Native Seedling Colonization on Stockpiled Mine Soils Is Constrained by Site Conditions and Competition with Exotic Species
Abstract
1. Introduction
2. Materials and Methods
2.1. Site Description
2.2. Seed Collection
2.3. Experimental Design
2.4. Data Analysis
3. Results
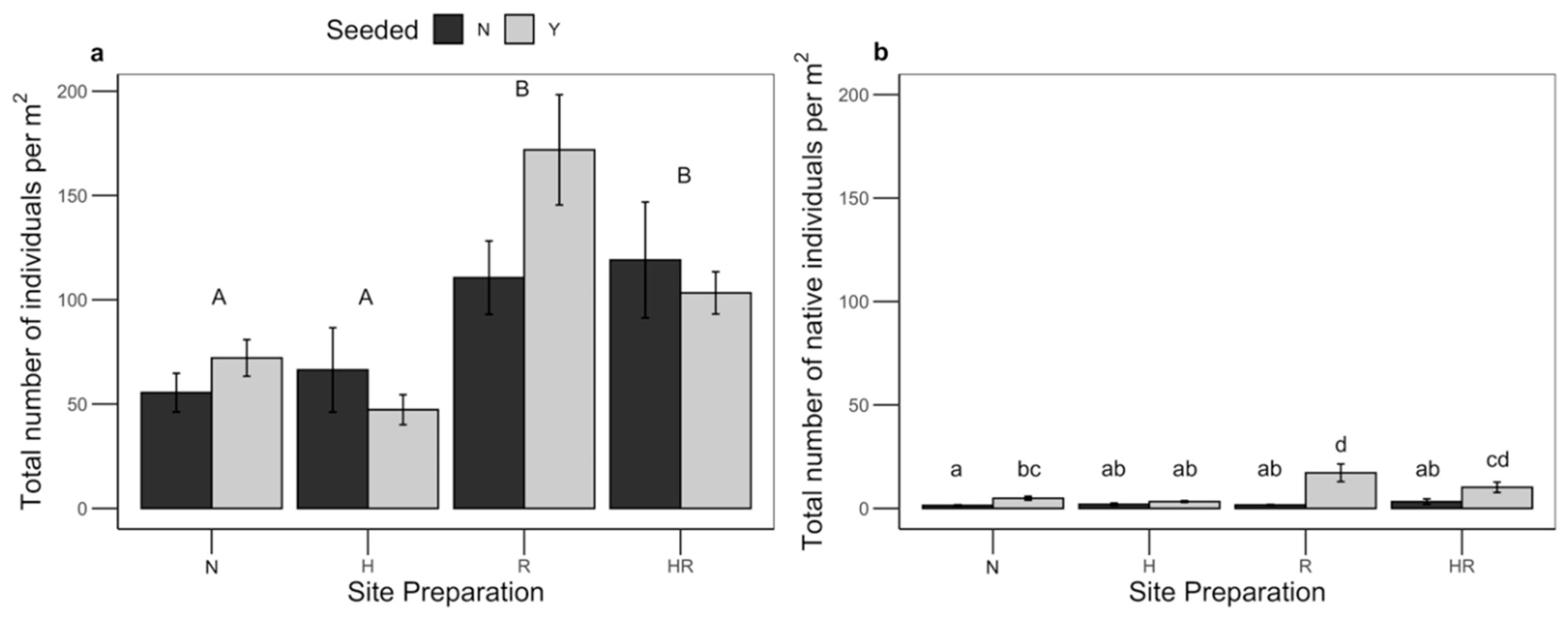
3.1. Total Seedling Establishment
3.2. Plant Community Responses
3.3. Exotic vs. Native Species
3.4. Life History Traits
3.4.1. Plant Functional Groups
3.4.2. Plant Adaptive Strategies: Grime’s CSR
4. Discussion
5. Conclusions
Supplementary Materials
Author Contributions
Funding
Acknowledgments
Conflicts of Interest
References
- Brady, N.C.; Weil, R.R. The Nature and Properties of Soils, 14th ed.; Pearson Education, Inc., Prentice Hall: Upper Saddle River, NJ, USA, 2012; ISBN 978-81-317-8817-2. [Google Scholar]
- Johnson, D.B.; Williamson, J.C.; Bailey, A.J. Microbiology of soils at opencast coal sites. I. Short- and long-term transformations in stockpiled soils. J. Soil Sci. 1991, 42, 1–8. [Google Scholar] [CrossRef]
- Wanner, M.; Dunger, W. Biological activity of soils from reclaimed open-cast coal mining areas in Upper Lusatia using testate amoebae (protists) as indicators. Ecol. Eng. 2001, 17, 323–330. [Google Scholar] [CrossRef]
- Yurkonis, K.A.; Wilsey, B.J.; Moloney, K.A. Initial species pattern affects invasion resistance in experimental grassland plots. J. Veg. Sci. 2012, 23, 4–12. [Google Scholar] [CrossRef]
- Yurkonis, K.A.; Wilsey, B.J.; Moloney, K.A.; Van Der Valk, A.G. The impact of seeding method on diversity and plant distribution in two restored grasslands. Restor. Ecol. 2008, 18, 311–321. [Google Scholar] [CrossRef]
- Bohrer, S.L.; Limb, R.F.; Daigh, A.L.; Volk, J.M.; Wick, A.F. Fine and coarse-scale patterns of vegetation diversity on reclaimed surface mine-land over a 40-year chronosequence. Environ. Manag. 2017, 59, 431–439. [Google Scholar] [CrossRef]
- Bradshaw, A. Restoration of mined lands—Using natural processes. Ecol. Eng. 1996, 8, 255–269. [Google Scholar] [CrossRef]
- Prach, K.; Hobbs, R.J. Spontaneous succession versus technical reclamation in the restoration of disturbed sites. Restor. Ecol. 2008, 16, 363–366. [Google Scholar] [CrossRef]
- Carrick, P.J.; Krüger, R. Restoring degraded landscapes in lowland Namaqualand: Lessons from the mining experience and from regional ecological dynamics. J. Arid Environ. 2007, 70, 767–781. [Google Scholar] [CrossRef]
- Bochet, E.; Tormo, J.; García-Fayos, P. Native species for roadslope revegetation: Selection, validation, and cost effectiveness. Restor. Ecol. 2010, 18, 656–663. [Google Scholar] [CrossRef]
- Christian, J.M.; Wilson, S.D. Long-term ecosystem impacts of an introduced grass in the northern great plains. Ecology 1999, 80, 2397–2407. [Google Scholar] [CrossRef]
- Alday, J.G.; Marrs, R.H.; Martínez-Ruiz, C. Vegetation succession on reclaimed coal wastes in Spain: The influence of soil and environmental factors. Appl. Veg. Sci. 2011, 14, 84–94. [Google Scholar] [CrossRef]
- Martin, L.M.; Wilsey, B.J. Assessing grassland restoration success: Relative roles of seed additions and native ungulate activities. J. Appl. Ecol. 2006, 43, 1098–1109. [Google Scholar] [CrossRef]
- Polley, H.W.; Derner, J.D.; Wilsey, B.J. Patterns of plant species diversity in remnant and restored tallgrass prairies. Restor. Ecol. 2005, 13, 480–487. [Google Scholar] [CrossRef]
- Martin, L.M.; Moloney, K.A.; Wilsey, B.J. An assessment of grassland restoration success using species diversity components. J. Appl. Ecol. 2005, 42, 327–336. [Google Scholar] [CrossRef]
- Zobel, M.; Otsus, M.; Liira, J.; Moora, M.; Möls, T. Is small-scale species richness limited by seed availability or microsite availability? Ecology 2000, 81, 3274–3282. [Google Scholar] [CrossRef]
- Eriksson, O.; Ehrlén, J. Seed and microsite limitation of recruitment in plant populations. Oecologia 1992, 91, 360–364. [Google Scholar] [CrossRef]
- Harper, J. Population Biology of Plants; Academic Press: London, UK; New York, NY, USA, 1977. [Google Scholar]
- Tognetti, P.M.; Chaneton, E.J. Invasive exotic grasses and seed arrival limit native species establishment in an old-field grassland succession. Biol. Invasions 2012, 14, 2531–2544. [Google Scholar] [CrossRef]
- Martínez-Ruiz, C.; Fernández-Santos, B.; Putwain, P.D.; Fernández-Gómez, M.J. Natural and man-induced revegetation on mining wastes: Changes in the floristic composition during early succession. Ecol. Eng. 2007, 30, 286–294. [Google Scholar] [CrossRef]
- Emery, S.M.; Gross, K.L. Dominant species identity regulates invasibility of old-field plant communities. Oikos 2006, 115, 549–558. [Google Scholar] [CrossRef]
- Pimentel, D.; Zuniga, R.; Morrison, D. Update on the environmental and economic costs associated with alien-invasive species in the United States. Ecol. Econ. 2005, 52, 273–288. [Google Scholar] [CrossRef]
- Rowe, H.I. Tricks of the trade: Techniques and opinions from 38 experts in tallgrass prairie restoration. Restor. Ecol. 2010, 18, 253–262. [Google Scholar] [CrossRef]
- Bernstein, E.J.; Albano, C.M.; Sisk, T.D.; Crews, T.E.; Rosenstock, S. Establishing cool-season grasses on a degraded arid rangeland of the Colorado Plateau. Restor. Ecol. 2014, 22, 57–64. [Google Scholar] [CrossRef]
- Clemente, A.S.; Moedas, A.R.; Oliveira, G.; Martins-Loução, M.A.; Correia, O. Effect of hydroseeding components on the germination of Mediterranean native plant species. J. Arid Environ. 2016, 125, 68–72. [Google Scholar] [CrossRef]
- Wilson, S.D.; Gerry, A.K. Strategies for mixed-grass prairie restoration-herbicide, tilling and nitrogen manipulation.pdf. Restor. Ecol. 1995, 3, 290–298. [Google Scholar] [CrossRef]
- Montalvo, A.M.; McMillan, P.A.; Allen, E.B. The Relative importance of seeding method, soil ripping, and soil variables on seeding success. Restor. Ecol. 2002, 10, 52–67. [Google Scholar] [CrossRef]
- FLH Western Federal Lands Highway Division. An Integrated Approach to Establishing Native Plants; Federal Highway Administration U.S. Department of Transportation: Washington, DC, USA, 2007.
- Burke, A. Practical measures in arid land restoration after mining—A review for the southern Namib. S. Afr. J. Sci. 2003, 99, 413–417. [Google Scholar]
- Standish, R.J.; Hobbs, R.J. Restoration of OCBILs in south-western Australia: Response to Hopper. Plant Soil 2009, 330, 15–18. [Google Scholar] [CrossRef]
- Foster, B.L.; Murphy, C.A.; Keller, K.R.; Aschenbach, T.A.; Questad, E.J.; Kindscher, K. Restoration of prairie community structure and ecosystem function in an abandoned hayfield: A sowing experiment. Restor. Ecol. 2007, 15, 652–661. [Google Scholar] [CrossRef]
- Wilson, S.D.; Tilman, D. Plant competition and resource availability in response to disturbance and fertilization. Ecology 1993, 74, 599–611. [Google Scholar] [CrossRef]
- Pywell, R.F.; Bullock, J.M.; Hopkins, A.; Walker, K.J.; Tim, H.; Burke, M.J.W.; Peel, S.; Sparks, T.I.M.H. Restoration of species-rich grassland on arable land: Assessing the limiting processes using a multi-site experiment. J. Appl. Ecol. 2002, 39, 294–309. [Google Scholar] [CrossRef]
- Kiehl, K.; Kirmer, A.; Donath, T.W.; Rasran, L.; Hölzel, N. Species introduction in restoration projects–Evaluation of different techniques for the establishment of semi-natural grasslands in Central and Northwestern Europe. Basic Appl. Ecol. 2010, 11, 285–299. [Google Scholar] [CrossRef]
- Cosgriff, R.; Anderson, V.J.; Monson, S. Restoration of communities dominated by false hellebore. J. Range Manag. 2004, 57, 365–370. [Google Scholar] [CrossRef]
- Albaladejo, J.; Castillo, V.; Diaz, E. Soil loss and runoff on semiarid Land as amended. Land Degrad. Dev. 2000, 11, 252–262. [Google Scholar] [CrossRef]
- García-Palacios, P.; Soliveres, S.; Maestre, F.T.; Escudero, A.; Castillo-Monroy, A.P.; Valladares, F. Dominant plant species modulate responses to hydroseeding, irrigation and fertilization during the restoration of semiarid motorway slopes. Ecol. Eng. 2010, 36, 1290–1298. [Google Scholar] [CrossRef]
- Matesanz, S.; Valladares, F.; Tena, D.; Costa-Tenorio, M.; Bote, D. Early dynamics of plant communities on revegetated motorway slopes from southern Spain: Is hydroseeding always needed? Restor. Ecol. 2006, 14, 297–307. [Google Scholar] [CrossRef]
- González-Alday, J.; Marrs, R.H.; Martínez-Ruiz, C. The influence of aspect on the early growth dynamics of hydroseeded species in coal reclamation areas. Appl. Veg. Sci. 2008, 11, 405–412. [Google Scholar] [CrossRef]
- Dunifon, S.N.; Evanylo, G.K.; Maguire, R.O.; Goatley, J.M. Soil Nutrient and fescue (festuca spp.) responses to compost and hydroseed on a disturbed roadside. Compos. Sci. Util. 2011, 19, 147–151. [Google Scholar] [CrossRef]
- Tormo, J.; Bochet, E.; Garcıa-Fayos, P. Roadfill revegetation in semiarid mediterranean environments. Part II: Topsoiling, species selection, and hydroseeding. Restor. Ecol. 2007, 15, 97–102. [Google Scholar] [CrossRef]
- Loydi, A.; Eckstein, R.L.; Otte, A.; Donath, T.W. Effects of litter on seedling establishment in natural and semi-natural grasslands: A meta-analysis. J. Ecol. 2013, 101, 454–464. [Google Scholar] [CrossRef]
- Oliveira, G.; Nunes, A.; Clemente, A.; Correia, O. Testing germination of species for hydroseeding degraded mediterranean Areas. Restor. Ecol. 2012, 20, 623–630. [Google Scholar] [CrossRef]
- Loydi, A.; Donath, T.W.; Otte, A.; Eckstein, R.L. Negative and positive interactions among plants: Effects of competitors and litter on seedling emergence and growth of forest and grassland species. Plant. Biol. 2014, 17, 667–675. [Google Scholar] [CrossRef] [PubMed]
- BC Ministry of Forests. The Ecology of the Interior Douglas-fir Zone; British Columbia Ministry of Forests: Victoria, BC, Canada, 2014.
- Tisdale, E. The Grasslands of the Southern Interior of British Columbia Author. Ecology 1947, 28, 346–382. [Google Scholar] [CrossRef]
- Van Ryswyk, A.; McLean, A.; Marchand, L. The climate, native vegetation, and soils of some grasslands at different elevations in British Columbia. Can. J. Plant Sci. 1966, 46, 35–50. [Google Scholar] [CrossRef]
- Lee, R.N.; Bradfield, G.E.; Krzic, M.; Newman, R.F.; Cumming, W.F.P. Plant community–Soil relationships in a topographically diverse grassland in southern interior British Columbia, Canada. Botany 2014, 92, 837–845. [Google Scholar] [CrossRef]
- Baethke, K.A. Mine Restoration of a Native Grassland Plant Community in the British Columbia Interior: The use of Biochar, Hydroseeding and Raking. Master’s Thesis, Thompson Rivers University, Kamloops, BC, Canada, 2015. [Google Scholar]
- Fraser, L.H.; Grime, J.P. Interacting effects of herbivory and fertility on a synthesized plant community. J. Ecol. 1999, 87, 514–525. [Google Scholar] [CrossRef]
- Oksanen, J.; Blanchet, F.G.; Friendly, M.; Kindt, R.; Legendre, P.; McGlinn, D.; Minchin, P.R.; O’Hara, R.B.; Simpson, G.L.; Solymos, P.; et al. Vegan: Community Ecology Package; World Agroforestry: Nairobi, Kenya, 2016. [Google Scholar]
- Global Invasive Species Database. Available online: http://www.issg.org/database (accessed on 17 April 2020).
- Grime, J. Competitve exclusion in herbaceous vegetation. Nature 1987, 1, 10037169. [Google Scholar]
- Wilson, J.B.; Lee, W.G. C-S-R Triangle theory: Community-level predictions, tests, evaluation of criticisms and relation to other theories. Oikos 2000, 91, 77–96. [Google Scholar] [CrossRef]
- R Core Team. R: A Language and Environment for Statistical Computing; R Core Team: Copenhagen, Denmark, 2019. [Google Scholar]
- Lenth, R. Emmeans: Estimated Marginal Means, aka Least-Squares Means. Available online: https://cran.r-project.org/package=emmeans (accessed on 30 April 2019).
- Turner, S.R.; Pearce, B.; Rokich, D.P.; Dunn, R.R.; Merritt, D.J.; Majer, J.D.; Dixon, K.W. Influence of polymer seed coatings, soil raking, and time of sowing on seedling performance in post-mining restoration. Restor. Ecol. 2006, 14, 267–277. [Google Scholar] [CrossRef]
- Commander, L.E.; Rokich, D.P.; Renton, M.; Dixon, K.W.; Merritt, D.J. Optimising seed broadcasting and greenstock planting for restoration in the Australian arid zone. J. Arid Environ. 2013, 88, 226–235. [Google Scholar] [CrossRef]
- Lavee, H.; Sarah, P.; Imeson, A. Aggregate Stability Dynamics as Affected by Soil Temperature and Moisture Regimes; on behalf of the Swedish Society for Anthropology and Geography Stable; Taylor & Francis Ltd.: Abingdon, UK, 1996; Volume 78, pp. 73–82. [Google Scholar]
- Walck, J.L.; Hidayati, S.N.; Dixon, K.W.; Thompson, K.; Poschlod, P. Climate change and plant regeneration from seed. Glob. Chang. Biol. 2011, 17, 2145–2161. [Google Scholar] [CrossRef]
- Eriksson, O.; Erikson, A. Effects of arrival order and seed size on germination of grassland plants: Are there assembly rules during recruitment? Ecol. Res. 1998, 13, 229–239. [Google Scholar] [CrossRef]
- Turner, C.L.; Knapp, A.K. Responses of a c4 grass and three c 3 forbs to variation in nitrogen and light in tallgrass prairie. Ecology 1996, 77, 1738. [Google Scholar] [CrossRef]
- Smith, S.W.; Ross, K.; Karlsson, S.; Bond, B.; Upson, R.; Davey, A. Going native, going local: Revegetating eroded soils on the Falkland Islands using native seeds and farmland waste. Restor. Ecol. 2018, 26, 134–144. [Google Scholar] [CrossRef]
- Huxtable, C.H.A.; Koen, T.B.; Waterhouse, D. Establishment of native and exotic grasses on mine overburden and topsoil in the Hunter Valley, New South Wales. Rangel. J. 2005, 27, 73–88. [Google Scholar] [CrossRef]
- Pywell, R.F.; Bullock, J.M.; Roy, D.B.; Warman, L.; Walker, K.J.; Rothery, P. Plant traits as predictors of ecological performance. J. Appl. Ecol. 2003, 40, 65–77. [Google Scholar] [CrossRef]
- Iverson, L.R.; Wali, M.K. Reclamation of coal mined lands: The role of Kochia scoparia and other pioneers in early succession. Reclam. Reveg. Res. 1982, 1, 123–160. [Google Scholar]
- Smith, R.S.; Shiel, R.S.; Millward, D.; Corkhill, P. The interactive effects of management on the productivity and plant community structure of an upland meadow: An 8-year field trial. J. Appl. Ecol. 2000, 37, 1029–1043. [Google Scholar] [CrossRef]





| Species | Common Name | Functional Group | Source | First Nations Secwepemc Name |
|---|---|---|---|---|
| Achnatherum hymenoides | Indian rice grass | Grass | Pickseed | |
| Elymus glaucus | Blue wildrye | Grass | Pickseed | |
| Elymus trachycaulus | Slender wheatgrass | Grass | Pickseed | |
| Festuca campestris | Rough fescue | Grass | Pickseed | |
| Festuca idahoensis | Idaho fescue | Grass | Pickseed | |
| Festuca saximontana | Rocky mountain fescue | Grass | Pickseed | |
| Hespirostipa comata | Needle-and-thread grass | Grass | Pickseed | |
| Koeleria macrantha | June grass | Grass | Pickseed | |
| Poa juncifolia | Alkali bluegrass | Grass | Pickseed | |
| Poa secunda | Sandberg bluegrass | Grass | Pickseed | |
| Pseudoroegneria spicata | Blue bunch wheatgrass | Grass | Pickseed | |
| Sporobolus cryptandrus | Sand dropseed | Grass | Pickseed | |
| Achillea millifolium | Yarrow | Forb | Pickseed | qets’uye7ellp (W) |
| Antennaria rosea/umbrinella | Pussytoes (rose/umber) | Forb | Lac du Bois, Kamloops, BC | |
| * Astragalus purshii | Woollypod milkvetch | Forb | Lac du Bois, Kamloops, BC | |
| Balsamorhiza sagittata | Arrow-leaved balsamroot | Forb | Pickseed | Ts’elqenupye7 |
| Campanula rotundifolia | Harebell | Forb | Lac du Bois, Kamloops, BC | |
| Delphinium nuttallianum | Larkspur | Forb | Quality Seeds | |
| Erigeron compositus | Cutleaf fleabane | Forb | Lac du Bois, Kamloops, BC | |
| Erigeron filifolius | Threadleaf fleabane | Forb | Lac du Bois, Kamloops, BC | |
| Fritillaria pudica | Yellow bells | Forb | Quality Seeds West | |
| Gaillardia aristata | Brown-eyed susan | Forb | Pickseed | sqlelten re ckwtut’stens |
| Mentzelia laevicaulis | Blazing star | Forb | New Afton Mine, Kamloops, BC | |
| * Oxytropis campestris | Field locoweed | Forb | Highland Valley Copper, Logan Lake, BC |
| Species | Common Name | Plant Functional Type | Native/Exotic | Seeded | CSR |
|---|---|---|---|---|---|
| Artemisia frigida | Praire sagewort | Shrub | Native | N | S |
| Astragalus tenellus | Pulse milk vetch | Legume | Native | N | S |
| Artemisia tridentata | Big sagebrush | Shrub | Native | N | S |
| Lotus denticulatus | Riverbar bird’s-foot trefoil | Legume | Native | N | S |
| Myosotis spp. | forget-me-not | Forb | Native | N | S |
| Poa compressa | Canada bluegrass | Grass | Native | N | C |
| Rumex acetosella | Common sheep sorrel | Forb | Native | N | C |
| Thlaspi arvense | Field pennycress | Forb | Native | N | R |
| Achillea millefolium | Yarrow | Forb | Native | Y | R |
| Balsamorhiza sagittata | Arrowleaf | Forb | Native | Y | S |
| Erigeron filifolius | Threadleaf fleabane | Forb | Native | Y | S |
| Elymus glaucus | Wild rye | Grass | Native | Y | C |
| Elymus trachycaulus | Slender wheatgrass | Grass | Native | Y | R |
| Festuca spp. | Grass | Native | Y | S | |
| Fritillaria pudica | Yellow fritillary | Forb | Native | Y | S |
| Gaillardia aristata | Blanketflower | Forb | Native | Y | S |
| Mentzelia laevicaulis | Smoothstem blazingstar | Forb | Native | Y | S |
| Poa sandbergii | Sandberg bluegrass | Grass | Native | Y | R |
| Pseudoroegneria spicata | Bluebunch wheatgrass | Grass | Native | Y | S |
| Sporobolus cryptandrus | Sand dropseed | Grass | Native | Y | S |
| Agropyron cristatum | Crested Wheatgrass | Grass | Exotic | N | C |
| Berteroa incana | Hoary alyssum | Forb | Exotic | N | S |
| Bromus squarrosus | Corn brome | Grass | Exotic | N | C |
| Bromus tectorum | Cheatgrass | Grass | Exotic | N | R |
| Chenopodium album | Lambsquarters | Forb | Exotic | N | R |
| Camelina microcarpa | Littlepd false flax | Forb | Exotic | N | C |
| Centaurea stoebe | Spotted knapweed | Forb | Exotic | N | C |
| Descurainia sophia | Herb sophia | Forb | Exotic | N | R |
| Elymus repens | Quackgrass | Grass | Exotic | N | C |
| Kochia scoparia | Kochia | Forb | Exotic | N | R |
| Latuca serriola | Prickly lettus | Forb | Exotic | N | R |
| Melilotus alba | Sweetclover | Legume | Exotic | N | C |
| Medicago lupulina | Black medick | Forb | Exotic | N | S |
| Polygonum aviculare | Oval-leaf knotweed | Forb | Exotic | N | C |
| Poa pratensis | Kentucky bluegrass | Grass | Exotic | N | R |
| Sisymbrium loeselii | Small tumbleweed mustard | Forb | Exotic | N | C |
| Salsola tragus | Prickly Russian thistle | Forb | Exotic | N | S |
| Taraxacum officinale | Common dandelion | Forb | Exotic | N | C |
| Triticum spp. | Wheat | Grass | Exotic | N | C |
| Preparation | Achillea millefolium | Balsamorhiza sagittata | Elymus trachycaulus | Festuca spp. | Gaillardia aristata | Pseudoroegneria spicata |
|---|---|---|---|---|---|---|
| None | 1.5 (0.5) | 0.1 (0.1) | 0 | 0.3 (0.2) | 1.1 (0.2) | 0 |
| Hydroseed | 0 | 0.3 (0.2) | 0 | 0.2 (0.2) | 1.1 (0.3) | 0 |
| Hydroseed + Rake | 0.3 (0.2) | 2.7 (0.9) | 0.1 (0.1) | 0.9 (0.4 | 3.6 (1.5) | 1 (0.5) |
| Rake | 2.9 (0.7) | 0.5 (0.4) | 1.4 (.5) | 1 (0.6) | 4.7 (1.2) | 3.4 (1.3) |
© 2020 by the authors. Licensee MDPI, Basel, Switzerland. This article is an open access article distributed under the terms and conditions of the Creative Commons Attribution (CC BY) license (http://creativecommons.org/licenses/by/4.0/).
Share and Cite
Baethke, K.A.; Ploughe, L.W.; Gardner, W.C.; Fraser, L.H. Native Seedling Colonization on Stockpiled Mine Soils Is Constrained by Site Conditions and Competition with Exotic Species. Minerals 2020, 10, 361. https://doi.org/10.3390/min10040361
Baethke KA, Ploughe LW, Gardner WC, Fraser LH. Native Seedling Colonization on Stockpiled Mine Soils Is Constrained by Site Conditions and Competition with Exotic Species. Minerals. 2020; 10(4):361. https://doi.org/10.3390/min10040361
Chicago/Turabian StyleBaethke, Kathy A., Laura W. Ploughe, Wendy C. Gardner, and Lauchlan H. Fraser. 2020. "Native Seedling Colonization on Stockpiled Mine Soils Is Constrained by Site Conditions and Competition with Exotic Species" Minerals 10, no. 4: 361. https://doi.org/10.3390/min10040361
APA StyleBaethke, K. A., Ploughe, L. W., Gardner, W. C., & Fraser, L. H. (2020). Native Seedling Colonization on Stockpiled Mine Soils Is Constrained by Site Conditions and Competition with Exotic Species. Minerals, 10(4), 361. https://doi.org/10.3390/min10040361

