Structural Features of K2O-SiO2 Melts: Modeling and High-Temperature Experiments
Abstract
1. Introduction
2. Methods
2.1. Modeling Method
2.2. Raman Spectroscopy Data
3. Results and Discussion
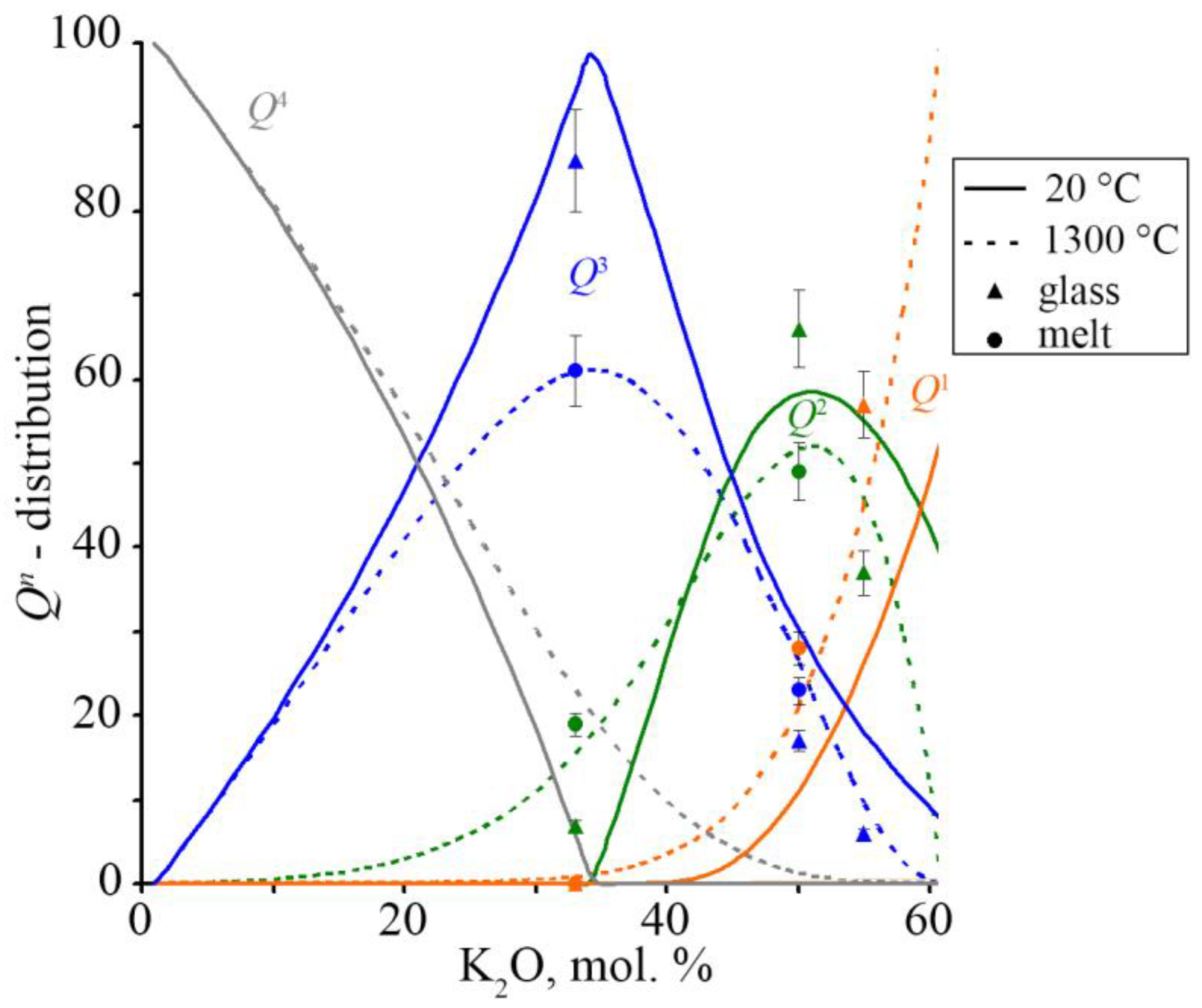
3.1. Raman Spectroscopy of K2O-SiO2 Melts and Glasses
3.2. Physicochemical Modeling of K2O-SiO2 Melts and Glasses
4. Conclusions
Author Contributions
Funding
Data Availability Statement
Acknowledgments
Conflicts of Interest
References
- Morard, G.; Hernandez, J.-A.; Guarguaglini, M.; Bolis, R.; Benuzzi-Mounaix, A.; Vinci, T.; Fiquet, G.; Baron, M.A.; Shim, S.H.; Ko, B.; et al. In situ X-ray diffraction of silicate liquids and glasses under dynamic and static compression to megabar pressures. Proc. Natl. Acad. Sci. USA 2020, 117, 11981–11986. [Google Scholar] [CrossRef] [PubMed]
- Taniguchi, T.; Okuno, M.; Matsumoto, T. X-ray diffraction and EXAFS studies of silicate glasses containing Mg, Ca and Ba atoms. J. Non-Cryst. Solids 1997, 211, 56–63. [Google Scholar] [CrossRef]
- Richet, P.; Mysen, B.O.; Andrault, D. Melting and premelting of silicates: Raman spectroscopy and X-ray diffraction of Li2SiO3 and Na2SiO3. Phys. Chem. Miner. 1996, 23, 157–172. [Google Scholar] [CrossRef]
- Koroleva, O.N. The structure of lithium silicate melts revealed by high-temperature Raman spectroscopy. Spectrosc. Lett. 2017, 50, 257–264. [Google Scholar] [CrossRef]
- Malfait, W.J.; Zakaznova-Herzog, V.P.; Halter, W.E. Quantitative Raman spectroscopy: High-temperature speciation of potassium silicate melts. J. Non-Cryst. Solids 2007, 353, 4029–4042. [Google Scholar] [CrossRef]
- Maehara, T.; Yano, T.; Shibata, S.; Yamane, M. Structure and phase transformation of alkali silicate melts analysed by Raman spectroscopy. Philos. Mag. 2004, 84, 3085–3099. [Google Scholar] [CrossRef]
- Mysen, B.O.; Frantz, J.D. Silicate melts at magmatic temperatures: In-situ structure determination to 1651 °C and effect of temperature and bulk composition on the mixing behavior of structural units. Contrib. Mineral. Petrol. 1994, 117, 1–14. [Google Scholar] [CrossRef]
- Korobatova, N.M.; Koroleva, O.N. Structural variations of germanosilicate glasses with change in modifier cation type or Ge/Si ratio. Spectrochim. Acta A Mol. Biomol. Spectrosc. 2020, 237, 118361. [Google Scholar] [CrossRef] [PubMed]
- Grund Bäck, L.; Ali, S.; Karlsson, S.; Möncke, D.; Kamitsos, E.I.; Jonson, B. Mixed alkali/alkaline earth-silicate glasses: Physical properties and structure by vibrational spectroscopy. Int. J. Appl. Glass Sci. 2019, 10, 349–362. [Google Scholar] [CrossRef]
- Bykov, V.N.; Ivanova, T.N.; Koroleva, O.N. Raman spectroscopy of borosilicate and germanate-silicate glasses and melts. Russ. Metall. Met. 2011, 2011, 719–722. [Google Scholar] [CrossRef]
- Karlsson, C.; Zanghellini, E.; Swenson, J.; Roling, B.; Bowron, D.T.; Börjesson, L. Structure of mixed alkali/alkaline-earth silicate glasses from neutron diffraction and vibrational spectroscopy. Phys. Rev. B 2005, 72, 064206. [Google Scholar] [CrossRef]
- Stebbins, J.F. Anionic speciation in sodium and potassium silicate glasses near the metasilicate ([Na,K]2SiO3) composition: 29Si, 17O, and 23Na MAS NMR. J. Non-Cryst. Solids X 2020, 6, 100049. [Google Scholar] [CrossRef]
- Sawyer, R.; Nesbitt, H.W.; Bancroft, G.M.; Thibault, Y.; Secco, R.A. Spectroscopic studies of oxygen speciation in potassium silicate glasses and melts. Can. J. Chem. 2014, 93, 60–73. [Google Scholar] [CrossRef]
- Davis, M.C.; Kaseman, D.C.; Parvani, S.M.; Sanders, K.J.; Grandinetti, P.J.; Massiot, D.; Florian, P. Q(n) species distribution in K2O·2SiO2 glass by 29Si magic angle flipping NMR. J. Phys. Chem. A 2010, 114, 5503–5508. [Google Scholar] [CrossRef] [PubMed]
- de Jong, B.H.W.S.; Super, H.T.J.; Spek, A.L.; Veldman, N.; Nachtegaal, G.; Fischer, J.C. Mixed alkali systems: Structure and 29Si MAS NMR of Li2Si2O5 and K2Si2O5. Acta Crystallogr. B 1998, 54, 568–577. [Google Scholar] [CrossRef]
- McMillan, P.F.; Wolf, G.H.; Poe, B.T. Vibrational spectroscopy of silicate liquids and glasses. Chem. Geol. 1992, 96, 351–366. [Google Scholar] [CrossRef]
- Bykov, V.N.; Koroleva, O.N. Thermodynamic simulation of the behavior of network-modifying cations in multicomponent silicate melts. Geochem. Int. 2010, 48, 1128–1130. [Google Scholar] [CrossRef]
- Bykov, V.N.; Koroleva, O.N.; Osipov, A.A. Structure of melts K2O-SiO2 system by Raman spectroscopy and thermodynamic modeling. Rasplavy 2008, 3, 50–59. (In Russian) [Google Scholar]
- Bychinskii, V.A.; Tupitsyn, A.A.; Koroleva, O.N.; Chudnenko, K.V.; Fomichev, S.V.; Krenev, V.A. Specifics of representation of thermodynamic functions in the method of thermodynamic potential minimization. Russ. J. Inorg. Chem. 2013, 58, 824–829. [Google Scholar] [CrossRef]
- Bychinskii, V.A.; Tupitsyn, A.A.; Chudnenko, K.V.; Mukhetdinova, A.V.; Fomichev, S.V.; Krenev, V.A. Extrapolation of thermodynamic functions in calculation of phase equilibria by the Gibbs energy minimization method. Russ. J. Inorg. Chem. 2013, 58, 1197–1202. [Google Scholar] [CrossRef]
- Koroleva, O.N.; Bychinsky, V.A.; Tupitcyn, A.A. Thermodynamic modelling of M2O-SiO2 (M–Li, Na, K) melts as applying to mixed alkali systems. J. Non-Cryst. Solids 2021, 571, 121065. [Google Scholar] [CrossRef]
- Koroleva, O.N.; Shtenberg, M.V.; Bychinskii, V.A. Melts and glasses of the K2O-GeO2 system: Physicochemical modelling with correction based on the results of Raman spectroscopy. J. Non-Cryst. Solids 2022, 594, 121795. [Google Scholar] [CrossRef]
- Koroleva, O.N.; Shtenberg, M.V. The structure of glasses M2O-B2O3 (M–Li, Na, K): Estimation of thermodynamic characteristics of alkaline borates and physicochemical modeling. J. Non-Cryst. Solids 2023, 601, 122053. [Google Scholar] [CrossRef]
- Koroleva, O.N.; Anfilogov, V.N.; Shatskiy, A.; Litasov, K.D. Structure of Na2O-SiO2 melts as a function of composition: In situ Raman spectroscopic study. J. Non-Cryst. Solids 2013, 375, 62–68. [Google Scholar] [CrossRef]
- Kozhina, E.L. Thermodynamic properties of melts in the potassium silicate melts. Soviet J. Glass Phys. Chem. 1991, 17, 358–362. [Google Scholar]
- Chastel, R.; Bergman, C.; Rogez, J.; Mathieu, J.C. Excess thermodynamic functions in ternary Na2O-K2O-SiO2 melts by Knudsen cell mass spectrometry. Chem. Geol. 1987, 62, 19–29. [Google Scholar] [CrossRef]
- Steiler, J.M. Thermochemical Data for the Steel Industry; Report EUR 7820; Commission of the European Community: Luxemburg, 1982. (In French) [Google Scholar]
- Plante, E.R. Vapor pressure measurements of potassium over K2O-SiO2 solutions by a Knudsen effusion mass spectrometric method. In Proceedings of the 10th Materials Research Symposium “Characterization of High Tempature Vapors and Gases”, Gaithersburg, MD, USA, 18–22 September 1978; pp. 265–281. [Google Scholar]
- Koroleva, O.N.; Shtenberg, M.V.; Bychinsky, V.A.; Tupitsyn, A.A.; Chudnenko, K.V. Methods for calculating and matching thermodynamic properties of silicate and borate compounds. Bull. South Ural. State Univ. Chem. 2017, 17, 39–48. [Google Scholar] [CrossRef]
- Osipov, A.A. High-temperature Raman spectroscopy. Pure Appl. Chem. 2019, 91, 1749–1756. [Google Scholar] [CrossRef]
- Mysen, B.O.; Finger, L.W.; Virgo, D.; Seifert, A. Curve-fitting of Raman spectra of silicate glasses. Am. Mineral. 1982, 67, 686–695. [Google Scholar]
- Koroleva, O.N.; Osipov, A.A. In situ Raman spectroscopy of K2O-GeO2 melts. J. Non-Cryst. Solids 2020, 531, 119850. [Google Scholar] [CrossRef]
- Anfilogov, V.N.; Bykov, V.N.; Osipov, A.A. Silicate Melts; Nauka: Moscow, Russia, 2005; p. 357. (In Russian) [Google Scholar]
- Maekawa, H.; Maekawa, T.; Kawamura, K.; Yokokawa, T. The structural groups of alkali silicate glasses determined from 29Si MAS-NMR. J. Non-Cryst. Solids 1991, 127, 53–64. [Google Scholar] [CrossRef]
- Stuke, A.; Behrens, H.; Schmidt, B.C.; Dupree, R. H2O speciation in float glass and soda lime silica glass. Chem. Geol. 2006, 229, 64–77. [Google Scholar] [CrossRef]
- Bauer, U.; Behrens, H.; Reinsch, S.; Morin, E.I.; Stebbins, J.F. Structural investigation of hydrous sodium borosilicate glasses. J. Non-Cryst. Solids 2017, 465, 39–48. [Google Scholar] [CrossRef]
- Bale, C.W.; Bélisle, E.; Chartrand, P.; Decterov, S.A.; Eriksson, G.; Gheribi, A.E.; Hack, K.; Jung, I.H.; Kang, Y.B.; Melançon, J.; et al. FactSage thermochemical software and databases, 2010–2016. Calphad 2016, 54, 35–53. [Google Scholar] [CrossRef]






| T, °C | Vibration Frequencies, cm–1 | Concentrations of Structural Units Qn, % | k3 | ||||
|---|---|---|---|---|---|---|---|
| Q2 | Q32 | Q3 | Q4 | Q3 | Q2 | ||
| 20 | 946 | 1036 | 1108 | 8/7 1 | 84/86 1 | 8/7 1 | 0.01 |
| 336 | 936 | 1031 | 1102 | 10 | 80 | 10 | 0.01 |
| 434 | 931 | 1045 | 1101 | 9 | 82 | 9 | 0.01 |
| 925 | 925 | 1017 | 1091 | 15 | 70 | 15 | 0.05 |
| 1015 | 924 | 1016 | 1089 | 19 | 62 | 19 | 0.09 |
| 1040 | 920 | 1013 | 1087 | 20 | 60 | 20 | 0.15 |
| 1115 | 921 | 1005 | 1077 | 22 | 56 | 22 | 0.23 |
| T, °C | Vibration Frequencies, cm–1 | Concentrations of Structural Units Qn, % | k2 | ||||||
|---|---|---|---|---|---|---|---|---|---|
| Q12 | Q21 | Q2 | Q23 | Q32 | Q1 | Q2 | Q3 | ||
| 20 | 846 | 904 | 956 | 1024 | 1071 | 17 | 66 | 17 | 0.07 |
| 478 | 846 | 896 | 947 | 1014 | 1070 | 19 | 63 | 19 | 0.09 |
| 595 | 834 | 888 | 940 | 994 | 1061 | 23 | 54 | 23 | 0.18 |
| 684 | 828 | 880 | 936 | 998 | 1064 | 24 | 54 | 22 | 0.18 |
| 798 | 828 | 880 | 935 | 993 | 1058 | 24 | 53 | 23 | 0.19 |
| 919 | 820 | 871 | 935 | 988 | 1043 | 24 | 52 | 24 | 0.22 |
| 1006 | 811 | 869 | 934 | 984 | 1028 | 28 | 50 | 22 | 0.25 |
| 1044 | 810 | 868 | 930 | 984 | 1030 | 28 | 49 | 23 | 0.27 |
| Vibration Frequencies, cm−1 | Qn Species | Interpretation of Characteristic Bands |
|---|---|---|
| 810–842 | Q12 | Tetrahedron with one bridging atom of oxygen, connected to Q2 |
| 868–946 | Q1 | Tetrahedron with one bridging atom of oxygen, connected to Q1, which is the part of the dimer |
| 930–952 | Q2 | Tetrahedron with two bridging atoms of oxygen, connected to the same Q2 |
| 984–993 | Q23 | Tetrahedron with two bridging atoms of oxygen, connected to Q3 |
| 1030–1062 | Q32 | Tetrahedron with three bridging atoms of oxygen, connected to Q2 |
| T, °C | ΔfG, kJ/mol. | |||
|---|---|---|---|---|
| Q2 | Q3 | Q4 | k3 | |
| 527 | –1369.95 | –1113.28 | –758.77 | 2.66 × 10–6 |
| 627 | –1360.27 | –1097.14 | –741.81 | 0.0001 |
| 727 | –1349.66 | –1081.40 | –724.95 | 0.0015 |
| 827 | –1328.89 | –1061.36 | –708.17 | 0.0114 |
| 927 | –1300.25 | –1038.25 | –691.46 | 0.0456 |
| 1027 | –1270.62 | –1014.95 | –674.82 | 0.1219 |
| 1127 | –1240.89 | –991.36 | –658.24 | 0.2762 |
| 1227 | –1211.40 | –967.31 | –641.72 | 0.6019 |
Disclaimer/Publisher’s Note: The statements, opinions and data contained in all publications are solely those of the individual author(s) and contributor(s) and not of MDPI and/or the editor(s). MDPI and/or the editor(s) disclaim responsibility for any injury to people or property resulting from any ideas, methods, instructions or products referred to in the content. |
© 2023 by the authors. Licensee MDPI, Basel, Switzerland. This article is an open access article distributed under the terms and conditions of the Creative Commons Attribution (CC BY) license (https://creativecommons.org/licenses/by/4.0/).
Share and Cite
Koroleva, O.N.; Shtenberg, M.V.; Osipov, A.A. Structural Features of K2O-SiO2 Melts: Modeling and High-Temperature Experiments. Minerals 2023, 13, 94. https://doi.org/10.3390/min13010094
Koroleva ON, Shtenberg MV, Osipov AA. Structural Features of K2O-SiO2 Melts: Modeling and High-Temperature Experiments. Minerals. 2023; 13(1):94. https://doi.org/10.3390/min13010094
Chicago/Turabian StyleKoroleva, Olga N., Mikhail V. Shtenberg, and Armenak A. Osipov. 2023. "Structural Features of K2O-SiO2 Melts: Modeling and High-Temperature Experiments" Minerals 13, no. 1: 94. https://doi.org/10.3390/min13010094
APA StyleKoroleva, O. N., Shtenberg, M. V., & Osipov, A. A. (2023). Structural Features of K2O-SiO2 Melts: Modeling and High-Temperature Experiments. Minerals, 13(1), 94. https://doi.org/10.3390/min13010094

