A Short Review of the Effect of Iron Ore Selection on Mineral Phases of Iron Ore Sinter
Abstract
1. Introduction
2. Mineralogical Analysis of Iron Ores
3. Phase Analysis of Iron Ore Sinter
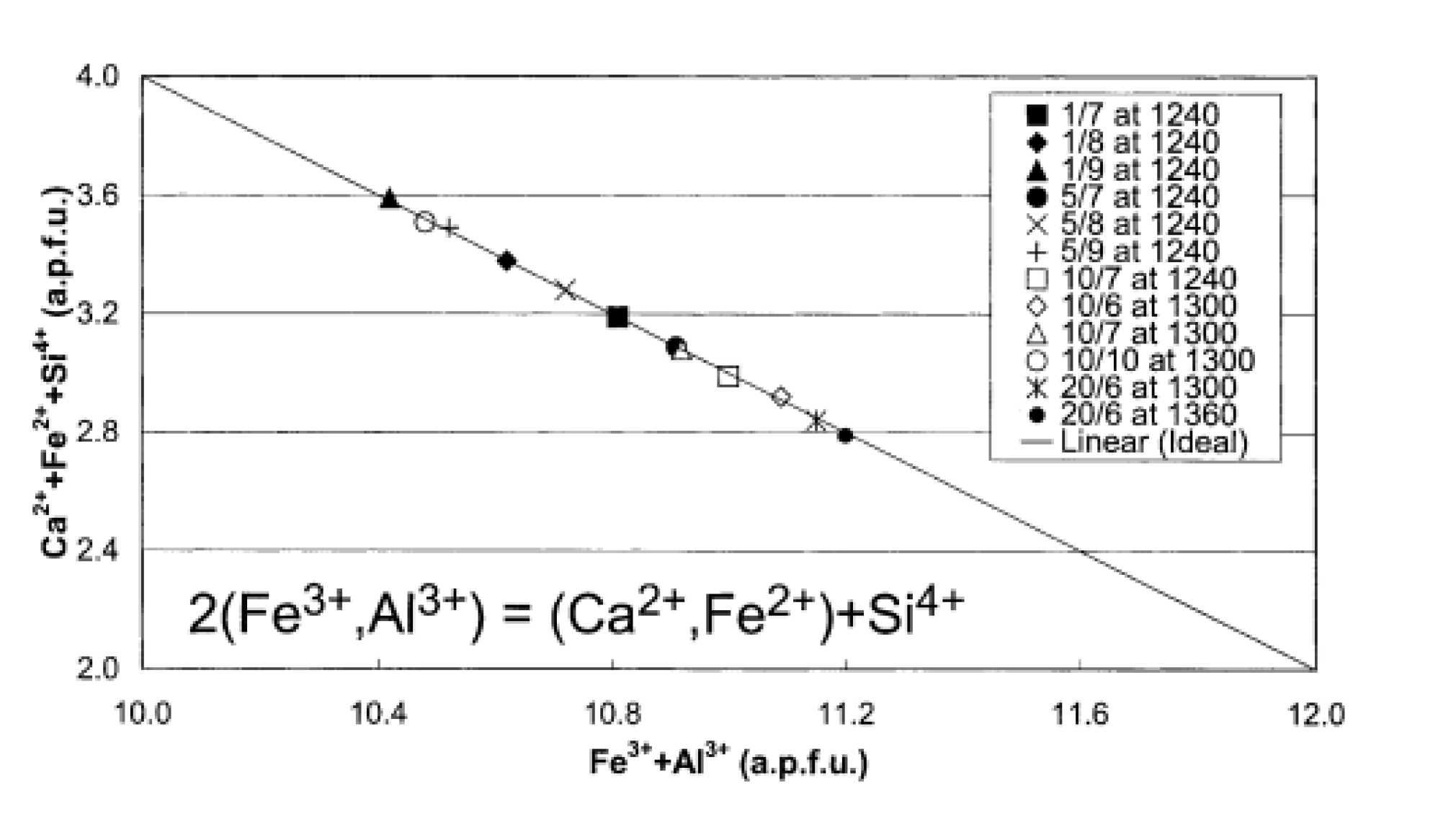
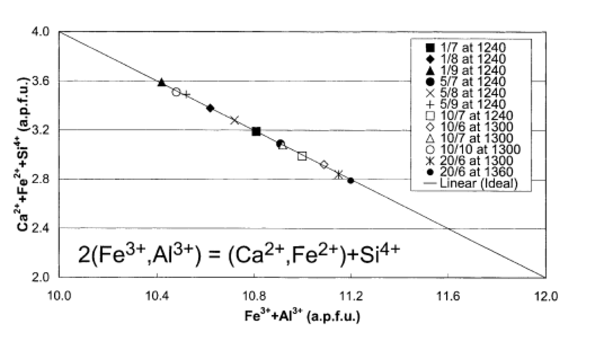
4. Chemical Composition of SFCA
5. Crystalline Structure Analysis of SFCA
6. Conclusions
Author Contributions
Funding
Data Availability Statement
Acknowledgments
Conflicts of Interest
References
- USGS. Iron Ore Statistics and Information. Available online: https://pubs.usgs.gov/periodicals/mcs2021/mcs2021-iron-ore.pdf (accessed on 24 December 2021).
- Wakelin, D.H. The Making, Shaping and Treating of Steel: Ironmaking Volume; AISE Steel Foundation: Pittsburgh, PA, USA, 1999. [Google Scholar]
- Eisele, T.C.; Kawatra, S.K. A review of binders in iron ore pelletization. Miner. Process. Extr. Met. Rev. 2003, 24, 1–90. [Google Scholar] [CrossRef]
- Lu, L.; Ishiyama, O. 2-Iron ore sintering. In Iron Ore; Lu, L., Ed.; Woodhead Publishing: Southton, UK, 2015; pp. 45–84. [Google Scholar]
- Mežibrický, R.; Fröhlichová, M.; Findorák, R.; Goettgens, V.S. Ore Assimilation and Secondary Phases by Sintering of Rich and High-Gangue Iron Ores. Minerals 2019, 9, 128. [Google Scholar] [CrossRef]
- Heikkinen, E.-P.; Iljana, M.; Fabritius, T. Review on the Phase Equilibria in Iron Ore Sinters. ISIJ Int. 2020, 60, 2633–2648. [Google Scholar] [CrossRef]
- Makkonen, H.T.; Heino, J.; Laitila, L.; Hiltunen, A.; Pöyliö, E.; Härkki, J. Optimisation of steel plant recycling in Finland: Dusts, scales and sludge. Resour. Conserv. Recycl. 2002, 35, 77–84. [Google Scholar] [CrossRef]
- Hleis, D.; Fernández-Olmo, I.; Ledoux, F.; Kfoury, A.; Courcot, L.; Desmonts, T.; Courcot, D. Chemical profile identification of fugitive and confined particle emissions from an integrated iron and steelmaking plant. J. Hazard. Mater. 2013, 250–251, 246–255. [Google Scholar] [CrossRef]
- Lobato, N.C.C.; Villegas, E.A.; Mansur, M.B. Management of solid wastes from steelmaking and galvanizing processes: A brief review. Resour. Conserv. Recycl. 2015, 102, 49–57. [Google Scholar] [CrossRef]
- Lanzerstorfer, C.; Bamberger-Strassmayr, B.; Pilz, K. Recycling of Blast Furnace Dust in the Iron Ore Sintering Process: Investigation of Coke Breeze Substitution and the Influence on Off-gas Emissions. ISIJ Int. 2015, 55, 758–764. [Google Scholar] [CrossRef]
- Lanzerstorfer, C. Electric arc furnace (EAF) dust: Application of air classification for improved zinc enrichment in in-plant recycling. J. Clean. Prod. 2018, 174, 1–6. [Google Scholar] [CrossRef]
- Lv, W.; Gan, M.; Fan, X.; Ji, Z.; Chen, X.; Yao, J.; Jiang, T. Recycling Utilization of Zinc-Bearing Metallurgical Dust by Reductive Sintering: Reaction Behavior of Zinc Oxide. JOM 2019, 71, 3173–3180. [Google Scholar] [CrossRef]
- Jeon, J.-W.; Jung, S.-M.; Sasaki, Y. Formation of Calcium Ferrites under Controlled Oxygen Potentials at 1273 K. ISIJ Int. 2010, 50, 1064–1070. [Google Scholar] [CrossRef]
- Webster, N.; Pownceby, M.; Madsen, I.C.; Kimpton, J.A. Effect of Oxygen Partial Pressure on the Formation Mechanisms of Complex Ca-rich Ferrites. ISIJ Int. 2013, 53, 774–781. [Google Scholar] [CrossRef]
- Chen, C.; Lu, L.; Jiao, K. Thermodynamic Modelling of Iron Ore Sintering Reactions. Minerals 2019, 9, 361. [Google Scholar] [CrossRef]
- Honeyands, T.; Manuel, J.; Matthews, L.; O’Dea, D.; Pinson, D.; Leedham, J.; Monaghan, B.; Li, H.; Chen, J.; Hayes, P. Characterising the mineralogy of iron ore sinters—State-of-the-art in Australia. Proc. Iron Ore 2017, 49–60. [Google Scholar]
- Hamilton, J.G.; Hoskins, B.; Mumme, W.; Borbidge, W.; Montague, M. The crystal structure and crystal chemistry of Ca2. 3Mg0. 8Al1. 5Si1. 1Fe8. 3O20 (SFCA): Solid solution limits and selected phase relationships of SFCA in the SiO2-FeO3-CaO (-Al2O3) system. Neues Jahrbuch für Mineralogie. Abhandlungen 1989, 161, 1–26. [Google Scholar]
- Webster, N.A.S.; Pownceby, M.; Madsen, I.C.; Kimpton, J.A. Silico-ferrite of Calcium and Aluminum (SFCA) Iron Ore Sinter Bonding Phases: New Insights into Their Formation During Heating and Cooling. Met. Mater. Trans. A 2012, 43, 1344–1357. [Google Scholar] [CrossRef]
- Webster, N.; Pownceby, M.; Madsen, I.C. In situ X-ray Diffraction Investigation of the Formation Mechanisms of Silico-Ferrite of Calcium and Aluminium-I-type (SFCA-I-type) Complex Calcium Ferrites. ISIJ Int. 2013, 53, 1334–1340. [Google Scholar] [CrossRef]
- Webster, N.A.S.; Pownceby, M.; Madsen, I.C.; Studer, A.J.; Manuel, J.R.; Kimpton, J.A. Fundamentals of Silico-Ferrite of Calcium and Aluminum (SFCA) and SFCA-I Iron Ore Sinter Bonding Phase Formation: Effects of CaO:SiO2 Ratio. Met. Mater. Trans. A 2014, 45, 2097–2105. [Google Scholar] [CrossRef]
- Webster, N.A.S.; O’Dea, D.P.; Ellis, B.G.; Pownceby, M.I. Effects of Gibbsite, Kaolinite and Al-rich Goethite as Alumina Sources on Silico-Ferrite of Calcium and Aluminium (SFCA) and SFCA-I Iron Ore Sinter Bonding Phase Formation. ISIJ Int. 2017, 57, 41–47. [Google Scholar] [CrossRef]
- Webster, N.A.S.; Pownceby, M.; Pattel, R.; Manuel, J.R.; Kimpton, J.A. Fundamentals of Silico-Ferrite of Calcium and Aluminium (SFCA) Iron Ore Sinter Bonding Phase Formation: Effects of Basicity and Magnesium on Crystallisation during Cooling. ISIJ Int. 2019, 59, 263–267. [Google Scholar] [CrossRef]
- Webster, N.A.S.; Pownceby, M.; Pattel, R.; Manuel, J.R.; Kimpton, J.A. Fundamentals of Silico-Ferrite of Calcium and Aluminium (SFCA) Iron Ore Sinter Bonding Phase Formation: Effects of Titanium on Crystallisation during Cooling. ISIJ Int. 2019, 59, 1007–1010. [Google Scholar] [CrossRef]
- Biswas, A. Principles of Blast Furnace Iron Making; Cootha: Calcutta, India, 2005. [Google Scholar]
- Cores, A.; Babich, A.; Muniz, M.; Isidro, A.; Ferreira, S.; Martin, R. Iron ores, fluxes and tuyere injected coals used in the blast furnace. Ironmak. Steelmak. 2007, 34, 231–240. [Google Scholar] [CrossRef]
- Muwanguzi, A.J.B.; Karasev, A.V.; Byaruhanga, J.K.; Jönsson, P.G. Characterization of Chemical Composition and Microstructure of Natural Iron Ore from Muko Deposits. ISRN Mater. Sci. 2012, 2012, 1–9. [Google Scholar] [CrossRef]
- Song, S.-X.; Campos-Toro, E.F.; Zhang, Y.-M.; Lopez-Valdivieso, A. Morphological and mineralogical characterizations of oolitic iron ore in the Exi region, China. Int. J. Miner. Met. Mater. 2013, 20, 113–118. [Google Scholar] [CrossRef]
- Geerdes, M.; Toxopeus, H.; van der Vliet, C.; Chaigneau, R.; Vander, T.; Wise, J. Modern Blast Furnace Ironmaking: An Introduction; IOS Press: Amsterdam, The Netherlands, 2009. [Google Scholar]
- Liao, J.L.; Li, J.; Wang, X.D.; Zhang, Z.T. Influence of TiO2 and basicity on viscosity of Ti bearing slag. Ironmak. Steelmak. 2012, 39, 133–139. [Google Scholar] [CrossRef]
- Decker, B.F.; Kasper, J.S. The structure of calcium ferrite. Acta Crystallogr. 1957, 10, 332–337. [Google Scholar] [CrossRef]
- Millon, E.; Malaman, B.; Bonazebi, A.; Brice, J.; Gerardin, R.; Evrard, O. Structure cristalline du ferrite hemicalcique CaFe4O7. Mater. Res. Bull. 1986, 21, 985–994. [Google Scholar] [CrossRef]
- Mumme, W.G.; Clout, J.M.F.; Gable, R.W. The crystal structure of SFCA-I, Ca3.18 Fe3+14.66Al1.34 Fe2+0.82O28, a homologue of the aenigmatite structure type, and new crystal structure refinements of ß-CFF, Ca2.99Fe3+14.30Fe2+0.55O25 and Mg-free SFCA, Ca2.45Fe3+9.04 Al1.74Fe2+0.16Si0.6O20. Neues Jahrb. Für Mineral. Abh. 1998, 173, 93–117. [Google Scholar] [CrossRef]
- Mumme, W.G. The crystal structure of SFCA-II, Ca5. 1Al9. 3Fe3+ 18.7 Fe2+ 0.9 O48 a new homologue of the aenigmatite structure-type, and structure refinement of SFCA-type, Ca2Al5Fe7O20. Implications for the nature of the “ternary-phase solid-solution” previously reported in the CaO-Al2O3-iron oxide system. Neues Jahrb. Fur Mineral. Abh. 2003, 178, 307–335. [Google Scholar]
- Liao, F.; Guo, X.-M. The Effects of Al2O3 and SiO2 on the Formation Process of Silico-Ferrite of Calcium and Aluminum (SFCA) by Solid-State Reactions. Minerals 2019, 9, 101. [Google Scholar] [CrossRef]
- Fernández-González, D.; Ruiz-Bustinza, I.; Mochón, J.; González-Gasca, C.; Verdeja, L.F. Iron Ore Sintering: Quality Indices. Miner. Process. Extr. Met. Rev. 2017, 38, 254–264. [Google Scholar] [CrossRef]
- Nicol, S.; Chen, J.; Pownceby, M.; Webster, N.A.S. A Review of the Chemistry, Structure and Formation Conditions of Silico-Ferrite of Calcium and Aluminum (‘SFCA’) Phases. ISIJ Int. 2018, 58, 2157–2172. [Google Scholar] [CrossRef]
- Park, T.J.; Choi, J.S.; Min, D.J. In Situ Observation of Crystallization in CaO-Fe2O3 System with Different Cooling Rates and Chemical Compositions Using Confocal Laser Scanning Microscope. Metall. Mater. Trans. B 2018, 49, 2174–2181. [Google Scholar] [CrossRef]
- Park, T.J.; Choi, J.S.; Min, D.J. Investigation of the Effects of Al2O3 Content and Cooling Rate on Crystallization in Fe2O3–CaO–Al2O3 System Using In Situ Confocal Laser Scanning Microscopy. Steel Res. Int. 2019, 90, 1900001. [Google Scholar] [CrossRef]
- Harvey, T.; Pownceby, M.I.; Chen, J.; Webster, N.A.S.; Nguyen, T.B.T.; Matthews, L.; O’Dea, D.; Honeyands, T. Effect of Temperature, Time, and Cooling Rate on the Mineralogy, Morphology, and Reducibility of Iron Ore Sinter Analogues. JOM 2021, 73, 345–355. [Google Scholar] [CrossRef]
- Taguchi, N.; Otomo, T.; Tasaka, K. Reduction process of CaO-Fe2O3 binary calcium ferrite and resultant expansion. Tetsu-to-Hagané 1983, 69, 1409–1416. [Google Scholar] [CrossRef][Green Version]
- Maeda, T.; Ono, Y. Kinetics of Reduction Step of Wustite to Iron in Gaseous Reduction of Quaternary Calcium Ferrite. Tetsu-to-Hagane 1991, 77, 1569–1576. [Google Scholar] [CrossRef][Green Version]
- Matsumura, M.; Hoshi, M.; Kawaguchi, T. Improvement of Sinter Softening Property and Reducibility by Controlling Chemical Compositions. ISIJ Int. 2005, 45, 594–602. [Google Scholar] [CrossRef]
- Murakami, T.; Kodaira, T.; Kasai, E. Effect of the Reduction of Calcium Ferrite on Disintegration Behavior of Sinter under High Hydrogen Atmosphere. ISIJ Int. 2015, 55, 1197–1205. [Google Scholar] [CrossRef]
- Pownceby, M.I.; Webster, N.; Manuel, J.R.; Ware, N. The influence of ore composition on sinter phase mineralogy and strength. Miner. Process. Extr. Met. 2016, 125, 140–148. [Google Scholar] [CrossRef]
- Cai, B.; Watanabe, T.; Kamijo, C.; Susa, M.; Hayashi, M. Comparison between Reducibilities of Columnar Silico-ferrite of Calcium and Aluminum (SFCA) Covered with Slag and Acicular SFCA with Fine Pores. ISIJ Int. 2018, 58, 642–651. [Google Scholar] [CrossRef]
- Ji, Z.; Zhao, Y.; Gan, M.; Fan, X.; Chen, X.; Hu, L. Microstructure and Minerals Evolution of Iron Ore Sinter: Influence of SiO2 and Al2O3. Minerals 2019, 9, 449. [Google Scholar] [CrossRef]
- Kato, K.; Konishi, H.; Ono, H.; Fujimoto, S.; Koizumi, Y. Influence of CaO/SiO2 on the Reduction Behavior of Sintered Fe2O3–CaO–SiO2–Al2O3 Tablets at the Softening and Melting Temperatures. ISIJ Int. 2020, 60, 1479–1486. [Google Scholar] [CrossRef]
- Webster, N.A.S.; Pownceby, M.I.; Manuel, J.R.; Pattel, R.; Kimpton, J.A. Fundamentals of Silico-Ferrite of Calcium and Aluminum (SFCA) and SFCA-I Iron Ore Sinter Bonding Phase Formation: Effects of MgO on Phase Formation During Heating. JOM 2021, 73, 299–305. [Google Scholar] [CrossRef]
- Zhu, D.; Xue, Y.; Pan, J.; Yang, C.; Guo, Z.; Tian, H.; Wang, D.; Shi, Y. An investigation into aluminum occurrence impact on SFCA formation and sinter matrix strength. J. Mater. Res. Technol. 2020, 9, 10223–10234. [Google Scholar] [CrossRef]
- Park, J.; Rajavaram, R.; Suh, I.-K.; Jeon, J.; Son, S.; Lee, J. Effects of Basicity and Al2O3 Content on the Chemistry of Phases in Iron Ore Sinter Containing ZnO. Met. Mater. Trans. A 2020, 51, 3016–3027. [Google Scholar] [CrossRef]
- Greco, A.; Jeulin, D.; Serra, J. The Use Of The Texture Analyser To Study Sinter Structure: Application To The Morphology Of Calcium Ferrites Encountered In Basic Sinters Of Rich Iron Ores. J. Microsc. 1979, 116, 199–211. [Google Scholar] [CrossRef]
- Wang, Z.; Pinson, D.; Chew, S.; Monaghan, B.; Pownceby, M.; Webster, N.; Rogers, H.; Zhang, G. Effects of Sintering Materials and Gas Conditions on Formation of Silico-Ferrites of Calcium and Aluminium during Iron Ore Sintering. ISIJ Int. 2016, 56, 1138–1147. [Google Scholar] [CrossRef]
- Zhu, D.; Chou, J.; Shi, B.; Pan, J. Influence of MgO on Low Temperature Reduction and Mineralogical Changes of Sinter in Simulated COREX Shaft Furnace Reducing Conditions. Minerals 2019, 9, 272. [Google Scholar] [CrossRef]
- Honeyands, T.; Manuel, J.; Matthews, L.; O’Dea, D.; Pinson, D.; Leedham, J.; Zhang, G.; Li, H.; Monaghan, B.; Liu, X.; et al. Comparison of the Mineralogy of Iron Ore Sinters Using a Range of Techniques. Minerals 2019, 9, 333. [Google Scholar] [CrossRef]
- Higuchi, K.; Naito, M.; Nakano, M.; Takamoto, Y. Optimization of Chemical Composition and Microstructure of Iron Ore Sinter for Low-temperature Drip of Molten Iron with High Permeability. ISIJ Int. 2004, 44, 2057–2066. [Google Scholar] [CrossRef]
- Takayama, T.; Murao, R.; Kimura, M. Quantitative Analysis of Mineral Phases in Iron-ore Sinter by the Rietveld Method of X-ray Diffraction Patterns. ISIJ Int. 2018, 58, 1069–1078. [Google Scholar] [CrossRef]
- Hancart, J.; Leroy, V.; Bragard, A. A study of the phases present in blast furnace sinter. Some considerations on the mechanism of their formation. CNRM Metall. Rep. 1967, 11, 3–7. [Google Scholar]
- Inoue, K.; Ikeda, T. The Solid Solution State and the Crystal Structure of Calcium Ferrite Formed in Lime-fluxed Iron Ores. Tetsu-to-Hagane 1982, 68, 2190–2199. [Google Scholar] [CrossRef]
- Dawson, P.; Ostwald, J.; Hayes, K. Calcium ferrites in the new low-silica sintering technology. BHP Tech. Bull. 1983, 27, 47–51. [Google Scholar]
- Pownceby, M.I.; Patrick, T.R. Stability of SFC (silico-ferrite of calcium) solid solution limits, thermal stability and selected phase relationships within the Fe2O3-CaO-SiO2 (FCS) system. Eur. J. Mineral. 2000, 12, 455–468. [Google Scholar] [CrossRef]
- Koryttseva, A.; Webster, N.A.S.; Pownceby, M.; Navrotsky, A. Thermodynamic stability of SFCA (silico-ferrite of calcium and aluminum) and SFCA-I phases. J. Am. Ceram. Soc. 2017, 100, 3646–3651. [Google Scholar] [CrossRef]
- Patrick, T.R.C.; Pownceby, M.I. Stability of silico-ferrite of calcium and aluminum (SFCA) in air-solid solution limits between 1240 °C and 1390 °C and phase relationships within the Fe2O3-CaO-Al2O3-SiO2 (FCAS) system. Met. Mater. Trans. A 2002, 33, 79–89. [Google Scholar] [CrossRef]
- Murao, R.; Harano, T.; Kimura, M.; Jung, I.-H. Thermodynamic Modeling of the SFCA Phase Ca2(Fe, Ca)6(Fe, Al, Si)6O20. ISIJ Int. 2018, 58, 259–266. [Google Scholar] [CrossRef]
- Mumme, W.G. A note on the relationship of Ca2, 3Mg0, 8Al1, 5Si1, 1Fe8, 3O20 (SFCA) with aenigmatie group minerals and sapphirine. Neues Jahrb. Fur Mineral. Abh. 1988, 1988, 359–366. [Google Scholar]
- Sugiyama, K.; Monkawa, A.; Sugiyama, T. Crystal Structure of the SFCAM Phase Ca2(Ca, Fe, Mg, Al)6(Fe, Al, Si)6O20. ISIJ Int. 2005, 45, 560–568. [Google Scholar] [CrossRef]











| Mine Production (Thousand Metric Tons) | Reserves (Million Metric Tons) | |
|---|---|---|
| Australia | 900,000 (1) * | 50,000 (1) |
| Brazil | 400,000 (2) | 34,000 (2) |
| China | 340,000(3) | 20,000 (4) |
| India | 230,000 (4) | 5500 (6) |
| Russia | 95,000 (5) | 25,000 (3) |
| South Africa | 71,000 (6) | 1000 (8) |
| Canada | 57,000 (7) | 6000 (5) |
| United state | 37,000 (8) | 3000 (7) |
| World total | 2,400,000 | 180,000 |
| Mine | Nation | Chemical Composition (Mass %) | ||||||
|---|---|---|---|---|---|---|---|---|
| Total Fe | SiO2 | Al2O3 | S | P | TiO2 | Ref. | ||
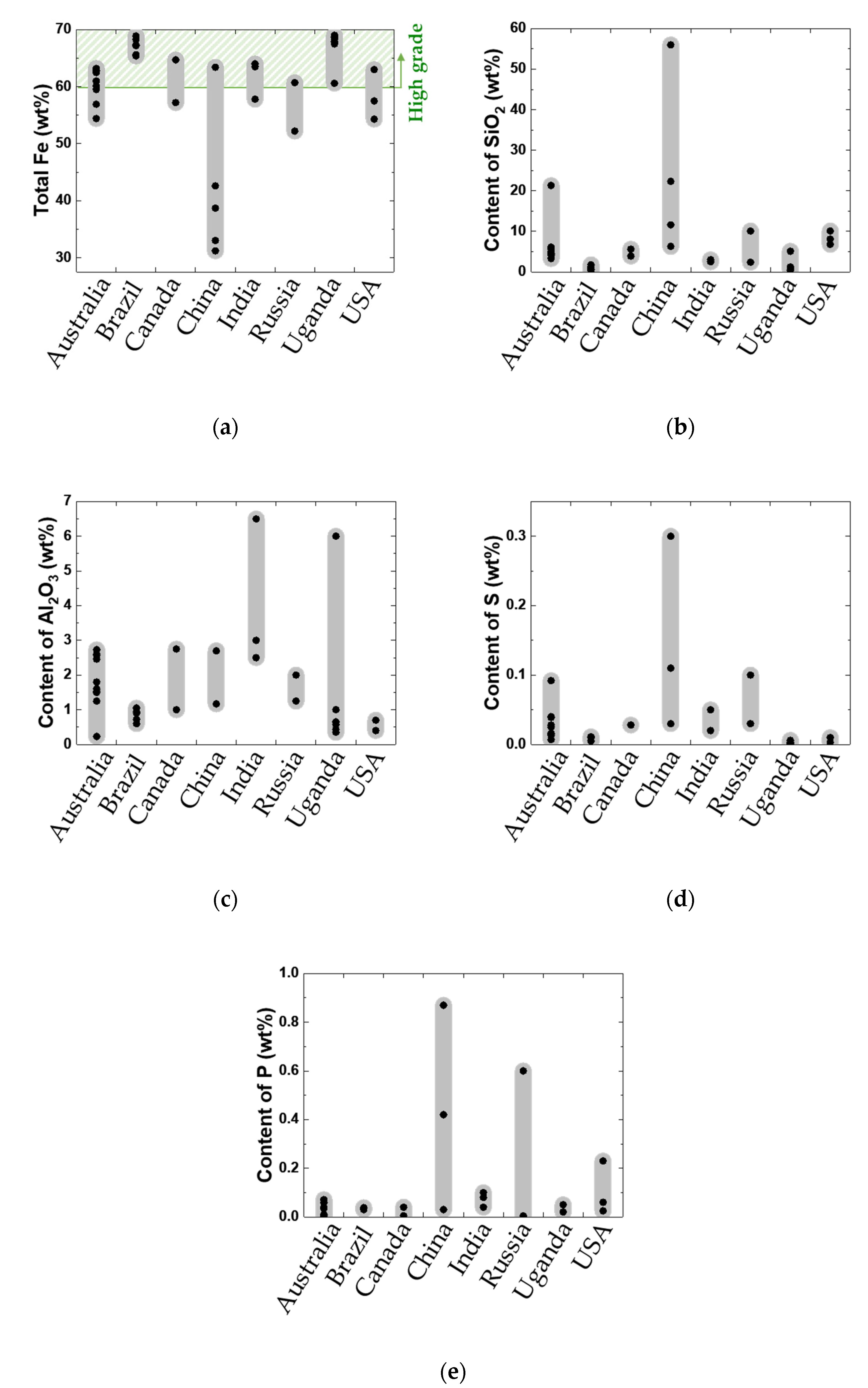
| Goldsworthy | Australia | 63.2 | 4.9 | 1.6 | - | 0.035 | - | [24] |
| Goldsworthy | Australia | 62.8 | 6.1 | 1.5 | 0.028 | 0.004 | 0.1 | [2] |
| Hammersley | Australia | 62.7 | 4.21 | 2.57 | 0.015 | 0.071 | 0.13 | [2] |
| Hammersley | Australia | 62.7 | 4.2 | 2.73 | 0.016 | 0.059 | - | [25] |
| Mt. Newman | Australia | 62.5 | 5.6 | 2.6 | 0.007 | 0.069 | 0.11 | [2] |
| Marra Mamba | Australia | 61 | 3.3 | 1.8 | 0.039 | 0.069 | 0.07 | [2] |
| Mining Area C (MAC) * | Australia | 60.08 | 4.48 | 2.46 | 0.025 | - | 0.002 | Present work |
| Yandi | Australia | 59.5 | 5.03 | 1.25 | 0.013 | 0.039 | 0.05 | [2] |
| Yandi * | Australia | 56.92 | 6.06 | 1.53 | 0.092 | - | 0.095 | Present work |
| Irvine Island | Australia | 54.4 | 21.3 | 0.23 | 0.04 | 0.01 | - | [26] |
| Itabira | Brazil | 68.9 | 0.35 | 0.6 | 0.010 | 0.030 | - | [24] |
| MBR | Brazil | 68.3 | 1.3 | 0.9 | 0.005 | 0.03 | 0.04 | [2] |
| MBR | Brazil | 67.3 | 0.79 | 0.72 | 0.005 | 0.030 | - | [25] |
| Carajás | Brazil | 67.2 | 0.6 | 0.94 | 0.01 | 0.037 | 0.03 | [2] |
| Carajás * | Brazil | 65.61 | 1.77 | 0.91 | 0.011 | - | 0.088 | Present work |
| Carajás | Brazil | 65.4 | 1 | 1.05 | 0.010 | 0.038 | - | [26] |
| Robe river | Canada | 57.2 | 5.6 | 2.75 | 0.028 | 0.04 | 0.22 | [2] |
| Carol Lake | Canada | 64.7 | 3.9 | 1 | - | 0.005 | - | [24] |
| Nanfen | China | 63.4 | 6.28 | 1.17 | 0.110 | - | - | [4] |
| Exi | China | 42.6 | 22.32 | 2.7 | 0.03 | 0.87 | - | [27] |
| Guanzhuang | China | 38.7 | 11.6 | - | 0.11 | 0.42 | - | [4] |
| Panzhihua | China | 33 | - | - | - | - | 11 | [4] |
| Qidashan | China | 31.2 | 56 | - | 0.3 | <0.03 | - | [4] |
| Bailadila | India | 64 | 2.5 | 2.5 | 0.05 | 0.100 | - | [26] |
| Donimalai | India | 63.5 | 3 | 3 | 0.050 | 0.080 | - | [26] |
| Goa | India | 57.8 | 2.5 | 6.5 | 0.020 | 0.040 | - | [24] |
| Bakal | Russia | 60.7 | 2.4 | 2 | 0.030 | 0.004 | - | [24] |
| Tula | Russia | 52.2 | 10.1 | 1.25 | 0.100 | 0.600 | - | [24] |
| Nyamiyaga | Uganda | 69 | 0.62 | 0.43 | 0.001 | <0.02 | - | [26] |
| KyanyamuzInda | Uganda | 68.7 | 0.41 | 0.35 | 0.006 | 0.02 | - | [26] |
| Rushekye | Uganda | 68.4 | 0.96 | 0.58 | <0.001 | <0.02 | - | [26] |
| Kamena | Uganda | 67.9 | 0.8 | 0.65 | 0.002 | 0.02 | - | [26] |
| Butare | Uganda | 67.5 | 1.2 | 1 | <0.001 | 0.05 | - | [26] |
| Kashenyi | Uganda | 60.6 | 5.1 | 6 | 0.003 | 0.02 | - | [26] |
| Reserve Pellet | USA | 63 | 8.1 | 0.4 | 0.003 | 0.025 | - | [24] |
| Mesabi | USA | 57.5 | 10.1 | 0.7 | 0.010 | 0.060 | - | [24] |
| Minnesota | USA | 54.3 | 6.8 | 0.4 | - | 0.230 | - | [24] |
| Chemical Formula | |||
|---|---|---|---|
| Ore Minerals | Gangue Minerals | ||
| Hematite | Fe2O3 | Quartz | SiO2 |
| Magnetite | Fe3O4 | Kaolinite | Al4(Si4O10)(OH)8 |
| Goethite | FeOOH | Gibbsite | Al(OH)3 |
| Maghemite | Fe3+[Fe3+1.67[ ].33]O4 | Minnesotaite | (Mg,Fe)3Si4O10(OH)2 |
| Kenomagnetite | Fe3-x( )xO4 | Stilpnomelane | (K,NA,Ca)0.6(Mg,Fe2+,Fe3+)6Si8Al(O,OH)272-4H2O |
| Hydrohematite | Fe(2-x)/3(OH)xO3-x | Chlorite | (Fe,Al,Mg)3(Si,Al)2O5(OH)4 |
| Pyrite | FeS2 | ||
| Pyrolusite | MnO2 | ||
| Siderite | FeCO3 | ||
| Ankerite | Ca(Fe, Mg, Mn)(CO3)2 | ||
| Mine | Hematite | Goethite | Quartz |
|---|---|---|---|
| Carajás | 68.11 | 28.95 | 2.97 |
| Yandi | 20.78 | 77.52 | 1.70 |
| MAC | 33.8 | 64.1 | 2.10 |
| No. | Ref. | Chemical Composition | Mineral Phases | |||||
|---|---|---|---|---|---|---|---|---|
| T.Fe | SiO2 | Al2O3 | B(CaO/SiO2) | Hematite | Magnetite | SFCA | ||
| #1 | Higuchi et al. [55] * | 62.7 | 3.61 | 0.96 | 1.44 | 51 | 23 | 20 |
| #2 | Higuchi et al. [55] * | 57.7 | 4.93 | 1.72 | 1.83 | 28 | 20 | 46 |
| #3 | Takayama et al. [56] ** | 58.18 | 5.49 | 1.28 | 1.77 | 44.1 | 15.5 | 19.5 |
| #4 | Takayama et al. [56] ** | 56.51 | 6.75 | 1.29 | 1.62 | 37 | 18.9 | 20.7 |
| #5 | Takayama et al. [56] ** | 57.39 | 6.01 | 1.45 | 1.72 | 33 | 23 | 21.8 |
| #6 | Park et al. [50] ** | 54.6 | 6.22 | 2.2 | 2.09 | 29.9 | 7.2 | 47.4 |
| #7 | Park et al. [50] ** | 51.8 | 4.54 | 4.01 | 3.08 | 8.6 | 3.1 | 67.8 |
| #8 | Park et al. [50] ** | 54.6 | 3.88 | 2.48 | 4.02 | 2.2 | 1.5 | 79.2 |
| #9 | Park et al. [50] ** | 53.8 | 5.88 | 3.58 | 2.17 | 20.4 | 7.2 | 61.2 |
| #10 | Park et al. [50] ** | 53 | 5.86 | 5.74 | 2.19 | 6.3 | 3.6 | 83.2 |
| Single Crystal |
|---|
| a = 9.061 Å |
| b = 10.020 Å |
| c = 10.920 Å |
| α = 60.30° |
| β = 73.68° |
| γ = 65.81° |
| AtomSite | Hamilton Ca2.8Fe8.7Al1.2Si0.8O20 | Takayama et al. Ca2.3Fe10.3Al0.6Si0.8O20 | Park et al. Ca1.6Fe11.3Al0.2Si0.4Zn0.4O20 |
|---|---|---|---|
| M1 | Fe | Fe | Fe |
| M2 | Fe | Fe | Fe |
| M3 | Fe | Fe | Fe |
| M4 | Fe | Fe | Fe |
| M5 | Fe | Fe | Fe |
| M6 | Al | 0.4 Al + 0.6 Fe | Fe |
| M7 | Fe | Fe | Fe |
| M8 | Fe | Fe | Fe |
| M9 | Fe | Fe | Fe |
| M10 | 0.5 Fe | 0.5 Fe | 0.5 Fe |
| M11 | 0.5 Fe | 0.5 Fe | 0.5 Fe |
| Ca1 | 0.8 Ca + 0.2 Fe | 0.3 Ca + 0.7 Fe | Fe |
| Ca2 | Ca | Ca | Ca |
| Ca3 | Ca | Ca | Ca |
| M12 | 0.8 Si + 0.2 Al | 0.8 Si + 0.2 Al | 0.45 Si + 0.2 Al + 0.35 Zn |
Publisher’s Note: MDPI stays neutral with regard to jurisdictional claims in published maps and institutional affiliations. |
© 2021 by the authors. Licensee MDPI, Basel, Switzerland. This article is an open access article distributed under the terms and conditions of the Creative Commons Attribution (CC BY) license (https://creativecommons.org/licenses/by/4.0/).
Share and Cite
Park, J.; Kim, E.; Suh, I.-k.; Lee, J. A Short Review of the Effect of Iron Ore Selection on Mineral Phases of Iron Ore Sinter. Minerals 2022, 12, 35. https://doi.org/10.3390/min12010035
Park J, Kim E, Suh I-k, Lee J. A Short Review of the Effect of Iron Ore Selection on Mineral Phases of Iron Ore Sinter. Minerals. 2022; 12(1):35. https://doi.org/10.3390/min12010035
Chicago/Turabian StylePark, Junwoo, Eunju Kim, In-kook Suh, and Joonho Lee. 2022. "A Short Review of the Effect of Iron Ore Selection on Mineral Phases of Iron Ore Sinter" Minerals 12, no. 1: 35. https://doi.org/10.3390/min12010035
APA StylePark, J., Kim, E., Suh, I.-k., & Lee, J. (2022). A Short Review of the Effect of Iron Ore Selection on Mineral Phases of Iron Ore Sinter. Minerals, 12(1), 35. https://doi.org/10.3390/min12010035

