Carbothermic Reduction Roasting of Cathode Active Materials Using Activated Carbon and Graphite to Enhance the Sulfuric-Acid-Leaching Efficiency of Nickel and Cobalt
Abstract
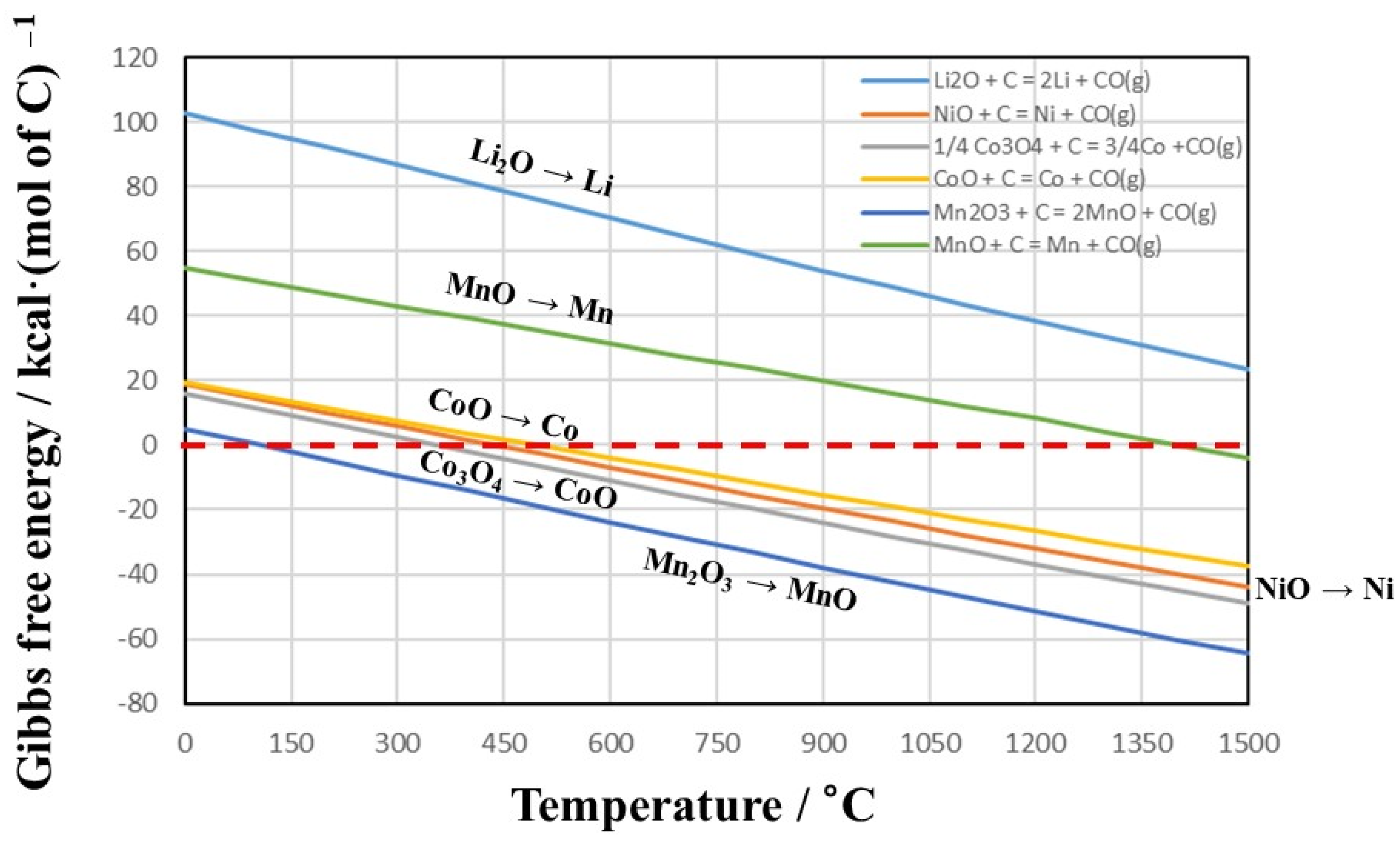
:1. Introduction
2. Materials and Methods
3. Results and Discussion
4. Conclusions
Author Contributions
Funding
Data Availability Statement
Conflicts of Interest
References
- Kim, J.S.; Jun, Y.S.; Jun, J.H.; Cho, J.Y. Transition from Linear Economy to Circular Economy. Resour. Recycl. 2021, 30, 3–17. [Google Scholar] [CrossRef]
- Jung, Y.J.; Park, S.C.; Kim, Y.H.; Yoo, B.Y.; Lee, M.S.; Son, S.H. A Study on Optimization of Nitric Acid Leaching and Roasting Process for Selective Lithium Leaching of Spent Batteries Cell Powder. Resour. Recycl. 2021, 30, 43–52. [Google Scholar] [CrossRef]
- Nguyen, T.T.H.; Tran, T.T.; Lee, M.S. A Modified Process for the Separation of Fe(III) and Cu(II) from the Sulfuric Acid Leaching Solution of Metallic Alloys of Reduction Smelted Spent Lithium-ion Batteries. Resour. Recycl. 2022, 31, 12–20. [Google Scholar] [CrossRef]
- Moon, H.S.; Song, S.J.; Tran, T.T.; Lee, M.S. Separation of Co(II), Ni(II), and Cu(II) from Sulfuric Acid Solution by Solvent Extraction. Resour. Recycl. 2022, 31, 21–28. [Google Scholar] [CrossRef]
- European Parliamentary Research Service. New EU Regulatory Framework for Batteries. Available online: https://www.europarl.europa.eu/RegData/etudes/BRIE/2021/689337/EPRS_BRI(2021)689337_EN.pdf (accessed on 6 March 2022).
- Nitta, N.; Wu, F.; Lee, J.T.; Yushin, G. Li-ion battery materials: Present and future. Mater. Today 2015, 18, 252–264. [Google Scholar] [CrossRef]
- Kim, U.H.; Park, J.H.; Aishova, A.; Ribas, R.M.; Monteiro, R.S.; Griffith, K.J.; Yoon, C.S.; Sun, Y.K. Microstructure Engineered Ni-Rich Layered Cathode for Electric Vehicle Batteries. Adv. Energy Mater. 2021, 11, 2100884. [Google Scholar] [CrossRef]
- Kang, J.; Senanayake, G.; Sohn, J.; Shin, S.M. Recovery of cobalt sulfate from spent lithium ion batteries by reductive leaching and solvent extraction with Cyanex 272. Hydrometallurgy 2010, 100, 168–171. [Google Scholar] [CrossRef]
- Joo, S.H.; Shin, D.J.; Oh, C.; Wang, J.P.; Senanayake, G.; Shin, S.M. Selective extraction and separation of nickel from cobalt, manganese and lithium in pre-treated leach liquors of ternary cathode material of spent lithium-ion batteries using synergism caused by Versatic 10 acid and LIX 84-I. Hydrometallurgy 2016, 159, 65–74. [Google Scholar] [CrossRef]
- Jamil, S.; Yousaf, A.B.; Yoon, S.H.; Han, D.S.; Yang, L.; Kasak, P.; Wang, X. Dual cationic modified high Ni-low co layered oxide cathode with a heteroepitaxial interface for high energy-density lithium-ion batteries. Chem. Eng. J. 2021, 416, 129118. [Google Scholar] [CrossRef]
- Ryu, H.H.; Sun, H.H.; Myung, S.T.; Yoon, C.S.; Sun, Y.K. Reducing cobalt from lithium-ion batteries for the electric vehicle era. Energy Environ. Sci. 2021, 14, 844–852. [Google Scholar] [CrossRef]
- Ruismäki, R.; Rinne, T.; Dańczak, A.; Taskinen, P.; Serna-Guerrero, R.; Jokilaakso, A. Integrating flotation and pyrometallurgy for recovering graphite and valuable metals from battery scrap. Metals 2020, 10, 680. [Google Scholar] [CrossRef]
- Saneie, R.; Abdollahi, H.; Ghassa, S.; Azizi, D.; Chehreh Chelgani, S. Recovery of copper and aluminum from spent lithium-ion batteries by froth flotation: A sustainable approach. J. Sustain. Metall. 2022, 8, 386–397. [Google Scholar] [CrossRef]
- She, X.; Zhu, K.; Wang, J.; Xue, Q. Product control and a study of the structural change process during the recycling of lithium-ion batteries based on the carbothermic reduction method. J. Chem. Res. 2022, 46, 17475198211066533. [Google Scholar] [CrossRef]
- Lombardo, G.; Ebin, B.; St. Foreman, M.R.J.; Steenari, B.M.; Petranikova, M. Chemical transformations in Li-ion battery electrode materials by carbothermic reduction. ACS Sustain. Chem. Eng. 2019, 7, 13668–13679. [Google Scholar] [CrossRef]
- Park, S.; Jung, S.; Kwon, D.; Beak, M.; Kwon, E.E.; Kwon, K. Carbothermic reduction of spent Lithium-Ion batteries using CO2 as reaction medium. Chem. Eng. J. 2022, 435, 135165. [Google Scholar] [CrossRef]
- Yue, Y.; Wei, S.; Yongjie, B.; Chenyang, Z.; Shaole, S.; Yuehua, H. Recovering valuable metals from spent lithium ion battery via a combination of reduction thermal treatment and facile acid leaching. ACS Sustain. Chem. Eng. 2018, 6, 10445–10453. [Google Scholar] [CrossRef]
- Liu, P.; Xiao, L.; Chen, Y.; Tang, Y.; Wu, J.; Chen, H. Recovering valuable metals from LiNixCoyMn1−x−yO2 cathode materials of spent lithium ion batteries via a combination of reduction roasting and stepwise leaching. J. Alloys Compd. 2019, 783, 743–752. [Google Scholar] [CrossRef]
- Zhang, Y.; Wang, W.; Fang, Q.; Xu, S. Improved recovery of valuable metals from spent lithium-ion batteries by efficient reduction roasting and facile acid leaching. Waste Manag. 2020, 102, 847–855. [Google Scholar] [CrossRef] [PubMed]
- Ma, Y.; Tang, J.; Wanaldi, R.; Zhou, X.; Wang, H.; Zhou, C.; Yang, J. A promising selective recovery process of valuable metals from spent lithium ion batteries via reduction roasting and ammonia leaching. J. Hazard. Mater. 2021, 402, 123491. [Google Scholar] [CrossRef]
- Lei, S.; Zhang, Y.; Song, S.; Xu, R.; Sun, W.; Xu, S.; Yang, Y. Strengthening valuable metal recovery from spent lithium-ion batteries by environmentally friendly reductive thermal treatment and electrochemical leaching. ACS Sustain. Chem. Eng. 2021, 9, 7053–7062. [Google Scholar] [CrossRef]
- Yoo, K.; Park, Y.; Choi, S.; Park, I. Improvement of Copper Metal Leaching in Sulfuric Acid Solution by Simultaneous Use of Oxygen and Cupric Ions. Metals 2020, 10, 721. [Google Scholar] [CrossRef]
- Park, Y.; Eom, Y.; Yoo, K.; Jha, M.K. Leaching of Copper from Waste-Printed Circuit Boards (PCBs) in Sulfate Medium Using Cupric Ion and Oxygen. Metals 2021, 11, 1369. [Google Scholar] [CrossRef]
- Park, I.; Yoo, K.; Alorro, R.D.; Kim, M.S.; Kim, S.K. Leaching of copper from cuprous oxide in aerated sulfuric acid. Mater. Trans. 2017, 58, 1500–1504. [Google Scholar] [CrossRef]
- Jung, M.; Yoo, K.; Alorro, R.D. Dismantling of electric and electronic components from waste printed circuit boards by hydrochloric acid leaching with stannic ions. Mater. Trans. 2017, 58, 1076–1080. [Google Scholar] [CrossRef]
- Moon, G.; Yoo, K. Separation of Cu, Sn, Pb from photovoltaic ribbon by hydrochloric acid leaching with stannic ion followed by solvent extraction. Hydrometallurgy 2017, 171, 123–127. [Google Scholar] [CrossRef]
- Jeon, S.; Yoo, K.; Alorro, R.D. Separation of Sn, Bi, Cu from Pb-free solder paste by ammonia leaching followed by hydrochloric acid leaching. Hydrometallurgy 2017, 169, 26–30. [Google Scholar] [CrossRef]
- Yoo, K.; Lee, K.; Jha, M.K.; Lee, J.; Cho, K. Preparation of nano-sized tin oxide powder from waste Pb-free solder by direct nitric acid leaching. J. Nanosci. Nanotechnol. 2016, 16, 11238–11241. [Google Scholar] [CrossRef]
- Lee, S.; Yoo, K.; Jha, M.K.; Lee, J. Separation of Sn from waste Pb-free Sn-Ag-Cu solder in hydrochloric acid solution with ferric chloride. Hydrometallurgy 2015, 157, 184–187. [Google Scholar] [CrossRef]











| Li | Ni | Co | Mn | Others | |
|---|---|---|---|---|---|
| Virgin material | 9.4 | 54.5 | 19.4 | 16.6 | - |
| Waste material | 9.2 | 54.3 | 19.1 | 17.4 | - |
| Black powder 1 | 9.6 | 44.7 | 23.2 | 21.4 | 1.1 2 |
Publisher’s Note: MDPI stays neutral with regard to jurisdictional claims in published maps and institutional affiliations. |
© 2022 by the authors. Licensee MDPI, Basel, Switzerland. This article is an open access article distributed under the terms and conditions of the Creative Commons Attribution (CC BY) license (https://creativecommons.org/licenses/by/4.0/).
Share and Cite
Ahn, Y.; Koo, W.; Yoo, K.; Alorro, R.D. Carbothermic Reduction Roasting of Cathode Active Materials Using Activated Carbon and Graphite to Enhance the Sulfuric-Acid-Leaching Efficiency of Nickel and Cobalt. Minerals 2022, 12, 1021. https://doi.org/10.3390/min12081021
Ahn Y, Koo W, Yoo K, Alorro RD. Carbothermic Reduction Roasting of Cathode Active Materials Using Activated Carbon and Graphite to Enhance the Sulfuric-Acid-Leaching Efficiency of Nickel and Cobalt. Minerals. 2022; 12(8):1021. https://doi.org/10.3390/min12081021
Chicago/Turabian StyleAhn, Youngjin, Wonbeom Koo, Kyoungkeun Yoo, and Richard Diaz Alorro. 2022. "Carbothermic Reduction Roasting of Cathode Active Materials Using Activated Carbon and Graphite to Enhance the Sulfuric-Acid-Leaching Efficiency of Nickel and Cobalt" Minerals 12, no. 8: 1021. https://doi.org/10.3390/min12081021
APA StyleAhn, Y., Koo, W., Yoo, K., & Alorro, R. D. (2022). Carbothermic Reduction Roasting of Cathode Active Materials Using Activated Carbon and Graphite to Enhance the Sulfuric-Acid-Leaching Efficiency of Nickel and Cobalt. Minerals, 12(8), 1021. https://doi.org/10.3390/min12081021

