Hydrothermal Sphalerites from Ore Deposits of Baia Mare Area
Abstract
1. Introduction
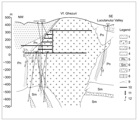
2. Geological and Petrogenesis Data
3. Metallogeny of the Baia Mare and Oaş Area
4. Materials and Methods
5. Results
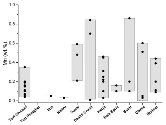
5.1. Mineral Paragenesis and Geochemistry of Sphalerite

- (1)
- the centralvein area includes the higher temperature [24] with copper mineralizations + bismuth sulphosalts;
- (2)
- the external area in the periphery of the stock is characterized by the emplacement of the Pb-Zn mineralizations;
- (3)
- gold veins are developed laterally from the margins of the intrusion areas.

5.2. Raman Spectroscopy
6. Discussion
7. Conclusions
Author Contributions
Funding
Acknowledgments
Conflicts of Interest
References
- Jude, R. Metalogeneza Asociată Vulcanismului Neogen din Nord-Vestul Munţilor Oaş; Editura Academiei Republicii Socialiste România: Bucharest, Romania, 1986; p. 132. [Google Scholar]
- Udubaşa, G.; Ilinca, G.; Marincea, S.; Sabau, G.; Radan, S. Minerals in Romania: The state of the art 1991. Rom. J. Mineral 1992, 75, 1–51. [Google Scholar]
- Damian, F.; Damian, G. Mineral parageneses of the hydrothermal ore deposits from Baia Mare area Romania, Seria D. Exploatari Min. Prep. Metal. Neferoasa Geol. Si Ing. Mediu. 2004, 18, 155–172. [Google Scholar]
- Kullerud, G. The FeS-ZnS System, a Geological Thermometer; John Griegs Boktrykkeri: Bergen, Norway, 1953. [Google Scholar]
- Barton, P.B.; Toulmin, P. Phase relations involving sphalerite in the Fe-Zn-S system. Econ. Geol. 1966, 61, 815–849. [Google Scholar] [CrossRef]
- Boorman, R.S. Subsolidus studies in the ZnS-FeS-FeS 2 system. Econ. Geol. 1967, 62, 614–631. [Google Scholar] [CrossRef]
- Scott, S.D.; Barnes, H.L. Sphalerite geothermometry and geobarometry. Econ. Geol. 1971, 66, 653–669. [Google Scholar] [CrossRef]
- Scott, S.D. Experimental calibration of the sphalerite geobarometer. Econ. Geol. 1973, 68, 466–474. [Google Scholar] [CrossRef]
- Hutchison, M.N.; Scott, S.D. Sphalerite geobarometry in the Cu-Fe-Zn-S system. Econ. Geol. 1981, 76, 143–153. [Google Scholar] [CrossRef]
- Cook, N.J.; Ciobanu, C.L.; Pring, A.; Skinner, W.; Shimizu, M.; Danyushevsky, L.; Saini-Eidukat, B.; Melcher, F. Trace and minor elements in sphalerite: A LA-ICPMS study. Geochim. Cosmochim. Acta 2009, 73, 4761–4791. [Google Scholar] [CrossRef]
- Ye, L.; Cook, N.J.; Ciobanu, C.L.; Yuping, L.; Qian, Z.; Tiegeng, L.; Wei, G.; Yulong, Y.; Danyushevskiy, L. Trace and minor elements in sphalerite from base metal deposits in South China: A LA-ICPMS study. Ore Geol. Rev. 2011, 39, 188–217. [Google Scholar] [CrossRef]
- Săndulescu, M. Geotectonica Romaniei; Editura Tehnica: Bucharest, Romania, 1984; 450p. [Google Scholar]
- Borcos, M.; Vlad, S.; Udubasa, G.H.; Gabudeanu, B. Qualitative and quantitative metallogenetic analysis of the ore genetic units in Romania. Rom. J. Miner. Depos. 1998, 78, 1–160. [Google Scholar]
- Popescu, G.C. Metalogenie aplicată şi prognoză geologică. Partea a II; Editura Universitatea din București: Bucharest, Romania, 1986. [Google Scholar]
- Popescu, C.G. A Geodinamic Model regarding the Neogene Volcanism and the associated Metallogenesis in Baia Mare Metallogenetic District (The East Carpathians). An. Univ. Bucureşti Ser. Geol 1994, 43, 19–26. [Google Scholar]
- Edelstein, O.; Bernad, A.; Kovacs, M.; Crihan, M.; Pécskay, Z. Preliminary data regarding the K-Ar ages of some eruptive rocks from Baia Mare Neogene volcanic zone. Rev. Roum. Geol. 1992, 36, 45–60. [Google Scholar]
- Pécskay, Z.; Edelstein, O.; Kovacs, M.; Bernád, A.; Crihan, M. K/Ar age determination of Neogene volcanic rocks from the Gutai Mts.(Eastern Carpathians, Romania). Geol. Carpathica 1994, 45, 357–363. [Google Scholar]
- Giușcă, D.; Borcoş, M.; Lang, B.; Stan, N. Neogene Volcanism and Metallogenesis in the Gutâi Mountains; Guide to Excursion 1AB; Geological Institute of Romania: Bucharest, Romania, 1973; p. 50. [Google Scholar]
- Szakács, A.; Pécskay, Z.; Silye, L.; Balogh, K.; Vlad, D.; Fülöp, A. On the age of the Dej Tuff, Transylvanian Basin (Romania). Geol. Carpathica 2012, 63, 139. [Google Scholar] [CrossRef]
- Borcoş, M.; Lang, B.; Peltz, S.; Stan, N. Volcanisme neogene des Monts Gutâi. Rev. Roum. Geol. Geogr. Geoph. Ser. Geol. 1973, 17, 82–93. [Google Scholar]
- Damian, G.; Ciobanu, C.L.; Cook, N.J.; Damian, F. Bismuth sulphosalts from the galena-matildite series in the Cremenea vein, Suior, Baia Mare district, Romania. Neues Jahrb. Für Mineral. Abh. 2008, 185, 199–213. [Google Scholar] [CrossRef]
- Jude, R. Geologia şi petrologia vulcanitelor neogene din nord–vestul zonei eruptive a Munţilor Oaş (regiunea Tarna Mare–Turţ). St. Tehn. Ec. Seria A Geol. Econ. 1977, 11, 111–174. [Google Scholar]
- Borcoş, M.; Lang, B.; Boștinescu, S.; Mîndroiu, V.; Volanschi, E. Considerații privind activitatea metalogenetică asociată andezitelor piroxenice ponțiene din Munții Gutîi (Zăcămintele Herja, Baia Sprie și Șuior). Stud. Teh. Și Econ. Ser. I Min.-Petrogr. 1973, 9, 95–135. [Google Scholar]
- Plotinskaya, O.Y.; Damian, G.; Damian, F. Sphalerite assemblages and composition in the Baia Mare region, Eastern Carpathians, Romania (preliminary data). Rom. J. Miner. Depos. 2014, 87, 87–90. [Google Scholar]
- Damian, F.; Damian, G.; Constantina, C. The subvolcanic magmatic rocks from the Nistru zone (Gutîi Mountains). Carpathian J. Earth Environ. Sci. 2009, 4, 101–122. [Google Scholar]
- Damian, F. The evolution of the magmatic and metallogenetic processes in the Nistru area (Gutîi Mountains). Miner. Slovaca 2000, 32, 263–264. [Google Scholar]
- Jude, R.; Popescu, A. Base-metal and Au-Ag mineralization related to Neogene magmatic rocks from the Ilba-Handal veins area (Gutâi Mts.). An. Univ. Bucureşti Geol. 1997, 46, 23–39. [Google Scholar]
- Damian, G.; Damian, F.; Osan, E.; Iancu, S. Aurul nativ din zona Săsar, districtul metalogenetic Baia Mare. Studia Univ. Cluj Napoca 1996, 1–2, 201–214. [Google Scholar]
- Nedelcu, L.; Bălașa, E.; Roșu, N.; Bordea, R. Consideraţii noi asupra zăcământului Dealul Crucii pe baza rezultatelor unor foraje recente. Comptes Rendus Des Séances 1970, 55, 47–66. [Google Scholar]
- Vaughan, D.J.; Craig, J.R. Sulphide ore mineral stabilities, morphologies, and intergrowth textures. Geochem. Hydrothermal Ore Depos. 1997, 367–434. [Google Scholar]
- Damian, G.; Nedelcu, L.; Istvan, D. Hydrothermal ore deposits at Baia Sprie and Turţ. Rom. J. Mineralogy 1995, 77, 45–63. [Google Scholar]
- Damian, G.; Damian, F.; Istvan, D. The neogene Metallogenesis of the Central Western Area of the Baia Mare District (Gutâi Mts—East Carpathians). Rom. J. Miner. Depos. 2002, 80, 16–19. [Google Scholar]
- Borcoş, M.; Gheorghiţă, I.; Lang, B.; Russo, D.; Volanschi, E.; Mîndroiu, V. Consideraţii privind activitatea metalogenetică asociată andezitelor cuarţifere din sudul Munţilor Gutîi. Stud. Teh. Si Econ. Ser. I Mineral. Petrogr. 1972, 6, 91–122. [Google Scholar]
- Damian, G.; Buzatu, A.; Apopei, I.A.; Szakács, Z.L.; Denuț, I.; Iepure, G.; Bârgăoanu, D. Valentinite and Colloform Sphalerite in Epithermal Deposits from Baia Mare Area, Eastern Carpathians. Minerals 2020, 10, 121. [Google Scholar] [CrossRef]
- Damian, G. The genesis of the base metal ore deposit from Herja. Studia UBB Geol. 2003, 48, 85–100. [Google Scholar] [CrossRef][Green Version]
- Buzatu, A.; Damian, G.; Dill, H.G.; Buzgar, N.; Apopei, A.I. Mineralogy and geochemistry of sulfosalts from Baia Sprie ore deposit (Romania)—New bismuth minerals occurrence. Ore Geol. Rev. 2015, 65, 132–147. [Google Scholar] [CrossRef]
- Buzatu, A.; Buzgar, N.; Damian, G.; Vasilache, V.; Apopei, A.I. The determination of the Fe content in natural sphalerites by means of Raman spectroscopy. Vib. Spectrosc. 2013, 68, 220–224. [Google Scholar] [CrossRef]
- Damian, G.; Damian, F. Native gold paragenesis of Cremenea vein-Şuior Ore Deposit. Rom. J. Mineral. 1992, 75, 8. [Google Scholar]
- Mariaş, Z.F. Metalogeneza Districtului Minier Baia Mare: Model Bazat pe Sistemul Hidrotermal Cavnic (Maramureş): Evaluări Comparative cu Alte Sisteme Epitermale din Lume; Editura Cornelius: Baia Mare, Romania, 2005. [Google Scholar]
- Plotinskaya, O.Y.; Prokofiev, V.Y.; Damian, G.; Damian, F.; Lehmann, B. The Cisma deposit, Baiut district, Eastern Carpathians, Romania: Sphalerite composition and formation conditions. Carpathian J. Earth Environ. Sci. 2012, 7, 265–273. [Google Scholar]
- Bîrgăoanu, D.; Damian, G.; Buzatu, A. The Fe content in the sphalerites from the Breiner-Băiuț deposit. Rom. J. Miner. Depos. 2018, 91, 37–42. [Google Scholar]
- Babedi, L.; Von Der Heyden, B.P.; Neethling, P.H.; Tadie, M. The effect of Cd-substitution on the Raman vibrational characteristics of sphalerite. Vib. Spectrosc. 2019, 105, 1–6. [Google Scholar] [CrossRef]
- Jimenez-Sandoval, S.; Lopez-Rivera, A.; Irwin, J.C. Influence of reduced mass differences on the Raman spectra of ternary mixed compounds: Zn1−xFexS and Zn1−xMnxS. Phys. Rev. B 2003, 68, 054303. [Google Scholar] [CrossRef]
- Kharbish, S. A Raman spectroscopic investigation of Fe-rich sphalerite: Effect of Fe-substitution. Phys. Chem. Miner. 2007, 34, 551–558. [Google Scholar] [CrossRef]
- Osadchii, E.G.; Gorbaty, Y.E. Raman spectra and unit cell parameters of sphalerite solid solutions (FexZn1− xS). Geochim. Cosmochim. Acta 2010, 74, 568–573. [Google Scholar] [CrossRef]
- Radosavljević, S.A.; Stojanović, J.N.; Radosavljević-Mihajlović, A.S.; Vuković, N.S. (Pb–Sb)-bearing sphalerite from the Čumavići polymetallic ore deposit, Podrinje Metallogenic District, East Bosnia and Herzegovina. Ore Geol. Rev. 2016, 72, 253–268. [Google Scholar] [CrossRef]
- Skinner, B.J. Unit-cell edges of natural and synthetic sphalerites. Am. Mineral. J. Earth Planet. Mater. 1961, 46, 1399–1411. [Google Scholar]
- Barton Jr, P.B.; Kullerud, G. The Fe-Zn-S system. Carnegie Inst. Wash. Year Book 1958, 57, 227–229. [Google Scholar]
- Lepetit, P.; Bente, K.; Doering, T.; Luckhaus, S. Crystal chemistry of Fe-containing sphalerites. Phys. Chem. Miner. 2003, 30, 185–191. [Google Scholar] [CrossRef]
- Sombuthawee, C.; Bonsall, S.B.; Hummel, F.A. Phase equilibria in the systems ZnS-MnS, ZnS-CuInS2, and MnS-CuInS2. J. Solid State Chem. 1978, 25, 391–399. [Google Scholar] [CrossRef]
- Chernyshev, L.V.; Anfilogov, V.N. Subsolidus phase relations in the ZnS-FeS-FeS2 system. Econ. Geol. 1968, 63, 841–844. [Google Scholar] [CrossRef]
- Einaudi, M.T. Sphalerite-pyrrhotite-pyrite equilibria; a re-evaluation. Econ. Geol. 1968, 63, 832–834. [Google Scholar] [CrossRef]
- Manilici, V.; Dumitrescu, A. Temperaturile de formare ale meineralizatiilor polimetalice din zona Baie Mare. Stud. Si Cercet. De Geol. Geofiz. Si Geografie. Ser. Geol. 1981, 26, 11–20. [Google Scholar]
- Borcoş, M.; Gheorghiţă, I.; Lang, B.; Stan, N.; Volanschi, E.; Mîndroiu, V. Consideraţii privind activitatea metalogenetică asociată andezitelor piroxenice sarmaţiene din SW munţilor Gutîi (Ilba-Nistru-Băiţa). Stud. Teh. Ser. I 1972, 6, 65–91. [Google Scholar]
- Nedelcu, L.; Pintea, I. New data regarding the significance of the pyrite morphology and of the fluid inclusions in quartz crystals at Baia Sprie. Rom. J. Mineral. 1993, 76, 79–86. [Google Scholar]
- Pomârleanu, V.; Movileanu, A. Corelaţii asupra distribuţiei conţinutului de mangan din blende şi temperatura de formare a acestora (in romanian—Correlations on the distribution of manganese content in blends and its formation temperatures). St. Cer. Geol. Geofiz. Geogr. Ser. Geol. 1967, 12, 320–324. [Google Scholar]
- Borcoş, M.; Gheorghiţă, I.; Mândroiu, V.; Volanschi, E. Consideraţii privind procesele metalogenetice desfăşurate în extremitatea estică a munţilor Gutâi (zăcământul Băiuţ–Văratec). St. Tehn. Econ. Geol. Econ. 1977, 11, 53–96. [Google Scholar]
- Costin, D.; Vlad, Ş. Ore formation at Văratec-Băiuţ, Baia Mare region, East Carpathians, Romania. Geochemistry. Mineral. Petrol. 2005, 43, 64–68. [Google Scholar]
- Lusk, J.; Scott, S.D.; Ford, C.E. Phase relations in the Fe-Zn-S system to 5 kbars and temperatures between 325 degrees and 150 degrees C. Econ. Geol. 1993, 88, 1880–1903. [Google Scholar] [CrossRef]
- Măldărescu, I.; Popescu, C.G. The physical and structural control of the hydrothermal deposits formation from the Eastern district of Baia Mare metalogenetic District. Stud Cerc. Geologie Ed. Acad. RSR 1980, 26, 241–248. [Google Scholar]
- Toulmin, P.; Barton, P.B.; Wiggins, L.B. Commentary on the sphalerite geobarometer. Am. Mineral. 1991, 76, 1038–1051. [Google Scholar]













| Sample No. | wt.% | Ore Deposits | ||||||||
|---|---|---|---|---|---|---|---|---|---|---|
| S | Zn | Fe | Mn | Cu | Cd | Ag | In | Total | ||
| 12 | 35.0 | 58.87 | 5.72 | 0.20 | n.d. | n.d. | n.d. | n.d. | 99.79 | Turţ Ghezuri |
| 28 | 33.4 | 63.75 | 2.40 | 0.11 | n.d. | n.d. | n.d. | n.d. | 99.66 | Turţ Ghezuri |
| C | 31.0 | 65.60 | 3.23 | n.d. | n.d. | n.d. | n.d. | n.d. | 99.83 | Turţ Ghezuri |
| J | 33.0 | 64.34 | 2.29 | 0.19 | n.d. | n.d. | n.d. | n.d. | 99.82 | Turţ Ghezuri |
| 246 | 32.7 | 59.68 | 7.27 | 0.35 | n.d. | n.d. | n.d. | n.d. | 100 | Turţ Ghezuri |
| 260 | 35.7 | 58.85 | 4.41 | 0.04 | n.d. | n.d. | n.d. | n.d. | 99 | Turţ Ghezuri |
| 520 | 33.3 | 59.84 | 5.80 | 0.06 | n.d. | n.d. | n.d. | n.d. | 99 | Turţ Ghezuri |
| 535 | 33.5 | 61.86 | 4.57 | 0.07 | n.d. | n.d. | n.d. | n.d. | 100 | Turţ Ghezuri |
| 590 | 33.6 | 60.81 | 5.49 | 0.10 | n.d. | 0.09 | n.d. | n.d. | 100.09 | Turţ Ghezuri |
| 597 | 34.2 | 57.10 | 8.54 | 0.16 | n.d. | 0.13 | n.d. | n.d. | 100.13 | Turţ Ghezuri |
| 599 | 34.1 | 58.32 | 7.43 | 0.15 | n.d. | 0.09 | n.d. | n.d. | 100.09 | Turţ Ghezuri |
| TP-1 | 31.2 | 65.573 | 3.19 | n.d. | n.d. | 0.03 | n.d. | n.d. | 99.963 | Turt Penigher |
| TP-3 | 31.2 | 62.50 | 6.25 | n.d. | n.d. | 0.05 | n.d. | n.d. | 100 | Turt Penigher |
| Il-6 | 32.6 | 65.10 | 2.07 | 0.05 | n.d. | 0.18 | n.d. | n.d. | 100 | Ilba |
| Il-13 | 33.9 | 63.86 | 2.15 | 0.05 | 0.01 | 0.05 | n.d. | n.d. | 100.02 | Ilba |
| N-17 | 31.1 | 64.48 | 4.04 | 0.03 | 0.02 | 0.33 | n.d. | n.d. | 100 | Nistru |
| N-491 | 30.7 | 66.50 | 2.38 | 0.03 | n.d. | 0.39 | n.d. | n.d. | 100 | Nistru |
| S-8 | 32.6 | 57.32 | 9.60 | 0.48 | 0.07 | 0.03 | n.d. | n.d. | 100.1 | Săsar |
| S-11 | 32.8 | 52.17 | 8.35 | 0.59 | 6.08 | 0.01 | n.d. | n.d. | 100 | Săsar |
| S-20 | 31.8 | 59,59 | 8.38 | 0.21 | n.d. | 0.02 | n.d. | n.d. | 40.41 | Săsar |
| 1811_an 6 | 32.58 | 60.68 | 5.12 | 0.01 | 0.06 | 0.15 | n.d. | 0.01 | 98.61 | Dealul Crucii |
| 434_an 3 | 32.92 | 57.53 | 7.42 | 0.84 | 0.01 | 0.20 | 0.03 | 0.01 | 98.96 | Dealul Crucii |
| 434_an 4 | 33.53 | 60.92 | 5.16 | 0.70 | 0.09 | 0.18 | n.d. | 0.01 | 100.59 | Dealul Crucii |
| H-14 | 32.0 | 64.496 | 3.30 | 0.03 | n.d. | 0.17 | n.d. | n.d. | 99.996 | Herja |
| H-1 | 31.5 | 55.26 | 12.9 | 0.31 | n.d. | 0.03 | n.d. | n.d. | 100 | Herja |
| H-122 | 31.3 | 58.69 | 9.46 | 0.25 | n.d. | 0.30 | n.d. | n.d. | 100 | Herja |
| H-127 | 32.4 | 56.35 | 10.9 | 0.20 | n.d. | 0.15 | n.d. | n.d. | 100 | Herja |
| H-134 | 32.1 | 63.49 | 4.15 | 0.22 | n.d. | 0.04 | n.d. | n.d. | 100 | Herja |
| H-143 | 31.9 | 61.71 | 5.85 | 0.45 | 0.05 | 0.04 | n.d. | n.d. | 100 | Herja |
| H-147 | 31.7 | 60.33 | 7.86 | 0.10 | n.d. | 0.01 | n.d. | n.d. | 100 | Herja |
| H-8255 | 32.59 | 53.95 | 11.54 | 0.46 | n.d. | 0.11 | n.d. | n.d. | 98.65 | Herja |
| 6757-6 | 38.6 | 52.6 | 7.02 | 0.16 | n.d. | 0.42 | n.d. | n.d. | 98.8 | Baia Sprie |
| 4748-38 | 33.48 | 58.53 | 4.02 | 0.10 | n.d. | 0.24 | n.d. | n.d. | 96.37 | Baia Sprie |
| SR-4 | 31.6 | 60.16 | 7.73 | 0.10 | 0.29 | 0.12 | n.d. | n.d. | 100 | Şuior |
| SR-6 | 30.4 | 56.52 | 11.5 | 0.86 | 0.66 | 0.06 | n.d. | n.d. | 100 | Şuior |
| SR-8 | 30.9 | 61.95 | 6.92 | 0.20 | n.d. | 0.03 | n.d. | n.d. | 100 | Şuior |
| CS12298_an4 | 34.16 | 60.46 | 5.84 | 0.05 | n.d. | 0.42 | n.d. | n.d. | 100.93 | Cisma |
| CS12298_an9 | 33.79 | 62.74 | 4.11 | 0.03 | n.d. | 0.08 | 0.03 | n.d. | 100.78 | Cisma |
| CS-Cx_an4 | 34.23 | 56.80 | 8.63 | 0.51 | 0.08 | 0.33 | 0.02 | n.d. | 100.6 | Cisma |
| CV-5a_an5 | 34.22 | 59.19 | 6.97 | 0.60 | 0.85 | 0.17 | n.d. | n.d. | 102 | Cisma |
| CV-5_an3 | 33.23 | 62.87 | 1.29 | n.d. | n.d. | 0.58 | n.d. | n.d. | 97.97 | Cisma |
| GB-9_an6 | 32.75 | 63.80 | 1.01 | n.d. | 0.20 | 0.36 | n.d. | n.d. | 98.12 | Cisma |
| BB5B | 32.59 | 63.14 | 1.68 | 0.11 | 0.04 | 0.46 | n.d. | n.d. | 98.02 | Breiner |
| BBXR | 30.43 | 62.78 | 2.73 | 0.44 | 1.02 | 0.55 | n.d. | n.d. | 97.95 | Breiner |
| BBXB | 29.82 | 62.69 | 3.30 | 0.11 | 0.90 | 0.72 | n.d. | n.d. | 97.54 | Breiner |
| BB9B | 30.17 | 61.28 | 4.54 | 0.39 | 1.74 | 0.40 | n.d. | n.d. | 98.52 | Breiner |
| BB806R | 35.14 | 56.68 | 5.10 | 0.09 | n.d. | 0.59 | n.d. | n.d. | 97.6 | Breiner |
| BB877R | 29.77 | 59.80 | 6.41 | 0.20 | 1.98 | 0.35 | n.d. | n.d. | 98.51 | Breiner |
| n.d.—not detected | ||||||||||
| No. | Ore Deposits | Fe in Sphalerite wt.% | Temperature | References | ||
|---|---|---|---|---|---|---|
| Max | Min | Max °C | Min °C | |||
| 1 | Ghezuri-Turţ | 8.54 | 2.40 | 300 | 260 | [53] |
| 2 | Penigher-Turţ | 6.25 | 3.19 | 287 | 260 | [53] |
| 3 | Ilba | 2.15 | 2.07 | 360 | 200 | [54] |
| 4 | Nistru 1 | 16.00 | 2.01 | 300 | 200 | [24] |
| 5 | Sasar | 9.60 | 5.12 | 350 | 250 | [33] |
| 6 | Herja | 12.90 | 3.30 | 300 | 250 | [23] |
| 350 | 200 | [35] | ||||
| 7 | Baia Sprie 2 | 7.00 | 4.00 | 300 | 240 | [23] |
| 345 | 190 | [55] | ||||
| 8 | Şuior | 4.80 | 0.80 | 280 | 230 | [23] |
| 9 | Cavinic 3 | 4.80 | 0.10 | 298 | 250 | [56] |
| 10 | Băiuţ | 6.41 | 1.68 | 360 | 230 | [57] |
| 357 | 228 | [58] | ||||
| 11 | Cisma 1 | 8.63 | 1.30 | 344 | 143 | [40] |
Publisher’s Note: MDPI stays neutral with regard to jurisdictional claims in published maps and institutional affiliations. |
© 2021 by the authors. Licensee MDPI, Basel, Switzerland. This article is an open access article distributed under the terms and conditions of the Creative Commons Attribution (CC BY) license (https://creativecommons.org/licenses/by/4.0/).
Share and Cite
Damian, G.; Buzatu, A.; Apopei, A.I.; Damian, F.; Maftei, A.E. Hydrothermal Sphalerites from Ore Deposits of Baia Mare Area. Minerals 2021, 11, 1323. https://doi.org/10.3390/min11121323
Damian G, Buzatu A, Apopei AI, Damian F, Maftei AE. Hydrothermal Sphalerites from Ore Deposits of Baia Mare Area. Minerals. 2021; 11(12):1323. https://doi.org/10.3390/min11121323
Chicago/Turabian StyleDamian, Gheorghe, Andrei Buzatu, Andrei Ionuţ Apopei, Floarea Damian, and Andreea Elena Maftei. 2021. "Hydrothermal Sphalerites from Ore Deposits of Baia Mare Area" Minerals 11, no. 12: 1323. https://doi.org/10.3390/min11121323
APA StyleDamian, G., Buzatu, A., Apopei, A. I., Damian, F., & Maftei, A. E. (2021). Hydrothermal Sphalerites from Ore Deposits of Baia Mare Area. Minerals, 11(12), 1323. https://doi.org/10.3390/min11121323

