Reduced Graphene Oxide Membranes as Potential Self-Assembling Filter for Wastewater Treatment
Abstract
1. Introduction
2. Materials and Methods
3. Results and Discussion
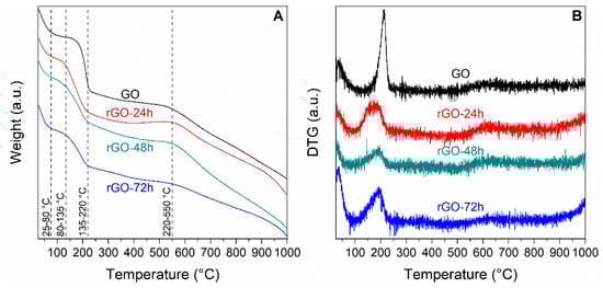
3.1. Membranes Characterization
3.2. Metal Capture Tests
3.2.1. Water Softening
3.2.2. Transition and Heavy Metals Capture in Mine Wastewater
4. Conclusions
Author Contributions
Funding
Institutional Review Board Statement
Informed Consent Statement
Data Availability Statement
Acknowledgments
Conflicts of Interest
References
- Qu, X.; Alvarez, P.J.J.; Li, Q. Applications of nanotechnology in water and wastewater treatment. Water Res. 2013. [Google Scholar] [CrossRef]
- World Health Organization. WHO and UNICEF Progress on Drinking Water, Sanitation and Hygiene: 2017 Update and SDG Baseline; World Health Organization: Geneva, Switzerland, 2017. [Google Scholar]
- Chen, Y.; Chen, L.; Bai, H.; Li, L. Graphene oxide-chitosan composite hydrogels as broad-spectrum adsorbents for water purification. J. Mater. Chem. A 2013. [Google Scholar] [CrossRef]
- Letterman, R. Water Quality and Treatment, a Handbook of Community Water Supplies, 5th ed.; American Water Works Association, McGraw-Hill Inc.: New York, NY, USA, 1999. [Google Scholar]
- Iannicelli-Zubiani, E.M.; Cristiani, C.; Dotelli, G.; Gallo Stampino, P. Recovery of valuable metals from electronic scraps by clays and organo-clays: Study on bi-ionic model solutions. Waste Manag. 2017. [Google Scholar] [CrossRef] [PubMed]
- Iannicelli-Zubiani, E.M.; Cristiani, C.; Dotelli, G.; Gallo Stampino, P.; Pelosato, R.; Mesto, E.; Schingaro, E.; Lacalamita, M. Use of natural clays as sorbent materials for rare earth ions: Materials characterization and set up of the operative parameters. Waste Manag. 2015. [Google Scholar] [CrossRef] [PubMed]
- Saleem, H.; Zaidi, S.J. Developments in the Application of Nanomaterials for Water Treatment and Their Impact on the Environment. Nanomaterials 2020, 10, 1764. [Google Scholar] [CrossRef] [PubMed]
- Han, H.; Rafiq, M.K.; Zhou, T.; Xu, R.; Mašek, O.; Li, X. A critical review of clay-based composites with enhanced adsorption performance for metal and organic pollutants. J. Hazard. Mater. 2019. [Google Scholar] [CrossRef]
- Santhosh, C.; Velmurugan, V.; Jacob, G.; Jeong, S.K.; Grace, A.N.; Bhatnagar, A. Role of nanomaterials in water treatment applications: A review. Chem. Eng. J. 2016, 306, 1116–1137. [Google Scholar] [CrossRef]
- Alnoor, O.; Laoui, T.; Ibrahim, A.; Kafiah, F.; Nadhreen, G.; Akhtar, S.; Khan, Z. Graphene oxide-based membranes for water purification applications: Effect of plasma treatment on the adhesion and stability of the synthesized membranes. Membranes (Basel) 2020, 10, 292. [Google Scholar] [CrossRef]
- Zouzelka, R.; Remzova, M.; Plsek, J.; Brabec, L.; Rathousky, J. Immobilized rGO/TiO2 photocatalyst for decontamination of water. Catalysts 2019, 9, 708. [Google Scholar] [CrossRef]
- Jawed, A.; Saxena, V.; Pandey, L.M. Engineered nanomaterials and their surface functionalization for the removal of heavy metals: A review. J. Water Process Eng. 2020, 33, 101009. [Google Scholar] [CrossRef]
- Iannicelli-Zubiani, E.M.; Gallo Stampino, P.; Cristiani, C.; Dotelli, G. Enhanced lanthanum adsorption by amine modified activated carbon. Chem. Eng. J. 2018. [Google Scholar] [CrossRef]
- Khan, Z.U.; Kausar, A.; Ullah, H.; Badshah, A.; Khan, W.U. A review of graphene oxide, graphene buckypaper, and polymer/graphene composites: Properties and fabrication techniques. J. Plast. Film Sheeting 2016, 32, 336–379. [Google Scholar] [CrossRef]
- Krishnamoorthy, K.; Veerapandian, M.; Yun, K.; Kim, S.J. The chemical and structural analysis of graphene oxide with different degrees of oxidation. Carbon N. Y. 2013. [Google Scholar] [CrossRef]
- Zhu, Y.; Murali, S.; Cai, W.; Li, X.; Suk, J.W.; Potts, J.R.; Ruoff, R.S. Graphene and graphene oxide: Synthesis, properties, and applications. Adv. Mater. 2010. [Google Scholar] [CrossRef]
- Stankovich, S.; Dikin, D.A.; Piner, R.D.; Kohlhaas, K.A.; Kleinhammes, A.; Jia, Y.; Wu, Y.; Nguyen, S.B.T.; Ruoff, R.S. Synthesis of graphene-based nanosheets via chemical reduction of exfoliated graphite oxide. Carbon N. Y. 2007. [Google Scholar] [CrossRef]
- Basso Peressut, A.; Latorrata, S.; Gallo Stampino, P.; Dotelli, G. Development of self-assembling sulfonated graphene oxide membranes as a potential proton conductor. Mater. Chem. Phys. 2021, 257, 123768. [Google Scholar] [CrossRef]
- Chen, C.; Yang, Q.H.; Yang, Y.; Lv, W.; Wen, Y.; Hou, P.X.; Wang, M.; Cheng, H.M. Self-assembled free-standing graphite oxide membrane. Adv. Mater. 2009. [Google Scholar] [CrossRef]
- Eda, G.; Chhowalla, M. Chemically Derived Graphene Oxide: Towards Large-Area Thin-Film Electronics and Optoelectronics. Adv. Mater. 2010, 22, 2392–2415. [Google Scholar] [CrossRef]
- Han, Y.; Xu, Z.; Gao, C. Ultrathin graphene nanofiltration membrane for water purification. Adv. Funct. Mater. 2013. [Google Scholar] [CrossRef]
- Guoxiu, W.; Juan, Y.; Jinsoo, P.; Xinglong, G.; Bei, W.; Hao, L.; Jane, Y. Facile synthesis and characterization of graphene nanosheets. J. Phys. Chem. C 2008. [Google Scholar] [CrossRef]
- Migliavacca, A.; Latorrata, S.; Gallo Stampino, P.; Dotelli, G. Preparation and characterization of graphene oxide based membranes as possible Gas Diffusion Layers for PEM fuel cells with enhanced surface homogeneity. Mater. Today Proc. 2017, 4, 11594–11607. [Google Scholar] [CrossRef]
- Mi, B. Graphene Oxide Membranes for Ionic and Molecular Sieving. Science 2014, 343, 740–742. [Google Scholar] [CrossRef] [PubMed]
- Tuan, T.N.; Chung, S.; Lee, J.K.; Lee, J. Improvement of water softening efficiency in capacitive deionization by ultra purification process of reduced graphene oxide. Curr. Appl. Phys. 2015. [Google Scholar] [CrossRef]
- World Health Organization. WHO Guidelines for Drinking-water Quality; World Health Organization: Geneva, Switzerland, 2008. [Google Scholar]
- D’Andrea, G. Report: Private Communication between University Groups (Politecnico di Milano and Oulu University) and Industry, 2019.
- Jiao, X.; Qiu, Y.; Zhang, L.; Zhang, X. Comparison of the characteristic properties of reduced graphene oxides synthesized from natural graphites with different graphitization degrees. RSC Adv. 2017. [Google Scholar] [CrossRef]
- Wei, L.; Mao, Y. Enhanced hydrogen storage performance of reduced graphene oxide hybrids with nickel or its metallic mixtures based on spillover mechanism. Int. J. Hydrog. Energy 2016. [Google Scholar] [CrossRef]
- Park, S.; An, J.; Potts, J.R.; Velamakanni, A.; Murali, S.; Ruoff, R.S. Hydrazine-reduction of graphite- and graphene oxide. Carbon N. Y. 2011. [Google Scholar] [CrossRef]
- Moon, I.K.; Lee, J.; Ruoff, R.S.; Lee, H. Reduced graphene oxide by chemical graphitization. Nat. Commun. 2010. [Google Scholar] [CrossRef]
- Ding, J.; Yan, W.; Xie, W.; Sun, S.; Bao, J.; Gao, C. Highly efficient photocatalytic hydrogen evolution of graphene/YInO 3 nanocomposites under visible light irradiation. Nanoscale 2014. [Google Scholar] [CrossRef]
- Cai, X.; Lei, T.; Sun, D.; Lin, L. A critical analysis of the α, β and γ phases in poly(vinylidene fluoride) using FTIR. RSC Adv. 2017. [Google Scholar] [CrossRef]
- Amouamouha, M.; Gholikandi, G.B. Characterization and antibiofouling performance investigation of hydrophobic silver nanocomposite membranes: A comparative study. Membranes (Basel) 2017, 7, 64. [Google Scholar] [CrossRef]
- Van Goethem, C.; Magboo, M.M.; Mertens, M.; Thijs, M.; Koeckelberghs, G.; Vankelecom, I.F.J. A scalable crosslinking method for PVDF-based nanofiltration membranes for use under extreme pH conditions. J. Memb. Sci. 2020. [Google Scholar] [CrossRef]
- Acik, M.; Lee, G.; Mattevi, C.; Chhowalla, M.; Cho, K.; Chabal, Y.J. Unusual infrared-absorption mechanism in thermally reduced graphene oxide. Nat. Mater. 2010, 9, 840–845. [Google Scholar] [CrossRef]
- Ferrari, A.; Robertson, J. Interpretation of Raman spectra of disordered and amorphous carbon. Phys. Rev. B Condens. Matter Mater. Phys. 2000. [Google Scholar] [CrossRef]
- Tuinstra, F.; Koenig, J.L. Raman spectrum of graphite. J. Chem. Phys. 1970. [Google Scholar] [CrossRef]
- Bose, S.; Drzal, L.T. Role of thickness and intercalated water in the facile reduction of graphene oxide employing camera flash. Nanotechnology 2014. [Google Scholar] [CrossRef] [PubMed]
- Huang, N.M.; Chang, B.Y.S. Facile hydrothermal preparation of titanium dioxide decorated reduced graphene oxide nanocomposite. Int. J. Nanomed. 2012, 7, 3379. [Google Scholar] [CrossRef] [PubMed][Green Version]
- Sengupta, I.; Chakraborty, S.; Talukdar, M.; Pal, S.K.; Chakraborty, S. Thermal reduction of graphene oxide: How temperature influences purity. J. Mater. Res. 2018. [Google Scholar] [CrossRef]
- Tansel, B. Significance of thermodynamic and physical characteristics on permeation of ions during membrane separation: Hydrated radius, hydration free energy and viscous effects. Sep. Purif. Technol. 2012. [Google Scholar] [CrossRef]
- VanLoon, G.W.; Duffy, S.J. Environmental chemistry: A global perspective. Choice Rev. Online 2011, 48. [Google Scholar] [CrossRef]
- Rajesh, S.; Bose, A.B. Development of Graphene Oxide Framework Membranes via the “from” and “to” Cross-Linking Approach for Ion-Selective Separations. ACS Appl. Mater. Interfaces 2019. [Google Scholar] [CrossRef] [PubMed]
- Park, S.; Lee, K.S.; Bozoklu, G.; Cai, W.; Nguyen, S.B.T.; Ruoff, R.S. Graphene oxide papers modified by divalent ions Enhancing mechanical properties via chemical cross-linking. ACS Nano 2008. [Google Scholar] [CrossRef] [PubMed]
- Narayan, P.S.; Teradal, N.L.; Jaldappagari, S.; Satpati, A.K. Eco-friendly reduced graphene oxide for the determination of mycophenolate mofetil in pharmaceutical formulations. J. Pharm. Anal. 2018. [Google Scholar] [CrossRef] [PubMed]
- Kim, J.; Lee, S.E.; Seo, S.; Woo, J.Y.; Han, C.S. Near-complete blocking of multivalent anions in graphene oxide membranes with tunable interlayer spacing from 3.7 to 8.0 angstrom. J. Membr. Sci. 2019. [Google Scholar] [CrossRef]
- Sun, P.; Zhu, M.; Wang, K.; Zhong, M.; Wei, J.; Wu, D.; Xu, Z.; Zhu, H. Selective ion penetration of graphene oxide membranes. ACS Nano 2013. [Google Scholar] [CrossRef]
- Rulisek, L.; Havlas, Z. Theoretical studies of metal ion selectivity. 1. DFT calculations of interaction energies of amino acid side chains with selected transition metal ions (Co2+, Ni2+, Cu2+, Zn2+, Cd2+, and Hg2+). J. Am. Chem. Soc. 2000. [Google Scholar] [CrossRef]
- Marino, T.; Toscano, M.; Russo, N.; Grand, A. Structural and electronic characterization of the complexes obtained by the interaction between bare and hydrated first-row transition-metal ions (Mn 2+, Fe2+, Co2+, Ni2+, Cu2+, Zn 2+) and glycine. J. Phys. Chem. B 2006. [Google Scholar] [CrossRef]
- Ozcan, S.G.; Satiroglu, N.; Soylak, M. Column solid phase extraction of iron(III), copper(II), manganese(II) and lead(II) ions food and water samples on multi-walled carbon nanotubes. Food Chem. Toxicol. 2010. [Google Scholar] [CrossRef]
- Shakoor, M.B.; Ali, S.; Rizwan, M.; Abbas, F.; Bibi, I.; Riaz, M.; Khalil, U.; Niazi, N.K.; Rinklebe, J. A review of biochar-based sorbents for separation of heavy metals from water. Int. J. Phytoremediation 2020, 22, 111–126. [Google Scholar] [CrossRef]
- Hashemi, B.; Rezania, S. Carbon-based sorbents and their nanocomposites for the enrichment of heavy metal ions: A review. Microchim. Acta 2019, 186, 578. [Google Scholar] [CrossRef]
- Duru, İ.; Ege, D.; Kamali, A.R. Graphene oxides for removal of heavy and precious metals from wastewater. J. Mater. Sci. 2016, 51, 6097–6116. [Google Scholar] [CrossRef]
- Wu, W.; Yang, Y.; Zhou, H.; Ye, T.; Huang, Z.; Liu, R.; Kuang, Y. Highly efficient removal of Cu(II) from aqueous solution by using graphene oxide. Water Air Soil Pollut. 2013. [Google Scholar] [CrossRef]
- Sitko, R.; Turek, E.; Zawisza, B.; Malicka, E.; Talik, E.; Heimann, J.; Gagor, A.; Feist, B.; Wrzalik, R. Adsorption of divalent metal ions from aqueous solutions using graphene oxide. Dalton Trans. 2013. [Google Scholar] [CrossRef]
- Manousi, N.; Rosenberg, E.; Deliyanni, E.A.; Zachariadis, G.A. Sample preparation using graphene-oxide-derived nanomaterials for the extraction of metals. Molecules 2020, 25, 2411. [Google Scholar] [CrossRef] [PubMed]
- Pourjavid, M.R.; Sehat, A.A.; Arabieh, M.; Yousefi, S.R.; Hosseini, M.H.; Rezaee, M. Column solid phase extraction and flame atomic absorption spectrometric determination of manganese(II) and iron(III) ions in water, food and biological samples using 3-(1-methyl-1H-pyrrol-2-yl)-1H-pyrazole-5-carboxylic acid on synthesized graphene oxide. Mater. Sci. Eng. C 2014. [Google Scholar] [CrossRef] [PubMed]







| Ion | Concentration | |
|---|---|---|
| [mg/L] | [mM] | |
| Fe3+ | 4 | 0.0716 |
| Mn2+ | 1 | 0.0182 |
| Ni2+ | 0.4 | 0.0068 |
| Cu2+ | 4 | 0.0063 |
| T Range [°C] | Phenomenon | Weight Loss [%] | |||
|---|---|---|---|---|---|
| GO | rGO-24h | rGO-48h | rGO-72h | ||
| 25–80 | Evolution of physisorbed water | 11.7 | 7.8 | 7.2 | 9.8 |
| 80–135 | Evolution of intercalated water | 3.0 | 3.3 | 4.0 | 4.3 |
| 135–220 | Loss of weak oxygenated groups | 25.0 | 24.0 | 18.1 | 14.5 |
| 220–550 | Decomposition of oxygenated groups | 7.2 | 5.0 | 10.2 | 8.6 |
| 550–1000 | Breakdown of GO framework | 34.0 | 34.4 | 40.4 | 24.9 |
| Ion | pH Mono | pH Multi | ηi % Mono | ηi % Multi |
|---|---|---|---|---|
| Fe3+ | 3.8 | 3.7 | 92 | 94 |
| Cu2+ | 4.4 | 57 | 32 | |
| Ni2+ | 5.0 | 96 | 14 | |
| Mn2+ | 5.4 | 59 | 0 |
| Metal | pH Range | ||
|---|---|---|---|
| 0–4 | 4–8 | 8–12 | |
| Fe | Fe2+ FeOH2+ FeCl2+ Fe(OH)2+ | Fe(OH)2.7Cl0.3 | Fe2O3 |
| Cu | Cu2+ CuCl+ | CuOH+ Cu2(OH)22+ | CuO Cu(OH)3− Cu(OH)42− Cu(OH)2 |
| Mn | Mn2+ MnCl+ | Mn2+ MnCl+ | Mn2(OH)3+ MnOH+ Mn(OH)2 |
| Ni | Ni2+ | NiOH+ | Ni(OH)2 Ni(OH)3− |
| Ion | Ionic Radius [nm] | Hydrated Radius [nm] | Z2/r [1/nm] |
|---|---|---|---|
| Fe3+ | 0.065 | 0.480 | 140.63 |
| Cu2+ | 0.073 | 0.419 | 54.05 |
| Ni2+ | 0.069 | 0.404 | 57.14 |
| Mn2+ | 0.083 | 0.438 | 48.00 |
| Ion | Adsorption Capacity (mono-ion) [mg/g] | Adsorption Capacity (multi-ion) [mg/g] |
|---|---|---|
| Fe3+ | 38.4 | 37.0 |
| Cu2+ | 27.4 | 14.9 |
| Ni2+ | 16.0 | 4.2 |
| Mn2+ | 12.2 | - |
Publisher’s Note: MDPI stays neutral with regard to jurisdictional claims in published maps and institutional affiliations. |
© 2020 by the authors. Licensee MDPI, Basel, Switzerland. This article is an open access article distributed under the terms and conditions of the Creative Commons Attribution (CC BY) license (http://creativecommons.org/licenses/by/4.0/).
Share and Cite
Latorrata, S.; Cristiani, C.; Basso Peressut, A.; Brambilla, L.; Bellotto, M.; Dotelli, G.; Finocchio, E.; Gallo Stampino, P.; Ramis, G. Reduced Graphene Oxide Membranes as Potential Self-Assembling Filter for Wastewater Treatment. Minerals 2021, 11, 15. https://doi.org/10.3390/min11010015
Latorrata S, Cristiani C, Basso Peressut A, Brambilla L, Bellotto M, Dotelli G, Finocchio E, Gallo Stampino P, Ramis G. Reduced Graphene Oxide Membranes as Potential Self-Assembling Filter for Wastewater Treatment. Minerals. 2021; 11(1):15. https://doi.org/10.3390/min11010015
Chicago/Turabian StyleLatorrata, Saverio, Cinzia Cristiani, Andrea Basso Peressut, Luigi Brambilla, Maurizio Bellotto, Giovanni Dotelli, Elisabetta Finocchio, Paola Gallo Stampino, and Gianguido Ramis. 2021. "Reduced Graphene Oxide Membranes as Potential Self-Assembling Filter for Wastewater Treatment" Minerals 11, no. 1: 15. https://doi.org/10.3390/min11010015
APA StyleLatorrata, S., Cristiani, C., Basso Peressut, A., Brambilla, L., Bellotto, M., Dotelli, G., Finocchio, E., Gallo Stampino, P., & Ramis, G. (2021). Reduced Graphene Oxide Membranes as Potential Self-Assembling Filter for Wastewater Treatment. Minerals, 11(1), 15. https://doi.org/10.3390/min11010015

