Linear Structural Trends and Multi-Phase Intergrowths in Helvine-Group Minerals, (Zn,Fe,Mn)8[Be6Si6O24]S2
Abstract
1. Introduction
2. Materials and Methods
2.1. Electron-Probe Microanalysis
2.2. Synchrotron High-Resolution Powder X-ray Diffraction
2.3. Rietveld Structural Refinement
3. Results
3.1. Chemical Composition of Helvine-Group Minerals
3.2. Intergrowths in Helvine-Group Minerals
3.3. Framework Tetrahedral T–O Distances and O–T–O Angles
3.4. Be–O–Si Bridging Angle
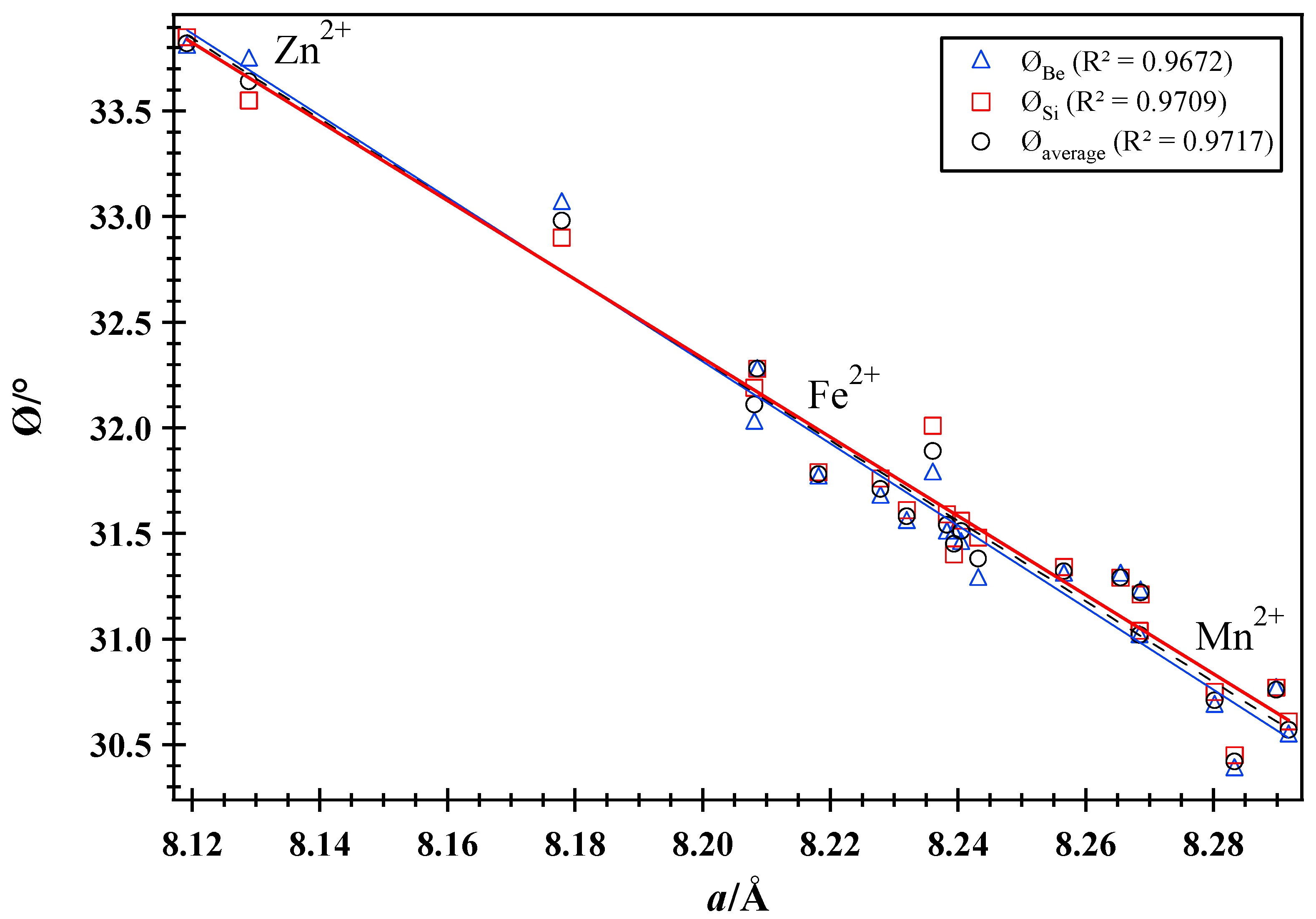
3.5. TO4 Rotational Angles
3.6. Interstitial MO3S Elongated Tetrahedral Geometry
3.7. Unit-Cell Parameters and M Cations Radii
4. Conclusions
Funding
Acknowledgments
Conflicts of Interest
References
- Hassan, I.; Grundy, H.D. The crystal structures of helvite group minerals, (Mn,Fe,Zn)8(Be6Si6O24)S2. Am. Mineral. 1985, 70, 186–192. [Google Scholar]
- Holloway, W.M., Jr.; Giordano, T.J.; Peacor, D.R. Refinement of the crystal structure of helvite, Mn4(BeSiO4)3S. Acta Crystallogr. 1972, B28, 114–117. [Google Scholar] [CrossRef]
- Barth, T.F.W. Die kristallographische beziehung zwischen helvin and sodalit. Nor. Geol. Tidsskr. 1926, 9, 40–42. [Google Scholar]
- Nimis, P.; Molin, G.; Visoná, D. Crystal chemistry of danalite from Daba Shabeli Complex (N Somalia). Mineral. Mag. 1996, 60, 375–379. [Google Scholar] [CrossRef]
- Gottfried, C. Die raumgruppe des helvins. Z. Krist. 1927, 65, 425–427. [Google Scholar]
- Pauling, L. The structure of sodalite and helvite. Z. Krist. 1930, 74, 213–225. [Google Scholar]
- Antao, S.M.; Hassan, I. Thermal analyses of sodalite, tugtupite, danalite, and helvite. Can. Mineral. 2002, 40, 163–172. [Google Scholar] [CrossRef]
- Antao, S.M.; Hassan, I.; Parise, J.B. The structure of danalite at high temperature obtained from synchrotron radiation and Rietveld refinements. Can. Mineral. 2003, 41, 1413–1422. [Google Scholar] [CrossRef]
- Hassan, I.; Antao, S.M.; Parise, J.B. Haüyne: Phase transition and high-temperature structures obtained from synchrotron radiation and Rietveld refinements. Mineral. Mag. 2004, 68, 499–513. [Google Scholar] [CrossRef]
- Antao, S.M.; Hassan, I.; Parise, J.B. Tugtupite: High-temperature structures obtained from in situ synchrotron diffraction and Rietveld refinements. Am. Mineral. 2004, 89, 492–497. [Google Scholar] [CrossRef]
- Hassan, I.; Antao, S.M.; Parise, J.B. Sodalite: High temperature structures obtained from synchrotron radiation and Rietveld refinements. Am. Mineral. 2004, 89, 359–364. [Google Scholar] [CrossRef]
- Clark, A.M.; Fejer, E.E. Zoned genthelvite from the Cairngorm Mountains, Scotland. Mineral. Mag. 1976, 40, 637–639. [Google Scholar] [CrossRef]
- Perez, J.-B.; Dusausoy, Y.; Babkine, J.; Pagel, M. Mn zonation and fluid inclusions in genthelvite from the Taghouaji complex (Aïr Mountains, Niger). Am. Mineral. 1990, 75, 909–914. [Google Scholar]
- Dunn, P.J. Genthelvite and the helvine group. Mineral. Mag. 1976, 40, 627–636. [Google Scholar] [CrossRef]
- Haapala, I.; Ojanperä, P. Genthelvite-bearing greisens in southern Finland. Bull. Geol. Surv. Finl. 1972, 259, 22. [Google Scholar]
- Langhof, J.; Holstam, D.; Gustafsson, L. Chiavennite and zoned genthelvite–helvite as late-stage minerals of the Proterozoic LCT pegmatites at Utö, Stockholm, Sweden. GFF 2000, 122, 207–212. [Google Scholar] [CrossRef]
- Zito, G.; Hanson, S.L. Genthelvite overgrowths on danalite cores from a pegmatite miarolitic cavity in Cheyenne Canyon, El Paso County, Colorado. Can. Mineral. 2017, 55, 195–206. [Google Scholar] [CrossRef]
- Kwak, T.A.P.; Jackson, P.G. The compositional variation and genesis of danalite in Sn–F–W skarns, NW Tasmania, Australia. Neues Jahrb. Mineral. Mon. 1986, 10, 452–462. [Google Scholar]
- Raade, G. Helvine-group minerals from Norwegian granitic pegmatites and some other granitic rocks: Cases of significant Sc and Sn contents. Can. Mineral. 2020, 58, 367–379. [Google Scholar] [CrossRef]
- Antao, S.M.; Nicholls, J.W. Crystal chemistry of three volcanic K-rich nepheline samples from Oldoinyo Lengai, Tanzania and Mount Nyiragongo, Eastern Congo, Africa. Front. Earth Sci. 2018, 6, 155. [Google Scholar] [CrossRef]
- Antao, S.M.; Hovis, G.L. Structural variations across the nepheline (NaAlSiO4)-kalsilite (KAlSiO4) series. Am. Mineral. 2020, in press. [Google Scholar] [CrossRef]
- Zaman, M.M.; Antao, S.M. A Possible Radiation-Induced Transition from Monazite-(Ce) to Xenotime-(Y). Minerals 2021, 11, 16. [Google Scholar] [CrossRef]
- Hassan, I.; Grundy, H.D. The crystal structures of sodalite-group minerals. Acta Crystallogr. 1984, 40, 6–13. [Google Scholar] [CrossRef]
- Mel’nikov, O.K.; Latvin, B.M.; Fedosova, S.P. Production of helvite-group compounds. In Gidrotermal’nyi Sintez Kristallov; Lobacher, A.M., Ed.; Nauka Press: Moscow, Russia, 1968; pp. 167–174. (In Russian) [Google Scholar]
- Armstrong, J.A.; Dann, S.E.; Neumann, K.; Marco, J.F. Synthesis, structure and magnetic behaviour of the danalite family of minerals, Fe8[BeSiO4]6X2 (X = S, Se, Te). J. Mater. Chem. 2003, 13, 1229–1233. [Google Scholar] [CrossRef]
- Taylor, D. The thermal expansion of the sodalite group of minerals. Mineral. Mag. 1968, 36, 761–769. [Google Scholar] [CrossRef][Green Version]
- Taylor, D. The thermal expansion behaviour of the framework silicates. Mineral. Mag. 1972, 38, 593–604. [Google Scholar] [CrossRef][Green Version]
- Taylor, D.; Henderson, C.M.B. A computer model for the cubic sodalite structure. Phys. Chem. Miner. 1978, 2, 325–336. [Google Scholar] [CrossRef]
- Dempsey, M.J.; Taylor, D. Distance least squares modelling of the cubic sodalite structure and of the thermal expansion of Na8(Al6Si6O24)I2. Phys. Chem. Miner. 1980, 6, 197–208. [Google Scholar] [CrossRef]
- Beaghley, B.; Henderson, C.M.B.; Taylor, D. The crystal structures of aluminosilicate-sodalites: X -ray diffraction studies and computer modelling. Mineral. Mag. 1982, 46, 459–464. [Google Scholar] [CrossRef]
- Antao, S.M.; Hassan, I. A two-phase intergrowth of genthelvite from Mont Saint-Hilaire, Quebec. Can. Mineral. 2010, 48, 1217–1223. [Google Scholar] [CrossRef]
- Lee, P.L.; Shu, D.; Ramanathan, M.; Preissner, C.; Wang, J.; Beno, M.A.; Von Dreele, R.B.; Ribaud, L.; Kurtz, C.; Antao, S.M.; et al. A twelve-analyzer detector system for high-resolution powder diffraction. J. Synchrotron Radiat. 2008, 15, 427–432. [Google Scholar] [CrossRef] [PubMed]
- Wang, J.; Toby, B.H.; Lee, P.L.; Ribaud, L.; Antao, S.M.; Kurtz, C.; Ramanathan, M.; Von Dreele, R.B.; Beno, M.A. A dedicated powder diffraction beamline at the advanced photon source: Commissioning and early operational results. Rev. Sci. Instrum. 2008, 79, 085105. [Google Scholar] [CrossRef] [PubMed]
- Antao, S.M.; Hassan, I.; Wang, J.; Lee, P.L.; Toby, B.H. State-of-the-art high-resolution powder X-ray diffraction (HRPXRD) illustrated with Rietveld structure refinement of quartz, sodalite, tremolite, and meionite. Can. Mineral. 2008, 46, 1501–1509. [Google Scholar] [CrossRef]
- Antao, S.M.; Dhaliwal, I. Growth Oscillatory Zoning in Erythrite, Ideally Co3(AsO4)2·8H2O: Structural Variations in Vivianite-Group Minerals. Minerals 2017, 7, 136. [Google Scholar] [CrossRef]
- Antao, S.M.; Hassan, I.; Crichton, W.A.; Parise, J.B. Effects of high pressure and temperature on cation ordering in magnesioferrite, MgFe2O4, using in situ synchrotron X-ray powder diffraction up to 1430 K and 6 GPa. Am. Mineral. 2005, 90, 1500–1505. [Google Scholar] [CrossRef]
- Antao, S.M.; Hassan, I.; Mulder, W.H.; Lee, P.L. The R-3c→R-3m transition in nitratine, NaNO3, and implications for calcite, CaCO3. Phys. Chem. Miner. 2008, 35, 545–557. [Google Scholar] [CrossRef]
- Ehm, L.; Michel, F.M.; Antao, S.M.; Martin, C.D.; Lee, P.L.; Shastri, S.D.; Chupas, P.J.; Parise, J.B. Structural changes in nanocrystalline mackinawaite (FeS) at high pressure. J. Appl. Crystallogr. 2009, 42, 15–21. [Google Scholar] [CrossRef]
- Hassan, I.; Antao, S.M.; Hersi, A.A. Single-crystal XRD, TEM, and thermal studies of the satellite reflections in nepheline. Can. Mineral. 2003, 41, 759–783. [Google Scholar] [CrossRef]
- Parise, J.B.; Antao, S.M.; Michel, F.M.; Martin, C.D.; Chupas, P.J.; Shastri, S.; Lee, P.L. Quantitative high-pressure pair distribution function analysis. J. Synchrotron Radiat. 2005, 12, 554–559. [Google Scholar] [CrossRef]
- Rietveld, H.M. A profile refinement method for nuclear and magnetic structures. J. Appl. Crystallogr. 1969, 2, 65–71. [Google Scholar] [CrossRef]
- Larson, A.C.; Von Dreele, R.B. General Structure Analysis System (GSAS). Los Alamos National Laboratory Report, LAUR 86-748; LAUR 86-748; 2000. [Google Scholar]
- Toby, B.H. EXPGUI, a graphical user interface for GSAS. J. Appl. Crystallogr. 2001, 34, 210–213. [Google Scholar] [CrossRef]
- Finger, L.W.; Cox, D.E.; Jephcoat, A.P. A correction for powder diffraction peak asymmetry due to axial divergence. J. Appl. Crystallogr. 1994, 27, 892–900. [Google Scholar] [CrossRef]
- Antao, S.M.; Salvador, J.J. Crystal Chemistry of Birefringent Uvarovite Solid Solutions. Minerals 2019, 9, 395. [Google Scholar] [CrossRef]
- Antao, S.M.; Zaman, M.; Gontijo, V.L.; Camargo, E.S.; Marr, R.A. Optical anisotropy, zoning, and coexistence of two cubic phases in andradites from Quebec and New York. Contrib. Mineral. Petrol. 2015, 169, 10. [Google Scholar] [CrossRef]
- Antao, S.M. Three cubic phases intergrown in a birefringent andradite-grossular garnet and their implications. Phys. Chem. Miner. 2013, 40, 705–716. [Google Scholar] [CrossRef]
- Antao, S.M.; Klincker, A.M. Origin of birefringence in andradite from Arizona, Madagascar, and Iran. Phys. Chem. Miner. 2013, 40, 575–586. [Google Scholar] [CrossRef]
- Antao, S.M. The mystery of birefringent garnet: Is the symmetry lower than cubic? Powder Diffr. 2013, 28, 281–288. [Google Scholar] [CrossRef]
- Antao, S.M.; Mohib, S.; Zaman, M.; Marr, R.A. Ti-rich andradites: Chemistry, structure, multi-phases, optical anisotropy, and oscillatory zoning. Can. Mineral. 2015, 53, 133–158. [Google Scholar] [CrossRef]
- Antao, S.M. Is near-endmember birefringent grossular non-cubic? New evidence from synchrotron diffraction. Can. Mineral. 2013, 51, 771–784. [Google Scholar] [CrossRef]
- Antao, S.M.; Klincker, A.M. Crystal structure of a birefringent andradite-grossular from Crowsnest Pass, Alberta, Canada. Powder Diffr. 2014, 29, 20–27. [Google Scholar] [CrossRef]
- Hassan, I.; Grundy, H.D. Structure of basic sodalite, Na8Al6Si6O24(OF)2. 2H2O. Acta Crystallogr. 1983, 39, 3–5. [Google Scholar]
- Burt, D.M. Concepts of acidity and basicity in petrology—The exchange operator approach. Geol. Soc. Am. Abstr. Programs 1974, 6, 674–676. [Google Scholar]
- Burt, D.M. The stability of danalite, Fe3Be3(SiO4)3S. Am. Mineral. 1980, 65, 355–360. [Google Scholar]
- Shannon, R.D. Revised effective ionic radii and systematic studies of interatomic distances in halides and chalcogenides. Acta Crystallogr. 1976, 32, 751–767. [Google Scholar] [CrossRef]












| Sample | Mineral † | Locality | ROM # |
|---|---|---|---|
| 1 | Helvine | Saxony, Germany | M16941 |
| 2 | Helvine | Breitenbrunn, Saxony, Germany | E4152 |
| 3 | Helvine | Saxony, Germany | M5286 |
| 4 | Helvine | Kanuma, Oashi Mine, Tochigi Prefecture, Japan | M36756 |
| 5 | Danalite | Iron Mountain, New Mexico, USA | M29008 |
| 6 | Danalite | Sunnyside, San Juan Co., Colorado, USA | M36390 |
| 7 | Helvine | Sawtooth Range, Idaho, USA | M36514 |
| 8 | Helvine | Hortekollen, Norway | M35618 |
| 9 | Helvine | Mt. Francisco Pegmatite, Ribawa Area, W. Australia | M37261 |
| 10 | Danalite | McDame, BC, Canada | M22312 |
| 11 | Danalite | Government Pits, Conway, New Hampshire, USA | M34769 |
| 12 | Danalite | Rockport, Cape Ann, Granite Quary, Massachussetts, USA | M5287 |
| 13 * | Genthelvite | Mt. St. Hilaire, Rouville Co, Quebec, Canada | M32727 |
| Sample | 2 | 3 | 4 | 5 | 7 | 8 | 9 | 10 | 11 | 12 | 13 |
|---|---|---|---|---|---|---|---|---|---|---|---|
| ZnO Wt. % | 2.34 | 5.42 | 1.45 | 2.17 | 8.69 | 6.69 | 4.13 | 3.05 | 9.68 | 19.96 | 48.37 |
| FeO | 2.87 | 4.23 | 8.81 | 29.31 | 21.41 | 16.91 | 24.00 | 33.74 | 32.07 | 23.95 | 0.01 |
| MnO | 45.72 | 40.92 | 39.88 | 19.54 | 21.77 | 26.36 | 24.97 | 13.39 | 10.65 | 6.80 | 1.47 |
| CaO | 0.31 | 0.09 | 0.09 | 0.01 | 0.02 | 0.07 | 0.05 | 0.00 | 0.04 | 0.02 | 0.01 |
| BeO | 13.21 | 13.16 | 13.11 | 12.66 | 12.86 | 12.62 | 12.72 | 13.18 | 12.78 | 13.17 | 12.84 |
| SiO2 | 31.74 | 31.62 | 31.50 | 30.41 | 30.90 | 30.31 | 30.56 | 31.67 | 30.71 | 31.63 | 30.85 |
| Al2O3 | 0.17 | 0.28 | 0.11 | 0.04 | 0.20 | 0.12 | 0.10 | 0.09 | 0.02 | 0.00 | 0.15 |
| S | 5.32 | 5.34 | 5.37 | 5.64 | 5.44 | 5.56 | 5.73 | 5.28 | 5.54 | 5.27 | 5.64 |
| – O ≡ S | 2.65 | 2.66 | 2.68 | 2.81 | 2.72 | 2.77 | 2.86 | 2.64 | 2.76 | 2.63 | 2.81 |
| Total | 99.02 | 98.39 | 97.65 | 96.97 | 98.58 | 95.86 | 99.40 | 97.76 | 98.73 | 98.17 | 96.53 |
| * Zn apfu | 0.33 | 0.76 | 0.20 | 0.32 | 1.25 | 0.98 | 0.60 | 0.43 | 1.40 | 2.79 | 6.94 |
| Fe | 0.45 | 0.67 | 1.40 | 4.84 | 3.48 | 2.80 | 3.94 | 5.35 | 5.24 | 3.80 | 0.00 |
| Mn | 7.32 | 6.58 | 6.43 | 3.26 | 3.58 | 4.42 | 4.15 | 2.15 | 1.76 | 1.09 | 0.24 |
| Ca | 0.06 | 0.02 | 0.02 | 0.00 | 0.00 | 0.01 | 0.01 | 0.00 | 0.01 | 0.00 | 0.00 |
| ƩM | 8.10 | 8.01 | 8.04 | 8.42 | 8.30 | 8.20 | 8.69 | 7.92 | 8.40 | 7.69 | 7.19 |
| Be | 6.00 | 6.00 | 6.00 | 6.00 | 6.00 | 6.00 | 6.00 | 6.00 | 6.00 | 6.00 | 6.00 |
| Si | 6.00 | 6.00 | 6.00 | 6.00 | 6.00 | 6.00 | 6.00 | 6.00 | 6.00 | 6.00 | 6.00 |
| Al | 0.02 | 0.03 | 0.01 | 0.00 | 0.02 | 0.01 | 0.01 | 0.01 | 0.00 | 0.00 | 0.02 |
| S | 1.88 | 1.90 | 1.92 | 2.08 | 1.98 | 2.06 | 2.11 | 1.88 | 2.03 | 1.87 | 2.06 |
| Sample Number | a/Å | χ2 | * RF2 | Nobs | Mineral | Wt. % |
|---|---|---|---|---|---|---|
| 1 | 8.29180(1) | 2.726 | 0.0741 | 505 | Helvine | 100 |
| 2a | 8.28986(5) | 1.353 | 0.0453 | 1018 | Helvine 1 | 59.3(2) |
| 2b | 8.28022(2) | Helvine 2 | 40.7(2) | |||
| 3a | 8.26862(1) | 1.795 | 0.0524 | 999 | Helvine 1 | 88.9(2) |
| 3b | 8.28332(1) | Helvine 2 | 11.1(1) | |||
| 4 | 8.26844(1) | 2.944 | 0.0668 | 509 | Helvine | 100 |
| 5a | 8.24316(1) | 3.495 | 0.0726 | 1465 | Danalite 1 | 69.4(1) |
| 5b | 8.25658(2) | Danalite 2 | 9.6(1) | |||
| 5c | 8.23607(2) | Danalite 3 | 21.0(2) | |||
| 6a | 8.26544(2) | 1.765 | 0.0554 | 983 | Helvine 1 | 3.9(1) |
| 6b | 8.24052(1) | Danalite 2 | 96.1(1) | |||
| 7a | 8.23939(1) | 1.527 | 0.0393 | 1475 | Helvine 1 | 19.0(1) |
| 7b | 8.23197(2) | Helvine 2 | 77.1(1) | |||
| 7c | 8.20856(3) | Helvine 3 | 3.9(1) | |||
| 8 | 8.23829(1) | 2.100 | 0.0389 | 487 | Helvine | 100 |
| 9 | 8.22785(1) | 2.137 | 0.0464 | 487 | Helvine | 100 |
| 10 | 8.21817(1) | 1.784 | 0.0511 | 483 | Danalite | 100 |
| 11 | 8.20808(1) | 1.63 | 0.0437 | 480 | Danalite | 100 |
| 12 | 8.17792(1) | 1.581 | 0.0349 | 484 | Danalite | 100 |
| 13a | 8.12892(1) | 1.426 | 0.0293 | 944 | Genthelvite 1 | 49.4(1) |
| 13b | 8.11920(1) | Genthelvite 2 | 50.6(1) |
| Sample Number | 1 | 2a | 2b | 3a | 3b | 4 | 5a | 5b | 5c | 6a | 6b | |
| Be | U | 0.44(1) | 0.484(7) | 0.484(7) | 0.439(9) | 0.439(9) | 0.367(9) | 0.377(9) | 0.377(9) | 0.377(9) | 0.446(8) | 0.446(8) |
| Si | U | 0.44(1) | 0.484(7) | 0.484(7) | 0.439(9) | 0.439(9) | 0.367(9) | 0.377(9) | 0.377(9) | 0.377(9) | 0.446(8) | 0.446(8) |
| O | x | 0.14081(7) | 0.14004(8) | 0.1416(1) | 0.14032(7) | 0.1412(2) | 0.13954(9) | 0.14055(6) | 0.13990(7) | 0.13716(7) | 0.1389(2) | 0.13977(7) |
| y | 0.14119(6) | 0.14013(8) | 0.1420(1) | 0.14028(7) | 0.1416(2) | 0.13972(8) | 0.14163(5) | 0.14014(7) | 0.13841(7) | 0.1388(2) | 0.14033(6) | |
| z | 0.41670(6) | 0.41661(8) | 0.4158(1) | 0.41497(7) | 0.4170(2) | 0.41602(7) | 0.41395(6) | 0.41480(9) | 0.41426(9) | 0.4156(3) | 0.41416(6) | |
| U | 0.47(1) | 0.69(1) | 0.69(1) | 0.61(1) | 0.61(1) | 0.39(1) | 0.55(1) | 0.55(1) | 0.55(1) | 0.64(1) | 0.64(1) | |
| S | U | 1.45(1) | 1.54(2) | 0.80(2) | 1.24(2) | 0.92(5) | 1.37(2) | 1.37(2) | 1.17(8) | 1.43(5) | 1.31(9) | 1.35(1) |
| M | x | 0.16954(2) | 0.16960(3) | 0.17088(4) | 0.16967(2) | 0.17067(8) | 0.16991(2) | 0.16901(3) | 0.1692(1) | 0.16804(7) | 0.1703(2) | 0.1692(1) |
| U | 1.038(4) | 1.079(8) | 0.579(9) | 0.814(5) | 0.67(2) | 0.834(5) | 0.834(7) | 1.31(3) | 0.83(2) | 0.99(4) | 0.907(4) | |
| * sof | 1.038(1)Mn | 1.023(2)Mn | 0.995(2)Mn | 1.036(2)Mn | 1.005(5)Mn | 1.050(2)Mn | 1.000(2)Fe | 1.003(6)Fe | 0.966(5)Fe | 1.067(11)Mn | 0.999(1)Fe | |
| Sample Number | 7a | 7b | 7c | 8 | 9 | 10 | 11 | 12 | 13a | 13b | ||
| Be | U | 0.439(6) | 0.439(6) | 0.439(6) | 0.459(6) | 0.483(8) | 0.574(7) | 0.425(4) | 0.519(6) | 0.400(6) | 0.400(6) | |
| Si | U | 0.439(6) | 0.439(6) | 0.439(6) | 0.459(6) | 0.483(8) | 0.574(7) | 0.425(4) | 0.519(6) | 0.400(6) | 0.400(6) | |
| O | x | 0.1403(1) | 0.13988(7) | 0.1394(2) | 0.14014(6) | 0.14005(7) | 0.14007(6) | 0.13916(4) | 0.13900(5) | 0.13858(9) | 0.13779(8) | |
| y | 0.1397(1) | 0.14020(6) | 0.1395(2) | 0.14067(5) | 0.14056(6) | 0.14022(6) | 0.14009(4) | 0.13815(5) | 0.13758(9) | 0.13806(8) | ||
| z | 0.4144(1) | 0.41391(6) | 0.4119(2) | 0.41381(5) | 0.41330(6) | 0.41318(5) | 0.41239(4) | 0.41008(5) | 0.40811(8) | 0.40759(7) | ||
| U | 0.67(1) | 0.67(1) | 0.67(1) | 0.76(1) | 0.73(1) | 0.89(1) | 0.70(1) | 0.84(1) | 0.58(1) | 0.58(1) | ||
| S | U | 1.32(1) | 1.32(1) | 1.32(1) | 1.22(1) | 1.22(1) | 1.13(1) | 1.06(1) | 1.01(1) | 0.88(1) | 0.68(1) | |
| M | x | 0.16976(5) | 0.16909(2) | 0.1694(1) | 0.16950(2) | 0.16943(2) | 0.16912(2) | 0.16876(1) | 0.16825(1) | 0.16719(2) | 0.16700(2) | |
| U | 0.813(3) | 0.813(3) | 0.813(3) | 0.775(3) | 0.731(3) | 0.874(3) | 0.745(2) | 0.690(3) | 0.598(4) | 0.602(4) | ||
| sof | 0.997(3)Fe | 1.009(1)Fe | 1.070(7)Fe | 0.996(1)Fe | 1.010(1)Fe | 0.994(1)Fe | 1.017(1)Fe | 1.075(1)Fe | 0.857(6)Zn | 0.983(6)Zn |
| Sample Number | 1 | 2a | 2b | 3a | 3b | 4 | 5a | 5b | 5c | 6a | 6b | |
| Be–O | × 4 | 1.6333(6) | 1.6304(7) | 1.6355(8) | 1.6317(6) | 1.6311(9) | 1.6282(8) | 1.6371(4) | 1.6310(4) | 1.6315(4) | 1.627(1) | 1.6318(6) |
| O–Be–O | × 4 | 107.90(2) | 108.22(2) | 107.53(3) | 100.00(2) | 107.79(5) | 108.34(2) | 107.68(2) | 108.10(2) | 108.93(2) | 108.59(6) | 108.05(2) |
| O–Be–O | × 2 | 112.67(3) | 112.01(5) | 113.43(6) | 112.46(4) | 112.88(9) | 111.76(4) | 113.12(3) | 112.25(4) | 110.55(4) | 111.24(9) | 112.35(3) |
| <O–Be–O>[6] | 109.49 | 109.48 | 109.50 | 109.48 | 109.49 | 109.48 | 109.49 | 109.48 | 109.47 | 109.47 | 109.48 | |
| Si–O | × 4 | 1.6292(6) | 1.6295(7) | 1.6312(9) | 1.6320(6) | 1.627(2) | 1.6263(8) | 1.6259(5) | 1.6285(7) | 1.6185(7) | 1.628(2) | 1.6260(6) |
| O–Si–O | × 4 | 107.86(2) | 108.21(2) | 107.49(3) | 108.00(2) | 107.75(4) | 108.32(2) | 107.57(2) | 108.07(2) | 108.81(2) | 108.60(5) | 108.00(2) |
| O–Si–O | × 2 | 112.75(3) | 112.03(4) | 113.52(6) | 112.46(4) | 112.97(9) | 111.80(4) | 113.34(3) | 112.30(4) | 110.80(4) | 111.23(9) | 112.46(3) |
| <O–Si–O>[6] | 109.49 | 109.48 | 109.50 | 109.49 | 109.49 | 109.48 | 109.50 | 109.48 | 109.48 | 109.48 | 109.49 | |
| Be–O–Si | × 1 | 127.95(3) | 128.07(4) | 127.32(5) | 127.21(3) | 128.03(9) | 127.86(4) | 126.55(3) | 127.17(5) | 127.27(4) | 127.79(9) | 126.84(3) |
| M–O | × 3 | 2.0766(5) | 2.0767(7) | 2.0561(9) | 2.0572(6) | 2.0692(9) | 2.0655(6) | 2.0452(6) | 2.0565(9) | 2.0583(9) | 2.061(2) | 2.0470(5) |
| M–S | × 1 | 2.4349(3) | 2.4352(4) | 2.4507(5) | 2.4299(3) | 2.4486(9) | 2.4333(3) | 2.4131(4) | 2.4191(9) | 2.3971(9) | 2.438(3) | 2.4150(3) |
| <M–O/S>[4] | 2.1662 | 2.1663 | 2.1548 | 2.1504 | 2.1641 | 2.1575 | 2.1372 | 2.1472 | 2.1430 | 2.1551 | 2.1390 | |
| O–M–O | × 3 | 102.24(2) | 102.62(3) | 102.55(3) | 102.64(2) | 102.57(6) | 102.95(2) | 102.10(2) | 102.54(5) | 102.94(4) | 103.44(10) | 102.57(2) |
| O–M–S | × 3 | 115.99(2) | 115.67(2) | 115.73(3) | 115.66(2) | 115.71(5) | 115.40(2) | 116.11(2) | 115.74(4) | 115.41(3) | 114.99(8) | 115.71(2) |
| <O–M–O/S>[6] | 109.11 | 109.15 | 109.14 | 109.15 | 109.14 | 109.17 | 109.10 | 109.14 | 109.17 | 109.22 | 109.14 | |
| ØBe (°) | 30.54 | 30.76 | 30.68 | 31.22 | 30.38 | 31.01 | 31.28 | 31.30 | 31.78 | 31.30 | 31.45 | |
| ØSi | 30.61 | 30.77 | 30.75 | 31.21 | 30.45 | 31.04 | 31.48 | 31.34 | 32.01 | 31.29 | 31.56 | |
| <ØBe/Si> | 30.57 | 30.76 | 30.71 | 31.22 | 30.42 | 31.02 | 31.38 | 31.32 | 31.89 | 31.29 | 31.51 | |
| Sample Number | 7a | 7b | 7c | 8 | 9 | 10 | 11 | 12 | 13a | 13b | ||
| Be–O | × 4 | 1.6250(9) | 1.6297(5) | 1.6301(9) | 1.6329(5) | 1.6324(6) | 1.6289(5) | 1.6331(4) | 1.6252(4) | 1.6215(7) | 1.6277(7) | |
| O–Be–O | × 4 | 108.04(4) | 108.02(2) | 108.07(5) | 107.89(1) | 107.89(2) | 107.92(2) | 108.08(1) | 108.18(1) | 108.18(2) | 108.26(2) | |
| O–Be–O | × 2 | 112.38(8) | 112.41(4) | 112.30(9) | 112.68(3) | 112.69(3) | 112.63(3) | 112.29(2) | 112.09(3) | 112.08(4) | 111.93(4) | |
| <O–Be–O>[6] | 109.49 | 109.49 | 109.48 | 109.49 | 109.49 | 109.49 | 109.48 | 109.48 | 109.48 | 109.48 | ||
| Si–O | × 4 | 1.6306(9) | 1.6264(6) | 1.6295(9) | 1.6274(5) | 1.6271(6) | 1.6273(5) | 1.6235(4) | 1.6339(5) | 1.6316(8) | 1.6250(7) | |
| O–Si–O | × 4 | 108.09(3) | 107.99(2) | 108.07(5) | 107.84(1) | 107.84(2) | 107.90(2) | 107.99(1) | 108.27(1) | 108.28(2) | 108.23(2) | |
| O–Si–O | × 2 | 112.27(7) | 112.47(3) | 112.31(9) | 112.79(3) | 112.80(3) | 112.66(3) | 112.49(2) | 111.91(3) | 111.88(4) | 111.98(4) | |
| <O–Si–O>[6] | 109.48 | 109.49 | 109.48 | 109.49 | 109.49 | 109.49 | 109.49 | 109.48 | 109.48 | 109.48 | ||
| Be–O–Si | × 1 | 126.96(7) | 126.72(3) | 125.84(9) | 126.60(3) | 126.37(3) | 126.33(3) | 126.03(2) | 125.04(2) | 124.13(4) | 123.90(4) | |
| M–O | × 3 | 2.0451(9) | 2.0435(5) | 2.021(2) | 2.0410(4) | 2.0350(5) | 2.0338(5) | 2.0281(3) | 2.0073(4) | 1.9869(6) | 1.9818(6) | |
| M–S | × 1 | 2.4226(7) | 2.4109(3) | 2.408(2) | 2.4186(2) | 2.4145(3) | 2.4073(2) | 2.3993(2) | 2.3831(2) | 2.3538(3) | 2.3484(3) | |
| <M–O/S>[4] | 2.1395 | 2.1353 | 2.1180 | 2.1354 | 2.1299 | 2.1272 | 2.1209 | 2.1013 | 2.0786 | 2.0735 | ||
| O–M–O | × 3 | 102.83(4) | 102.54(2) | 102.98(8) | 102.58(2) | 102.61(2) | 102.55(2) | 102.63(1) | 102.92(2) | 102.74(2) | 102.75(2) | |
| O–M–S | × 3 | 115.50(4) | 115.74(2) | 115.37(7) | 115.71(1) | 115.68(2) | 115.73(1) | 115.67(1) | 115.42(1) | 115.57(2) | 115.57(2) | |
| <O–M–O/S>[6] | 109.17 | 109.14 | 109.18 | 109.14 | 109.15 | 109.14 | 109.15 | 109.17 | 109.16 | 109.16 | ||
| ØBe (°) | 31.50 | 31.55 | 32.27 | 31.50 | 31.67 | 31.76 | 32.02 | 33.06 | 33.74 | 33.80 | ||
| ØSi | 31.40 | 31.61 | 32.28 | 31.59 | 31.76 | 31.79 | 32.19 | 32.90 | 33.55 | 33.85 | ||
| <ØBe/Si> | 31.45 | 31.58 | 32.28 | 31.54 | 31.71 | 31.78 | 32.11 | 32.98 | 33.64 | 33.82 |
Publisher’s Note: MDPI stays neutral with regard to jurisdictional claims in published maps and institutional affiliations. |
© 2021 by the author. Licensee MDPI, Basel, Switzerland. This article is an open access article distributed under the terms and conditions of the Creative Commons Attribution (CC BY) license (http://creativecommons.org/licenses/by/4.0/).
Share and Cite
Antao, S.M. Linear Structural Trends and Multi-Phase Intergrowths in Helvine-Group Minerals, (Zn,Fe,Mn)8[Be6Si6O24]S2. Minerals 2021, 11, 325. https://doi.org/10.3390/min11030325
Antao SM. Linear Structural Trends and Multi-Phase Intergrowths in Helvine-Group Minerals, (Zn,Fe,Mn)8[Be6Si6O24]S2. Minerals. 2021; 11(3):325. https://doi.org/10.3390/min11030325
Chicago/Turabian StyleAntao, Sytle M. 2021. "Linear Structural Trends and Multi-Phase Intergrowths in Helvine-Group Minerals, (Zn,Fe,Mn)8[Be6Si6O24]S2" Minerals 11, no. 3: 325. https://doi.org/10.3390/min11030325
APA StyleAntao, S. M. (2021). Linear Structural Trends and Multi-Phase Intergrowths in Helvine-Group Minerals, (Zn,Fe,Mn)8[Be6Si6O24]S2. Minerals, 11(3), 325. https://doi.org/10.3390/min11030325

