Progressive Damage of a Canadian Granite in Laboratory Compression Tests and Underground Excavations
Abstract
1. Introduction
2. A Review of the Mechanical Behaviour of LdB Granite from Laboratory Uniaxial and Triaxial Tests
2.1. Crack Initiation, Propagation and Coalescence
2.2. Strength Criteria and Damage
2.3. Cohesion Loss and Friction Mobilization
3. Constitutive Model for the Mechanical Behaviour of LdB
- Plastic strain (irrecoverable strain) is due to crack initiation and propagation. The effective plastic strain, as defined in Equation (5), is assumed to be a damage indicator.
- The Drucker-Prager yield criterion is used to define the onset of plastic deformation. The cohesion and friction angle associated with the yield criterion are not constant but are also function of the effective plastic strain. Furthermore, they are not mobilized simultaneously.
- The ultimate strength of the rock corresponds to the crack damage level. This strength will degrade as a function of time to a threshold level, as suggested by Damjanac and Fairhurst [35].
- Strain localization in the post-failure stage is not considered in this study.
Evolution Laws for Cohesion and Friction
4. Simulation of Laboratory Compression Tests
5. Simulation of Excavation Damage and Pore Pressure Evolutions around a Test Tunnel in LdB Granite
5.1. The Tunnel Sealing Experiment (TSX)
5.2. Hydro-Mechanical Model of LdB Granite
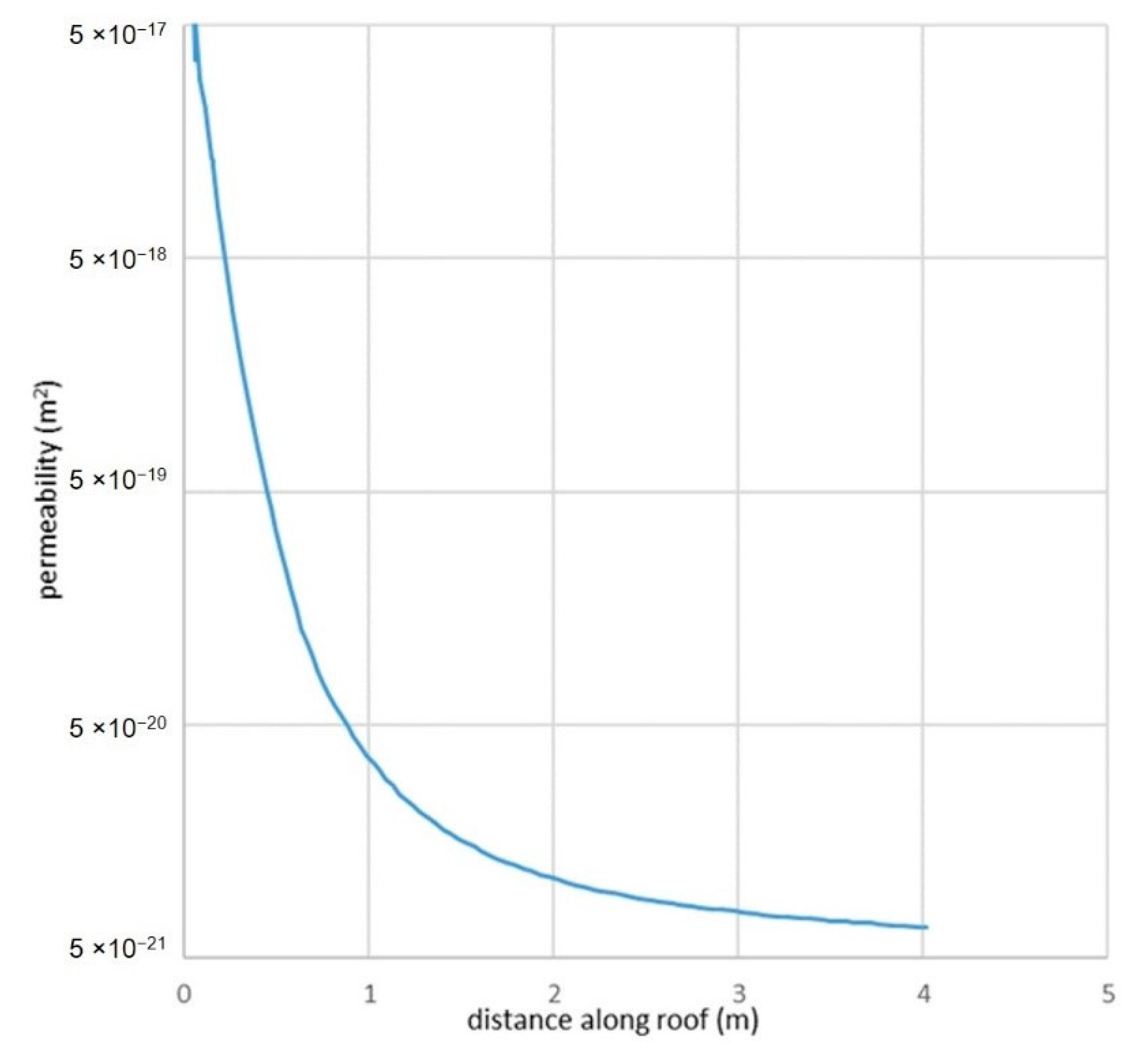
5.3. Modelling Results for the Hydro-Mechanical Response of the LdB Granite to Tunnel Excavation
6. Conclusions
Funding
Data Availability Statement
Conflicts of Interest
References
- POSIVA. Safety Case for the Disposal of Spent Nuclear Fuel at Olkiluoto—Synthesis 2012. POSIVA 2012-12 Report. 2012. Available online: http://www.posiva.fi/files/2987/Posiva_2012-12web.pdf (accessed on 1 October 2020).
- SKB. Long Term Safety for the Final Repository for Spent Nuclear Fuel at Forsmark—Main Report of the SR-Site Project Volume I. SKB TR-11-01 Report. 2011. Available online: https://www.skb.com/future-projects/the-spent-fuel-repository/our-applications/ (accessed on 1 October 2020).
- Nuclear Waste Management Organization (NWMO). Implementing Adaptive Phased Management 2020 to 2024. NWMO Report. 2020. Available online: https://www.nwmo.ca/en/Reports (accessed on 1 October 2020).
- International Atomic Energy Agency (IAEA). Geological Disposal Facility for Radioactive Waste. Specific Safety Guide SSG-14. 2011. Available online: https://www-pub.iaea.org/MTCD/Publications/PDF/Pub1483_web.pdf (accessed on 1 October 2020).
- NWMO. Deep Geological Repository Conceptual Design Report Crystalline/Sedimentary Rock Environment. NWMO Report APM-REP-00440-0015 R001. 2016. Available online: https://www.nwmo.ca/en/Reports (accessed on 1 October 2020).
- Nguyen, T.S.; Li, Z.; Su, G.; Nasseri, H.B.; Young, R.P. Hydro-mechanical behavior of an argillaceous limestone considered as a potential host formation for radioactive waste disposal. J. Rock Mech. Geotech. Eng. 2018, 10, 1063–1081. [Google Scholar] [CrossRef]
- Selvadurai, A.P.S.; Giowacki, A. Estimate for the local permeability of the Cobourg limestone. J. Rock Mech. Geotech. Eng. 2018, 10, 1009–1019. [Google Scholar] [CrossRef]
- Chandler, N.A. Twenty years of underground research at Canada’s URL. In Proceedings of the WM’03 Conference, Tucson, AZ, USA, 23–27 February 2003. [Google Scholar]
- Chandler, N.; Guo, R.; Read, R. (Eds.) Rock Mechanics Results from the Underground Research Laboratory, Canada. Int. J. Rock Mech. Min. Sci. 2004, 41, 1221–1458. [Google Scholar]
- Selvadurai, A.P.S.; Blain-Coallier, A.; Selvadurai, P.A. Estimates for the Effective permeability of intact granite obtained from the Eastern and western flanks of the Canadian Shield. Minerals 2020, 10, 667. [Google Scholar] [CrossRef]
- Lau, J.S.O.; Gorski, B. The Post Failure Behaviour of Lac du Bonnet Granite; CANMET divisional report MRL 91-079 (TR); Department of Energy, Mines and Resources: Ottawa, ON, Canada, 1991. [Google Scholar]
- Lau, J.S.O.; Chandler, N.A. Innovative laboratory testing. Int. J. Rock Mech. Min. Sci. 2004, 41, 1251–1275. [Google Scholar] [CrossRef]
- Martino, J.B.; Chandler, N.A. Excavation-induced damage studies at the Underground Research Laboratory. Int. J. Rock Mech. Min. Sci. 2004, 41, 1427–1445. [Google Scholar] [CrossRef]
- Read, R.S. 20 years of excavation response studies at AECL’s Underground Research Laboratory. Int. J. Rock Mech. Min. Sci. 2004, 41, 1413–1426. [Google Scholar] [CrossRef]
- Nguyen, T.S.; Selvadurai, A.P.S. Coupled thermal-mechanical-hydrological behaviour of sparsely fractured rock: Implications for nuclear fuel waste disposal. Int. J. Rock Mech. Min. Sci. Geomech. Abstr. 1995, 32, 465–480. [Google Scholar] [CrossRef]
- Nguyen, T.S.; Selvadurai, A.P.S. A model for coupled mechanical and hydraulic behaviour of a rock joint. Int. J. Numer. Anal. Methods Geomech. 1998, 22, 29–48. [Google Scholar] [CrossRef]
- Peltier, W.R. Long-Term Climate Change; Report NWMO DGR-TR-2011-14 R000; NWMO: Toronto, ON, Canada, 2011. [Google Scholar]
- Nasir, O.; Fall, M.; Nguyen, T.S.; Evgin, E. Modelling of the hydro-mechanical response of sedimentary rocks of southern Ontario to past glaciations. Eng. Geol. 2011, 123, 271–287. [Google Scholar] [CrossRef]
- Canadian Nuclear Safety Commission. CNSC Research on Geological Repositories. 2017. Available online: http://nuclearsafety.gc.ca/eng/waste/cnsc-research/geologic-repositories/#seca (accessed on 1 October 2020).
- Akesson, U. Characterisation of Micro Cracks Caused by Core Disking; SKB Report P-08-103; Swedish Nuclear Fueland Waste Management Co.: Stockholm, Sweden, 2008. [Google Scholar]
- Berry, J.P. Some kinetic considerations of the Griffith criterion for fracture I: Equations of motion at constant force. J. Mech. Phys Solids 1960, 8, 194–206. [Google Scholar] [CrossRef]
- Cook, N.G.W. The failure of rock. Int. J. Rock Mech. Min. Sci. Geomech. Abstr. 1965, 2, 389–403. [Google Scholar] [CrossRef]
- Brace, W.F. Brittle Fracture of rocks. In State of Stress in the Earth’s Crust; Judd, W.R., Ed.; American Elsevier Publishing Company: New York, NY, USA, 1964. [Google Scholar]
- Bieniawski, Z.T. Mechanisms of brittle fracture of rocks, parts I-theory of the fracture process. Int. J. Rock Mech. Min. Sci. Geomech. Abstr. 1967, 4, 395–404. [Google Scholar] [CrossRef]
- Bieniawski, Z.T. Mechanisms of brittle fracture of rocks, parts II-experimental studies. Int. J. Rock Mech. Min. Sci. Geomech. Abstr. 1967, 4, 407–408. [Google Scholar] [CrossRef]
- Bieniawski, Z.T. Mechanisms of brittle fracture of rocks, parts III-fracture in tension and under long-term loading. Int. J. Rock Mech. Min. Sci. Geomech. Abstr. 1967, 4, 425–426. [Google Scholar] [CrossRef]
- Martin, C.D. The Strength of Massive Lac du Bonnet Granite around Underground Openings. Ph.D. Thesis, Department of Civil Engineering, University of Manitoba, Winnipeg, MB, Canada, 1993. [Google Scholar]
- Martin, C.D.; Chandler, N.A. The progressive fracture of Lac du Bonnet granite. Int. J. Rock Mech. Min. Sci. Geomech. Abstr. 1994, 31, 643–659. [Google Scholar] [CrossRef]
- Eberhardt, E.; Stead, D.; Stimpson, B.; Read, E.S. Identifying crack initiation and propagation thresholds in brittle rock. Can. Geotech. J. 1998, 35, 222–233. [Google Scholar] [CrossRef]
- Lan, H.; Martin, C.D.; Hu, B. Effect of heterogeneity of brittle rock on micromechanical extensile behavior during compression loading. J. Geophys. Res. 2010, 115, 1–14. [Google Scholar] [CrossRef]
- Hoek, E.; Martin, C.D. Fracture initiation and propagation in intact rock—A review. J. Rock Mech. Geotech. Eng. 2014, 6, 287–300. [Google Scholar] [CrossRef]
- Griffith, A.A. The phenomena of rupture and flow in solids. Phil. Trans. Royal Soc. Lond. 1921, 221, 163–198. [Google Scholar]
- Martin, C.D.; Christiansson, R. Estimating the potential for spalling around a deep nuclear waste repository in crystalline rock. Int. J. Rock Mech. Min. Sci. Geomech. Abstr. 2009, 46, 219–228. [Google Scholar] [CrossRef]
- Schmidtke, R.H.; Lajtai, E.Z. The long-term strength of Lac du Bonnet granite. Int. J. Rock Mech. Min. Sci. Geomech. Abstr. 1985, 22, 461–465. [Google Scholar] [CrossRef]
- Damjanac, B.; Fairhurst, C. Evidence for a long term strength threshold in crystalline rock. Rock Mech. Rock Eng. 2010, 43, 513–531. [Google Scholar] [CrossRef]
- Hajiabdolmajid, V.; Kaiser, P.K.; Martin, C.D. Modelling brittle failure of rock. J. Rock Mech. Min. Sci. 2002, 39, 731–741. [Google Scholar] [CrossRef]
- Patel, S.; Martin, C.D. Effect of stress path on the failure envelope of intact crystalline rock at low confining stress. Minerals 2020, 10, 1119. [Google Scholar] [CrossRef]
- Duevel, B.; Haimson, B. Mechanical characterization of pink Lac du Bonnet granite: Evidence of nonlinearity and anisotropy. Int. J. Rock Mech. Min. Sci. 1997, 34, 117-e1–117.e18. [Google Scholar] [CrossRef]
- Ghazvinian, E. Fracture Initiation and Propagation in Low Porosity Crystalline Rocks: Implications for Excavation Damage Zone (EDZ) Mechanics. Ph.D. Thesis, Queen’s University, Kingston, ON, Canada, 2015. [Google Scholar]
- Ghazvinian, E.; Diederichs, M.S.; Labrie, D.; Martin, C.D. An investigation on the fabric type dependency of the crack damage thresholds in brittle rocks. Geotech. Geol. Eng. 2015, 33, 1409–1429. [Google Scholar] [CrossRef]
- Ghazvinian, E.; Perras, M.; Langford, C.; Diederichs, M.; Labrie, D. A comprehensive investigation of crack damage anisotropy in Cobourg limestone and its effect on the failure envelope. In Proceedings of the GeoMontreal 2013, 66th Canadian Geotechnical Society Conference, Montreal, QC, Canada, 29 September–3 October 2013. [Google Scholar]
- Chandler, N.; Cournut, A.; Dixon, D.; Fairhurst, C.; Hansen, F.; Gray, M.; Hara, K.; Ishijima, Y.; Kozak, E.; Martino, J.; et al. The Five-Year Report on the Tunnel Sealing Experiment: An International Project of AECL, JNC, ANDARA and WIPP; AECL Whiteshell Laboratories: Pinawa, MB, Canada, 2002; AECL-12127. [Google Scholar]
- Mahyari, A.T.; Selvadurai, A.P.S. Enhanced consolidation in brittle geomaterials susceptible to damage. Mech. Coh-Frict. Mat. 1998, 3, 291–303. [Google Scholar] [CrossRef]
- Souley, M.; Homand, F.; Pepa, S.; Hoxha, D. Damage-induced permeability changes in granite: A case example at the URL in Canada. Int. J. Rock Mech. Min. Sci. 2001, 38, 297–310. [Google Scholar] [CrossRef]
- Shirazi, A.; Selvadurai, A.P.S. Lateral loading of a rigid rock socket embedded in a damage susceptible poroelastic solid. Int. J. Geomech. 2005, 5, 276–285. [Google Scholar] [CrossRef]

















| Property | Input Value | Reference |
|---|---|---|
| Young’s modulus (GPa) | 48 | Figure 3 |
| Poisson’s ratio (adimensional) | 0.2 | Lau et al. [12] |
| Cohesion (MPa) | 20 (maximum), 5(residual) | Figure 4b |
| Friction (°) | 0 to 72—degrade to 67 in 365 days | Figure 4b |
| Dilation angle (°) | 40% of friction angle | Assumed |
| Tensile strength (Mpa) | 7.5 to 9 | Hoek and Martin [31] |
Publisher’s Note: MDPI stays neutral with regard to jurisdictional claims in published maps and institutional affiliations. |
© 2020 by the author. Licensee MDPI, Basel, Switzerland. This article is an open access article distributed under the terms and conditions of the Creative Commons Attribution (CC BY) license (http://creativecommons.org/licenses/by/4.0/).
Share and Cite
Nguyen, T.S. Progressive Damage of a Canadian Granite in Laboratory Compression Tests and Underground Excavations. Minerals 2021, 11, 10. https://doi.org/10.3390/min11010010
Nguyen TS. Progressive Damage of a Canadian Granite in Laboratory Compression Tests and Underground Excavations. Minerals. 2021; 11(1):10. https://doi.org/10.3390/min11010010
Chicago/Turabian StyleNguyen, Thanh Son. 2021. "Progressive Damage of a Canadian Granite in Laboratory Compression Tests and Underground Excavations" Minerals 11, no. 1: 10. https://doi.org/10.3390/min11010010
APA StyleNguyen, T. S. (2021). Progressive Damage of a Canadian Granite in Laboratory Compression Tests and Underground Excavations. Minerals, 11(1), 10. https://doi.org/10.3390/min11010010