Abstract
Shale oil and gas are currently the major fields of unconventional hydrocarbon exploration and development. The Fengcheng Formation (FF) shale in the Mahu Sag of the Junggar Basin is an alkaline lacustrine organic-rich shale with an extremely prospective shale oil potential. However, its strong heterogeneity and complex pore structure greatly influence the development of shale oil. It is significant to investigate the pore and geochemical characteristics of shale reservoirs for shale oil extraction. In this study, the pore structure and geochemical characteristics of FF have been investigated using core analysis, Rock-Eval pyrolysis, X-ray diffraction (XRD), field-emission scanning electron microscopy (FE-SEM), mercury injection capillary pressure (MICP), low-temperature gas adsorption (LTGA), and X-ray computed tomography (X-ray CT). The results show that the shale of FF has moderate organic matter abundance, and the kerogen is mainly of Type II, which is now at the peak of oil generation. Shale minerals are mainly composed of carbonate (dolomite and calcite) and siliceous (quartz and feldspar) minerals, with extremely low clay mineral content. The pore types are mainly intergranular pores (inter-P), intragranular pores (intra-P), and microfractures associated with mineral particles. The pore space is contributed predominantly by micropores of 0.5–1.2 nm and mesopores of 10–50 nm, whereas macropores are underdeveloped. The pores are mostly ink bottle- and slit-shaped, and the pore connectivity is relatively poor. The pore development of shale in the FF is influenced by organic matter abundance, thermal maturity, mineral composition, etc. Organic matter content (TOC), thermal maturity (Ro), and carbonate minerals have a positive effect on pore development, and the pore volume (PV) increases with TOC, Ro, and carbonate minerals. While clay minerals show a negative effect, the PV decreases with clay minerals. Additionally, the influence of the clay mineral content on the pore morphology of shale should not be ignored. This study investigates the pore structure and geochemical characteristics of the alkaline lacustrine shale of FF in Mahu Sag, which is significant to deepen the understanding of alkaline lacustrine shale and to improve the production of shale oil.
1. Introduction
In the 21st century, as the world’s demand for hydrocarbons is increasing and conventional oil and gas resources are becoming depleted, unconventional resources are gradually being noticed [1,2]. As a significant proportion of unconventional hydrocarbon resources, shale oil has attracted attention around the world due to its great resource potential [3,4]. The U.S. first achieved commercial production of shale oil and gas and successfully changed from an importing country to an exporting country, which changed the world’s energy pattern in one fell swoop [5]. Countries have also taken to shale oil and gas research and exploration, such as Russia, Australia, and Argentina [6]. Organic-rich shale formations are widely developed in China, with a significant potential for shale oil resources [7]; preliminary estimates of shale oil resources exceed 280 × 108 t. Currently, China has been carrying out key research and industrial tests for shale oil within the Yanchang Formation of the Ordos Basin, the Qingshankou Formation of the Gulong Sag, the Luchaogou Formation of the Jimusar Sag, and the Shahejie Formation of the Dongying Sag [8,9,10,11]. However, compared with the North American marine shale, the terrestrial shale depositional environment is more complex, and the reservoir heterogeneity is much stronger. As a result, shale oil exploration and development face more difficult issues [12].
The pore structure of shale has a significant impact on the occurrence state, storage performance, and seepage capacity of shale oil and gas [13,14,15]. Therefore, the pore structure has always been the focus of shale research [16,17]. Shales have complex micro- and nanopore networks under geological conditions, with pore size distributions (PSD) varying from only a few nanometers to several micrometers [18]. Previous studies have carried out extensive research on the pore structure of shale by using various experimental techniques including field-emission scanning electron microscopy (FE-SEM), mercury injection capillary pressure (MICP), low-temperature gas adsorption (LTGA), X-ray computed tomography (X-ray CT), and nuclear magnetic resonance (NMR) [19,20,21]. These methods are derived from different theories and, therefore, have different applicability. MICP, LTGA, and NMR allow quantitative characteristics of pore parameters such as porosity, pore volume (PV), specific surface area (SSA), and pore size distribution (PSD); however, they cannot identify the pore categories efficiently. CT can display the three-dimensional (3D) distribution of pores and perform pore connectivity analysis, but its interpretations depend on resolution and manual operations that require verification with other methods [17]. Therefore, it is necessary to combine qualitative and quantitative multiscale methods to study the pore structure of shales.
The Mahu Sag is one of the major hydrocarbon-rich sags in the Junggar Basin, which has been discovered as the largest conglomerate oil field in the world, namely theMahu Oil Field, whose reserve capacity scales up to billion tonnes [22,23,24]. FF is an important source of rock formation in Mahu Sag with characteristics of wide distribution, thick thickness, and high hydrocarbon yield, which not only provides a vast amount of hydrocarbon sources for the oil and gas reservoirs of overlying stratigraphy during geological history but also retains massive amounts of hydrocarbons inside the source rock forming shale oil resources [25]. PetroChina Xinjiang Oilfield Company has successively deployed FC1, AK1, BQ1, MY1, and MY2 wells to explore the potential of shale oil of FF in Mahu Sag. The MY1 well obtained a high-yield industrial oil flow in FF and cumulatively produced 5678 m3 of oil in 2020, with an average daily productivity of 22.5 m3 and continuous production for 254 days [26]. The success of the MY1 well begins the new chapter of shale oil exploitation in FF. FF is also the oldest alkali lacustrine source rock yet discovered in the world, and it has characteristics such as a multi-source mix, complex lithology, pore-fracture dual-porosity media, and scattered sweet spot segments, which makes it highly valuable for both research and application [27]. Currently, the shale oil exploration of FF is still in the exploration stage, and its reservoir quality, oil-bearing, and resource potential still need further research. In this paper, we investigate and analyze the shale pore structure, physical properties, and influencing factors of FF using multi-scale qualitative and quantitative methods, which attempt to clarify the control of shale pore structure on the potential of shale oil and eventually provide a guide for the exploration and development of shale oil.
2. Geological Setting
The Junggar Basin is a typical superposed oil-bearing in northwestern China (Figure 1a) [28], with an area of about 13.6 × 104 km2. The basin contains multiple hydrocarbon-generating sags, oil-generating formations, and source-reservoir-caprock assemblages [29,30]. The conditions for hydrocarbon accumulation are excellent. The Junggar Basin was formed in the Late Paleozoic and has experienced four stages of tectonic evolution since its origin, which are as follows, respectively: Rifting Basin, Collisional Foreland Basin, Intracontinental Depression Basin, and Intracontinental Downthrust Foreland Basin [31,32]. According to the structural characteristics of the basin, researchers have divided the Junggar Basin into six secondary tectonic units (Figure 1b), which are the Wulungu Depression, Luliang Uplift, Eastern Uplift, Northern Tianshan Overthrust Belt, Western Uplift, and Central Depression [33].
Figure 1.
Geological information map of the study area. (a) The geographical location of Junggar Basin; (b) tectonic units of the Junggar Basin; (c) tectonic unit and well distribution in the Mahu Sag (modified from [33]); (d) stratigraphic section in the Mahu Sag (modified from [6]).
The Mahu Sag is located in the northwest of the Central Depression, which is a secondary negative tectonic unit of the Central Depression with a total area of approximately 5000 km2. The Mahu Sag is distributed along NE-SW lines, its appearance resembles a rugby ball, and it is surrounded by structural units such as the Wu-Xia Fault Zone, Ke-Bai Fault Zone, Zhongguai Uplift, Dabassong Uplift, Xiayan Uplift, and Yingxi Sag (Figure 1c). The sedimentary strata of the Mahu Sag are fully developed from Carboniferous to Quaternary, with large thickness and abundant hydrocarbon resources. Vertically, the Mahu Sag developed four major source rock formations, among which the Permian FF shale is the most important source rock [34], whose formation thickness ranges from 350 to 1120 m. The main sedimentary facies of FF are the deep- and semi-deep lacustrine facies, and the lithology is dominated by mud and shale. However, the lithology changes rapidly in different regions and the mineral composition is complex. From bottom to top, the FF is subdivided into Fengcheng Formation First Member (P1f1), Fengcheng Formation Second Member (P1f2), and Fengcheng Formation Third Member (P1f3) (Figure 1d). Since high-yielding shale oil was obtained from the MY1 well in 2018 [26], the FF became an important formation for shale oil exploration and research.
3. Samples and Methods
In this study, we collected 69 core samples of alkaline lacustrine shale from the FF of the well MY1 in Mahu Sag, with burial depths ranging from 4550 m to 4860 m. First, rock pyrolysis was performed on the samples to determine the total organic carbon (TOC) and vitrinite reflectance (Ro). Then, the geochemical characteristics and pore types of the samples were determined by X-ray diffraction (XRD), field-emission scanning electron microscopy (FE-SEM), and energy spectral analysis (ESI). Finally, the shale pore structures were analyzed by low-temperature gas adsorption (LTGA), mercury injection capillary pressure (MICP), and X-ray computed tomography (X-ray CT).
3.1. Geochemical and Mineral Analysis
The total organic carbon (TOC) content of the sample was measured using the LECO CS-600 carbon analyze (Manufactured by Leco, St. Joseph, MI, USA). Before the experiment, we weighed a certain weight of the sample (about 1 g) and ground it to a diameter lower than 0.2 mm. Then, we used a diluted hydrochloric acid solution to wash the sample to remove inorganic carbon from the sample. After drying, the mass was weighed again and burned using a carbon analyzer to determine the TOC content. Rock pyrolysis was performed in Rock-Eval II. During the test, the powder of the sample was placed in a rock pyrolizer and heated to 300 °C at a 25 °C/min heating rate. Free hydrocarbon (S1) was determined by measurement, the temperature was raised to 600 °C, and pyrolysis hydrocarbon (S2) was determined and corresponded to the highest temperature Tmax. The mineral composition was determined using a D8 X-ray diffractometer made by Bruker (Karlsruhe, Germany). Before the experiment, the rock samples were crushed to 200 mesh (particle size less than 75 μm). Then, the powder of the samples was dried at 70 °C for 24 h. After that, the samples were put into the diffractometer for continuous scanning at a rate of 4°/min within the range of 3–85° (2θ). Ultimately, different mineral contents were estimated according to the areas of the diffraction peaks in the samples and corrected by Lorentz’s method [35].
3.2. Field-Emission Scanning Electron Microscopy (FE-SEM)
FE-SEM was used to observe shale pore characteristics in this study. The samples were observed using FEI Quanta 200 F (Manufactured by FEI, Eindhoven, The Netherlands) at a magnification of 25–200 k. The pores and minerals can be observed from a few nanometers to tens of micrometers under a microscope. Before observation and imaging, the samples were vertically sliced and polished with an argon ion beam. Then, geological information such as sample pore type, location, size, and morphology can be obtained via FE-SEM observation.
3.3. Low-Temperature Gas Adsorption (LTGA)
LTGA was performed by using the ASAP2460 Physical Adsorption Analyzer manufactured by Micromeritics (Norcross, GA, USA). First, the samples were dried and degassed by vacuuming at 110 °C for 24 h and then put into the analyzer for measurement. Low-temperature N2 adsorption (LTN2A) was performed at −195.8 °C, and relative pressures ranged from 0.01 to 1.0. The adsorption and desorption curves were obtained based on volumetric measurements, and then PV, SSA, and PSD were calculated according to the Brunauer–Emmett–Teller (BET) theory and Barrett–Joyner–Halenda (BJH) model [36,37]. Low-temperature CO2 adsorption (LTCO2A) was carried out at 0 °C with relative pressures between 0.0001 and 0.035, and then PV and SSA were calculated using density functional theory (DFT) [38]. Based on the pore size classification of IUPAC [39], shale pores were divided into macropores (>50 nm), mesopores (2–50 nm), and micropores (<2 nm). LTN2A is primarily used to quantitatively characterize mesopores and macropores in shale reservoirs, whereas LTCO2A is widely used for the quantitative characterization of micropores.
3.4. Mercury Injection Capillary Pressure (MICP)
High-pressure mercury injection was performed by using the AutoPore Ⅳ 9505 mercury injection analyzer manufactured by Micromeritics (Norcross, GA, USA). First, the sample was dried to a constant weight at 105 °C and then placed in a mercury injection analyzer for measurement. The experiment consisted of two processes of mercury injection–withdrawal, with a maximum pressure of 200 MPa. The instrument measures pore sizes ranging from 3 nm to 1000 μm, and the volume accuracy of mercury injection–withdrawal was less than 0.1 μL. The measurement was carried out according to the industrial standards of petroleum and natural gas of the People’s Republic of China (PRC): SY/T5336-2006 “Methods of routine analysis of rock cores” and SY/T5346-2005 “Determination of pressure curves of capillary of rocks”. MICP provides an effective characterization method for macropores and porosity in reservoirs [40,41,42]. Full-scale pore size distribution of shale can be characterized by combining it with LTGA [43,44,45].
3.5. X-ray Computed Tomography (CT) Scanning
The 3D distribution of shale pores was scanned and analyzed using a MicroXCT-200 CT scanner manufactured by XRadia company (Pleasanton, CA, USA). The experimental conditions were 20 °C, a working voltage of 120 kV, an exposure time of 120 s per image, and an instrumental resolution of 2.3 μm. When the experiment was performed, the core sample was placed in the CT scanner, and the instrument emitted conical X-rays to penetrate through the sample and was automatically captured and stored by the image capture software integrated with the scanning equipment. The scan time was approximately 54 h, and the number of images captured was 1024 for each sample. The measured data were analyzed and processed using Avizo software (Version 2020). CT scanning can non-destructively detect 3D structures internally without destroying the samples, acquiring information on pore types, sizes, geometries, etc., within rocks, which provides powerful evidence for reservoir connectivity analyses. Pore connectivity is a critical parameter influencing permeability of shale [46,47], and it plays an important role in guiding the evaluation and prediction of shale oil and gas production capacity.
4. Results
4.1. Organic Geochemistry
4.1.1. Organic Matter Abundance
Organic matter (OM) is the material base for oil and gas generation, as well as a major factor affecting the hydrocarbon generation potential (PG) of source rocks. According to geochemical analysis results of shale cores from the FF in Mahu Sag, the TOC content ranges from 0.13 to 2.85%, with an average value of 0.70%; S1 content varies from 0.05 to 4.7 mg/g, with an average value of 0.62 mg/g; S2 content was between 0.06 and 14.57 mg/g, with an average value of 2.19 mg/g; and PG(S1 + S2) ranges from 0.11 to 14.9 mg/g, with an average value of 3.23 mg/g. This was compared with the evaluation criteria of the source rocks (Table 1) [48]. The shale is an overall moderate-good source rock of FF in Mahu Sag, which has a larger PG (Figure 2).
Table 1.
Table of evaluation criteria for source rocks [48].
Figure 2.
Pyrolysis characteristics of source rocks. (a) Scatter plots of TOC vs. PG; (b) scatter plots of TOC vs. S1.
4.1.2. Organic Matter Type
Different types of organic matter have different PGs and generate different products. Therefore, it is necessary to investigate and evaluate the organic matter types in the source rocks. According to the pyrolysis results of the samples, shale organic types were divided by using the HI−Tmax classification map and TOC−S2 cross-plot [49,50,51,52,53]. The result is illustrated in Figure 3, where the HI varies between 35.29 and 607.08 mg HC/g TOC in shales of FF, mostly ranging from 150 to 500 mg HC/g TOC, and the Tmax is predominantly distributed from 405 to 451 °C (Figure 3a). It shows that the organic matter type is dominated by Type II kerogen, with a portion of Type I and extremely rare Type III kerogen. The plots of TOC vs. S2 also show that almost all samples are distributed within the range of Type II1 and Type II2 (Figure 3b).
Figure 3.
Diagram shows the division of organic matter types. (a) Plot of HI vs. Tmax; (b) Diagram of dividing organic matter types by TOC−S2.
4.1.3. Thermal Maturity
Vitrinite reflectance (VR) and Tmax are the most frequently used indicators to determine thermal maturity [54,55,56]. In this study, the VR and Tmax were measured for shale samples. The results show that the source rock of the FF is in the mature–overmature stage (Figure 4). Ro ranges between 0.89% and 1.42%, concentrating on the 1.0%–1.5% range; Tmax varies in the range of 405–451 °C, concentrating at the 420–450 °C range. Compared with previous studies [33,57,58], the Fengcheng Formation shale entered the peak of generating oil and generated a large amount of hydrocarbons.
Figure 4.
Histogram of the shale maturity distribution. (a) Histogram of Ro frequency distribution; (b) histogram of Tmax frequency distribution.
4.2. Mineral Composition
According to microscopic thin-section observations and XRD results, the shale of FF consists mostly of quartz, k-feldspar, plagioclase, calcite, dolomite, pyrite, siderite, anhydrite, and clay minerals (Figure 5). The different mineral contents vary widely; the quartz content varies from 13% to 91%, with an average value of 37.13%; the feldspar content ranges from 4% to 53%, with an average value of 26.93%; the dolomite content is between 3% and 45%, with an average value of 23.10%; the calcite content is in the range of 2% to 17%, with an average value of 9.98%; and the clay and other minerals content are relatively low, with an average value of 3.57% and 2.85%, respectively. Overall, the shale mineral composition mainly consists of siliceous minerals (quartz + feldspar) and carbonate minerals (dolomite + calcite), whose contents of the two categories of minerals exceed 90% of the total mineral content (Figure 6b). Vertically, mineral compositions present noticeable variations, showing that siliceous mineral content first increases and then decreases with increasing burial depth, whereas carbonatite mineral content first decreases and then increases, and there is no obvious trend in clay minerals (Figure 6a).
Figure 5.
Microscopic photographs of shales from FF in the MY1 well. (a) Calcite mineral in alizarin red under polarized-light microscope, 4747.21 m; (b) rhombohedral dolomite mineral particles under polarized-light microscope, 4739.21 m; (c) feldspar mineral grains under orthogonal light, 4775.76 m; (d) quartz mineral grains under orthogonal light, 4777.83 m; I black clay mineral under polarized-light microscope, 4768.36 m; (f) shortite crystals under orthogonal light, 4775.76 m.
Figure 6.
Mineral compositional characteristics of shale in the FF. (a) Mineral content cumulative percentage map; (b) triangle graph of mineral composition.
4.3. Pore Types
Shale pores are one of the key parameters for evaluating the potential of shale oil resources [3]. Shale reservoirs commonly develop various irregular pores at the micro- and nanoscale. According to FE-SEM observations of the shales in the FF, there are four main types of pores in the study area: intragranular pores (Intra-P), intergranular pores (Inter-P), organic matter pores (OM pores), and fractures (Figure 7).
Figure 7.
SEM image of shale pores in the FF of MY1 well. (a) Intra-P formed via dissolution in feldspar mineral particles, 4693.05 m; (b) Intra-P formed via dissolution within calcite mineral particles, 4587.92 m; (c) Intra-P formed via dissolution within dolomite mineral particles, 4662.48 m; (d) Inter-P among dolomite crystals, 4649.44 I(e) Inter-P formed via dissolution in feldspar mineral particles, 4605.00 m; (f) Inter-P among quartz mineral particles, 4665.68; (g) interlayer pores of flaky chlorite, 4620.88; (h) cleavage seam of the plate-like albite feldspar, 4693.05 m; (i) OM pores, 4712.55 m; (j) microfractures, 4726.30 m; (k) microfractures and quartz secondary outgrowth, 4606.40 m; (l) microfractures and zeolite cement dissolution pores, 4788.38 m.
4.3.1. Intra-P
Intra-P is a kind of pore developed within mineral grains, which is typically formed via diagenetic modifications, such as mineral dissolution and metasomatism, with relatively small pore sizes. It usually appears as (1) dispersed pores formed via the internal dissolution of mineral particles (Figure 7a–c); (2) bedded seams within flaky minerals like clays (e.g., chlorite) (Figure 7g); (3) cleavage seams formed during the mineral crystallization process (Figure 7h).
4.3.2. Inter-P
Inter-P describes the pores that exist among different mineral particles [59,60], which usually develop after contact with mineral particles; the pore shapes are mostly triangular and slot-type. Inter-P was the most common type of pore in shale reservoirs, with pore sizes ranging from a few nanometers to multiple micrometers and relatively good connectivity of the pores. They are the residual pore spaces after compaction and cementation of stiff minerals or rock particles, and the pore spaces gradually decrease with increasing burial depth. Inter-P mainly consists of two types of residual pores (Figure 7d,f) and dissolution pores (Figure 7e) among the mineral grains in the shale reservoirs of the FF.
4.3.3. OM Pores
OM pores are a pore type that develops within the organic matter, which forms only when the VR is more than 0.6% in the OM [61]. The formation of OM pores is influenced by the type, abundance, and thermal maturity of the OM [62]. OM pores present irregular, bubbly, and elliptical shapes under FE-SEM, with pore size distributions ranging from tens to hundreds of nanometers (Figure 7i). The contribution of OM pores to porosity is frequently neglected. However, OM pores play a very important storage and seepage role in some shale reservoirs with high TOC and Ro. Curtis et al. (2010) identified as high as 50% porosity in organic matter particles [63].
4.3.4. Fractures
Fracture is also an important pore type of shale, which can remarkably enhance the storage and seepage performance in shale reservoirs [64]. The Mahu Sag underwent intensive tectonic activity during the Permian [65]. The shales of FF produced a series of natural fractures associated with tectonic movements [66], which constituted the fracture network of shale oil migration and accumulation in the Mahu Sag. There are three types of fractures that mainly developed in the study area, which are tectonic, bedding, and microfractures. Tectonic fractures are the cracks formed by rocks broken due to tectonic stress, and they usually appear as high-angle fractures. The crack plane is relatively straight and often cuts through the bedding fractures. In the core, the density of tectonic fractures is approximately 5 fractures/10 cm, and the width is less than 2 mm (Figure 8a–d). Bedding fractures mainly develop in bedded shale strata and generally appear to be low-angle horizontal fractures. The fractures extend further horizontally, and their width is less than 1 mm (Figure 8e–h). Microfractures are the cracks formed by rock volume contraction during the diagenesis process. The width of the fracture is relatively small, typically less than 2 μm. The microfractures have good connectivity with variable fracture widths, and sometimes they are filled with minerals under FE-SEM (Figure 7j–l).
Figure 8.
Fracture characteristics of shale developed in the FF of MY1 well. (a) High-angle fractures on the cross-section of the core, 4620.80 m; (b) sketch of (a); (c) X-shear fractures on the cross-section of the core, 4610.30 m; (d) sketch of (c); (e) bedding fractures and high-angle fractures on the vertical section of the core, 4802.70 m; (f) sketch of (d); (g) bedding fractures and high-angle fractures on the full-diameter core, 4679.30 m; (h) sketch of (g).
4.4. Pore Structure Characteristics
4.4.1. MICP
The MICP curves and PSD characteristics of the shale in the FF are shown in Figure 9. According to the graphs, the cumulative mercury injection of all samples was less than 9.5 × 10−3 mL/g, the capillary pressure curves tended to lean towards the upper right, and the cumulative mercury injection curves appeared to be first flat and then rapidly rose with increasing pressure (Figure 9a). The cumulative mercury injection curve was smooth at pressures less than 8.0 MPa, which indicates that the macropore distribution in the shale is relatively concentrated and pore connectivity is poor. When pressure exceeded 8.0 MPa, the cumulative mercury injection curve rose rapidly, and mercury invaded smaller pores, which indicates that smaller pores are more developed in the shale. Figure 9b illustrates the pore size distribution of the samples; PV was mainly contributed by the mesopores ranging from 2 to 50 nm, and macropores developed only in specific samples (e.g., Sample 4). The pore sizes were generally less than 100 nm for all the samples. According to the capillary pressure curves, the cumulative mercury injection and withdrawal volumes differed strongly; among them, sample 4 particularly appeared to be obvious. The efficiency of mercury withdrawal was calculated to range from 12.55% to 87.54%, with an average value of 70.71%, which indicates that the injected mercury could not fully withdraw from the pore systems. This indicates that a considerable amount of ink-bottle pores exist in the shale. The porosity of the samples measured by MICP ranged from 0.97% to 2.70%, with an average value of 1.96% (Table 2).
Figure 9.
Characteristics of MICP curves and pore size distribution in the FF. (a) MICP curves; (b) pore size distribution.
Table 2.
Pore structure parameters of shale in FF.
4.4.2. Low-Temperature CO2 Adsorption (LTCO2A)
The CO2 isothermal adsorption curves belong to the typical Type I curve in the FF, with adsorption volumes ranging from 0.38 to 1.05 cm3/g (STP) (average value of 0.64 cm3/g) (Figure 10a). Moreover, the CO2 adsorption volume gradually decreased with increasing TOC content. The pore volume (PV) and specific surface area (SSA) of the shale samples were calculated according to the NLDFT method (Table 2). The PV ranged from 0.0009 to 0.4594 cm3/g, with an average value of 0.2028 cm3/g, and the SSA varied in the range of 0.11–882.71 m2/g, with an average value of 360.80 m2/g. Figure 10b illustrates the pore size distribution of the sample micropores, and the pores were mainly distributed between 0.6 and 0.9 nm. Among all the samples, Sample 4 with the lowest TOC content had the largest PV and SSA, and Sample 1 with the highest TOC content had the lowest PV and SSA. Additionally, samples with a higher clay mineral content had lower PV than the others in general.
Figure 10.
Characteristics of LTCO2A curves and pore size distribution in the FF. (a) LTCO2A curves; (b) pore size distribution.
4.4.3. Low-Temperature Nitrogen Adsorption (LTN2A)
The LTN2A curves and PSD characteristics of the shale in the FF are shown in Figure 11. According to the classification of IUPAC [39], the LTN2A curves are typical Type IV in the shale of the FF, which has an obvious magnetic hysteresis loop and an unsaturated adsorption platform (Figure 11a,b). The N2 adsorption volume of the samples ranges from 0.51 to 1.54 cm3/g (STP), and it increases gradually with an increase in the TOC content. The LTN2A curves increase slowly when the relative pressure is less than 0.9 and increase rapidly when the relative pressure is more than 0.9, which indicates the occurrence of macropores in the samples. According to the classification of magnetic hysteresis loops by IUPAC, there are mainly H2 and H3 types of magnetic hysteresis loops in the samples, indicating that the pores are mainly ink bottle-shaped pores and parallel-plate-shaped slit pores. The specific surface area (BET SSA), pore volume (BJH PV), and pore size distribution (PSD) of the shales were calculated according to the LTN2A in the FF (Table 2). The SSA varies from 1.25 to 2.72 m2/g, with an average value of 1.85 m2/g. The PV ranges from 0.006 to 0.024 cm3/g, with an average value of 0.015 cm3/g. The PSD curves have a multiple-peak characteristic, and pore distributions range from 2 to 200 nm, with the mesopores mainly dominated by the 9–50 nm pores (Figure 11c). Moreover, the PV and SSA of the samples gradually decrease with increasing OM content.
Figure 11.
Characteristics of LTN2A curves and pore size distribution in the FF. (a) LTN2A curves with high TOC content; (b) LTN2A curves with low TOC content; (c) pore volume distribution; (d) specific surface area distribution.
4.4.4. Full-Scale Pore Size Distribution
In this study, the pore size distribution curves of LTCO2A, LTN2A, and MICP of shales in the FF are normalized and spliced to obtain a characteristic map of the full-scale pore size distribution, as shown in Figure 12. From the figure, it is clear that the pore size distribution of the FF shale is a characteristic of the bimodal distribution. The shale mainly develops micropores of 0.5–1.2 nm and mesopores of 10–50 nm, which contribute major pore volume and specific surface area. The macropores are less developed as a whole, and the pore volume is mainly contributed by pores of 50~200 nm and larger than 20 μm. Additionally, organic-rich shales (Samples 1, 3, and 5) are more developed with mesopores than organic-poor shales (Samples 2, 4, and 7), whereas organic-poor shales are more developed with micropores than organic-rich shales.
Figure 12.
Characteristics of full-scale pore size distribution in FF. (a) Pore volume full-scale distribution; (b) specific surface area full-scale distribution.
4.5. Pore Connectivity
The pore connectivity of shale determines its seepage performance, which is one of the key parameters for reservoir evaluation currently [40,44,67]. The 3D spatial distribution of pores in shale can be obtained using CT scanning, which provides support to the pore connectivity assessment [68,69]. Figure 13 shows the micro-CT scanning and 3D pore structure reconstruction model of the shale in the FF. The results indicate that numerous micro- and nanopores with various shapes are developed in the shale of the FF, ranging from spherical to polygonal, mainly with irregular ellipsoidal shapes (Figure 13c,d). The pores are distributed primarily in clusters, and usually, larger pores are interconnected to form a connected pore network, whereas smaller pores typically exist in isolation and are not connected between pores (Figure 13e,f). The proportion of connected pores in the total pores is relatively low, but they bear the flow of all fluids within the reservoir. The connecting pores of the FF shale are unevenly distributed spatially and have strong heterogeneity. The network of connected pores mainly consists of larger pores and their connected throats, with poor connectivity in general. This is consistent with the results of low mercury injection volume by MICP. Statistical analysis of CT scanning results shows that the CT-derived porosity of the samples ranges from 1.01 to 2.96%, with a maximum pore radius of up to 70 μm and an average pore radius of 8.61 μm (Table 2). The pore size is mainly distributed in the range of 10–20 μm, and the larger pore size has a higher pore coordination number and better connectivity between pores. The results of permeability measurement from previous researchers show that the horizontal permeability of shale in the FF of MY1 well ranges from 0.011 to 0.047 mD, with an average permeability of 0.014 mD and poor seepage capacity [70]. The extrac-tion of shale oil relies on horizontal wells and hydraulic fracturing technology to achieve effective extraction.
Figure 13.
Micro-CT scanning and 3D pore structure reconstruction of shale from FF of MY1 well in the Mahu Sag: (a) 2D cross-section of sample; (b) 3D characteristics of sample; (c) pore threshold segmentation; (d) 3D pore network (blue represents pores); (e) connected pore network (each color represents a connected pore network); (f) pore-throat network model (red balls represent the pores, and yellow sticks represent the throats of connected pores) (Note: the model specification is 1368 × 1368 × 1368 um).
5. Discussion
5.1. Pore Networks of Alkaline Lacustrine Shales
The PSD of shales in the FF exhibits obvious bimodal characteristics in the FF, and the pores with a pore size ranging from 0.5 to 1.2 nm and 10 to 50 nm contribute most of the pore volume in the pore network system (Figure 12). This is consistent with the results of Yang et al. (2022) [71]. Considering the heterogeneity of the samples, the study classified mesopores into 2–5 nm, 5–10 nm, 10–20 nm, and 20–50 nm according to the characteristics of the PSD curves in the mesopores. Then, the PV of samples was calculated via classification, and the results show that the PV of mesopores is contributed mainly by pores ranging from 20 to 50 nm (Figure 14). However, due to the strong heterogeneity of shales in the FF, some scholars [72] found that the development of macropores in some FF shale samples is not less than mesopores and micropores, i.e., laminar siliceous shales and block mud shales, with pore volume increments of more than 50 μL/g and the pores are predominantly macropores. However, other scholars [73,74] believe that the shale of the FF mainly develops mesopores, and the large pores are underdeveloped, which is consistent with the results of this study.
Figure 14.
Characteristics of pore size distribution in mesopores of samples.
According to the LTN2A curves, there are two types of magnetic hysteresis loops in the shale of FF, i.e., H2 and H3. The samples primarily developed two types of pores based on the IUPAC classification [39], namely ink bottle-shaped pores and parallel-plate-shaped slit pores. Ink bottle-shaped pores lead to H2-type hysteresis loops, whereas H3 type is mainly parallel-plate-shaped slit pores. This is consistent with the results of Lv et al. (2022) [53]. Moreover, the hysteresis loop area of samples is found to increase with an increase in the clay mineral content in our research, which may be due to the influence of clay minerals in shale on the development of mesopores. Overall, the hysteresis loop area of samples shows a trend of gradual increase with an increase in the clay mineral content, and the pore shape gradually changes from slit-shaped to ink bottle-shaped. This feature may be related to the enrichment of clay minerals in the shale.
The pores and their connected throats together constitute the connected pore network of the shale. The results of CT scanning in the shale of the FF show (Figure 13) that the connected pore network is unevenly distributed in space and has strong heterogeneity. The pore network is mainly composed of larger pores in the shale and their connected throats, whereas smaller pores are not interconnected and often exist in the form of isolated pores, and the connectivity of pores is poor. Although the proportion of connected pores in the total pores of shale is not high, they bear the flow of all fluids within the shale. Consequently, the connected pores network objectively determines the flow characteristics of fluid inside it.
5.2. Influence of Different Factors on Shale Pore Development
Previous research has shown that shale pore development is influenced by various geological factors [75,76,77,78], mainly including sedimentary environments, mineral compositions, and organic geochemical characteristics. This study combines the experimental results to investigate factors influencing the pore development of shale in the FF.
5.2.1. Influence of OM on Pore Development
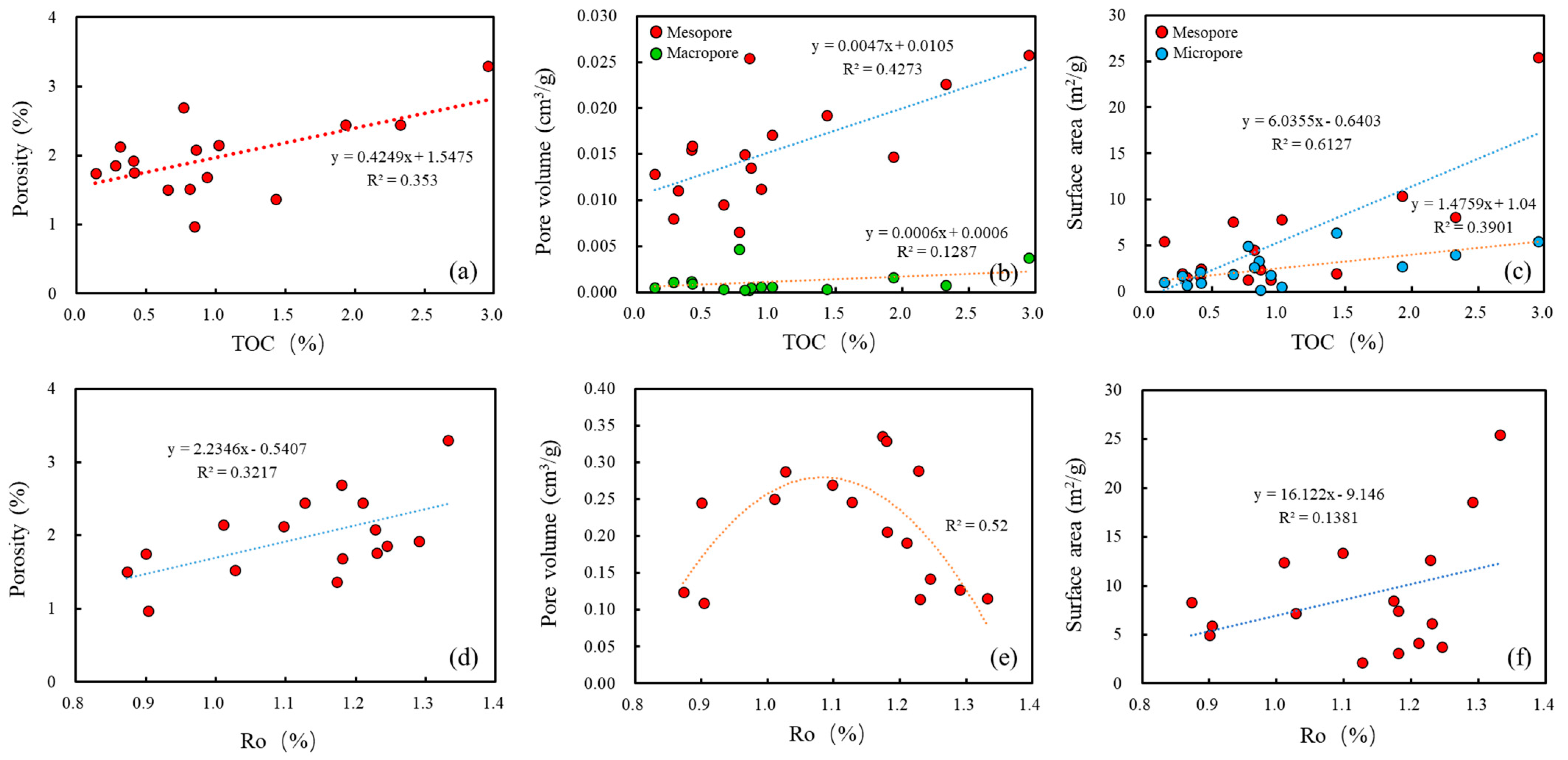
OM is considered an important factor influencing the pore development in shale. It is essential for the formation of OM pores and the development of inorganic pores in shales [62,79,80]. Statistical analysis of the relationship between porosity, pore volume (PV), specific surface area (SSA), organic matter abundance (TOC), and thermal maturity (Ro) of shales in the FF (Figure 15) revealed that there is a moderate positive correlation between porosity and SSA with both TOC and Ro, and there is also a positive correlation between PV and TOC, which first increases and then decreases with Ro (Figure 15e). It indicates that OM pores contribute to the porosity, PV, and SSA of shales in the FF. On the one hand, it is due to the formation of OM pores, especially organic matter micropores [81], which contribute to the pore space of shale. The SEM shows (Figure 7i) that there are a number of small circular pores visible inside the OM, the formation of which is associated with hydrocarbon generation and expulsion during the thermal evolution of OM. Milliken et al. (2013) conducted research on the Marcellus Shale and found a significant positive correlation between porosity and TOC, but this correlation is influenced by thermal maturity [62]. On the other hand, thermal maturation also influences the formation of OM pores. It is commonly accepted that organic pores in shale are formed during the thermal evolution of OM. The FF shale is in the mature–overmature stage, and the large generation and expulsion of hydrocarbon is beneficial for the development of organic pores. Figure 13e shows that the variation between PV and Ro first increases and then decreases in the boundary of Ro = 1.1%, which is probably related to the formation of OM pores and hydrocarbon occupation of the shale pores during the thermal evolution of OM. This is consistent with the viewpoint proposed by Wang et al. (2023) who studied the evolution of organic matter pores in shales of the Yanchang Formation in the Ordos Basin [82]. Therefore, OM strongly influences shale pore development, especially TOC content and thermal maturity. In general, high TOC content is more beneficial to OM pore development, which is significant for improving the pore space in shales.
Figure 15.
Influence of OM on pore development in shales of the FF. (a) Scatter plots of porosity vs. TOC; (b) Scatter plots of PV vs. TOC; (c) Scatter plots of SSA vs. TOC; (d) Scatter plots of porosity vs. Ro; (e) Scatter plots of PV vs. Ro; (f) Scatter plots of SSA vs. Ro.
5.2.2. Influence of Mineral Composition on Shale Pore Development
The mineral composition is also an important factor that influences shale pore development, which significantly affects the porosity and pore structure of shale [44,83]. The pore types of the FF shales are mainly intergranular and intragranular pores associated with mineral particles, and pore development is obviously controlled by mineral composition. The relationship between porosity, PV, and content of different minerals in shales was statistically analyzed (Figure 16). The results show that there is a positive correlation between carbonate mineral content and porosity and PV (Figure 16b,e), which indicates that the pores associated with carbonate minerals have a significant influence on the porosity and pore structure in the shale of FF. SEM results also show that numerous intra- and intergranular pores associated with calcite and dolomite are developed in the shales (Figure 7b–d), which perform an essential role in forming the pore network of the shale. The negative correlation between clay minerals content and porosity and PV (Figure 16a,d) indicates that clay minerals have a restrictive effect on the pore development of shale. Clay minerals usually coexist with organic matter and develop pore types such as clay mineral interlayer pores and cleavage seams (Figure 7g,h), which contribute to the micropores and mesopores in the shale. However, the pores associated with clay minerals are easily compacted and destroyed during the burial process of shale [84], and clay minerals are easily deformed and flow to seal other pores, resulting in inhibitory effects. Furthermore, clay minerals also influence the shape of the shale pores. Research has found that with increasing clay mineral content, the pore shape gradually changes from slit shape to ink bottle shape. There is a weak correlation between pyrite and porosity and no obvious correlation with pore volume (Figure 16c,f), indicating that pyrite has less influence on pore development in shales. The pores associated with pyrite in shales mainly consist of two types: intragranular pores formed within mineral particles and intergranular pores formed via loose aggregation of mineral particles [85]. The former mainly exists as isolated pores, which have little significance for the accumulation and seepage of hydrocarbons in the shale. The latter can connect with other pores to form a connected pore network, improving the permeability of shale. The pores associated with pyrite are mainly dominated by isolated pores in this study.
Figure 16.
Influence of mineral composition on pore development in shales of the FF (part of data on porosity from [71,74]). (a) Scatter plots of porosity vs. clay minerals content; (b) Scatter plots of porosity vs. carbonate minerals content; (c) Scatter plots of porosity vs. pyrite content; (d) Scatter plots of PV vs. clay minerals content; (e) Scatter plots of PV vs. carbonate minerals content; (f) Scatter plots of PV vs. pyrite content.
5.3. Implications for Shale Oil Exploration and Development
The pore development of shale is critical for the accumulation of hydrocarbons in the shale. Hydrocarbons exist in three main occurrence states, namely free, adsorbed, and dissolved, in nanometer and micrometer scale pores and fractures in shale reservoirs [3,86,87]. Free hydrocarbons primarily exist in the macropores and fractures of shales, which is the most favorable occurrence state for shale oil and gas exploitation. Adsorbed hydrocarbons are oil and gas adsorbed on the surface of OM and pores via intermolecular forces (e.g., van der Waals and Coulomb forces). In general, the smaller the pores and the larger the specific surface area, the higher the proportion of adsorbed hydrocarbons. Dissolved hydrocarbons are oil and gases dissolved in formation water or other formation fluids. Currently, adsorbed and dissolved hydrocarbons are not favored for shale oil potential, and research mainly focuses on movable free hydrocarbons in shales. The shale of the FF is a set of excellent alkali lacustrine source rocks with high organic matter abundance and great hydrocarbon generation potential. It is at the peak of oil generation, which is an important stratum for shale oil exploration and development in China, with high research enthusiasm. In this paper, the pore characteristics of shale in the FF are studied. The results show that the shale mainly develops mesopores and micropores, with pore shapes of slits and ink bottles, and poor pore connectivity. This has a significant effect on the exploration and development of shale oil in the FF. The micropores are small and have a large specific surface area, mainly serving as a storage space for low-carbon hydrocarbons. The oil is mainly in an adsorbed state and can be unmovable in the natural state, which is not conducive to shale oil extraction. Free oil is predominantly accumulated in the mesopores and macropores, which is the primary target for shale oil extraction. Lv et al. (2023) found that the oil saturation index of shale in the FF is positively correlated with the pore volume of mesopores and macropores in shale and negatively correlated with micropores. It indicates that the pore structure of shale in the FF is not an ideal type that is most favorable for shale oil extraction. However, their mineral composition and microfractures improve the movability of shale oil. The shale in the FF is mainly composed of quartz, feldspar, calcite, dolomite, pyrite, clay minerals, etc. Among them, brittle minerals such as quartz, dolomite, and pyrite are high in content, which is beneficial for the formation of fractures in the shale. Additionally, bedding fractures formed via the enrichment of siliceous minerals in shale can also improve the connectivity of shale reservoirs and enhance the movability of shale oil. Combined with the hydrocarbon generation potential of shale [5,50], comprehensive research suggests that the Fengcheng Formation shale has a significant exploration and development benefit. The shales from different lithofacies have different pore structures and mineral compositions. Therefore, some scholars usually classify and analyze the resource potential of shale oil based on different lithofacies, which is meaningful to guide the exploration and development of shale oil, and it is also the next step of the research that we will carry out.
6. Conclusions
Comprehensive research on the pore characteristics and geochemical characteristics of alkaline lacustrine shale in the FF was performed using a combination of multi-scale qualitative and quantitative methods, such as core observation, rock pyrolysis, XRD, FE-SEM, MICP, LTGA, and CT scanning in this study. The main conclusions obtained are as follows:
- (1)
- The alkaline lacustrine shale of FF presents a complex mineral composition, which primarily consists of quartz, feldspar, dolomite, calcite, pyrite, etc.; however, the content of clay minerals is extremely low. Shale organic matter content is moderate, and the organic matter type is dominated by Type II kerogen, which is currently at the peak of oil generation, with greater hydrocarbon potential. It has great potential for shale oil exploration and development.
- (2)
- Four pore types, i.e., inter-P, intra-P, OM pores, and fractures, were observed in the shale of FF, but inter-P and intra-P were the most developed. The pore space is contributed predominantly by micropores of 0.5–1.2 nm and mesopores of 10–50 nm, and macropores are underdeveloped. The pore shapes are mostly ink bottle- and slit-shaped, and the pore connectivity is relatively poor. The pore network is composed of large pores and their connected throats in the shale, and the small pores predominantly present as isolated pores.
- (3)
- The pore development of shale in the FF is influenced by organic matter abundance, thermal maturity, mineral composition, etc. Organic matter content, thermal maturity, and carbonate minerals have a positive effect on pore development, and the PV increases with TOC, Ro, and carbonate minerals. While clay minerals show a negative effect, the PV decreases with clay minerals.
Author Contributions
Conceptualization, C.L. and X.P.; Data curation, X.L. and Y.C.; Investigation, C.L., T.C., Z.X., X.L. and H.X.; Methodology, C.L. and T.H.; Project administration, X.P. and F.J.; Resources, X.P.; Software, Z.X.; Supervision, T.H. and F.J.; Validation, T.C., H.X., Y.C., F.Y. and L.J.; Writing—original draft, C.L.; Writing—review and editing, T.H. All authors have read and agreed to the published version of the manuscript.
Funding
This research was funded by the State Key Laboratory of Shale Oil and Gas Enrichment Mechanisms and Effective Development (33550000-21-ZC0613-0328), CNPC Innovation Fund (2023DQ02-0106), National Natural Science Foundation of China (U19B6003-02, 41872148, 42202133, and 41872128), Strategic Cooperation Technology Projects of the CNPC and CUPB (ZLZX2020-01-05), and Young Talents Support Project of Beijing Science and Technology Association (ZX20210075).
Data Availability Statement
The data that support the findings of this study are available from the corresponding author upon reasonable request. The data are not publicly available due to Funder requirements.
Acknowledgments
This study benefited from the support and help from Xinjiang Oilfield on experimental and basic data. We also thank the reviewers for their professional suggestions.
Conflicts of Interest
The authors declare no conflict of interest.
References
- Zou, C.N.; Yang, Z.; Cui, J.W.; Zhu, R.K.; Hou, L.H.; Tao, S.Z.; Yuan, X.J.; Wu, S.T.; Lin, S.H.; Wang, L.; et al. Formation mechanism, geological characteristics and development strategy of nonmarine shale oil in China. Petrol. Explor. Dev. 2013, 2013. 40, 15–27. [Google Scholar] [CrossRef]
- Kokkinos, N.C.; Nkagbu, D.C.; Marmanis, D.I.; Dermentzis, K.I.; Maliaris, G. Evolution of Unconventional Hydrocarbons: Past, Present, Future and Environmental FootPrint. J. Eng. Sci. Technol. Rev. 2022, 15, 15–24. [Google Scholar] [CrossRef]
- Jarvie, D.M. Shale resource systems for oil and gas: Part 2—Shale-oil resource systems. In Shale Reservoirs-Giant Resources for the 21st Century; Breyer, J.A., Ed.; AAPG Memoir: Tulsa, OK, USA, 2012; Volume 97, pp. 89–119. [Google Scholar]
- Shi, K.Y.; Chen, J.Q.; Pang, X.Q.; Jiang, F.J.; Hui, S.S.; Zhang, S.J.; Pang, H.; Wang, Y.Y.; Chen, D.; Yang, X.B.; et al. Average molecular structure model of shale kerogen: Experimental characterization, structural reconstruction, and pyrolysis analysis. Fuel. 2024, 355, 129474. [Google Scholar] [CrossRef]
- Zou, C.N.; Pan, S.Q.; Jing, Z.H.; Gao, J.L.; Yang, Z.; Wu, S.; Zhao, Q. Shale oil and gas revolution and its implications. Acta Pet. Sin. 2020, 41, 1–12. [Google Scholar]
- Wu, Y.P.; Liu, C.L.; Jiang, F.J.; Hu, T.; Lv, J.H.; Zhang, C.X.; Guo, X.G.; Huang, L.L.; Hu, M.L.; Huang, R.D.; et al. Geological characteristics and shale oil potential of alkaline lacustrine source rock in Fengcheng Formation of the Mahu Sag, Junggar Basin, Western China. J. Pet. Sci. Eng. 2022, 216, 110823. [Google Scholar] [CrossRef]
- Zhao, W.Z.; Hu, S.Y.; Hou, L.H.; Yang, T.; Li, X.; Guo, B.C.; Yang, Z. Types, resource potential and boundary with tight oil in Chinese continental shale oil. Pet. Explor. Dev. 2020, 47, 1–10. [Google Scholar] [CrossRef]
- Du, J.H.; Hu, S.Y.; Pang, Z.L.; Lin, S.H.; Hou, L.H.; Zhu, R.K. Types, potentials, and prospects of continental shale oil in China. China Oil Explor. 2019, 24, 560–568. [Google Scholar]
- Liu, B.; Wang, H.L.; Fu, X.F.; Bai, Y.F.; Bai, L.H.; Jia, M.C.; He, B. Lithofacies and depositional setting of a highly prospective lacustrine shale oil succession from the Upper Cretaceous Qingshankou Formation in the Gulong sag, northern Songliao Basin, northeast China. AAPG Bull. 2019, 103, 405–432. [Google Scholar] [CrossRef]
- Chen, D.; Pang, X.Q.; Jiang, F.J.; Liu, G.Y.; Pan, Z.H.; Liu, Y. Shale oil potential and mobility of low-maturity lacustrine shales: Implications from NMR analysis in the Bohai bay basin. Energy Fuels 2021, 35, 2209–2223. [Google Scholar] [CrossRef]
- Wang, X.N.; Li, J.R.; Jiang, W.Q.; Zhang, H.; Feng, Y.L.; Yang, Z. Characteristics, current exploration practices, and prospects of continental shale oil in China. Adv. Geo-Energy Res. 2022, 6, 454–459. [Google Scholar] [CrossRef]
- Zou, C.N.; Dong, D.Z.; Wang, S.J.; Li, J.Z.; Li, X.J.; Wang, Y.M.; Li, D.H.; Chen, K.M. Mechanism, geological characteristics and resource potential of shale gas in China. Pet. Explor. Dev. 2010, 37, 641–653. [Google Scholar] [CrossRef]
- Ross, D.J.K.; Bustin, R.M. Characterizing the shale gas resource potential of Devonian-Mississippian strata in the Western Canada sedimentary basin: Application of an integrated formation evaluation. AAPG Bull. 2008, 92, 87–125. [Google Scholar] [CrossRef]
- Gao, Z.Y.; Fan, Y.P.; Xuan, Q.X.; Zheng, G.W. A review of shale pore structure evolution characteristics with increasing thermal maturities. Adv. Geo-Energy Res. 2020, 4, 247–259. [Google Scholar]
- Gao, Z.Y.; Xuan, Q.X.; Hu, Q.H.; Jiang, Z.X.; Liu, X.X. Pore structure evolution characteristics of continental shale in China as indicated from thermal simulation experiments. AAPG Bull. 2021, 105, 2159–2180. [Google Scholar] [CrossRef]
- Lai, J.; Wang, G.W.; Wang, Z.Y.; Chen, J.; Pang, X.J.; Wang, S.C.; Zhou, Z.L.; He, Z.B.; Qin, Z.Q.; Fan, X.Q. A review on pore structure characterization in tight sandstones. Earth Sci. Rev. 2018, 177, 436–457. [Google Scholar] [CrossRef]
- Jiang, F.J.; Huo, L.N.; Chen, D.; Cao, L.; Zhao, R.J.; Li, Y.; Guo, T. The controlling factors and prediction model of pore structure in global shale sediments based on random forest machine learning. Earth Sci. Rev. 2023, 241, 104442. [Google Scholar] [CrossRef]
- Zou, C.N.; Zhu, R.K.; Wu, S.T.; Yang, Z.; Tao, S.Z.; Yuan, X.J.; Hou, L.H.; Yang, H.; Xu, C.C.; Li, D.H.; et al. Types, characteristics, genesis and prospects of conventional and unconventional hydrocarbon accumulations: Taking tight oil and tight gas in China as an instance. Acta Pet. Sin. 2012, 33, 173–187. [Google Scholar]
- Li, J.J.; Yin, J.X.; Zhang, Y.N.; Lu, S.F.; Wang, W.M.; Li, J.B.; Chen, F.W.; Meng, Y.L. A comparison of experimental methods for describing shale pore features-A case study in the Bohai Bay Basin of eastern China. Int. J. Coal Geol. 2015, 152, 39–49. [Google Scholar] [CrossRef]
- Chen, Y.F.; Jiang, C.B.; Leung, J.Y.; Wojtanowicz, A.K.; Zhang, D.M. Multiscale characterization of shale pore-fracture system: Geological controls on gas transport and pore size classification in shale reservoirs. J. Pet. Sci. Eng. 2021, 202, 108442. [Google Scholar] [CrossRef]
- Lawal, L.O.; Adebayo, A.R.; Mahmoud, M.; Dia, B.; Sultan, A.S. A novel NMR surface relaxivity measurements on rock cuttings for conventional and unconventional reservoirs. Int. J. Coal Geol. 2020, 231, 103605. [Google Scholar] [CrossRef]
- Hu, T.; Pang, X.Q.; Yu, S.; Wang, X.L.; Pang, H.; Guo, J.G.; Jiang, F.J.; Shen, W.B.; Wang, Q.F.; Xu, J. Hydrocarbon generation and expulsion characteristics of Lower Permian P1f source rocks in the Fengcheng area, northwest margin, Junggar Basin, NW China: Implications for tight oil accumulation potential assessment. Geol. J. 2016, 51, 880–900. [Google Scholar] [CrossRef]
- Lei, D.W.; Chen, G.Q.; Liu, H.L.; Li, X.; Abilimit; Tao, K.Y.; Cao, J. Research on the formation conditions and exploration direction of the large oil(gas) zones in the Mahu Sag of Junggar Basin. Acta Geol. Sin. 2017, 91, 1604–1619. [Google Scholar]
- Li, G.X.; Qin, J.H.; Xian, C.G.; Fan, X.B.; Zhang, J.; Ding, Y. Theoretical understanding, key technology, and practice of high-efficient development of tight conglomerate oilfields—The case of Mahu oilfield in Junggar Basin. Pet. Explor. Dev. 2020, 47, 1185–1197. [Google Scholar] [CrossRef]
- Zhi, D.M.; Tang, Y.; He, W.J.; Guo, X.G.; Zheng, M.L.; Huang, L.L. Orderly coexistence and accumulation models of conventional and unconventional hydrocarbons in Lower Permian Fengcheng Formation, Mahu sag, Junggar Basin. Pet. Explor. Dev. 2021, 48, 38–51. [Google Scholar] [CrossRef]
- Song, Y.; Yang, Z.F.; He, W.J.; Gan, R.Z.; Zhang, R.; Huang, L.L.; Xu, P.; Zhao, X.M.; Chen, Z.X. Exploration progress of alkaline lake type shale oil of the Permian Fengcheng Formation in Mahu Sag, Junggar Basin. China Oil Explor. 2022, 27, 60–72. [Google Scholar]
- Tang, Y.; He, W.J.; Bai, Y.N.; Zhang, X.; Zhao, J.Z.; Yang, S.; Wu, H.Y.; Zou, Y.; Wu, W.T. Source rock evaluation and hydrocarbon generation model of a Permian alkaline lakes—A case study of the Fengcheng Formation in the Mahu Sag, Junggar Basin. Minerals 2021, 11, 644. [Google Scholar] [CrossRef]
- Zhang, Z.J.; He, D.F.; Wu, X.X.; Shi, X.; Luo, J.N.; Wang, B.Y.; Yang, G.; Guan, S.W.; Zhao, X. Formation and Evolution of Multicycle Superimposed Basins in Junggar Basin. China Pet. Explor. 2006, 1, 47–58. [Google Scholar]
- Zhang, Y.J.; Cao, J.; Hu, W.X. Timing of petroleum accumulation and the division of reservoir-forming assemblages, Junggar Basin, NW China. Pet. Explor. Dev. 2010, 37, 257–262. [Google Scholar]
- Wang, X.J.; Song, Y.; Zheng, M.L.; Ren, H.J.; Wu, H.S.; He, W.J.; Wang, T.; Wang, X.X.; Zhao, C.Y.; Guo, J.C. Composite petroleum system and multi-stage hydrocarbon accumulation in Junggar Basin. China Pet. Explor. 2021, 26, 29–43. [Google Scholar]
- He, D.F.; Zhang, L.; Wu, S.T.; Li, T.; Zhen, Y. Tectonic evolution stages and features of the Junggar Basin. Oil Gas Geol. 2018, 39, 845–861. [Google Scholar]
- Chen, Y.Q.; Wang, W.F. Structural evolution and pool-forming in Junggar Basin. J. China Univ. Pet. (Ed. Nat. Sci.) 2004, 3, 4–8. [Google Scholar]
- Feng, C.; Li, T.; He, W.J.; Zheng, M.L. Organic geochemical traits and paleo-depositional conditions of source rocks from the Carboniferous to Permian sediments of the Northern Mahu Sag, Junggar Basin, China. J. Pet. Sci. Eng. 2020, 191, 107–117. [Google Scholar] [CrossRef]
- Cao, J.; Lei, D.W.; Li, Y.W.; Tang, Y.; Abulimit; Chang, Q.S.; Wang, T.T. Ancient high-quality alkaline lacustrine source rocks discovered in the Lower Permian Fengcheng Formation, Junggar Basin. Acta Pet. Sin. 2015, 36, 781–790. [Google Scholar]
- Chalmers, G.R.L.; Bustin, R.M. Lower Cretaceous gas shales in Northeastern British Columbia, part I: Geological controls on methane sorption capacity. Bull. Can. Pet. Geol. 2008, 56, 1–21. [Google Scholar] [CrossRef]
- Brunauer, S.; Emmet, P.H.; Teller, E. Adsorption of gases in multimolecular layers. J. Am. Chem. Soc. 1938, 60, 309–319. [Google Scholar] [CrossRef]
- Barrett, E.P.; Johner, L.S.; Halenda, P.P. The determination of pore volume and area distribution in porous substances. I. Computations from nitrogen isotherms. J. Am. Chem. Soc. 1951, 73, 373–380. [Google Scholar] [CrossRef]
- Neimark, A.V.; Lin, Y.; RaviKovich, P.I.; Thommes, M. Quenched solid density functional theory and pore size analysis of micro-mesoporous carbons. Caroon 2009, 47, 1617–1628. [Google Scholar] [CrossRef]
- IUPAC (International Union of Pure and Applied Chemistry). Physical Chemistry Division Commission on Colloid and Surface Chemistry, Subcommittee on Characterization of Porous Solids. Recommendations for the characterization of porous solids (Technical Report). Pure Appl. Chem. 1994, 66, 1739–1758. [Google Scholar]
- Bustin, R.M.; Bustin, A.M.M.; Cui, X.; Ross, D.J.K.; Pathi, V.S.M. Impact of shale properties on pore structure and storage characteristics. In Proceedings of the SPE Shale Gas Production Conference, Fort Worth, TX, USA, 16–18 November 2008; SPE: Richardson, TX, USA, 2008; p. 119892. [Google Scholar]
- Clarkson, C.R.; Solano, N.; Bustin, R.M.; Bustin, A.M.M.; Chalmers, G.R.L.; He, L.; Melnichenko, Y.B.; Radli’nski, A.P.; Blach, T.P. Pore structure characterization of North American shale gas reservoirs using USANS/SANS, gas adsorption, and mercury intrusion. Fuel 2013, 103, 606–616. [Google Scholar] [CrossRef]
- Dorsch, J. Determination of Effective Porosity of Mudrocks: A Feasibility Study; Oak Ridge National Lab: Oak Ridge, TN, USA, 1995. [Google Scholar]
- Wang, Y.; Zhu, Y.M.; Wang, H.Y.; Feng, G.J. Nanoscale pore morphology and distribution of lacustrine shale reservoirs: Examples from the Upper Triassic Yanchang Formation. Ordos Basin. J. Energy Chem. 2015, 24, 512–519. [Google Scholar] [CrossRef]
- Mastalerz, M.; Schimmelmann, A.; Drobniak, A.; Chen, Y. Porosity of Devonian and Mississippian New Albany Shale across a maturation gradient: Insights from organic petrology, gas adsorption, and mercury intrusion. AAPG Bull. 2013, 97, 1621–1643. [Google Scholar] [CrossRef]
- Zhao, R.X.; Xue, H.T.; Lu, S.F.; Li, J.Q.; Tian, S.S.; Wang, M.; Dong, Z.T. Multi-scale pore structure characterization of lacustrine shale and its coupling relationship with material composition: An integrated study of multiple experiments. Mar. Pet. Geol. 2022, 140, 105648. [Google Scholar] [CrossRef]
- Davudov, D.; Moghanloo, R.G.; Zhang, Y.X. Interplay between pore connectivity and permeability in shale sample. Int. J. Coal Geol. 2020, 220, 103427. [Google Scholar] [CrossRef]
- Jiang, X.F.; Deng, S.C.; Li, H.B.; Zuo, H. Characterization of 3D pore nanostructure and stress-dependent permeability of organic-rich shales in northern Guizhou Depression, China. J. Rock Mech. Geotech. Eng. 2022, 14, 407–422. [Google Scholar] [CrossRef]
- SY/T 5735; Geochemical Evaluation Methods of Terrestrial Source Rocks. CNPC: Petroleum and Natural Gas Industry Standards of the People's Republic of China: Beijing, China, 8 November 1995.
- Tissot, B.; Welte, D.H. Petroleum Formation and Occurrence; Springer: New York, NY, USA, 1984. [Google Scholar]
- Peters, K.; Cassa, M. Applied source rock geochemistry. In The Petroleum System from Source to Trap; Magoon, L.B., Dow, W.G., Eds.; AAPG Memoir: Tulsa, OK, USA, 1994; Volume 60, pp. 93–117. [Google Scholar]
- Langford, F.F.; Blanc-Valleron, M.M. Interpreting Rock-Eval pyrolysis data using graphs of pyrolizable hydrocarbons vs. total organic carbon (1). AAPG Bull. 1990, 74, 799–804. [Google Scholar]
- Chen, Z.; Jiang, W. Organic matter, mineral composition, pore size, and gas sorption capacity of lacustrine mudstones: Implications for the shale oil and gas exploration in the Dongying Depression, eastern China. AAPG Bull. 2018, 102, 1565–1600. [Google Scholar] [CrossRef]
- Lv, J.H.; Jiang, F.J.; Hu, T.; Zhang, C.X.; Huang, R.D.; Hu, M.L.; Xue, J.; Huang, L.L.; Wu, Y.P. Control of complex lithofacies on the shale oil potential in ancient alkaline lacustrine basins: The Fengcheng Formation, Mahu Sag, Junggar basin. Geoenergy Sci. Eng. 2023, 224, 211501. [Google Scholar] [CrossRef]
- Peters, K.E.; Walters, C.C.; Moldowan, J.M. The Biomarker Guide, 2nd ed.; Cambridge University Press: Cambridge, UK, 2005; p. 1155. [Google Scholar]
- Durand, B.; Alpern, B.; Pittion, J.L.; Pradier, B. Reflectance of vitrinite as a control of thermal history of sediments. In Thermal Modeling in Sedimentary Basins; Burrus, J., Ed.; IAEA: Vienna, Austria, 1986; pp. 441–474. [Google Scholar]
- Rippen, D.; Littke, R.; Bruns, B.; Mahlstedt, N. Organic geochemistry and petrography of Lower Cretaceous Wealden black shales of the Lower Saxony Basin: The transition from lacustrine oil shales to gas shales. Org. Geochem. 2013, 63, 18–36. [Google Scholar] [CrossRef]
- Yu, K.H.; Cao, Y.L.; Qiu, L.W.; Sun, P.P. The hydrocarbon generation potential and migration in an alkaline evaporite basin: The early Permian Fengcheng formation in the Junggar Basin, northwestern China. Mar. Petrol. Geol. 2018, 98, 12–32. [Google Scholar] [CrossRef]
- Li, W.W.; Cao, J.; Zhi, D.M.; Tang, Y.; He, W.J.; Wang, T.T.; Xia, L.X. Controls on shale oil accumulation in alkaline lacustrine settings: Late Paleozoic Fengcheng Formation, northwestern Junggar Basin. Mar. Petrol. Geol. 2021, 129, 105107. [Google Scholar] [CrossRef]
- Slatt, R.M.; O’Brien, N.R. Pore types in the Barnett and Woodford gas shales: Contribution to understanding gas storage and migration pathways in fine-grained rocks. AAPG Bull. 2011, 95, 2017–2030. [Google Scholar] [CrossRef]
- Ibad, S.M.; Padmanabhan, E. Lithofacies, mineralogy, and pore types in Paleozoic gas shales from Western Peninsular Malaysia. J. Pet. Sci. Eng. 2022, 212, 110239. [Google Scholar] [CrossRef]
- Dow, W.G. Kerogen studies and geological interpretations. J. Geochem. Explor. 1977, 7, 79–99. [Google Scholar] [CrossRef]
- Milliken, K.L.; Rudnicki, M.; Awwiller, D.N.; Zhang, T. Organic matter-hosted pore system, Marcellus Formation (Devonian), Pennsylvania. AAPG Bull. 2013, 97, 177–200. [Google Scholar] [CrossRef]
- Curtis, M.E. Structural characterization of gas shales on the micro- and nano-scales. In Proceedings of the Canadian Unconventional Resources and International Petroleum Conference, Calgary, AB, Canada, 19–21 October 2010; SPE: Richardson, TX, USA, 2010; p. 137693. [Google Scholar]
- Li, Y.J.; Song, L.H.; Tang, Y.J.; Zuo, J.P.; Xue, D.J. Evaluating the mechanical properties of anisotropic shale containing bedding and natural fractures with discrete element modeling. Int. J. Coal Sci. Technol. 2022, 9, 18. [Google Scholar] [CrossRef]
- Chen, Y.B.; Cheng, X.G.; Zhang, H.; Li, C.Y.; Ma, Y.P.; Wang, G.D. Fault characteristics and control on hydrocarbon accumulation of middle-shallow layers in the slope zone of Mahu sag, Junggar Basin, NW China. Pet. Explor. Dev. 2018, 45, 1050–1060. [Google Scholar] [CrossRef]
- Huang, Y.Y.; Wang, G.W.; Song, L.T.; Wang, S.; Zhang, Y.X.; Huang, L.L.; Lai, J. Fracture logging identification and effectiveness analysis of shale reservoir of the Permian Fengcheng Formation in Mahu Sag, Junggar Basin. J. Palaeogeogr. 2022, 24, 540–555. [Google Scholar]
- Liu, H.M.; Wang, X.J.; Du, Z.J.; Tong, D.; Li, J.; Wang, H. Study on pore structure characteristics of tight sandstone in Block 4 of the central Junggar Basin. J. Geomech. 2020, 26, 96–105. [Google Scholar]
- Boruah, A.; Ganapathi, S. Microstructure and pore system analysis of Barren Measures shale of Raniganj field, India. J. Nat. Gas Sci. Eng. 2015, 26, 427–437. [Google Scholar] [CrossRef]
- Fu, H.J.; Wang, X.Z.; Zhang, L.X.; Gao, R.M.; Li, Z.T.; Xu, T.; Zhu, X.L.; Xu, W.; Li, Q. Investigation of the factors that control the development of pore structure in lacustrine shale: A case study of block X in the Ordos Basin, China. J. Nat. Gas Sci. Eng. 2015, 26, 1422–1432. [Google Scholar] [CrossRef]
- Jiang, F.J.; Hu, M.L.; Hu, T.; Lv, J.H.; Huang, L.L.; Liu, C.L.; Jiang, Z.X.; Huang, R.D.; Zhang, C.X.; Wu, G.Y.; et al. Controlling factors and models of shale oil enrichment in Lower Permian Fengcheng Formation, Mahu Sag, Junggar Basin, NW China. Pet Explor Dev. 2023, 50, 812–825. [Google Scholar] [CrossRef]
- Yang, F.; Meng, X.; Wang, X.H.; Yu, P.R.; Shao, G.H.; Chen, H.H. Micro-Pore Characteristics and Influencing Factors of Fengcheng Formation Shale in Well Maye-1. Xinjiang Pet. Geol. 2022, 43, 1–10. [Google Scholar]
- Li, X.H.; Jiang, Z.X.; Huang, L.L.; He, W.J.; Gao, Z.Y.; Chen, Z.X.; Song, J.N.; Zheng, G.W.; Duan, L.F.; Zhang, Y.H. Main controlling factors of shale oil enrichment and optimization of favorable enrichment intervals of Fengcheng Formation in Mahu Sag. J. Northeast. Pet. Univ. 2022, 46, 33–44. [Google Scholar]
- Li, Z.F.; Tang, X.L.; Huang, L.L.; Chang, Q.S.; Yang, L.L.; Yang, Z.Q. Lithofacies development characteristics of Fengcheng Formation shale in Mahu Sag, Junggar Basin. China Energy Environ. Prot. 2021, 43, 108–114. [Google Scholar]
- Shao, G.H.; Gao, Y.W.; Lin, J.Q.; Wu, W.; Yang, F.; Xiao, H.; Wang, X.H.; Peng, Y.; Zeng, R. The fine characterization of micro-pore structure of shale oil reservoir in Permian Fengcheng Formation of Mahu Sag. J. Chang. Univ. (Nat. Sci. Ed.) 2023, 20, 48–55. [Google Scholar]
- Yang, C.; Zhang, J.C.; Tang, X. Microscopic pore types and its impact on the storage and permeability of continental shale gas, Ordos Basin. Earth Sci. Front. 2013, 20, 240–250. [Google Scholar]
- Zheng, Y.J.; Liao, Y.H.; Wang, Y.P.; Xiong, Y.Q.; Peng, P.A. Organic geochemical characteristics, mineralogy, petrophysical properties, and shale gas prospects of the Wufeng-Longmaxi shales in Sanquan Town of the Nanchuan District, Chongqing. AAPG Bull. 2018, 102, 2239–2265. [Google Scholar] [CrossRef]
- Cavelan, A.; Boussafir, M.; Mathieu, N.; Laggoun-Defarge, F. Impact of thermal maturity on the concomitant evolution of the ultrafine structure and porosity of marine mudstones organic matter; contributions of electronic imaging and new spectroscopic investigations. Int. J. Coal Geol. 2020, 231, 103622. [Google Scholar] [CrossRef]
- Knapp, L.J.; Ardakani, O.H.; Uchida, S.; Nanjo, T.; Otomo, C.; Hattori, T. The influence of rigid matrix minerals on organic porosity and pore size in shale reservoirs: Upper Devonian Duvernay Formation, Alberta, Canada. Int. J. Coal Geol. 2020, 227, 103525. [Google Scholar] [CrossRef]
- Liu, B.; Mastalerz, M.; Schieber, J. SEM petrography of dispersed organic matter in black shales: A review. Earth Sci. Rev. 2022, 224, 103874. [Google Scholar] [CrossRef]
- Chen, S.B.; Zhang, C.; Li, X.Y.; Zhang, Y.K.; Wang, X.Q. Simulation of methane adsorption in diverse organic pores in shale reservoirs with multi-period geological evolution. Int. J. Coal Sci. Technol. 2021, 8, 844–855. [Google Scholar] [CrossRef]
- Milliken, K.L.; Esch, W.L.; Reed, R.M.; Zhang, T.W. Grain assemblages and strong diagenetic overprinting in siliceous mudrocks, Barnett Shale (Mississippian), Fort Worth Basin, Texas. AAPG Bull. 2012, 96, 1553–1578. [Google Scholar] [CrossRef]
- Wang, G.P.; Jin, Z.J.; Zhang, Q.; Zhu, R.K.; Tang, X.; Liu, K.Q.; Dong, L. Effects of clay minerals and organic matter on pore evolution of the early mature lacustrine shale in the Ordos Basin, China. J. Asian Earth Sci. 2023, 246, 105516. [Google Scholar] [CrossRef]
- Hui, S.S.; Pang, X.Q.; Chen, Z.H.; Hu, T.; Shi, K.Y.; Di, G.D.; Li, M.; Mei, S.X.; Li, M.W. Quantifying the relative contribution and evolution of pore types to shale reservoir space: Constraints from over-mature marine shale in the Sichuan Basin, SW China. J. Asian Earth Sci. 2023, 249, 105625. [Google Scholar] [CrossRef]
- Kuila, U.; Prasad, M. Specific surface area and pore-size distribution in clays and shale. Geophys. Prospect. 2013, 61, 341–362. [Google Scholar] [CrossRef]
- Song, L.S.; Carr, T.R. The pore structural evolution of the Marcellus and Mahantango shales, Appalachian Basin. Mar. Pet. Geol. 2020, 114, 104226. [Google Scholar] [CrossRef]
- Xu, Y.; Lun, Z.M.; Pan, Z.J.; Wang, H.Y.; Zhou, X.; Zhao, C.P.; Zhang, D.F. Occurrence space and state of shale oil: A review. J. Pet. Sci. Eng. 2022, 211, 110183. [Google Scholar] [CrossRef]
- Sang, Q.; Zhang, S.J.; Li, Y.J.; Dong, M.Z.; Bryant, S. Determination of organic and inorganic hydrocarbon saturations and effective porosities in shale using vacuum- imbibition method. Int. J. Coal Geol. 2018, 200, 123–134. [Google Scholar] [CrossRef]
Disclaimer/Publisher’s Note: The statements, opinions and data contained in all publications are solely those of the individual author(s) and contributor(s) and not of MDPI and/or the editor(s). MDPI and/or the editor(s) disclaim responsibility for any injury to people or property resulting from any ideas, methods, instructions or products referred to in the content. |
© 2023 by the authors. Licensee MDPI, Basel, Switzerland. This article is an open access article distributed under the terms and conditions of the Creative Commons Attribution (CC BY) license (https://creativecommons.org/licenses/by/4.0/).















