Abstract
Spodumene, a lithium aluminum inosilicate, is recovered by froth flotation using surfactants, so-called collectors. Therefore, the behavior and properties of the water-mineral interface in saline solutions are central. Here, molecular dynamics simulations are used to study the adsorption of alkali and alkaline-earth metal cations from concentrated solutions on the weakest (110) surface plane of negatively-charged spodumene. Results include the envelope density function of inner-sphere complexes for each cation and the density of complexes according to their adsorption contacts. Visualization of complexes for each cation is also included. Once the structure of the cation layers adsorbed on the surface of spodumene is defined, its role as a catalyst or barrier for adsorption of the spodumene collector in flotation is evaluated. The collector studied is the typical sodium oleate. The results show that oleate adsorption is poor and that the few adsorption contacts are mainly via cation bridges. The findings here indicate that molecular simulation can facilitate the search for effective collectors for environmentally sustainable spodumene flotation processes in saltwater.
1. Introduction
Spodumene (LiAlSi2O6) is a pyroxene mineral found in lithium-rich pegmatite rocks. The stoichiometric chemical composition of spodumene is 8.0% Li2O, 27.4% Al2O3, and 64.6% SiO2. The crystal structure of the spodumene includes Si-centered tetrahedra and Al-centered octahedral chains, with Li in the cavities between the polyhedral [1]. Spodumene is recovered by foam flotation, preventing small differences in surface chemistry with associated aluminosilicates from deteriorating selectivity, however, most studies show poor spodumene recoveries [2,3]. Apparently, the surface termination (110) exposed by the most prominent cleavage of the spodumene is more complex than initially thought, that is, Al atoms with two broken bonds each with +1/2 electrostatic charge [4].
Recently we found through DFT that the arrangement of surface groups for the energetically most favorable termination of neutral (110) surfaces of spodumene includes one , one and one moieties per unit cell and that the addition of OH- (pH > pH of zero charge of spodumene) generates a new surface moiety per unit cell, in addition to existing and moieties per unit cell [5]. In principle, these new groups on the surface of the spodumene anticipate that anionic collector adsorption may not be as ideal as it was once raised, which would explain the low recoveries of spodumene in flotation processes. In the same study, we used molecular dynamics to determine the density profiles of alkali and alkaline earth metal cations adsorbed on the spodumene when the flotation operation is performed in saltwater to achieve environmental sustainability [5]. Cations that are adsorbed without the intermediation of water give rise to inner-sphere complexes [6] with a number of irreversible adsorption contacts with the spodumene surface.
There is consensus that at pH 8 the best recoveries of spodumene are obtained with oleate in freshwater (for instance, Moon and Fuerstenau, [4]; Rai et al. [7]; Jie et al. [8]). There is also consensus that recoveries are generally low [2,9,10,11,12,13,14,15,16,17,18] which has motivated a series of tests with mixtures of anionic and cationic collector reagents [9,15,19,20,21] and with the addition of activator ions and pH regulator agents [2,12,13,15,16,20,22,23]. The need to float with saltwater represents a great new challenge.
In this work, the envelope density function of inner-sphere complexes for each cation and the density of complexes according to their adsorption contacts are determined. The first cation layer, its structure and degree of surface coverage, is of great interest because it represents either the last barrier that the spodumene collector must avoid to reach the few cationic centers on the mineral surface or the substrate where the collector is anchored through cation bridges.
2. Materials and Methods
2.1. Force Field
The ClayFF classical force field [24] with Metal-O-H angle bending terms [25,26] was used to model spodumene-saltwater interactions. This force field has been parameterized and tested on various minerals. For the oleate molecule, we used the AMBER 99sb force field [27] for the bonded and nonbonded contributions in combination with the restrained electrostatic potential (RESP) charge fitting method [28,29]. The SPC/E water model [30] constrained with SETTLE was used to describe water [31]. Lennard–Jones 12–6 parameters derived from Li et al. [32] and Li et al. [33] were used for the ions adjusted to the SPC/E water model (parameters available from Quezada and Toledo [5]). The particle mesh Ewald truncation method (PME) was used for calculating long-range electrostatic forces [34]. The integration step was 2 fs and information was saved every 1 ps. The Berendsen-modified thermostat [35,36] was used with a relaxation time of 0.1 ps and the Parrinello-Rahman barostat [37] barostat was used with a relaxation time of 2 ps. The vdW and coulombic cut-off radii were both 1.2 nm. The force fields were tested first to predict hydrated ion size, water coordination numbers in the first and, when appropriate, in the second hydration shell of ions in aqueous solutions, water renewal times in hydration layers, and diffusion of cations in water. Results compare well with available experimental data and molecular simulations.
2.2. Simulation Details
The simulation box used was a rhombohedral 8 × 8 × 3 supercell created by replicating the spodumene unit cell with lengths nm, nm, the thickness of 1.4523 nm, and cross-section with θ=75.07° between and . The height of the box was = 10.000 nm more than enough to include the slab of spodumene and the salt solution. Sixteen ionized sites were regularly distributed on one side of the spodumene surface to obtain a charge density of ca. −0.125 C/m2, corresponding to a highly deprotonated surface. The other side of the surface was neutral. The anionic charge on the spodumene corresponds to a pH > 3 (the pH of zero charge is 3 [2,4,13,14,15,16,20,22,23]). The partial atomic charges of the atoms on the neutral and deprotonated spodumene surfaces were available [5]. The spodumene slab was placed at half the height of the box. Salt cations and anions were added to the simulation box at random positions and maintaining a separation distance of at least 0.8 nm between atoms and 1 nm from the slab surface. The salt concentration was preset at 0.60 M to represent the ionic strength of seawater. The study of the spodumene-water interaction required the addition of cations to electroneutralize the spodumene charge. The ions in this study, almost all constituents of the seawater, corresponded to the alkali metal series, that is, Li+, Na+, K+, Rb+, Cs+, and the alkaline-earth metal series, that is, Mg2+, Ca2+, Sr2+, the negative ion was the chloride anion Cl-. Each simulation was made with a different cation. Finally, water molecules equilibrated at 300 K in an independent simulation in a box with equivalent lengths, were added to the simulation box, avoiding overlaps with the spodumene slab and ions. To study the adsorption of oleate on spodumene in saltwater, a slab of the mineral was used with both surfaces charged. First, an oleate molecule (Figure 1) was placed in the simulation box in the middle of the liquid phase between the two spodumene surfaces (periodic boundary in the z-direction), and then the cations and the water avoiding the overlapping of atoms. The simulation of each spodumene-saltwater and spodumene-oleate-saltwater systems followed a series of steps. First, a force minimization using the steepest descent method and then a 100 ps NVT simulation, with the ions in fixed positions in order to generate their hydration layers. Then, an NPzAT simulation of 1 ns, keeping the ions fixed, to adjust the system pressure to 1 bar, the Parrinello-Rahman barostat was used with scaling in the z-direction of the simulation box. Finally, an NVT simulation with a production stage of 40 ns at 300 K with the ions released; this runtime was enough to capture the dynamics of the oleate molecule. The Gromacs 2016.5 molecular dynamics simulation package [38] was used with SIMD AVX_256 instructions and GPU to accelerate computations. Several simulations were run to calculate conformation and property averages.
Figure 1.
Single oleate molecule with −1e total charge.
3. Results
3.1. Density Profiles of Cation Inner-Sphere Complexes
An inner-sphere surface complex has no water molecule present between the surface functional group and the cation it binds, whereas an outer-sphere surface complex has at least one water molecule interposed between the cation and the surface [6]. The z-density function of spodumene and the RDF of alkali and alkaline-earth cations are used to identify cations that are adsorbed without the intermediation of water giving rise to inner-sphere complexes with a number of irreversible adsorption contacts with the spodumene surface. When the cation-spodumene distance falls in the range of distances covered by the first cation adsorption peak in the RDF (Figure 2), then the cation forms an inner sphere complex with the spodumene. The upper limit of the distance range for each cation corresponds to the minimum after the first peak or to the first inflection if no minimum exists. The average distance between each cation (M) and the oxygen on the (110) surface of spodumene (O- of the surface moiety) without water in between is shown in Table 1 as . The results compare very well with cation radii with first hydration shell, , which corresponds to the average of all available data either experimental or from computational simulation [39,40]. We do not consider Mg because it does not form inner-sphere complexes [41] with spodumene nor with other minerals such as quartz [42], corundum [42], kaolinite [43], and montmorillonite [44,45]. Mg only forms outer-sphere complexes [5,41,42,44,45]. The inner-sphere complexes occur with one, two, three and four adsorption contacts between the cation and the spodumene surface. Thus, the determination of inner-sphere complexes requires examining each adsorbed cation to verify that it complies with the upper distance limit defined by the RDF and to count the number of adsorption contacts. To automate this calculation, a simple algorithm was developed. The adsorption of cations as inner-sphere complexes was found mainly irreversibly and without clustering. For each ion, its connectivity with the oxygen atoms on the mineral surface is first determined from the RDF results and then its position on the z-axis. With these two values, the axial density profiles of the various metal complexes separated by connectivity are constructed.
Figure 2.
Radial distribution functions (RDF) between the oxygens of the spodumene (110) surface (O-) and the metal cations (M) for different salt solutions, (r), where M corresponds to monovalent alkali metal cations (a) and divalent alkaline-earth metal cations (b). Surface charge density is −0.125 C/m2. The first prominent peak for each salt solution corresponds to the first layer of cations adsorbed onto the spodumene surface. The cation concentration is 0.66 M and the temperature is 300 K. Data from Quezada and Toledo [5].
Table 1.
Cation radii with first hydration shell, , and from the RDF in Figure 2.
Figure 3 and Figure 4 show axial density profiles of inner-sphere complexes (ISC) conforming the first adsorption layer of each cation on the spodumene. The profile envelopes in these figures correspond to the total density of inner-sphere complexes. It should be noted that these envelope curves are slightly different from those recently published [5], because in the present work it was ensured that all the cations considered in the first adsorbed layer were inner-sphere complexes. The structure of the first layer is complex for alkali cations and somewhat less complex for alkaline-earth cations.
Figure 3.
Axial density profiles of alkali metals close to negatively charged (110) spodumene surface. Surface charge density is −0.125 C/m2. The mean position of peaks from the water density profile is represented by the segmented vertical lines. IS1, IS2, IS3, and IS4 are inner-sphere complexes, respectively, with nc (number of contacts) equal one, two, three, and four contacts between the cation and the spodumene surface. The envelope of the density profile is called Total.
Figure 4.
Axial density profiles of alkaline-earth metals close to negatively charged (110) spodumene surface. Surface charge density is −0.125 C/m2. The mean position of peaks from the water density profile is represented by the segmented vertical lines. IS1 and IS2 are inner-sphere complexes, respectively, with nc equal one and two contacts between the cation and the spodumene surface. The envelope of the density profile is called Total.
Small cations like Li+ and Na+ form ISC with 3 (IS3) and 4 (IS4) contacts with the mineral surface, these complexes are located between the surface and the first layer of hydration of the spodumene. For Li+, the density of IS4 is higher than the density of IS3, while for Na the density of IS3 is much higher than that of IS4. The cation layer is completed for Li+ and Na+ with ISC with 1 (IS1) and 2 (IS2) contacts adsorbed between the first and second hydration layers of the mineral; both cations show a doublet for IS2 and a singlet for IS1. For Li+, the densities of IS2 and IS1 are comparable; however, for Na+, the density of IS2 is much higher than that of IS1. Larger cations such as K+, Rb+, and Cs+ form ISC with 1 and 2 contacts, with the density of IS2 higher than that of IS1, much higher for K+ and Rb+, and slightly higher for Cs+. These large cations also form a few ISC with 3 and 4 contacts. The IS2 of K+, Rb+, and Cs+ are located exactly between the first and second hydration layers of the spodumene, whereas the IS1 of these cations are located between the second and third hydration layers.
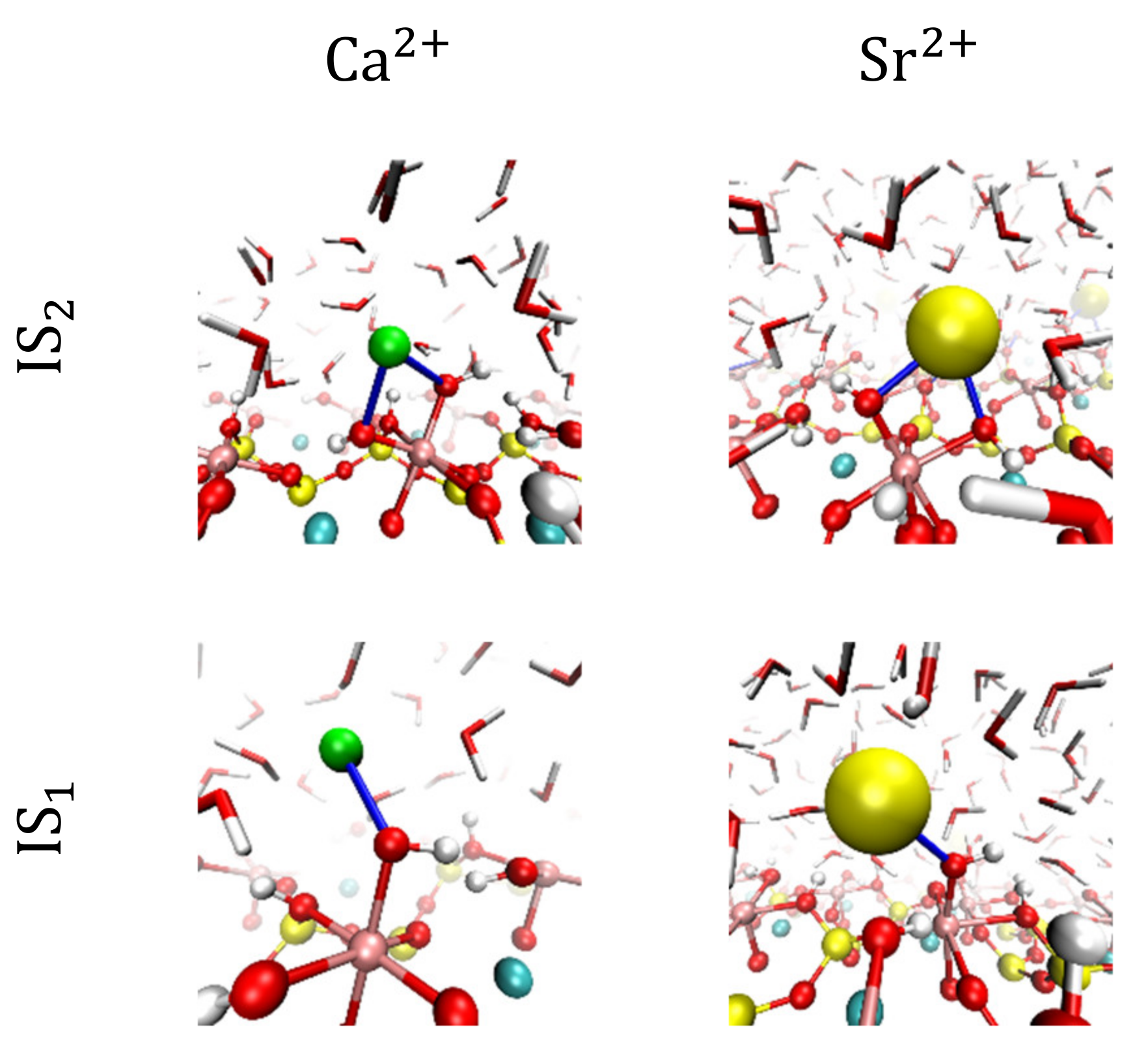
For Ca2+ and Sr2+ inner-sphere complexes are formed almost exclusively with 2 contacts, with a very small population of complexes with 1 contact. The IS2 of Ca2+ and Sr2+ are located between the water molecules of the second hydration layer, while the few IS1 are located between the second and third hydration layers.
3.2. Visualization of Cation Inner-Sphere Complexes
Of great interest is the structure formed by adsorbed cations at the spodumene-saltwater interface and especially the covering and shielding that they cause on the various active sites on the mineral surface, since this is what the collector will find in the process of flotation of spodumene particles. The typical collector is oleate, which is expected to be adsorbed by its anionic carboxylic head at the cationic centers on the spodumene surface, originally thought to be Al atoms with two broken bonds each with +1/2 electrostatic charge, however, there is only one moiety per unit cell, and in the particular case of protonated sites an additional moiety per unit cell. The nonpolar tail of each oleate molecule confers hydrophobicity to the particles thus improving their flotation conditions. However, as mentioned in the Introduction, the spodumene is anionic a pH > 3, and thus the cationic surface sites are just a few. Thus, direct adsorption at the spodumene surface is unlikely to contribute significantly to flotation, which would explain the low recoveries generally observed in freshwater in different laboratories [2,22].
Figure 5 shows examples of inner-sphere complexes for each alkali metal cation with the negatively charged (110) spodumene surface and for each number of adsorption contacts. These structures were revealed by exclusive inspection of the spodumene surface for internal sphere complexes. Li and Na are small cations that occupy the nooks and crannies of the spodumene surface and do so with four and three contacts respectively, the location of these cations is the result of maximizing contacts with surface anionic sites; clearly, the collector due to its size and especially its charge does not have access to the surface portions that Li and Na access even if these cations were not present.

Figure 5.
Alkali metal inner-sphere complexes with one, two, three, and four adsorption contacts with the negatively charged (110) spodumene surface. Surface charge density is −0.125 C/m2. Li, Na, K, Rb and Cs atoms are represented by cyan, blue, magenta, orange and grey spheres, respectively. Contacts are highlighted in blue.
Figure 6 shows examples of inner-sphere complexes for each alkaline-earth metal cation. The bare ion radius of Ca is very small (0.103 nm) [40], although somewhat larger than the radius of Li (0.071 nm) [40] which prevents Ca from accessing the surface nooks and crannies accessed by Li cations. Thus, Ca cations form inner-sphere complexes with the spodumene, preferably with two contacts.
Figure 6.
Alkaline-earth metal inner-sphere complexes with one and two adsorption contacts with the negatively charged (110) spodumene surface. Surface charge density is −0.125 C/m2. Ca and Sr atoms are represented by green and yellow spheres, respectively. Contacts are highlighted in blue.
3.3. Spodumene-Oleate Interactions
Once the structure of the cation layers adsorbed on the spodumene surface has been defined, it is of great relevance to evaluate their role as a catalyst or barrier for the adsorption of the spodumene collector in froth flotation operations. Here the adsorption of sodium oleate, the most common spodumene collector, on spodumene in alkali and alkaline-earth cation solutions, was evaluated at pH high enough for the spodumene to be deprotonated with ca. −0.125 C/m2, and for the collector to be completely ionized. In practice, the pH used was ca. 8.
First, all interactions or contacts between atoms on the mineral surface and atoms in the oleate collector at a separation distance of 0.4 nm or less were evaluated. The interactions were generated by the diffusive movement of the species and their force fields; some are more permanent, such as hydrogen bonds and cation bridges. These latter interactions were identified, separated from the total interactions, and shown in Figure 7. Then the frequency of the interactions of each atom of the oleate chain with the spodumene surface was evaluated; the results are shown in Figure 8.
Figure 7.
Spodumene-oleate interactions in salt solutions, (a) hydrogen bonds and (b) cation bridges.
Figure 8.
Frequency of atomic interactions between oleate and spodumene. For the identification number of the oleate atoms see Figure 1. Carbon atoms are omitted in the figure. The interaction is dominated by bridges through the carboxylate group of the oleate. Inset: the highlight of much less frequent contacts, the double bond and the nonpolar tail of the oleate.
Figure 7 shows that oleate adsorption onto spodumene is low for all cations and occurs mainly through cation bridges (Figure 7b); hydrogen bonds are practically non-existent (Figure 7a). Adsorption through cation bridges decreases markedly with cation size for the alkali metal series. It does not exist in Ca; it is somewhat higher in Sr, although it barely exceeds one contact with the entire available surface of the spodumene slab used in the simulations. A detailed analysis of the interactions shows that cation bridges with alkali cations occur mainly through inner-sphere complexes with more than two contacts with the spodumene surface, i.e., IS3 and IS4, due to the charge of the cations involved is somewhat less neutralized than in complexes IS1 and IS2. Steric obstacles also limit the collector adsorption on these latter complexes because it simply cannot reach them. In the case of divalent cations, there are marked differences in adsorption between Ca and Sr cations. The small size of Ca allows it to access the nooks and crannies on the spodumene surface, where the collector cannot. On the contrary, the larger size of the Sr makes it more accessible to the collector. The interaction of spodumene with Sr is expected to be weaker than with Ca and therefore more attractive to the collector. The data allows the adsorption contacts to be identified more precisely. The data allows adsorption contacts to be identified. A nomenclature similar to previous works is used [46]. The spodumene surface offers hydroxide oxygens (OH), deprotonated surface oxygens (OM), and surface oxygens (OS), as in Al–O–Si, for the interactions. On the other hand, oleate only offers the deprotonated oxygens of the carboxylate group (OP). Figure 7b shows that of the few adsorption contacts, the most recurrent are the OM-M-OP bridges, where M represents a cation.
Figure 8 shows the frequency of interactions of each atom in the oleate chain with some atom belonging to the surface of the spodumene. The frequency is considered over a long period of time (70 ns), the higher the frequency, the more stable the contact. The results are revealing, indeed the most frequent contact of oleate with spodumene is by far through its carboxylate group, and it prevails in solutions of Li, Na and Sr. The figure also shows that the lowest frequency of salt bridge-type contacts is for solutions of Cs and Ca, coinciding with the results of Figure 7. The magnification of Figure 8 shows two other types of contacts, although with much lower relative frequencies: the double bond between carbons 26 and 28 and the extreme of the nonpolar tail of the collector. These interactions are not important for contact accounting, but they are from a mechanistic point of view, apparently, cations such as Cs once adsorbed confer some hydrophobicity to the surface of the spodumene. Interesting is the frequency in the presence of Ca, it is not high but when it occurs the oleate compromises a large part of its polar end in contact.
The simulation results show that oleate adsorption is poor, and the few adsorption contacts are mostly via cation bridges. Oleate adsorption through outer-sphere complexes is not considered here but is assumed to be of little significance. Abundant experimental evidence shows that spodumene recovery with oleate in freshwater is deficient; factors such as surface chemistry and selectivity are among the most important [2,9,10,11,12,13,14,15,16,17,18,22,23]. The results here indicate that oleate recoveries can be further affected when flotation takes place in saltwater.
4. Conclusions
Molecular dynamics simulations predict the adsorption of alkali and alkaline earth metal cations on the most prominent cleavage of lithium-rich spodumene and reveal the structure and degree of surface coverage of the first cation layer adsorbed without the intermediation of water. This layer of internal sphere complexes is the ultimate barrier for a collector to reach the surface of the spodumene to make it hydrophobic and thus allow its separation by foam flotation. According to their adsorption contacts with the mineral surface, the density of the complexes, and the three-dimensional images of the complexes suggest that small cations such as Li+ and Na+ are very effective occupying the nooks and crannies of the spodumene surface and do so with high coordination. The larger alkali and alkaline-earth cation complexes are less numerous and with low coordination. Oleate adsorption on spodumene covered with metal complexes is poor, and the few adsorption contacts are mainly through cation bridges. The results indicate that oleate recoveries can be severely affected even more when flotation takes place in saltwater. These results are expected to improve the understanding of spodumene flotation in saltwater, particularly in defining collectors for environmentally sustainable spodumene recovery processes.
Author Contributions
Conceptualization, G.R.Q. and P.G.T.; methodology, G.R.Q.; software, G.R.Q.; writing—original draft preparation, G.R.Q.; writing—review and editing, G.R.Q.; P.G.T. Both authors have read and agreed to the published version of the manuscript.
Funding
This research was funded by Centro CRHIAM through Project ANID/FONDAP/15130015 and ANID FONDECYT, grant number 3200978.
Institutional Review Board Statement
Not applicable this study does not involve humans nor animals.
Informed Consent Statement
Not applicable this study does not involve humans nor animals.
Data Availability Statement
All data presented is original.
Acknowledgments
We thank Centro CRHIAM through Project ANID/FONDAP/15130015 for financial support and The Southern GPU-cluster (SGPUC) UDEC funded by FONDEQUIP EQM150134 for computational support. Gonzalo R. Quezada thanks ANID FONDECYT 3200978.
Conflicts of Interest
The authors declare no conflict of interest.
References
- Bragg, L.; Claringbull, G.F. Crystal Structures of Minerals; Bragg, S., Ed.; G. Bell & Sons Ltd.: London, UK, 1965. [Google Scholar]
- Filippov, L.; Farrokhpay, S.; Lyo, L.; Filippova, I. Spodumene flotation mechanism. Minerals 2019, 9, 372. [Google Scholar] [CrossRef]
- Sousa, R.; Ramos, V.; Guedes, A.; Botelho de Sousa, A.; Noronha, F.; Leite, M.M. Flotation of Lithium Ores to Obtain High-Grade Li2O Concentrates. Are There Any Mineralogical Limitations? Int. J. Min. Mater. Metall. Eng. 2019, 5, 7–18. [Google Scholar]
- Moon, K.S.; Fuerstenau, D.W. Surface crystal chemistry in selective flotation of spodumene (LiAl[SiO3]2) from other aluminosilicates. Int. J. Miner. Process. 2003, 72, 11–24. [Google Scholar] [CrossRef]
- Quezada, G.R.; Toledo, P.G. Structure of the Interface between Lithium-Rich Spodumene and Saltwater by Density Functional Theory Calculations and Molecular Dynamics Simulations. J. Phys. Chem. C 2020, 124, 1446–1457. [Google Scholar] [CrossRef]
- Sposito, G.; Skipper, N.T.; Sutton, R.; Park, S.H.; Soper, A.K.; Greathouse, J.A. Surface geochemistry of the clay minerals. Proc. Natl. Acad. Sci. USA 1999, 96, 3358–3364. [Google Scholar] [CrossRef] [PubMed]
- Rai, B.; Sathish, P.; Tanwar, J.; Pradip; Moon, K.S.; Fuerstenau, D.W. A molecular dynamics study of the interaction of oleate and dodecylammonium chloride surfactants with complex aluminosilicate minerals. J. Colloid Interface Sci. 2011, 362, 510–516. [Google Scholar] [CrossRef] [PubMed]
- Jie, Z.; Weiqing, W.; Jing, L.; Yang, H.; Qiming, F.; Hong, Z. Fe(III) as an activator for the flotation of spodumene, albite, and quartz minerals. Miner. Eng. 2014, 61, 16–22. [Google Scholar] [CrossRef]
- Yu, F.; Wang, Y.; Wang, J.; Xie, Z. Investigation on different behavior and mechanism of Ca(II) and Fe(III) adsorption on spodumene surface. Physicochem. Probl. Miner. Process. 2014, 50, 535–550. [Google Scholar] [CrossRef]
- Zhu, G.; Cao, Y.; Wang, Y.; Wang, X.; Miller, J.D.; Lu, D.; Zheng, X. Surface chemistry features of spodumene with isomorphous substitution. Miner. Eng. 2020, 146, 106139. [Google Scholar] [CrossRef]
- Zhu, G.; Wang, Y.; Liu, X.; Yu, F.; Lu, D. The cleavage and surface properties of wet and dry ground spodumene and their flotation behavior. Appl. Surf. Sci. 2015, 357, 333–339. [Google Scholar] [CrossRef]
- Xu, L.; Hu, Y.; Tian, J.; Wu, H.; Yang, Y.; Zeng, X.; Wang, Z.; Wang, J. Selective flotation separation of spodumene from feldspar using new mixed anionic/cationic collectors. Miner. Eng. 2016, 89, 84–92. [Google Scholar] [CrossRef]
- Xu, L.; Hu, Y.; Wu, H.; Tian, J.; Liu, J.; Gao, Z.; Wang, L. Surface crystal chemistry of spodumene with different size fractions and implications for flotation. Sep. Purif. Technol. 2016, 169, 33–42. [Google Scholar] [CrossRef]
- Xu, L.; Peng, T.; Tian, J.; Lu, Z.; Hu, Y.; Sun, W. Anisotropic surface physicochemical properties of spodumene and albite crystals: Implications for flotation separation. Appl. Surf. Sci. 2017, 426, 1005–1022. [Google Scholar] [CrossRef]
- Tian, J.; Xu, L.; Deng, W.; Jiang, H.; Gao, Z.; Hu, Y. Adsorption mechanism of new mixed anionic/cationic collectors in a spodumene-feldspar flotation system. Chem. Eng. Sci. 2017, 164, 99–107. [Google Scholar] [CrossRef]
- Tian, J.; Xu, L.; Wu, H.; Fang, S.; Deng, W.; Peng, T.; Sun, W.; Hu, Y. A novel approach for flotation recovery of spodumene, mica and feldspar from a lithium pegmatite ore. J. Clean. Prod. 2018, 174, 625–633. [Google Scholar] [CrossRef]
- Shu, K.; Xu, L.; Wu, H.; Peng, L.; Xu, Y.; Luo, L.; Yang, J.; Tang, Z. In situ adsorption of mixed collectors BHA/DDA in spodumene-feldspar flotation system. Sep. Purif. Technol. 2020, 251, 117325. [Google Scholar] [CrossRef]
- Shu, K.; Xu, L.; Wu, H.; Xu, Y.; Luo, L.; Yang, J.; Tang, Z.; Wang, Z. In Situ Adsorption of Mixed Anionic/Cationic Collectors in a Spodumene-Feldspar Flotation System: Implications for Collector Design. Langmuir 2020, 36, 8086–8099. [Google Scholar] [CrossRef]
- Zhu, G.; Wang, Y.; Wang, X.; Yu, F.; Miller, J.D. States of coadsorption for oleate and dodecylamine at selected spodumene surfaces. Colloids Surf. A Physicochem. Eng. Asp. 2018, 558, 313–321. [Google Scholar] [CrossRef]
- Wang, Y.; Zhu, G.; Yu, F.; Lu, D.; Wang, L.; Zhao, Y.; Zheng, H. Improving spodumene flotation using a mixed cationic and anionic collector. Physicochem. Probl. Miner. Process. 2017, 54, 567–577. [Google Scholar] [CrossRef]
- Wu, H.; Tian, J.; Xu, L.; Fang, S.; Zhang, Z.; Chi, R. Flotation and adsorption of a new mixed anionic/cationic collector in the spodumene-feldspar system. Miner. Eng. 2018, 127, 42–47. [Google Scholar] [CrossRef]
- Liu, W.; Zhang, S.; Wang, W.; Zhang, J.; Yan, W.; Deng, J.; Feng, Q.; Huang, Y. The effects of Ca(II) and Mg(II) ions on the flotation of spodumene using NaOL. Miner. Eng. 2015, 79, 40–46. [Google Scholar] [CrossRef]
- Yu, F.; Wang, Y.; Zhang, L.; Zhu, G. Role of oleic acid ionic-molecular complexes in the flotation of spodumene. Miner. Eng. 2015, 71, 7–12. [Google Scholar] [CrossRef]
- Cygan, R.T.; Liang, J.J.; Kalinichev, A.G. Molecular models of hydroxide, oxyhydroxide, and clay phases and the development of a general force field. J. Phys. Chem. B 2004, 108, 1255–1266. [Google Scholar] [CrossRef]
- Pouvreau, M.; Greathouse, J.A.; Cygan, R.T.; Kalinichev, A.G. Structure of Hydrated Gibbsite and Brucite Edge Surfaces: DFT Results and Further Development of the ClayFF Classical Force Field with Metal-O-H Angle Bending Terms. J. Phys. Chem. C 2017, 121, 14757–14771. [Google Scholar] [CrossRef]
- Pouvreau, M.; Greathouse, J.A.; Cygan, R.T.; Kalinichev, A.G. Structure of Hydrated Kaolinite Edge Surfaces: DFT Results and Further Development of the ClayFF Classical Force Field with Metal-O-H Angle Bending Terms. J. Phys. Chem. C 2019, 123, 11628–11638. [Google Scholar] [CrossRef]
- Sorin, E.J.; Pande, V.S. Exploring the helix-coil transition via all-atom equilibrium ensemble simulations. Biophys. J. 2005, 88, 2472–2493. [Google Scholar] [CrossRef]
- Mintis, D.G.; Alexiou, T.S.; Mavrantzas, V.G. Effect of pH and Molecular Length on the Structure and Dynamics of Linear and Short-Chain Branched Poly (ethylene imine) in Dilute Solution: Scaling Laws from Detailed Molecular Dynamics Simulations. J. Phys. Chem. B 2020, 124, 6154–6169. [Google Scholar] [CrossRef]
- Mintis, D.G.; Mavrantzas, V.G. Effect of pH and Molecular Length on the Structure and Dynamics of Short Poly (acrylic acid) in Dilute Solution: Detailed Molecular Dynamics Study. J. Phys. Chem. B 2019, 123, 4204–4219. [Google Scholar] [CrossRef]
- Berendsen, H.J.C.; Grigera, J.R.; Straatsma, T.P. The missing term in effective pair potentials. J. Phys. Chem. 1987, 91, 6269–6271. [Google Scholar] [CrossRef]
- Miyamoto, S.; Kollman, P.A. Settle: An analytical version of the SHAKE and RATTLE algorithm for rigid water models. J. Comput. Chem. 1992, 13, 952–962. [Google Scholar] [CrossRef]
- Li, P.; Song, L.F.; Merz, K.M. Systematic parameterization of monovalent ions employing the nonbonded model. J. Chem. Theory Comput. 2015, 11, 1645–1657. [Google Scholar] [CrossRef] [PubMed]
- Li, P.; Roberts, B.P.; Chakravorty, D.K.; Merz, K.M. Rational design of particle mesh ewald compatible lennard-jones parameters for +2 metal cations in explicit solvent. J. Chem. Theory Comput. 2013, 9, 2733–2748. [Google Scholar] [CrossRef] [PubMed]
- Darden, T.; York, D.; Pedersen, L. Particle mesh Ewald: An N·log(N) method for Ewald sums in large systems. J. Chem. Phys. 1993, 98, 10089–10092. [Google Scholar] [CrossRef]
- Berendsen, H.J.C.; Postma, J.P.M.; Van Gunsteren, W.F.; Dinola, A.; Haak, J.R. Molecular dynamics with coupling to an external bath. J. Chem. Phys. 1984, 81, 3684–3690. [Google Scholar] [CrossRef]
- Bussi, G.; Donadio, D.; Parrinello, M. Canonical sampling through velocity rescaling. J. Chem. Phys. 2007, 126, 014101. [Google Scholar] [CrossRef]
- Parrinello, M.; Rahman, A. Polymorphic transitions in single crystals: A new molecular dynamics method. J. Appl. Phys. 1981, 52, 7182–7190. [Google Scholar] [CrossRef]
- Abraham, M.J.; Murtola, T.; Schulz, R.; Páll, S.; Smith, J.C.; Hess, B.; Lindah, E. Gromacs: High performance molecular simulations through multi-level parallelism from laptops to supercomputers. SoftwareX 2015, 1, 19–25. [Google Scholar] [CrossRef]
- Marcus, Y. Ions in Solution and Their Solvation; John Wiley & Sons: Hoboken, NJ, USA, 2015; ISBN 9781118892336. [Google Scholar]
- Marcus, Y. Ionic Radii in Aqueous Solutions. Chem. Rev. 1988, 88, 1475–1498. [Google Scholar] [CrossRef]
- Larentzos, J.P.; Criscenti, L.J. A molecular dynamics study of alkaline earth metal-chloride complexation in aqueous solution. J. Phys. Chem. B 2008, 112, 14243–14250. [Google Scholar] [CrossRef]
- Quezada, G.R.; Rozas, R.E.; Toledo, P.G. Molecular Dynamics Simulations of Quartz (101)-Water and Corundum (001)-Water Interfaces: Effect of Surface Charge and Ions on Cation Adsorption, Water Orientation, and Surface Charge Reversal. J. Phys. Chem. C 2017, 121, 25271–25282. [Google Scholar] [CrossRef]
- Quezada, G.R.; Rozas, R.E.; Toledo, P.G. Ab Initio Calculations of Partial Charges at Kaolinite Edge Sites and Molecular Dynamics Simulations of Cation Adsorption in Saline Solutions at and above the pH of Zero Charge. J. Phys. Chem. C 2019, 123, 22971–22980. [Google Scholar] [CrossRef]
- Li, Y.; Narayanan, N.A.K.; Kadoura, A.; Yang, Y.; Sun, S. Molecular Simulation Study of Montmorillonite in Contact with Water. Ind. Eng. Chem. Res. 2019, 58, 1396–1403. [Google Scholar] [CrossRef]
- Yang, Y.; Narayanan, N.A.K.; Sun, S. Layer Charge Effects on Adsorption and Diffusion of Water and Ions in Interlayers and on External Surfaces of Montmorillonite. ACS Earth Space Chem. 2019. [Google Scholar] [CrossRef]
- Quezada, G.R.; Jeldres, M.; Toro, N.; Robles, P.; Toledo, P.G.; Jeldres, R.I. Understanding the flocculation mechanism of quartz and kaolinite with polyacrylamide in seawater: A molecular dynamics approach. Colloids Surf. A Physicochem. Eng. Asp. 2021, 608, 125576. [Google Scholar] [CrossRef]
Publisher’s Note: MDPI stays neutral with regard to jurisdictional claims in published maps and institutional affiliations. |
© 2020 by the authors. Licensee MDPI, Basel, Switzerland. This article is an open access article distributed under the terms and conditions of the Creative Commons Attribution (CC BY) license (http://creativecommons.org/licenses/by/4.0/).








