Recovery of Rare Earth Metals (REMs) from Nickel Metal Hydride Batteries of Electric Vehicles
Abstract
:1. Introduction
2. Experimental
2.1. Materials
2.2. Methodology
2.2.1. Leaching Procedure
2.2.2. Solvent Extraction Procedure
2.2.3. Precipitation Procedure
2.2.4. Characterization and Analysis of Samples
3. Results and Discussion
3.1. Leaching Studies
3.1.1. Effect of Acid Concentration
3.1.2. Effect of Temperature
3.1.3. Effect of Pulp Density
3.2. Separation and Purification Studies
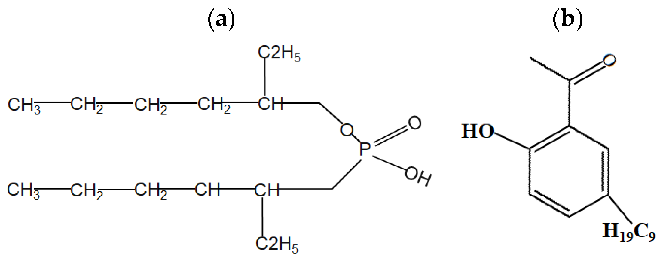
3.2.1. Solvent Extraction of Ce and Nd
3.2.2. Precipitation of La
3.2.3. Extraction of Cu, Ni and Co
4. Conclusions
- (1)
- It was found that more than 98.9% La, 98.5% Nd, 89.9% Ce, 99% Cu, 99% Ni and 95.9% Co were leached in 2 M H2SO4 at 75 °C in 60 min in the presence of 10% H2O2 (v/v).
- (2)
- Further, Nd and Ce were extracted using 10% PC 88A at equilibrium pH 1.5. A McCabe–Thiele plot showed that 99% Nd was extracted with PC 88A at eq. pH ~1.5 at O/A ratio 1/1 in two counter-current stages.
- (3)
- After the extraction of Nd and Ce, 99% La was selectively precipitated with sodium hydroxide at room temperature between pH 1.5 and 2.0, leaving Cu, Ni and Co in the raffinate.
- (4)
- Subsequently, Cu and Ni were selectively extracted using LIX 84 at eq. pH ~2.5 and ~5, respectively, leaving Co in the raffinate.
Author Contributions
Funding
Data Availability Statement
Acknowledgments
Conflicts of Interest
References
- Ahn, N.K.; Swain, B.; Shim, H.W.; Kim, D.W. Recovery of rare earth oxide from waste NiMH batteries by simple wet chemical valorization process. Metals 2019, 9, 1151. [Google Scholar] [CrossRef] [Green Version]
- Kumari, A.; Parween, R.; Chakravarty, S.; Parmar, K.; Patha, D.D.; Lee, J.C.; Jha, M.K. Novel approach to recover rare earth metals (REMs) from Indian coal bottom ash. Hydrometallurgy 2019, 187, 1–7. [Google Scholar] [CrossRef]
- Park, I.; Kanazawa, Y.; Sato, N.; Galtchandmani, P.; Jha, M.K.; Tabelin, C.B.; Jeon, S.; Ito, M.; Hiroyoshi, N. Beneficiation of Low-Grade Rare Earth Ore from Khalzan Buregtei Deposit (Mongolia) by Magnetic Separation. Minerals 2021, 11, 1432. [Google Scholar] [CrossRef]
- Cui, J.; Forssberg, E. Mechanical recycling of waste electric and electronic equipment: A review. J. Hazard Mater. 2003, 99, 243–263. [Google Scholar] [CrossRef]
- Choubey, P.K.; Singh, N.; Panda, R.; Jyothi, R.K.; Yoo, K.; Park, I.; Jha, M.K. Development of Hydrometallurgical Process for Recovery of Rare Earth Metals (Nd, Pr, and Dy) from Nd-Fe-B Magnets. Minerals 1987, 11, 1987. [Google Scholar] [CrossRef]
- Tan, Q.Y.; Li, J.H.; Zeng, X.L. Rare Earth Elements Recovery from Waste Fluorescent Lamps: A Review. Crit. Rev. Environ. Sci. Technol. 2015, 45, 749–776. [Google Scholar] [CrossRef]
- Ying, T.K.; Gao, X.P.; Hu, W.K.; Wu, F.; Noreus, D. Studies on rechargeable NiMH batteries. Int. J. Hydrogen Energy 2005, 31, 525–530. [Google Scholar] [CrossRef]
- Jung, D.Y.; Lee, B.H.; Kim, S.W. Development of battery management system for nickel-metal hydride batteries in electric vehicle applications. J. Power Sources 2002, 109, 1–10. [Google Scholar] [CrossRef]
- Zhi, H.; Ni, S.; Su, X.; Xie, W.; Zhang, H.; Sun, X. Separation and recovery of rare earth from waste nickel-metal hydride batteries by phosphate based extraction-precipitation. J. Rare Earths 2021. in Press. [Google Scholar] [CrossRef]
- Tanabe, E.H.; Schlemmer, D.F.; Aguiar, M.L.; Dotto, G.L.; Bertuol, D.A. Recovery of valuable materials from spent NiMH batteries using spouted bed elutriation. J. Environ. Manag. 2016, 171, 177–183. [Google Scholar] [CrossRef]
- Samane, M.; Khayyam, N.R.; Rumana, H.; Mohammad, A.; Veena, S. Recovery of rare earth (i.e., La, Ce, Nd, and Pr) oxides from end-of-life Ni-MH battery via thermal isolation. ACS Sustain. Chem. Eng. 2018, 6, 11811–11818. [Google Scholar]
- Innocenzi, V.; Ippolito, N.M.; Michelis, I.D.; Prisciandaro, M.; Medici, F.; Veglio, F. A review of the processes and lab-scale techniques for the treatment of spent rechargeable NiMH batteries. J. Power Sources 2017, 362, 202–218. [Google Scholar] [CrossRef]
- Jha, M.K.; Kumari, A.; Panda, R.; Kumar, J.R.; Yoo, K.; Lee, J.Y. Review on hydrometallurgical recovery of rare earth metals. Hydrometallurgy 2016, 165, 2–26. [Google Scholar] [CrossRef]
- Li, L.Y.; Xu, S.M.; Ju, Z.Y.; Wu, F. Recovery of Ni, Co and rare earths from spent Ni-metal hydride batteries and preparation of spherical Ni(OH)2. Hydrometallurgy 2009, 100, 41–46. [Google Scholar] [CrossRef]
- Al-Thyabat, S.; Nakamura, T.; Shibata, E.; Iizuka, A. Adaptation of minerals processing operations for lithium-ion (LiBs) and nickel metal hydride (NiMH) batteries recycling: Critical review. Miner Eng. 2013, 45, 4–17. [Google Scholar] [CrossRef]
- Bernardes, A.M.; Espinosa, D.C.R.; Tenorio, J.A.S. Recycling of batteries: A review of current processes and technologies. J. Power Sources 2004, 130, 291–298. [Google Scholar] [CrossRef]
- Korkmaz, K.; Alemrajabi, M.; Rasmuson, A.; Forsberg, K. Recoveries of valuable metals from spent nickel metal hydride vehicle batteries via sulfation, selective roasting, and water leaching. J. Sustain. 2018, 4, 313–325. [Google Scholar] [CrossRef] [Green Version]
- Bertuol, D.A.; Bernardes, A.M.; Tenorio, J.A.S. Spent NiMH batteries—the role of selective precipitation in the recovery of valuable metals. J. Power Sources 2009, 193, 914–923. [Google Scholar] [CrossRef]
- Innocenzi, V.; Veglio, F. Recovery of rare earths and base metals from spent nickel-metal hydride batteries by sequential sulphuric acid leaching and selective precipitations. J. Power Sources 2012, 211, 184–191. [Google Scholar] [CrossRef]
- Yang, X.; Zhang, J.; Fang, X. Rare earth element recycling from waste nickel-metal hydride batteries. J. Hazard Mater. 2014, 279, 384–388. [Google Scholar] [CrossRef]
- Fernandes, A.; Afonso, J.C.; Dutra, A.J.B. Separation of nickel(II), cobalt(II) and lanthanides from spent Ni-MH batteries by hydrochloric acid leaching, solvent extraction and precipitation. Hydrometallurgy 2013, 133, 37–43. [Google Scholar] [CrossRef]
- Zhang, P.; Yokoyama, T.; Itabashi, O.; Wakui, Y.; Suzuki, T.M.; Inoue, K. Hydrometallurgical process for recovery of metal values from spent nickel-metal hydride secondary batteries. Hydrometallurgy 1998, 50, 61–75. [Google Scholar] [CrossRef]
- Xia, Y.; Xiao, L.; Tian, J.; Li, Z.; Zeng, L. Recovery of rare earths from acid leach solutions of spent nickel-metal hydride batteries using solvent extraction. J. Rare Earths 2015, 33, 1348–1354. [Google Scholar] [CrossRef]
- Zhang, P.W.; Yokoyama, T.; Itabashi, O.; Wakui, Y.; Suzuki, T.M.; Inoue, K. Recovery of metal values from spent nickel-metal hydride rechargeable batteries. J. Power Sources 1999, 77, 116–122. [Google Scholar] [CrossRef]
- Larsson, K.; Ekberg, C.; Jensen, A.Q. Using Cyanex 923 for selective extraction in a high concentration chloride medium on nickel metal hydride battery waste. Hydrometallurgy 2012, 129–130, 35–42. [Google Scholar] [CrossRef]
- Zhang, W.C.; Noble, A.; Ji, B.; Li, Q. Effects of contaminant metal ions on precipitation recovery of rare earth elements using oxalic acid. J. Rare Earths 2020, in press. [Google Scholar] [CrossRef]
- Mei, G.J.; Xia, Y.; Shi, W.; Liu, B. Recovery of rare earth from spent MH-Ni battery negative electrode. Environ. Prot. Chem. Ind. 2008, 28, 70–73. [Google Scholar]
- Pietrelli, L.; Bellomo, B.; Fontana, D.; Montereali, M. Characterization and leaching of NiCd and NiMH spent batteries for the recovery of metals. Waste Manag. 2005, 25, 221–226. [Google Scholar] [CrossRef] [PubMed]
- Ahn, N.K.; Shim, H.-W.; Kim, D.-W.; Swain, B. Valorization of waste NiMH battery through recovery of critical rare earth metal: A simple recycling process for the circular economy. Waste Manag. 2020, 104, 254–261. [Google Scholar] [CrossRef]
- Kumari, A.; Jha, M.K.; Pathak, D.D. An innovative environmental process for the treatment of scrap Nd-Fe-B magnets. J. Environ. Manag. 2020, 273, 111063. [Google Scholar] [CrossRef]
- Kumari, A.; Jha, M.K.; Yoo, K.; Panda, R.; Lee, J.Y.; Kumar, R.J.; Pathak, D.D. Advanced process to dephosphorize monazite for effective leaching of rare earth metals (REMs). Hydrometallurgy 2019, 187, 203–211. [Google Scholar] [CrossRef]












| Elements | La | Ce | Nd | Cu | Ni | Co | Other |
|---|---|---|---|---|---|---|---|
| Contents | 7.7 | 12 | 4.0 | 6.5 | 29 | 5.3 | balance |
Publisher’s Note: MDPI stays neutral with regard to jurisdictional claims in published maps and institutional affiliations. |
© 2021 by the authors. Licensee MDPI, Basel, Switzerland. This article is an open access article distributed under the terms and conditions of the Creative Commons Attribution (CC BY) license (https://creativecommons.org/licenses/by/4.0/).
Share and Cite
Jha, M.K.; Choubey, P.K.; Dinkar, O.S.; Panda, R.; Jyothi, R.K.; Yoo, K.; Park, I. Recovery of Rare Earth Metals (REMs) from Nickel Metal Hydride Batteries of Electric Vehicles. Minerals 2022, 12, 34. https://doi.org/10.3390/min12010034
Jha MK, Choubey PK, Dinkar OS, Panda R, Jyothi RK, Yoo K, Park I. Recovery of Rare Earth Metals (REMs) from Nickel Metal Hydride Batteries of Electric Vehicles. Minerals. 2022; 12(1):34. https://doi.org/10.3390/min12010034
Chicago/Turabian StyleJha, Manis Kumar, Pankaj Kumar Choubey, Om Shankar Dinkar, Rekha Panda, Rajesh Kumar Jyothi, Kyoungkeun Yoo, and Ilhwan Park. 2022. "Recovery of Rare Earth Metals (REMs) from Nickel Metal Hydride Batteries of Electric Vehicles" Minerals 12, no. 1: 34. https://doi.org/10.3390/min12010034
APA StyleJha, M. K., Choubey, P. K., Dinkar, O. S., Panda, R., Jyothi, R. K., Yoo, K., & Park, I. (2022). Recovery of Rare Earth Metals (REMs) from Nickel Metal Hydride Batteries of Electric Vehicles. Minerals, 12(1), 34. https://doi.org/10.3390/min12010034

