Geng, Y.S.; Xu, H.F.; Jin, L.G.; He, S.Y.; Sun, S.W. Metamorphic geology of the Fuping Group. Bull. Inst. Geol. Chin. Acad. Geol. Sci. 1989, 19, 231. (In Chinese) [Google Scholar]
- Simonen, A. Stratigraphy and sedimentation of the Svecofennidie, Early Archean supracrustal rocks in southwestern Finland. Bull. Geol. Soc. Finl. 1953, 160, 1–64. [Google Scholar]
- Heilongjiang Bureau of Geology and Mineral Resources (HBGMR). Regional Geology of Heilongjiang Province; Geological Publishing House: Beijing, China, 1993; pp. 57–734, (In Chinese with English Abstract). [Google Scholar]
- Wu, F.Y.; Sun, D.Y.; Ge, W.C.; Zhang, Y.B.; Grant, M.L.; Winde, S.A.; Jahn, B.M. Geochronology of the Phanerozoic granitoids in northeastern China. J. Asian Earth Sci. 2011, 41, 1–30. [Google Scholar] [CrossRef]
- Zhang, Y.; Pei, F.P.; Wang, Z.W.; Xu, W.L.; Li, Y.; Wang, F.; Zhou, Z.B. Late Paleozoic tectonic evolution of the central Great Xing’an Range, northeast China: Geochronological and geochemical evidence from igneous rocks. Geol. J. 2018, 53, 282–303. [Google Scholar] [CrossRef]
- Zhao, Z.; Chi, X.G.; Liu, J.F.; Wang, T.F.; Hu, Z.C. Late Paleozoic arc-related magmatism in Yakeshi region, Inner Mongolia: Chronological and geochemical evidence. Acta Petrol. Sin. 2010, 26, 3245–3258, (In Chinese with English Abstract). [Google Scholar]
- She, H.Q.; Li, J.W.; Xiang, A.P.; Guan, J.D.; Yang, X.C.; Zhang, D.Q.; Tan, G.; Zhang, B. U-Pb ages of the zircons from primary rocks in middle-northern Daxinganling and its implications to geotectonic evolution. Acta Petrol. Sin. 2012, 28, 571–594, (In Chinese with English Abstract). [Google Scholar]
- Ji, Z.; Ge, W.C.; Yang, H.; Zhang, Y.L.; Dong, Y.; Bi, J.H.; Liu, X.W. Geochronology and geochemistry of Late Devonian I- and A-Type granites from the Xing’an Block, NE China: Implications for slab break-off during subduction of the Hegenshan-Heihe Ocean. J. Earth Sci. 2022, 33, 150–160. [Google Scholar] [CrossRef]
- Shi, L.; Zheng, Z.Q.; Yao, W.G.; Li, J.; Cui, F.H.; Gao, F.; Gao, Y.; Xu, J.L. Geochronological framework and tectonic setting of the granitic magmatism in the Chaihe–Moguqi region, central Great Xing’an Range, China. J. Asian Earth Sci. 2015, 113, 443–453. [Google Scholar] [CrossRef]
- Qian, C.; Lu, L.; Qin, T.; Li, L.C.; Chen, H.J.; Cui, T.R.; Jiang, B.; Na, F.C.; Sun, W.; Wang, Y.; et al. The Early Late-Paleozoic granitic magmatism in the Zhalantun region, Northern Great Xing’an range, NE China: Constraints on the timing of amalgamation of Erguna-Xing’an and Songnen Blocks. Acta Geol. Sin. 2018, 92, 2706–2720, (In Chinese with English Abstract). [Google Scholar] [CrossRef]
- Ma, Y.F.; Liu, Y.J.; Qin, T.; Sun, W.; Zang, Y.L.; Zhang, Y.J. Late Devonian to early Carboniferous magmatism in the western Songliao–Xinlinhot block, Northeast China: Implications for eastward subduction of the Nenjiang oceanic lithosphere. Geol. J. 2020, 55, 2208–2231. [Google Scholar] [CrossRef]
- Li, D.X.; Zheng, C.Q.; Liang, C.Y.; Zhou, X.; Yang, Y.; Song, Z.W.; Chen, L.; Geng, Z.Z.; Zhao, Y.L. Genesis and Geological Significance of Granitic Mylonites in Southern Zhalantun, Central Xing’an Range. Earth Sci. 2022, 47, 3354–3370, (In Chinese with English Abstract). [Google Scholar] [CrossRef]
- Zhang, Y.J.; Zhang, C.; Wu, X.W.; Cui, T.R.; Yang, Y.J.; Chen, H.J.; Jiang, B.; Guo, W.; Ma, Y.F. Geochronology and geochemistry of Late Paleozoic marine volcanic from the Zhalanun area in Northern DaHinggan Mountains and its geological significance. Acta Geol. Sin. 2016, 90, 2706–2720, (In Chinese with English Abstract). [Google Scholar] [CrossRef]
- Yang, B.; Zhang, B.; Zhang, Q.K.; Ma, W.; Zhao, M.T.; Chen, S.L.; Yuan, X. Characteristics and geological significance of Early Carboniferous high-Mg andesites in Ma’anshan area, east Inner Mongolia. Geol. Bull. China 2018, 37, 1760–1771, (In Chinese with English Abstract). [Google Scholar]
- Qian, C.; Wang, Y.; Lu, L.; Qin, T.; Li, L.C.; Cui, T.R.; Chen, H.J.; Yang, L. Geochronology, geochemistry and Hf isotopic composition of amphibolite from Zhalantun region in northern Great Xing’an Range and its tectonic significance. Earth Sci. 2019, 44, 3193–3208, (In Chinese with English Abstract). [Google Scholar] [CrossRef]
- Pearce, J.; Norry, M. Petrogenetic implications of Ti, Zr, Y, and Nb variations in volcanic rocks. Contrib. Miner. Pet. 1979, 69, 33–47. [Google Scholar] [CrossRef]
- DePaolo, D.C. Trace element and isotopic effects of combined wallrock assimilation and fractional crystallization. Earth Planet. Sci. Lett. 1981, 53, 189–202. [Google Scholar] [CrossRef]
- Wang, X.C.; Li, Z.X.; Li, X.H.; Li, J.; Xu, Y.G.; Li, X.H. Identification of an ancient mantle reservoir and young recycled materials in the source region of a young mantle plume: Implications for potential linkages between plume and plate tectonics. Earth Planet. Sci. Lett. 2013, 377–378, 248–259. [Google Scholar] [CrossRef]
- Zhang, H.-F.; Sun, M.; Zhou, X.-H.; Ying, J.-F. Geochemical constraints on the origin of Mesozoic alkaline intrusive complexes from the North China Craton and tectonic implications. Lithos 2005, 81, 297–317. [Google Scholar] [CrossRef]
- Dilek, Y.; Furnes, H. Ophiolite genesis and global tectonics: Geochemical and tectonic fingerprinting of ancient oceanic lithosphere. Geol. Soc. Am. Bull. 2011, 123, 387–411. [Google Scholar] [CrossRef]
- Ma, Y.F.; Liu, Y.J.; Wang, Y.; Tang, Z.; Qian, C.; Qin, T.; Feng, Z.Q.; Sun, W.; Zang, Y.Q. Geochronology and geochemistry of the Carboniferous felsic rocks in the central Great Xing’an Range, NE China: Implications for the amalgamation history of Xing’an and Songliao–Xilinhot blocks. Geol. J. 2019, 54, 482–513. [Google Scholar] [CrossRef]
- Elliott, T. Tracers of the slab. In Inside the Subduction Factory; Eiler, J., Ed.; AGU: Washington, DC, USA, 2003; pp. 23–45. [Google Scholar] [CrossRef]
- Kepezhinskas, P.; McDermott, F.; Defant, M.J.; Hochstaedter, A.; Drummond, M.S.; Hawkesworth, C.J.; Koloskov, A.; Maury, R.C.; Bellon, H. Trace element and Sr-Nd-Pb isotopic constraints on a three-component model of Kamchatka Arc petrogenesis. Geochim. Cosmochim. Acta 1997, 61, 577–600. [Google Scholar] [CrossRef]
- Aldanmaz, E.; Pearce, J.A.; Thirlwall, M.F.; Mitchell, J.G. Petrogenetic evolution of late Cenozoic, post-collision volcanism in western Anatolia, Turkey. J. Volcanol. Geotherm. Res. 2000, 102, 67–95. [Google Scholar] [CrossRef]
- Pearce, J.A.; Harris, N.B.W.; Tindle, A.G. Trace element discrimination diagrams for the tectonic interpretation of granitic rocks. J. Pet. 1984, 25, 956–983. [Google Scholar] [CrossRef]
- Xia, L.-Q. The geochemical criteria to distinguish continental basalts from arc related ones. Earth-Sci. Rev. 2014, 139, 195–212. [Google Scholar] [CrossRef]
- Wang, J.R.; Pan, Z.J.; Zhang, Q.; Chen, W.F.; Yang, J.; Jiao, S.T.; Wang, S.H. Intra-continental basalt data mining: The diversity of their constituents and the performance in basalt discrimination diagrams. Acta Petrol. Sin. 2016, 32, 1919–1933, (In Chinese with English Abstract). [Google Scholar]
- Wang, X.C.; Wilde, S.A.; Xu, B.; Pang, C.J. Origin of arc-like continental basalts: Implications for deep-Earth fluid cycling and tectonic discrimination. Lithos 2016, 261, 5–45. [Google Scholar] [CrossRef]
- Sobolev, A.A.; Hofmann, A.W.; Kuzmin, D.V.; Yaxley, G.M.; Arndt, N.; Ai, E. The amount of recycled crust in sources of mantle derived melts. Science 2007, 316, 412–417. [Google Scholar] [CrossRef] [PubMed]
- Ivanov, A.V.; Litasov, K.D. The deep water cycle and flood basalt volcanism. Int. Geol. Rev. 2014, 56, 1–14. [Google Scholar] [CrossRef]
- Jian, P.; Kröner, A.; Windley, B.F.; Shi, Y.R.; Zhang, W.; Zhang, L.Q.; Yang, W.R. Carboniferous and Cretaceous mafic–ultramafic massifs in Inner Mongolia (China): A SHRIMP zircon and geochemical study of the previously presumed integral “Hegenshan ophiolite”. Lithos 2012, 142–143, 48–66. [Google Scholar] [CrossRef]
- Song, S.G.; Wang, M.M.; Xu, X.; Wang, C.; Niu, W.L.; Allen, M.B.; Su, L. Ophiolites in the Xing’an-Inner Mongolia accretionary belt of the CAOB: Implications for two cycles of seafloor spreading and accretionary orogenic events. Tectonics 2015, 34, 2221–2248. [Google Scholar] [CrossRef]
- Zhang, Z.C.; Li, K.; Li, J.F.; Tang, W.H.; Chen, Y.; Luo, Z.W. Geochronology and geochemistry of the Eastern Erenhot ophiolitic complex: Implications for the tectonic evolution of the Inner Mongolia–Daxinganling Orogenic Belt. J. Asian Earth Sci. 2015, 97, 279–293. [Google Scholar] [CrossRef]
- Huang, B.; Fu, D.; Li, S.C.; Ge, M.C.; Zhou, W.X. The age and tectonic implications of the Hegenshan ophiolite in Inner Mongolia. Acta Petrol. Sin. 2016, 32, 158–176, (In Chinese with English Abstract). [Google Scholar]
- Yang, J.; Zhang, Z.; Chen, Y.; Yu, H.; Qian, X. Ages and origin of felsic rocks from the Eastern Erenhot ophiolitic complex, southeastern Central Asian Orogenic Belt, Inner Mongolia China. J. Asian Earth Sci. 2017, 144, 126–140. [Google Scholar] [CrossRef]
- Li, Y.J.; Wang, G.H.; Santosh, M.; Wang, J.F.; Dong, P.P.; Li, H.Y. Supra-subduction zone ophiolites from Inner Mongolia, North China: Implications for the tectonic history of the southeastern Central Asian Orogenic Belt. Gondwana Res. 2018, 59, 126–143. [Google Scholar] [CrossRef]
- Liu, J.F.; Li, J.Y.; Zhang, W.; Zhang, J.; Zhao, S.; Yin, D. Newly discovered late Devonian and early Carboniferous ophiolite fragments in the Diyanmiao mélange in southeastern Inner Mongolia: Implications for the late Paleozoic tectonic evolution of the southeastern Central Asian Orogenic Belt. Lithos 2022, 408–409, 106566. [Google Scholar] [CrossRef]
- Jian, P.; Liu, D.Y.; Kröner, A.; Windley, B.F.; Shi, Y.R.; Zhang, W.; Zhang, F.Q.; Miao, L.C.; Zhang, L.Q.; Tomurhuu, D. Evolution of a Permian intraoceanic arc–trench system in the Solonker suture zone, Central Asian Orogenic Belt, China and Mongolia. Lithos 2010, 118, 169–190. [Google Scholar] [CrossRef]
- Shao, J.A.; Zhang, L.L.; Zhou, X.H.; Zhang, L.Q.; Tang, K.D. A further study on the ophiolite in Hegenshan, Inner Mongolia. Acta Pet. Sin. 2019, 35, 2864–2872, (In Chinese with English Abstract). [Google Scholar] [CrossRef]
- Zhang, Y.J.; Xu, B.; Tian, Y.J.; Wang, Z.W. The Late Paleozoic extending processes of Xing’an-Mongolia Orogenic Belt (XMOB): Evidence from Carboniferous-Permian sedimentary basin in northeast of Erenhot, Inner Mongolia. Acta Petrol. Sin. 2018, 34, 3083–3100, (In Chinese with English Abstract). [Google Scholar]
- Xu, B.; Wang, Z.W.; Zhang, L.Y.; Wang, Z.H.; Yang, Z.Y.; He, Y. The Xing-Meng Intracontinent Orogenic Belt. Acta Petrol. Sin. 2018, 34, 2819–2844, (In Chinese with English Abstract). [Google Scholar]
- Shervais, J.W. Ti-V plots and the petrogenesis of modern and ophiolitic lavas. Earth Planet. Sci. Lett. 1982, 59, 101–118. [Google Scholar] [CrossRef]
- Pearce, J.A. A user’s guide to basalt discrimination diagrams. In Trace Element Geochemistry of Volcanic Rocks: Applications for Massive Sulphide Exploration; Wyman, D.A., Ed.; Short Course Notes; Geological Association of Canada: St. John’s, NL, Canada, 1996; pp. 79–113. [Google Scholar]












| Lithology | Epidote-Biotite-Albite Schist | Biotite-Albite Schist | ||||||||||
|---|---|---|---|---|---|---|---|---|---|---|---|---|
| Sample No. | G1631-1.1 | G1631-1.2 | G1631-1.3 | G1631-1.4 | G1631-1.5 | G1631-1.6 | G1631-4.1 | G1631-4.2 | G1631-4.3 | G1631-4.4 | G1631-4.5 | G1631-4.6 |
| SiO2 (%) | 49.28 | 50.55 | 50.47 | 50.16 | 49.46 | 51.15 | 58.07 | 58.36 | 58.82 | 55.44 | 57.72 | 56.23 |
| Al2O3 (%) | 16.75 | 16.56 | 16.76 | 16.51 | 16.99 | 16.73 | 15.98 | 15.84 | 16.17 | 16.46 | 16.27 | 16.30 |
| Fe2O3 (%) | 8.08 | 7.80 | 7.18 | 7.97 | 7.95 | 7.61 | 2.97 | 2.73 | 2.65 | 2.89 | 5.57 | 5.18 |
| FeO (%) | 3.05 | 3.28 | 3.32 | 3.14 | 3.41 | 3.32 | 3.73 | 4.00 | 4.09 | 4.40 | 2.43 | 2.97 |
| CaO (%) | 12.68 | 11.54 | 9.51 | 11.27 | 12.09 | 11.42 | 4.43 | 4.93 | 4.24 | 5.30 | 5.93 | 6.97 |
| MgO (%) | 3.31 | 3.59 | 3.99 | 3.45 | 3.19 | 3.28 | 3.96 | 3.83 | 4.01 | 4.40 | 3.04 | 3.17 |
| K2O (%) | 0.17 | 0.18 | 0.73 | 0.26 | 0.09 | 0.02 | 0.76 | 0.86 | 1.40 | 0.90 | 1.38 | 1.97 |
| Na2O (%) | 0.32 | 0.42 | 1.28 | 0.47 | 0.26 | 0.03 | 4.82 | 3.86 | 4.33 | 3.97 | 2.77 | 2.68 |
| TiO2 (%) | 1.80 | 1.70 | 1.79 | 1.68 | 1.77 | 1.66 | 1.08 | 1.02 | 1.02 | 1.06 | 1.58 | 1.34 |
| P2O5 (%) | 1.07 | 1.02 | 1.12 | 1.02 | 1.05 | 1.03 | 0.61 | 0.57 | 0.58 | 0.61 | 0.75 | 0.69 |
| MnO (%) | 0.14 | 0.15 | 0.13 | 0.15 | 0.16 | 0.15 | 0.18 | 0.17 | 0.13 | 0.19 | 0.13 | 0.15 |
| LOI (%) | 3.48 | 3.45 | 3.45 | 3.45 | 3.36 | 3.47 | 3.24 | 3.59 | 2.67 | 4.05 | 2.23 | 2.26 |
| SUM | 100.14 | 100.26 | 99.75 | 99.53 | 99.78 | 99.86 | 99.83 | 99.75 | 100.11 | 99.67 | 99.81 | 99.90 |
| FeOT | 10.33 | 10.29 | 9.79 | 10.32 | 10.57 | 10.18 | 6.40 | 6.45 | 6.47 | 7.01 | 7.44 | 7.63 |
| Mg# | 36.51 | 38.50 | 42.25 | 37.53 | 35.14 | 36.62 | 52.61 | 51.58 | 52.63 | 52.97 | 42.30 | 42.74 |
| Na2O/K2O | 1.96 | 2.31 | 1.76 | 1.84 | 2.98 | 1.56 | 6.35 | 4.47 | 3.08 | 4.43 | 2.01 | 1.36 |
| Na2O+K2O | 0.51 | 0.62 | 2.09 | 0.76 | 0.36 | 0.04 | 5.77 | 4.91 | 5.88 | 5.09 | 4.26 | 4.76 |
| σ | 0.03 | 0.04 | 0.46 | 0.06 | 0.02 | 0.00 | 1.95 | 1.37 | 1.99 | 1.73 | 1.12 | 1.55 |
| Y | 27.63 | 27.19 | 28.93 | 27.84 | 26.50 | 27.18 | 28.98 | 26.43 | 26.03 | 27.01 | 43.88 | 36.10 |
| La | 34.09 | 33.83 | 30.10 | 31.19 | 32.41 | 32.91 | 44.17 | 36.95 | 38.22 | 43.43 | 54.62 | 49.92 |
| Ce | 75.52 | 75.02 | 68.90 | 71.33 | 72.55 | 72.89 | 93.02 | 80.91 | 82.54 | 93.07 | 119.90 | 109.83 |
| Pr | 9.97 | 9.50 | 9.39 | 9.51 | 9.56 | 9.69 | 10.92 | 10.07 | 10.20 | 11.56 | 14.78 | 12.36 |
| Nd | 47.38 | 48.12 | 46.47 | 46.41 | 45.61 | 46.99 | 55.88 | 47.35 | 47.19 | 53.38 | 66.40 | 58.93 |
| Sm | 11.51 | 11.46 | 11.63 | 11.25 | 11.13 | 11.25 | 12.39 | 11.05 | 11.07 | 11.84 | 15.27 | 12.42 |
| Eu | 2.54 | 2.39 | 2.76 | 2.58 | 2.41 | 2.51 | 3.17 | 2.90 | 2.97 | 3.22 | 2.93 | 2.78 |
| Gd | 7.49 | 7.54 | 7.80 | 7.65 | 7.48 | 7.68 | 7.91 | 7.21 | 7.41 | 7.88 | 10.35 | 8.31 |
| Tb | 1.18 | 1.20 | 1.25 | 1.20 | 1.15 | 1.21 | 1.25 | 1.15 | 1.14 | 1.21 | 1.68 | 1.41 |
| Dy | 6.10 | 6.05 | 6.47 | 6.21 | 5.91 | 6.05 | 6.47 | 5.93 | 5.95 | 6.31 | 9.14 | 7.19 |
| Ho | 1.13 | 1.07 | 1.20 | 1.19 | 1.11 | 1.11 | 1.20 | 1.15 | 1.11 | 1.16 | 1.71 | 1.34 |
| Er | 3.05 | 2.86 | 3.18 | 2.98 | 2.95 | 3.07 | 3.59 | 3.15 | 3.05 | 3.17 | 4.92 | 4.09 |
| Tm | 0.46 | 0.42 | 0.46 | 0.46 | 0.42 | 0.46 | 0.52 | 0.48 | 0.47 | 0.50 | 0.76 | 0.66 |
| Yb | 2.28 | 2.25 | 2.41 | 2.26 | 2.15 | 2.25 | 2.93 | 2.63 | 2.59 | 2.58 | 3.91 | 3.36 |
| Lu | 0.31 | 0.31 | 0.34 | 0.33 | 0.31 | 0.30 | 0.38 | 0.37 | 0.36 | 0.37 | 0.55 | 0.47 |
| ΣREE | 202.99 | 202.01 | 192.34 | 194.53 | 195.14 | 198.36 | 243.82 | 211.29 | 214.24 | 239.68 | 306.92 | 273.07 |
| LREE | 181.00 | 180.32 | 169.25 | 172.27 | 173.66 | 176.24 | 219.56 | 189.22 | 192.18 | 216.50 | 273.90 | 246.24 |
| HREE | 21.98 | 21.69 | 23.10 | 22.27 | 21.48 | 22.12 | 24.25 | 22.07 | 22.06 | 23.18 | 33.02 | 26.83 |
| L/H | 8.23 | 8.31 | 7.33 | 7.74 | 8.09 | 7.97 | 9.05 | 8.57 | 8.71 | 9.34 | 8.29 | 9.18 |
| LaN/YbN | 10.73 | 10.78 | 8.97 | 9.89 | 10.80 | 10.49 | 10.82 | 10.09 | 10.58 | 12.06 | 10.02 | 10.65 |
| δCe | 0.99 | 1.01 | 1.00 | 1.01 | 1.00 | 0.99 | 1.01 | 1.01 | 1.00 | 1.00 | 1.01 | 1.05 |
| δEu | 0.78 | 0.74 | 0.83 | 0.80 | 0.76 | 0.78 | 0.92 | 0.93 | 0.94 | 0.96 | 0.67 | 0.79 |
| Li | 18.58 | 20.34 | 27.07 | 22.73 | 20.42 | 21.77 | 25.75 | 25.34 | 26.55 | 29.34 | 36.92 | 40.63 |
| Sc | 14.27 | 14.17 | 15.34 | 15.52 | 15.04 | 15.69 | 11.35 | 12.81 | 12.47 | 12.44 | 13.23 | 12.99 |
| V | 401.29 | 379.56 | 347.99 | 361.07 | 417.77 | 400.93 | 107.69 | 126.32 | 111.54 | 131.04 | 202.25 | 166.49 |
| Cr | 39.74 | 43.51 | 29.62 | 42.25 | 41.89 | 39.04 | 86.51 | 82.63 | 75.99 | 82.93 | 23.71 | 36.53 |
| Co | 24.30 | 24.63 | 30.59 | 27.44 | 25.92 | 27.25 | 12.06 | 12.83 | 13.02 | 13.17 | 16.46 | 15.25 |
| Ni | 21.15 | 22.40 | 21.70 | 21.98 | 22.28 | 23.29 | 34.82 | 39.55 | 36.45 | 40.00 | 23.84 | 24.71 |
| Ga | 23.20 | 23.44 | 21.69 | 22.00 | 24.98 | 23.42 | 18.47 | 19.86 | 18.39 | 19.02 | 20.92 | 20.71 |
| Rb | 8.83 | 8.46 | 31.45 | 13.85 | 5.57 | 3.97 | 26.70 | 30.04 | 48.56 | 30.16 | 45.00 | 59.66 |
| Sr | 1100 | 1200 | 893 | 995 | 1400 | 1300 | 566 | 586 | 554 | 5408 | 944 | 942 |
| Zr | 87.75 | 61.90 | 71.92 | 73.22 | 88.55 | 80.19 | 185.02 | 176.05 | 166.34 | 168.27 | 27.95 | 51.58 |
| Nb | 10.84 | 10.27 | 11.11 | 10.74 | 9.10 | 8.95 | 15.52 | 14.40 | 14.34 | 15.77 | 30.61 | 23.04 |
| Ba | 78.40 | 106.57 | 146.80 | 113.68 | 82.57 | 71.06 | 308.28 | 357.57 | 419.52 | 400.07 | 474.22 | 591.36 |
| Hf | 0.84 | 0.75 | 0.80 | 0.81 | 0.76 | 0.83 | 0.78 | 0.66 | 0.80 | 0.74 | 0.83 | 0.64 |
| Ta | 0.85 | 0.80 | 0.85 | 0.76 | 0.87 | 0.77 | 0.67 | 0.64 | 0.68 | 0.63 | 1.60 | 1.07 |
| Th | 17.66 | 7.07 | 6.77 | 5.97 | 5.97 | 5.51 | 7.27 | 6.82 | 7.21 | 7.56 | 7.74 | 6.39 |
| U | 2.11 | 2.20 | 2.24 | 2.13 | 2.14 | 2.08 | 2.44 | 2.33 | 2.16 | 2.40 | 3.19 | 2.29 |
| Analytical No. | Th (10−6) | U (10−6) | Th/U | Isotopic Ratio | Age (Ma) | Concordance | ||||||||||
|---|---|---|---|---|---|---|---|---|---|---|---|---|---|---|---|---|
| 206Pb/238U | 207Pb/235U | 207Pb/206Pb | 206Pb/238U | 207Pb/235U | 207Pb/206Pb | |||||||||||
| Ratio | 1σ | Ratio | 1σ | Ratio | 1σ | Age | 1σ | Age | 1σ | Age | 1σ | |||||
| G1631-1 Epidote biotite albite schist | ||||||||||||||||
| 1 | 334.7 | 354.2 | 0.94 | 0.0582 | 0.0011 | 0.4358 | 0.0097 | 0.0543 | 0.0008 | 365 | 7 | 367 | 7 | 387 | 32 | 99.5% |
| 2 | 551.7 | 501.4 | 1.10 | 0.0601 | 0.0009 | 0.4499 | 0.0080 | 0.0543 | 0.0006 | 376 | 5 | 377 | 6 | 389 | 19 | 99.7% |
| 3 | 484.3 | 436.0 | 1.11 | 0.0573 | 0.0008 | 0.4235 | 0.0067 | 0.0537 | 0.0007 | 359 | 5 | 359 | 5 | 367 | 28 | 100.0% |
| 4 | 1201.1 | 1055.1 | 1.14 | 0.0589 | 0.0010 | 0.4434 | 0.0073 | 0.0547 | 0.0005 | 369 | 6 | 373 | 5 | 398 | 16 | 98.9% |
| 5 | 640.3 | 554.4 | 1.15 | 0.0576 | 0.0011 | 0.4249 | 0.0077 | 0.0536 | 0.0007 | 361 | 7 | 360 | 6 | 354 | 30 | 99.7% |
| 6 | 1369.8 | 927.8 | 1.48 | 0.0582 | 0.0010 | 0.4373 | 0.0075 | 0.0545 | 0.0006 | 365 | 6 | 368 | 5 | 391 | 24 | 99.2% |
| 7 | 610.1 | 586.2 | 1.04 | 0.0591 | 0.0009 | 0.4304 | 0.0073 | 0.0529 | 0.0007 | 370 | 5 | 364 | 5 | 324 | 30 | 98.4% |
| 8 | 550.6 | 744.5 | 0.74 | 0.0585 | 0.0009 | 0.4291 | 0.0062 | 0.0533 | 0.0006 | 366 | 5 | 363 | 4 | 339 | 24 | 99.2% |
| 9 | 691.4 | 608.9 | 1.14 | 0.0578 | 0.0008 | 0.4215 | 0.0066 | 0.0528 | 0.0006 | 362 | 5 | 357 | 5 | 320 | 24 | 98.6% |
| 10 | 1105.5 | 1001.7 | 1.10 | 0.0575 | 0.0008 | 0.4288 | 0.0065 | 0.0541 | 0.0005 | 360 | 5 | 362 | 5 | 372 | 20 | 99.4% |
| 11 | 475.6 | 522.9 | 0.91 | 0.0570 | 0.0009 | 0.4269 | 0.0072 | 0.0543 | 0.0006 | 357 | 5 | 361 | 5 | 383 | 21 | 98.9% |
| 12 | 1172.7 | 909.3 | 1.29 | 0.0583 | 0.0008 | 0.4349 | 0.0063 | 0.0541 | 0.0005 | 365 | 5 | 367 | 5 | 376 | 20 | 99.5% |
| 13 | 168.8 | 288.6 | 0.59 | 0.0565 | 0.0008 | 0.4316 | 0.0069 | 0.0554 | 0.0007 | 354 | 5 | 364 | 5 | 432 | 5 | 97.2% |
| 14 | 230.1 | 272.5 | 0.84 | 0.0563 | 0.0009 | 0.4239 | 0.0084 | 0.0546 | 0.0008 | 353 | 5 | 359 | 6 | 395 | 36 | 98.3% |
| 15 | 473.3 | 483.8 | 0.98 | 0.0568 | 0.0008 | 0.4233 | 0.0070 | 0.0540 | 0.0006 | 356 | 5 | 358 | 5 | 372 | 24 | 99.4% |
| 16 | 1575.6 | 1139.1 | 1.38 | 0.0574 | 0.0009 | 0.4213 | 0.0071 | 0.0532 | 0.0005 | 360 | 6 | 357 | 5 | 345 | 22 | 99.2% |
| 17 | 480.5 | 534.4 | 0.90 | 0.0569 | 0.0014 | 0.4268 | 0.0189 | 0.0539 | 0.0013 | 357 | 8 | 361 | 14 | 365 | 49 | 98.9% |
| 18 | 656.6 | 584.9 | 1.12 | 0.0571 | 0.0008 | 0.4252 | 0.0068 | 0.0544 | 0.0007 | 358 | 5 | 360 | 5 | 387 | 25 | 99.4% |
| 19 | 1081.4 | 877.1 | 1.23 | 0.0574 | 0.0008 | 0.4238 | 0.0076 | 0.0535 | 0.0006 | 360 | 5 | 359 | 5 | 350 | 32 | 99.7% |
| 20 | 740.6 | 669.2 | 1.11 | 0.0558 | 0.0009 | 0.4160 | 0.0083 | 0.0539 | 0.0006 | 350 | 5 | 353 | 6 | 365 | 24 | 99.1% |
| 21 | 538.6 | 513.2 | 1.05 | 0.0579 | 0.0010 | 0.4330 | 0.0073 | 0.0543 | 0.0007 | 363 | 6 | 365 | 5 | 383 | 21 | 99.5% |
| 22 | 254.0 | 298.4 | 0.85 | 0.0567 | 0.0009 | 0.4244 | 0.0073 | 0.0544 | 0.0008 | 355 | 6 | 359 | 5 | 387 | 33 | 98.9% |
| 23 | 1794.4 | 1046.2 | 1.72 | 0.0590 | 0.0010 | 0.4334 | 0.0067 | 0.0533 | 0.0005 | 369 | 6 | 366 | 5 | 343 | 22 | 99.2% |
| 24 | 683.2 | 584.2 | 1.17 | 0.0572 | 0.0008 | 0.4321 | 0.0075 | 0.0547 | 0.0006 | 359 | 5 | 365 | 5 | 398 | 22 | 98.3% |
| 25 | 292.0 | 374.7 | 0.78 | 0.0574 | 0.0008 | 0.4210 | 0.0072 | 0.0532 | 0.0007 | 360 | 5 | 357 | 5 | 345 | 28 | 99.2% |
| 26 | 410.1 | 476.3 | 0.86 | 0.0572 | 0.0009 | 0.4236 | 0.0074 | 0.0538 | 0.0007 | 358 | 6 | 359 | 5 | 365 | 23 | 99.7% |
| 27 | 188.0 | 248.3 | 0.76 | 0.0579 | 0.0011 | 0.4308 | 0.0082 | 0.0541 | 0.0007 | 363 | 6 | 364 | 7 | 376 | 30 | 99.7% |
| 28 | 1332.8 | 971.5 | 1.37 | 0.0556 | 0.0007 | 0.4076 | 0.0059 | 0.0532 | 0.0006 | 349 | 5 | 347 | 4 | 345 | 19 | 99.4% |
| 29 | 334.7 | 354.2 | 0.94 | 0.0582 | 0.0011 | 0.4358 | 0.0097 | 0.0543 | 0.0008 | 365 | 7 | 367 | 7 | 387 | 32 | 99.5% |
| 30 | 551.7 | 501.4 | 1.10 | 0.0601 | 0.0009 | 0.4499 | 0.0080 | 0.0543 | 0.0006 | 376 | 5 | 377 | 6 | 389 | 19 | 99.7% |
| 31 | 484.3 | 436.0 | 1.11 | 0.0573 | 0.0008 | 0.4235 | 0.0067 | 0.0537 | 0.0007 | 359 | 5 | 359 | 5 | 367 | 28 | 100.0% |
| 32 | 1201.1 | 1055.1 | 1.14 | 0.0589 | 0.0010 | 0.4434 | 0.0073 | 0.0547 | 0.0005 | 369 | 6 | 373 | 5 | 398 | 16 | 98.9% |
| 33 | 640.3 | 554.4 | 1.15 | 0.0576 | 0.0011 | 0.4249 | 0.0077 | 0.0536 | 0.0007 | 361 | 7 | 360 | 6 | 354 | 30 | 99.7% |
| 34 | 1369.8 | 927.8 | 1.48 | 0.0582 | 0.0010 | 0.4373 | 0.0075 | 0.0545 | 0.0006 | 365 | 6 | 368 | 5 | 391 | 24 | 99.2% |
| 35 | 610.1 | 586.2 | 1.04 | 0.0591 | 0.0009 | 0.4304 | 0.0073 | 0.0529 | 0.0007 | 370 | 5 | 364 | 5 | 324 | 30 | 98.4% |
| G1631-4 Chlorite epidote biotite albite schist | ||||||||||||||||
| 1 | 414.8 | 339.8 | 1.22 | 0.0568 | 0.0010 | 0.4355 | 0.0077 | 0.0557 | 0.0008 | 356 | 6 | 367 | 5 | 443 | 32 | 97.0% |
| 2 | 268.7 | 273.3 | 0.98 | 0.0571 | 0.0007 | 0.4433 | 0.0102 | 0.0561 | 0.0010 | 358 | 5 | 373 | 7 | 458 | 41 | 95.9% |
| 3 | 211.8 | 198.9 | 1.06 | 0.0571 | 0.0008 | 0.4344 | 0.0087 | 0.0552 | 0.0009 | 358 | 5 | 366 | 6 | 420 | 35 | 97.8% |
| 4 | 285.3 | 300.2 | 0.95 | 0.0570 | 0.0007 | 0.4223 | 0.0078 | 0.0537 | 0.0008 | 357 | 4 | 358 | 6 | 367 | 33 | 99.7% |
| 5 | 161.0 | 296.5 | 0.54 | 0.0581 | 0.0009 | 0.4377 | 0.0092 | 0.0546 | 0.0008 | 364 | 6 | 369 | 7 | 395 | 33 | 98.6% |
| 6 | 52.5 | 100.1 | 0.52 | 0.0577 | 0.0009 | 0.4436 | 0.0124 | 0.0558 | 0.0014 | 362 | 6 | 373 | 9 | 456 | 54 | 97.0% |
| 7 | 91.9 | 110.7 | 0.83 | 0.0562 | 0.0009 | 0.4195 | 0.0109 | 0.0541 | 0.0012 | 353 | 5 | 356 | 8 | 376 | 53 | 99.2% |
| 8 | 321.8 | 326.1 | 0.99 | 0.0570 | 0.0011 | 0.4262 | 0.0100 | 0.0542 | 0.0008 | 358 | 7 | 361 | 7 | 389 | 33 | 99.2% |
| 9 | 133.0 | 179.9 | 0.74 | 0.0555 | 0.0008 | 0.4124 | 0.0084 | 0.0540 | 0.0010 | 348 | 5 | 351 | 6 | 372 | 39 | 99.1% |
| 10 | 138.7 | 284.9 | 0.49 | 0.0561 | 0.0010 | 0.4062 | 0.0084 | 0.0526 | 0.0009 | 352 | 6 | 346 | 6 | 322 | 37 | 98.3% |
| 11 | 209.1 | 210.6 | 0.99 | 0.0551 | 0.0008 | 0.4075 | 0.0072 | 0.0537 | 0.0008 | 346 | 5 | 347 | 5 | 367 | 35 | 99.7% |
| 12 | 459.3 | 411.0 | 1.12 | 0.0580 | 0.0016 | 0.4238 | 0.0116 | 0.0531 | 0.0008 | 363 | 10 | 359 | 8 | 345 | 32 | 98.9% |
| 13 | 189.4 | 209.4 | 0.90 | 0.0582 | 0.0010 | 0.4482 | 0.0129 | 0.0557 | 0.0013 | 365 | 6 | 376 | 9 | 439 | 50 | 97.0% |
| 14 | 348.6 | 343.1 | 1.02 | 0.0587 | 0.0011 | 0.4316 | 0.0087 | 0.0534 | 0.0008 | 368 | 7 | 364 | 6 | 346 | 27 | 98.9% |
| 15 | 159.3 | 192.3 | 0.83 | 0.0573 | 0.0010 | 0.4323 | 0.0103 | 0.0547 | 0.0010 | 359 | 6 | 365 | 7 | 398 | 36 | 98.3% |
| 16 | 102.2 | 129.5 | 0.79 | 0.0581 | 0.0014 | 0.4235 | 0.0146 | 0.0532 | 0.0016 | 364 | 8 | 359 | 10 | 345 | 67 | 98.6% |
| 17 | 151.1 | 170.2 | 0.89 | 0.0570 | 0.0009 | 0.4050 | 0.0103 | 0.0515 | 0.0011 | 357 | 5 | 345 | 8 | 261 | 50 | 96.6% |
| 18 | 128.2 | 179.6 | 0.71 | 0.0572 | 0.0009 | 0.4192 | 0.0087 | 0.0532 | 0.0010 | 359 | 5 | 356 | 6 | 339 | 47 | 99.2% |
| 19 | 212.1 | 226.9 | 0.93 | 0.0543 | 0.0009 | 0.4159 | 0.0104 | 0.0553 | 0.0010 | 341 | 6 | 353 | 7.5 | 433 | 39 | 96.5% |
| 20 | 163.6 | 203.1 | 0.81 | 0.0555 | 0.0009 | 0.4156 | 0.0084 | 0.0544 | 0.0009 | 348 | 6 | 353 | 6 | 391 | 39 | 98.6% |
| 21 | 380.3 | 405.1 | 0.94 | 0.0553 | 0.0009 | 0.4168 | 0.0085 | 0.0546 | 0.0007 | 347 | 6 | 354 | 6 | 395 | 34 | 98.0% |
| 22 | 145.1 | 179.4 | 0.81 | 0.0538 | 0.0007 | 0.4009 | 0.0087 | 0.0539 | 0.0010 | 338 | 4 | 342 | 6 | 367 | 43 | 98.8% |
| 23 | 420.8 | 585.3 | 0.72 | 0.0546 | 0.0008 | 0.3950 | 0.0067 | 0.0523 | 0.0006 | 343 | 5 | 338 | 5 | 302 | 24 | 98.5% |
| 24 | 110.9 | 133.7 | 0.83 | 0.0570 | 0.0008 | 0.4283 | 0.0118 | 0.0546 | 0.0015 | 357 | 5 | 362 | 8 | 395 | 61 | 98.6% |
| 25 | 70.2 | 127.1 | 0.55 | 0.0575 | 0.0007 | 0.4186 | 0.0105 | 0.0526 | 0.0011 | 360 | 5 | 355 | 8 | 322 | 51 | 98.6% |
| 26 | 141.9 | 153.0 | 0.93 | 0.0579 | 0.0009 | 0.4224 | 0.0100 | 0.0529 | 0.0011 | 363 | 5 | 358 | 7 | 324 | 48 | 98.6% |
| 27 | 122.8 | 179.0 | 0.69 | 0.0572 | 0.0008 | 0.4239 | 0.0085 | 0.0537 | 0.0010 | 359 | 5 | 359 | 6 | 361 | 39 | 100.0% |
| 28 | 245.0 | 234.4 | 1.05 | 0.0584 | 0.0012 | 0.4403 | 0.0145 | 0.0547 | 0.0015 | 366 | 7 | 371 | 10 | 467 | 58 | 98.6% |
| 29 | 249.3 | 250.8 | 0.99 | 0.0569 | 0.0010 | 0.4200 | 0.0093 | 0.0536 | 0.0010 | 357 | 6 | 356 | 7 | 354 | 47 | 99.7% |
| 30 | 369.7 | 389.9 | 0.95 | 0.0563 | 0.0009 | 0.4113 | 0.0065 | 0.0530 | 0.0006 | 353 | 6 | 350 | 5 | 328 | 32 | 99.1% |
| 31 | 337.6 | 274.2 | 1.23 | 0.0552 | 0.0008 | 0.3943 | 0.0079 | 0.0516 | 0.0007 | 346 | 5 | 338 | 6 | 265 | 32 | 97.7% |
| 32 | 414.8 | 339.8 | 1.22 | 0.0568 | 0.0010 | 0.4355 | 0.0077 | 0.0557 | 0.0008 | 356 | 6 | 367 | 5 | 443 | 32 | 97.0% |
| 33 | 268.7 | 273.3 | 0.98 | 0.0571 | 0.0007 | 0.4433 | 0.0102 | 0.0561 | 0.0010 | 358 | 5 | 373 | 7 | 458 | 41 | 95.9% |
| 34 | 211.8 | 198.9 | 1.06 | 0.0571 | 0.0008 | 0.4344 | 0.0087 | 0.0552 | 0.0009 | 358 | 5 | 366 | 6 | 420 | 35 | 97.8% |
| 35 | 285.3 | 300.2 | 0.95 | 0.0570 | 0.0007 | 0.4223 | 0.0078 | 0.0537 | 0.0008 | 357 | 4 | 358 | 7 | 367 | 33 | 99.7% |
| Analytical Spot | t (Ma) | 176Yb/ 177Hf | 176Lu/ 177Hf | 176Hf/ 177Hf | IHf | εHf(0) | εHf(t) | TDM1(Hf) (Ma) | TDM2(Hf) (Ma) | fLu/Hf |
|---|---|---|---|---|---|---|---|---|---|---|
| G1631-1 Epidote-biotite-albite schist | ||||||||||
| 1 | 365 | 0.065324 | 0.001772 | 0.282827 | 0.282815 | 2.0 | 9.6 | 615 | 756 | −0.95 |
| 2 | 359 | 0.069656 | 0.001920 | 0.282866 | 0.282853 | 3.3 | 10.8 | 560 | 672 | −0.94 |
| 3 | 361 | 0.082890 | 0.002175 | 0.282798 | 0.282783 | 0.9 | 8.3 | 665 | 832 | −0.93 |
| 4 | 362 | 0.053714 | 0.001471 | 0.282834 | 0.282824 | 2.2 | 9.8 | 600 | 737 | −0.96 |
| 5 | 360 | 0.112169 | 0.002980 | 0.282772 | 0.282752 | 0.0 | 7.2 | 718 | 902 | −0.91 |
| 6 | 357 | 0.056043 | 0.001614 | 0.282853 | 0.282842 | 2.9 | 10.3 | 576 | 701 | −0.95 |
| 7 | 360 | 0.059902 | 0.001785 | 0.282776 | 0.282764 | 0.1 | 7.6 | 690 | 876 | −0.95 |
| 8 | 357 | 0.092929 | 0.002522 | 0.282821 | 0.282804 | 1.7 | 9.0 | 637 | 787 | −0.92 |
| 9 | 358 | 0.056231 | 0.001558 | 0.282795 | 0.282785 | 0.8 | 8.3 | 657 | 829 | −0.95 |
| 10 | 360 | 0.088918 | 0.002387 | 0.282836 | 0.28282 | 2.3 | 9.6 | 612 | 748 | −0.93 |
| 11 | 363 | 0.093148 | 0.002687 | 0.282749 | 0.282731 | −0.8 | 6.5 | 746 | 948 | −0.92 |
| 12 | 359 | 0.069427 | 0.001865 | 0.282872 | 0.282859 | 3.5 | 11.0 | 552 | 661 | −0.94 |
| 13 | 360 | 0.023950 | 0.000701 | 0.282780 | 0.282775 | 0.3 | 8.0 | 664 | 850 | −0.98 |
| 14 | 358 | 0.064122 | 0.002020 | 0.282823 | 0.282809 | 1.8 | 9.2 | 625 | 773 | −0.94 |
| 15 | 363 | 0.047436 | 0.001443 | 0.282801 | 0.282791 | 1.0 | 8.7 | 647 | 812 | −0.96 |
| G1631-4 Biotite-albite schist | ||||||||||
| 1 | 356 | 0.050095 | 0.001393 | 0.282794 | 0.282785 | 0.8 | 8.3 | 655 | 829 | −0.96 |
| 2 | 358 | 0.034306 | 0.000991 | 0.282851 | 0.282844 | 2.8 | 10.4 | 569 | 695 | −0.97 |
| 3 | 358 | 0.033785 | 0.000965 | 0.282789 | 0.282782 | 0.6 | 8.2 | 656 | 835 | −0.97 |
| 4 | 357 | 0.071549 | 0.002065 | 0.282846 | 0.282832 | 2.6 | 10.0 | 593 | 723 | −0.94 |
| 5 | 364 | 0.031583 | 0.000947 | 0.282801 | 0.282794 | 1.0 | 8.8 | 639 | 804 | −0.97 |
| 6 | 353 | 0.050729 | 0.001448 | 0.282840 | 0.28283 | 2.4 | 9.8 | 592 | 731 | −0.96 |
| 7 | 358 | 0.105460 | 0.003007 | 0.282851 | 0.282831 | 2.8 | 10.0 | 600 | 724 | −0.91 |
| 8 | 352 | 0.050404 | 0.001402 | 0.282870 | 0.282861 | 3.5 | 10.9 | 547 | 660 | −0.96 |
| 9 | 359 | 0.030825 | 0.000972 | 0.282847 | 0.28284 | 2.7 | 10.3 | 574 | 703 | −0.97 |
| 10 | 357 | 0.059140 | 0.001785 | 0.282820 | 0.282808 | 1.7 | 9.1 | 625 | 776 | −0.95 |
| 11 | 359 | 0.059194 | 0.001850 | 0.282783 | 0.282771 | 0.4 | 7.9 | 679 | 859 | −0.94 |
| 12 | 357 | 0.074471 | 0.002239 | 0.282795 | 0.28278 | 0.8 | 8.2 | 669 | 839 | −0.93 |
| 13 | 359 | 0.062644 | 0.001924 | 0.282823 | 0.28281 | 1.8 | 9.2 | 624 | 772 | −0.94 |
| 14 | 357 | 0.056902 | 0.001824 | 0.282832 | 0.28282 | 2.1 | 9.6 | 609 | 751 | −0.95 |
| 15 | 353 | 0.081466 | 0.002392 | 0.282814 | 0.282798 | 1.5 | 8.7 | 645 | 802 | −0.93 |
Disclaimer/Publisher’s Note: The statements, opinions and data contained in all publications are solely those of the individual author(s) and contributor(s) and not of MDPI and/or the editor(s). MDPI and/or the editor(s) disclaim responsibility for any injury to people or property resulting from any ideas, methods, instructions or products referred to in the content. |
© 2023 by the authors. Licensee MDPI, Basel, Switzerland. This article is an open access article distributed under the terms and conditions of the Creative Commons Attribution (CC BY) license (https://creativecommons.org/licenses/by/4.0/).
Share and Cite
Na, F.; Song, W.; Liu, Y.; Fu, J.; Wang, Y.; Sun, W. Geochemistry, Chronology and Tectonic Implications of the Hadayang Schists in the Northern Great Xing’an Range, Northeast China. Minerals 2023, 13, 1379. https://doi.org/10.3390/min13111379
Na F, Song W, Liu Y, Fu J, Wang Y, Sun W. Geochemistry, Chronology and Tectonic Implications of the Hadayang Schists in the Northern Great Xing’an Range, Northeast China. Minerals. 2023; 13(11):1379. https://doi.org/10.3390/min13111379
Chicago/Turabian StyleNa, Fuchao, Weimin Song, Yingcai Liu, Junyu Fu, Yan Wang, and Wei Sun. 2023. "Geochemistry, Chronology and Tectonic Implications of the Hadayang Schists in the Northern Great Xing’an Range, Northeast China" Minerals 13, no. 11: 1379. https://doi.org/10.3390/min13111379
APA StyleNa, F., Song, W., Liu, Y., Fu, J., Wang, Y., & Sun, W. (2023). Geochemistry, Chronology and Tectonic Implications of the Hadayang Schists in the Northern Great Xing’an Range, Northeast China. Minerals, 13(11), 1379. https://doi.org/10.3390/min13111379

