Abstract
Carbothermic reduction-roasting tests of NCM (nickel, cobalt, and manganese) cathode active materials with carbon sources such as activated carbon and graphite followed by sulfuric acid leaching were performed to investigate the effects of roasting temperature, molar mixing ratio of cathode active materials and carbon sources, and type of cathode active materials. When the virgin NCM622 materials were roasted with activated carbon, the peaks of Ni and Co metals were observed in the XRD data. The leaching efficiencies of Li, Ni, Co, and Mn increased to over 99.9% within 120 min in all samples roasted at 600 °C–900 °C, but, at the beginning of leaching, the leaching efficiencies increased more slowly with increasing roasting temperature. The leaching efficiencies of Ni and Co decreased with decreasing the molar mixing ratio of active cathode materials and carbon sources, but the leaching efficiencies were more than 99.9% in all ratios. These results indicate that roasting can enhance the leaching of cathode active materials and improve the conventional leaching process using hydrogen peroxide.
1. Introduction
The Korean government announced in October 2020 that it would achieve carbon neutrality by 2050, and that recycling is a key factor for the goal [1]. Since electric vehicles are also an important way toward carbon neutrality, there has been increasing demand for lithium ion batteries (LIB) [2,3,4]. In 2021, the EU announced a new EU regulatory framework, which includes a recycled-content declaration requirement [5]. This regulation would apply to industrial batteries, EV batteries, and automotive batteries containing cobalt, lead, lithium, or nickel in active materials. Mandatory minimum levels of recycled content would be set to 12% cobalt, 85% lead, 4% lithium, and 4% nickel in 2030, increasing to 20% cobalt, 10% lithium, and 12% nickel in 2035 [5].
Various cathode active materials have been used in lithium ion batteries such as LCO (lithium cobalt oxide), NCM (lithium nickel cobalt manganese oxide), NCA (lithium nickel cobalt aluminum oxide), and LFP (lithium iron phosphate) [6]. Nickel and cobalt are recognized as target metals in LIB recycling because Ni-rich cathode materials have been used for high-end electric vehicles [7]. SungEel HiTech, a representative LIB recycler in Korea, runs an LIB-recycling process consisting of pretreatment, leaching, solvent extraction, and evaporation/electrowinning, where H2SO4 with H2O2 is used as a leaching medium for the leaching process [8,9]. The H2O2 in this recycling process is used as a reductant because the oxidation state of metals is higher than +3 in cathode active materials [10,11]. Although the company recovers valuable metals successfully from spent LIB using the process, it is difficult to operate the leaching process continuously because the amount of H2O2 added varies depending on waste LIB.
Flotation processes as pretreatments have been examined to separate graphite and cathode materials [12] or to recover Cu and Al from ground-LIB particles [13]. Although graphite was recovered, it is difficult to reuse graphite as anode materials. Because carbon such as graphite can act as a reductant, it is better to use graphite components as reductants than to recover graphite in LIB-recycling processes, in which graphite could enhance the dissolution of metal in cathode materials by reducing the oxidation state of metals from +3 to +2 or less in leaching processes. Therefore, a pretreatment process using roasting with a carbon source as a reductant was proposed [14,15,16,17,18,19,20,21]. In these conventional studies, it was reported that the metals in the cathode materials were reduced to monoxide or metal [14,15] with graphite or with graphite [14,15,17,18,19,20,21] and CO2 [16]. Ammonia or electrochemical leaching was tested with NCM powder [20,21], but the use of sulfuric acid is economical and advantageous for the recovery of Ni and Co as sulfate [22,23,24]. In other conventional studies [18,20], water leaching for the selective leaching of Li was performed before sulfuric acid or ammonia leaching, but the leaching efficiency of Li was not more than 95%.
Conventional LIB recyclers have proceeded with various types of LIB or cathode materials, which can contain anode materials such as graphite. Therefore, when spent LIB without graphite is recycled, other carbon sources should be added. In the present study, carbothermic reduction roasting processes with carbon sources such as activated carbon and graphite were investigated as a pretreatment process, in which activated carbon was selected because it can be obtained easily and economically. The effects of roasting temperature, molar mixing ratio of cathode active materials and carbon sources, and type of cathode active materials were examined to investigate the leaching behaviors of Li, Ni, Co, and Mn from the cathode active materials after roasting.
2. Materials and Methods
Three kinds of cathode active materials (NCM), such as virgin NCM622, waste cathode powder, and black powder were used in this study, in which the waste cathode powder was generated from battery-material manufacturing processes and the black powder was generated from an LIB recycling process using spent LIB. All samples were obtained from an LIB manufacturer or recycler in Korea. The metal contents of Li, Ni, Co, and Mn are given in Table 1, which were measured using an optima 8300 ICP-OES (inductively coupled plasma optical emission spectrometer, PerkinElmer Inc., Waltham, MA, USA) after acid-digestion with aqua regia, and, in the case of black powder, graphite components were removed by roasting at 950 °C. The content of graphite was 25.6%, calculated from the roasting test.
Table 1.
Metal composition of samples used in this study (mass%).
The Gibbs free energies of metal oxides such as Li2O, MnO, Mn2O3, NiO, CoO, and Co3O4, where Li, Mn, Ni, and Co are main components of NCM, were investigated for temperature using Outokumpu HSC Chemistry 5.11 to understand the behaviors of metal oxides by carbothermic reduction. The NCM samples were mixed with activated carbon (98%, Junsei Chemical, Co. Ltd., Tokyo, Japan) or graphite powder (reagent-grade, Kanto Chemical, Co. Inc., Tokyo, Japan) for roasting tests, and the molar ratio was adjusted from 1:1 to 1:10. The mole of active cathode material was calculated based on the chemical formula, Li (Ni0.6Co0.2Mn0.2) O2, where its molecular weight was calculated to be 96.93 g/mol. The reduction of Li, Ni, Co, and Mn in the cathode material needs 4 electrons, which could be provided from the oxidation of C to CO2 (C4+). The mixtures were isothermally reduced in a horizontal tube furnace (ID 60 x L 1000). An alumina boat loaded with 10 g of the mixture was placed in the middle of the tube, and the total gas-flow rate was fixed at 0.7 L/min Ar. The temperature range was from 600 to 900 °C, and the residence time was fixed at 60 min.
Before the leaching tests, a 1 mol/L H2SO4 solution was prepared with sulfuric acid (95%, Junsei Chemical Co., Ltd., Tokyo, Japan). The leaching tests of the cathode samples before and after roasting were performed in a 500 mL, four-necked Pyrex glass reactor using a heating mantle to maintain the temperature. The reactor was fitted with a reflux condenser and an agitator. The reflux condenser was inserted into one port to avoid solution loss at high temperatures. In a typical run, 200 mL of 1 mol/L sulfuric acid solution was poured into the reactor with an agitation speed of 400 rpm. After the temperature of solution reached the thermal equilibrium at 90 °C, 5 g of the roasted sample was added to the reactor in all the experiments. During the leaching tests, 3 mL of the solution was withdrawn periodically at a desired time interval (5–120 min) by a syringe. The sample was filtered using a 0.45 µm membrane filter, and the obtained filtrate was diluted with 5% HNO3 solution. The leach residue was digested with aqua regia, and the solution was diluted with distilled water. All experimental procedures are summarized in Figure 1.
Figure 1.
Flowchart of the experimental procedures in this study.
The phase change was characterized by X-ray diffraction (XRD, D/Max 2500, Rigaku, Tokyo, Japan) and by scanning-electron microscopy (SEM, MIRA-3, Tescan Co., Brno, Czech Republic). The concentration of Li, Ni, Co, and Mn was measured using an optima 8300 ICP-OES (inductively coupled plasma optical emission spectrometer, PerkinElmer Inc., Waltham, MA, USA). The leaching efficiencies of metals were calculated using the following equation:
where Msolution and Mresidue represent the mass of metals in the leach solution and leach residue, respectively.
The leaching efficiency (%) = Msolution/(Msolution + Mresidue),
3. Results and Discussion
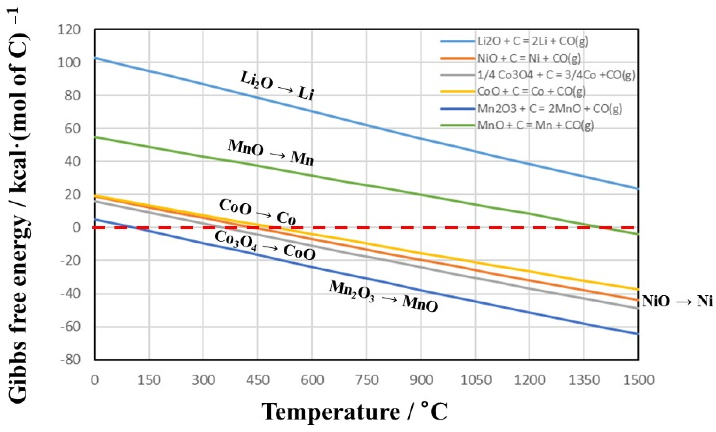
The NCM cathode active materials are found to be oxides, although the oxidation state of metals is higher than +3 [10,11], and the crystal structure of cathode is transformed from a hexagonal crystal system to a monoclinic crystal system during repeated charging and discharging. However, there has been little information about the Gibbs free energy of active materials. Therefore, the carbothermic reduction processes of metal oxides such as Li2O, MnO, Mn2O3, NiO, CoO, and Co3O4 were expressed to predict the reduction process, as a route represented in Figure 2, which was created using the software of Outokumpu HSC Chemistry 5.11. As shown in Figure 2, the Gibbs free energies decreased with increasing temperature; 1350 °C or higher is required to reduce Li2O or MnO to Li or Mn metal, whereas CoO or NiO can be reduced to Co or Ni metal at 600 °C or lower.
Figure 2.
Gibbs free energies of metal oxides with temperature.
The virgin NCM622 samples were mixed with activated carbon in a molar ratio of 1:10 and then roasted at 600 °C–900 °C under Ar atmosphere. Figure 3 shows the XRD results of the virgin NCM622 and roasted products. As shown in Figure 3, the peaks of the NCM cathode active material were observed before roasting, and the peaks of the metal or oxide forms of Ni, Co, and Mn were shown when increasing the roasting temperature to 800 °C. When increasing the temperature further to 900 °C, only metal forms were observed. These results indicate that the lattice of anode material was collapsed by roasting and that parts of nickel and cobalt oxides were reduced to metal. Figure 4 shows SEM images of samples roasted at 700 °C, where Ni, Co, and Mn existed together, and each metal component did not grow as an independent granular.
Figure 3.
XRD data of virgin NCM622 active cathode material and samples roasted at 600 °C–900 °C.
Figure 4.
SEM images of (a) sample roasted at 700 °C and EDS results of (b) Co, (c) Ni, (d) Mn, and (e) O.
Figure 5 shows the leaching behaviors of Li, Ni, Co, and Mn from the samples roasted at 600 °C–900 °C in a 1 mol/L sulfuric acid solution at 90 °C and at 400 rpm with 2.5% pulp density (5g/200 mL). The leaching efficiencies increased rapidly within 15 min, and all leaching efficiencies reached over 99% at 60 min. In the cases of Li and Mn, the leaching efficiency increased from 73.6% and 76.7% at 600 °C to 99.2% and 97.2% at 800 °C, respectively, at 10 min of leaching time. Figure 6 shows the leaching efficiencies of Ni and Co at 10 min of leaching time with the roasted temperatures. The leaching efficiencies of Ni and Co decreased from 94.8% and 96.4% in the sample roasted at 600 °C, to 88.1% and 86.8% at 900 °C, respectively. At the beginning of leaching at approximately 10 min, the leaching efficiencies of Ni and Co decreased with increasing roasting temperature, but all leaching efficiencies increased over 99% within 60 min.
Figure 5.
The leaching behaviors of Li, Ni, Co, and Mn from samples roasted at 600 °C (a), 700 °C (b), 800 °C (c), and 900 °C (d).
Figure 6.
Leaching efficiencies of Ni (a) and Co (b) from samples roasted at 600 °C–900 °C.
The effects of carbothermic reduction roasting with activated carbon on the leaching of Ni and Co are shown in Figure 7. The NCM622 sample was roasted at 700 °C with a 1:10 molar ratio for 1 h, and then, the roasted product was leached in a 1 mol/L H2SO4 solution at 90 °C and at 400 rpm with 2.5% pulp density for 2 h. In the case of NCM622 leaching without roasting, the leaching efficiencies of Ni and Co were 60.5% and 56.8%, respectively, while the leaching efficiencies increased over 99% by roasting NCM622 with activated carbon. These results suggest that roasting with carbon sources enhances the leaching of cathode active materials. In the same leaching tests, the leaching efficiencies of Li and Mn increased over 99% within 2 h regardless of roasting. Figure 8 shows the effects of various mixing ratios of NCM622 and activated carbon on the leaching efficiencies of Ni, Co, Mn, and Li. Under most ratios, although the leaching efficiencies indicate rates above 99% regardless of the ratio, the leaching efficiencies of Ni and Co were slightly lower at the ratios of 1 and 2.
Figure 7.
The leaching efficiencies of Ni and Co from samples before and after roasting.
Figure 8.
The leaching behaviors of Li, Ni, Co, and Mn with molar mixing ratio of NCM622 and activated carbon.
The effects of reductants such as activated carbon and graphite on the leaching were investigated after roasting at 700 °C with a 1:10 molar ratio for 1 h followed by leaching in a 1 mol/L sulfuric acid solution at 90 °C and at 400 rpm with 2.5% pulp density. Generally, because graphite was used as an anode material, the effects of roasting with activated carbon and graphite on the leaching were compared. In this study, the difference in leaching efficiencies was not observed when using activated carbon and graphite as reductants, as shown in Figure 9, but the carbothermic reduction with carbon sources enhanced the leaching efficiencies.
Figure 9.
The leaching behaviors of Ni (a) and Co (b) from the waste cathode powder before and after roasting at 700 °C with activated carbon or graphite.
Currently, in Korea, there are very few end-of-life electric vehicles, and recycling companies in Korea have treated lithium-ion batteries generated from manufacturing processes. Therefore, leaching tests were performed with scrapped active cathode material obtained from manufacturing processes, and the samples were roasted at 700 °C with a 1:10 molar ratio for 1 h followed by leaching in a 1 mol/L sulfuric acid solution at 90 °C and at 400 rpm with 2.5% pulp density. The leaching behaviors of Ni and Co are shown in Figure 10, where the leaching results of Li and Mn are not shown because the leaching efficiencies increased rapidly over 99.9% within 10 min. Although the leaching efficiency of Ni increased more slowly than that of Co, the leaching efficiencies increased over 99.9% within 30 min, as shown in Figure 10a. The effects of the molar ratio of the graphite-to-cathode material were also investigated using the scrapped active cathode material, and, as shown in Figure 10b, the leaching efficiency of Ni increased by increasing the molar ratio even though the efficiency was over 99.6% when the ratio was 1:1, whereas the leaching efficiency of Co remained over 99.9%.
Figure 10.
The leaching of Ni (a) and Co (b) from the waste cathode powder after roasting at 700 °C with graphite followed by 1 mol/L H2SO4 leaching.
Generally, in recycling processes of LIB, pretreatments such as dismantling, crushing, and screening have been performed before leaching processes, and the product obtained from the pretreatment processes contains active cathode and anode materials, which is called black powder. Figure 11 indicates the leaching behaviors of Ni and Co from the black powder with and without roasting, which was performed at 700 °C with a 1:4 molar ratio for 1 h. The reagent-grade graphite was added to the black powder to reach the molar ratio. The leaching test was conducted in a 1 mol/L sulfuric acid solution at 90 °C and at 400 rpm with 2.5% pulp density. The leaching efficiencies increased rapidly within 30 min, and then gradually. When the black powder was roasted, the leaching efficiencies increased to over 99.9% while the leaching efficiencies of Ni and Co increased to 77.6% and 86.5%, respectively, using the black powder without roasting.
Figure 11.
Leaching behaviors of Ni and Co using the black powder before and after roasting with graphite at 700 °C followed by H2SO4 leaching.
As discussed above, in the conventional leaching process for active cathode material or black powder, H2O2 has been used as a reductant. It was difficult to convert the conventional leaching process to a continuous process by using H2O2. Furthermore, hydrogen peroxide has been found to be unstable and expensive [25,26,27,28,29]. Therefore, pretreatment using roasting with carbon sources could be substituted for the conventional process using H2O2 and to enhance the efficiency of the leaching process for LIB recycling.
4. Conclusions
Three kinds of NCM cathode active materials were roasted with two carbon sources, activated carbon and graphite, and then, the leaching behaviors of Li, Ni, Co, and Mn were investigated in sulfuric-acid-leaching tests.
When the virgin NCM622 materials were roasted with activated carbon, the peaks of Ni and Co metals were observed in the XRD data. The leaching efficiencies of Li, Ni, Co, and Mn increased to over 99.9% within 120 min in all samples roasted at 600 °C–900 °C, but, at the beginning of leaching, the leaching efficiencies increased more slowly by increasing the roasting temperature. The lower the molar mixing ratio of cathode active materials and carbon sources, the lower the leaching efficiencies of Ni and Co, but the leaching efficiencies of Ni and Co were more than 99.9% in all ratios. These results indicate that carbothermic reduction roasting with carbon sources can enhance the leaching efficiencies of Ni and Co, regardless of the NCM cathode active materials such as virgin, scrapped, and black powder. Furthermore, activated carbon could be used instead of graphite in NCM cathode active materials without anode materials such as graphite.
Author Contributions
Methodology, Y.A., W.K. and K.Y.; writing—original draft preparation, Y.A. and K.Y.; writing—review and editing, K.Y. and R.D.A.; project administration, K.Y. All authors have read and agreed to the published version of the manuscript.
Funding
This work was supported by the Technology Innovation Program (or Industrial Strategic Technology Development Program—Development of Material Component Technology) (20011176, Development of Advanced Technology in Hydrometallurgy for High Added Value of Resources Recovery) funded by the Ministry of Trade, Industry, and Energy (MOTIE, Korea).
Data Availability Statement
Not applicable.
Conflicts of Interest
The authors declare no conflict of interest.
References
- Kim, J.S.; Jun, Y.S.; Jun, J.H.; Cho, J.Y. Transition from Linear Economy to Circular Economy. Resour. Recycl. 2021, 30, 3–17. [Google Scholar] [CrossRef]
- Jung, Y.J.; Park, S.C.; Kim, Y.H.; Yoo, B.Y.; Lee, M.S.; Son, S.H. A Study on Optimization of Nitric Acid Leaching and Roasting Process for Selective Lithium Leaching of Spent Batteries Cell Powder. Resour. Recycl. 2021, 30, 43–52. [Google Scholar] [CrossRef]
- Nguyen, T.T.H.; Tran, T.T.; Lee, M.S. A Modified Process for the Separation of Fe(III) and Cu(II) from the Sulfuric Acid Leaching Solution of Metallic Alloys of Reduction Smelted Spent Lithium-ion Batteries. Resour. Recycl. 2022, 31, 12–20. [Google Scholar] [CrossRef]
- Moon, H.S.; Song, S.J.; Tran, T.T.; Lee, M.S. Separation of Co(II), Ni(II), and Cu(II) from Sulfuric Acid Solution by Solvent Extraction. Resour. Recycl. 2022, 31, 21–28. [Google Scholar] [CrossRef]
- European Parliamentary Research Service. New EU Regulatory Framework for Batteries. Available online: https://www.europarl.europa.eu/RegData/etudes/BRIE/2021/689337/EPRS_BRI(2021)689337_EN.pdf (accessed on 6 March 2022).
- Nitta, N.; Wu, F.; Lee, J.T.; Yushin, G. Li-ion battery materials: Present and future. Mater. Today 2015, 18, 252–264. [Google Scholar] [CrossRef]
- Kim, U.H.; Park, J.H.; Aishova, A.; Ribas, R.M.; Monteiro, R.S.; Griffith, K.J.; Yoon, C.S.; Sun, Y.K. Microstructure Engineered Ni-Rich Layered Cathode for Electric Vehicle Batteries. Adv. Energy Mater. 2021, 11, 2100884. [Google Scholar] [CrossRef]
- Kang, J.; Senanayake, G.; Sohn, J.; Shin, S.M. Recovery of cobalt sulfate from spent lithium ion batteries by reductive leaching and solvent extraction with Cyanex 272. Hydrometallurgy 2010, 100, 168–171. [Google Scholar] [CrossRef]
- Joo, S.H.; Shin, D.J.; Oh, C.; Wang, J.P.; Senanayake, G.; Shin, S.M. Selective extraction and separation of nickel from cobalt, manganese and lithium in pre-treated leach liquors of ternary cathode material of spent lithium-ion batteries using synergism caused by Versatic 10 acid and LIX 84-I. Hydrometallurgy 2016, 159, 65–74. [Google Scholar] [CrossRef]
- Jamil, S.; Yousaf, A.B.; Yoon, S.H.; Han, D.S.; Yang, L.; Kasak, P.; Wang, X. Dual cationic modified high Ni-low co layered oxide cathode with a heteroepitaxial interface for high energy-density lithium-ion batteries. Chem. Eng. J. 2021, 416, 129118. [Google Scholar] [CrossRef]
- Ryu, H.H.; Sun, H.H.; Myung, S.T.; Yoon, C.S.; Sun, Y.K. Reducing cobalt from lithium-ion batteries for the electric vehicle era. Energy Environ. Sci. 2021, 14, 844–852. [Google Scholar] [CrossRef]
- Ruismäki, R.; Rinne, T.; Dańczak, A.; Taskinen, P.; Serna-Guerrero, R.; Jokilaakso, A. Integrating flotation and pyrometallurgy for recovering graphite and valuable metals from battery scrap. Metals 2020, 10, 680. [Google Scholar] [CrossRef]
- Saneie, R.; Abdollahi, H.; Ghassa, S.; Azizi, D.; Chehreh Chelgani, S. Recovery of copper and aluminum from spent lithium-ion batteries by froth flotation: A sustainable approach. J. Sustain. Metall. 2022, 8, 386–397. [Google Scholar] [CrossRef]
- She, X.; Zhu, K.; Wang, J.; Xue, Q. Product control and a study of the structural change process during the recycling of lithium-ion batteries based on the carbothermic reduction method. J. Chem. Res. 2022, 46, 17475198211066533. [Google Scholar] [CrossRef]
- Lombardo, G.; Ebin, B.; St. Foreman, M.R.J.; Steenari, B.M.; Petranikova, M. Chemical transformations in Li-ion battery electrode materials by carbothermic reduction. ACS Sustain. Chem. Eng. 2019, 7, 13668–13679. [Google Scholar] [CrossRef]
- Park, S.; Jung, S.; Kwon, D.; Beak, M.; Kwon, E.E.; Kwon, K. Carbothermic reduction of spent Lithium-Ion batteries using CO2 as reaction medium. Chem. Eng. J. 2022, 435, 135165. [Google Scholar] [CrossRef]
- Yue, Y.; Wei, S.; Yongjie, B.; Chenyang, Z.; Shaole, S.; Yuehua, H. Recovering valuable metals from spent lithium ion battery via a combination of reduction thermal treatment and facile acid leaching. ACS Sustain. Chem. Eng. 2018, 6, 10445–10453. [Google Scholar] [CrossRef]
- Liu, P.; Xiao, L.; Chen, Y.; Tang, Y.; Wu, J.; Chen, H. Recovering valuable metals from LiNixCoyMn1−x−yO2 cathode materials of spent lithium ion batteries via a combination of reduction roasting and stepwise leaching. J. Alloys Compd. 2019, 783, 743–752. [Google Scholar] [CrossRef]
- Zhang, Y.; Wang, W.; Fang, Q.; Xu, S. Improved recovery of valuable metals from spent lithium-ion batteries by efficient reduction roasting and facile acid leaching. Waste Manag. 2020, 102, 847–855. [Google Scholar] [CrossRef] [PubMed]
- Ma, Y.; Tang, J.; Wanaldi, R.; Zhou, X.; Wang, H.; Zhou, C.; Yang, J. A promising selective recovery process of valuable metals from spent lithium ion batteries via reduction roasting and ammonia leaching. J. Hazard. Mater. 2021, 402, 123491. [Google Scholar] [CrossRef]
- Lei, S.; Zhang, Y.; Song, S.; Xu, R.; Sun, W.; Xu, S.; Yang, Y. Strengthening valuable metal recovery from spent lithium-ion batteries by environmentally friendly reductive thermal treatment and electrochemical leaching. ACS Sustain. Chem. Eng. 2021, 9, 7053–7062. [Google Scholar] [CrossRef]
- Yoo, K.; Park, Y.; Choi, S.; Park, I. Improvement of Copper Metal Leaching in Sulfuric Acid Solution by Simultaneous Use of Oxygen and Cupric Ions. Metals 2020, 10, 721. [Google Scholar] [CrossRef]
- Park, Y.; Eom, Y.; Yoo, K.; Jha, M.K. Leaching of Copper from Waste-Printed Circuit Boards (PCBs) in Sulfate Medium Using Cupric Ion and Oxygen. Metals 2021, 11, 1369. [Google Scholar] [CrossRef]
- Park, I.; Yoo, K.; Alorro, R.D.; Kim, M.S.; Kim, S.K. Leaching of copper from cuprous oxide in aerated sulfuric acid. Mater. Trans. 2017, 58, 1500–1504. [Google Scholar] [CrossRef]
- Jung, M.; Yoo, K.; Alorro, R.D. Dismantling of electric and electronic components from waste printed circuit boards by hydrochloric acid leaching with stannic ions. Mater. Trans. 2017, 58, 1076–1080. [Google Scholar] [CrossRef]
- Moon, G.; Yoo, K. Separation of Cu, Sn, Pb from photovoltaic ribbon by hydrochloric acid leaching with stannic ion followed by solvent extraction. Hydrometallurgy 2017, 171, 123–127. [Google Scholar] [CrossRef]
- Jeon, S.; Yoo, K.; Alorro, R.D. Separation of Sn, Bi, Cu from Pb-free solder paste by ammonia leaching followed by hydrochloric acid leaching. Hydrometallurgy 2017, 169, 26–30. [Google Scholar] [CrossRef]
- Yoo, K.; Lee, K.; Jha, M.K.; Lee, J.; Cho, K. Preparation of nano-sized tin oxide powder from waste Pb-free solder by direct nitric acid leaching. J. Nanosci. Nanotechnol. 2016, 16, 11238–11241. [Google Scholar] [CrossRef]
- Lee, S.; Yoo, K.; Jha, M.K.; Lee, J. Separation of Sn from waste Pb-free Sn-Ag-Cu solder in hydrochloric acid solution with ferric chloride. Hydrometallurgy 2015, 157, 184–187. [Google Scholar] [CrossRef]
Publisher’s Note: MDPI stays neutral with regard to jurisdictional claims in published maps and institutional affiliations. |
© 2022 by the authors. Licensee MDPI, Basel, Switzerland. This article is an open access article distributed under the terms and conditions of the Creative Commons Attribution (CC BY) license (https://creativecommons.org/licenses/by/4.0/).










