Provenance and Tectonic Implications of Sedimentary Rocks of the Paleozoic Chiron Basin, Eastern Transbaikalia, Russia, Based on Whole-Rock Geochemistry and Detrital Zircon U–Pb Age and Hf Isotopic Data
Abstract
:1. Introduction
2. Geological Background
- Conglomerates and sedimentary breccias interbedded with coarse-grained sandstones. Clastic material consists of angular fragments of the metamorphic schists and quartz. Pebbles of felsic volcanic rocks and of granite are rare. The clasts of the sandstones are angular. This member varies from a few meters to 40 m in thickness.
- Massive medium- to fine-grained sandstones interbedded with calcareous sandstones and sandy siltstones 1–2 m thick, and lenses of bioclastic limestone. This member is 45 m thick.
- Sandy siltstones gradually passing upwards into massive siltstone. This member is 43 m thick.
- Massive medium- to coarse-grained sandstones interbedded with gray siltstones and sedimentary breccias similar in composition to Member (1). This member varies in thickness from 2 to 20 m.
- Predominantly siltstones with rare thin interlayers of massive medium-grained sandstones. This member is 102 m thick.
- A conglomerate member, including two second-order cycles, consisting of medium and fine pebble conglomerates grading upwards into coarse-grained sandstones. Well-rounded pebbles are felsic volcanic rocks (90%), granites (6%), quartzites (2%), sandstones or siltstones (2%). Sandstones contain angular and poorly sorted clasts. Individual cycles vary in thickness from 20 to 40 m.
- Alternating massive siltstones and sandy siltstones with flow structures, with gradual transitions between units. This member is 120 m thick.
- Alternating fine- to medium-grained massive and bedded sandstones and massive siltstones. Individual layers are 5–20 m thick, the overall thickness of this member is up to 250 m thick.
- Predominantly coarse-grained rocks including second-order cycles consisting (from bottom to top) of medium and fine pebble conglomerates, coarse- to medium-grained sandstones, and sandy siltstones grading into massive siltstones. Individual cycles vary in thickness from 20 to 30 m. Pebbles are dominated by felsic volcanic rocks, together with granites, quartz, quartzites, and gray siltstones. This member is 90 m thick.
- Alternating beds of massive medium- to fine-grained sandstones, massive siltstones, and sandy siltstones with gradual transitions between units. Siltstone and sandy siltstone layers are 6–27 m thick and sandstones 1–12 m thick. Single pebbles of felsic volcanic rocks are present at the base of sandy siltstone layers. This member is about 200 m thick.
- Mainly siltstones with intercalations of sandstones as thick as 0.2–3 m irregularly distributed within vertical thickness. The member is up to 280 m thick.
- Alternating beds of massive coarse-grained sandstones, medium-grained sandstones, and sandy siltstones with flow texture. Layers vary in thickness from 14 to 40 m. Coarse-grained sandstones contain flattened fragments of siltstone 2–3 cm in size. The member is 190 m thick.
- The Shazagaitui Formation conformably overlies the Khara–Shibir Formation. From bottom to top, the succession consists of the following members [33]:
- A conglomerate member comprising second-order cycles consisting of coarse-, medium-, and fine-grained pebble conglomerates grading upward into sandstones and siltstones. Individual cycles vary in thickness from 10 to 70 m. Pebbles comprise felsic volcanic rocks (55%), granites (23%), quartzites (10%), granite porphyries (9%), sandstones and siltstones (2%), and quartz (1%).
- Alternating beds of massive siltstones and sandy siltstones with flow structures, with gradual transitions between units. Interbeds of fine- to medium-grained sandstones 0.5−2 m in thickness with distinct planar boundaries show no regular pattern. This member is >500 m thick.
- Massive coarse-grained sandstones passing upward into medium- and fine-grained rocks with rare interbeds of dark-gray massive siltstones 1–2 m thick. The thickness of this member exceeds 125 m.
- Alternating beds of sandy siltstones with massive and flow structures and fine- to medium-grained sandstones, the latter in some places preserving cross-bedding. Intercalations of massive calcareous sandstones and sandy limestones also occur. The thickness of this member varies between 170 and 250 m.
- Coarse-grained sandstones with intercalations of conglomerate. Pebble-to-boulder conglomerates comprising clasts composed mainly of rhyolite and quartzite and less commonly granitoid. This member varies irregularly in thickness between 90 to 170 m.
- Siltstones containing plant detritus, fossil wood fragments, megaspores, and nodules formed around the remains of conularia and pelecipods. The thickness is about 300 m.
- Medium- to fine-grained massive and bedded sandstones with scarce thin siltstone intercalations. The thickness of this member is 400 m.
- Intercalated fine-grained massive and bedded sandstones and sandy siltstones. Sandstone horizons show cross-bedding and ripple marks. This member is 70 m thick.
3. Analytical Methods
3.1. Major and Trace Element Analyses
3.2. Sm–Nd Isotopic Analyses
3.3. Zircon U–Pb Dating
3.4. Hf-in-Zircon Isotopes
4. Results
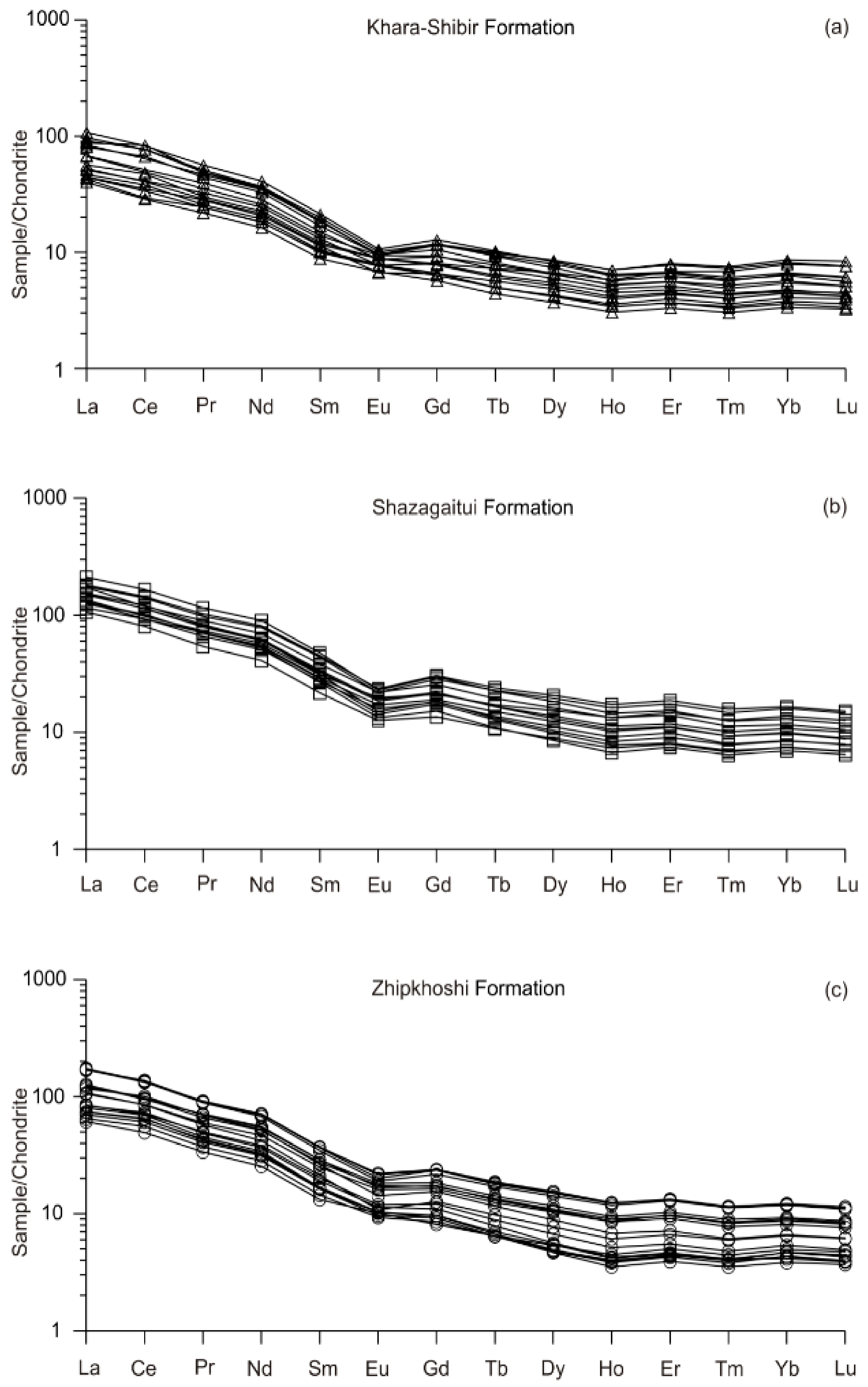
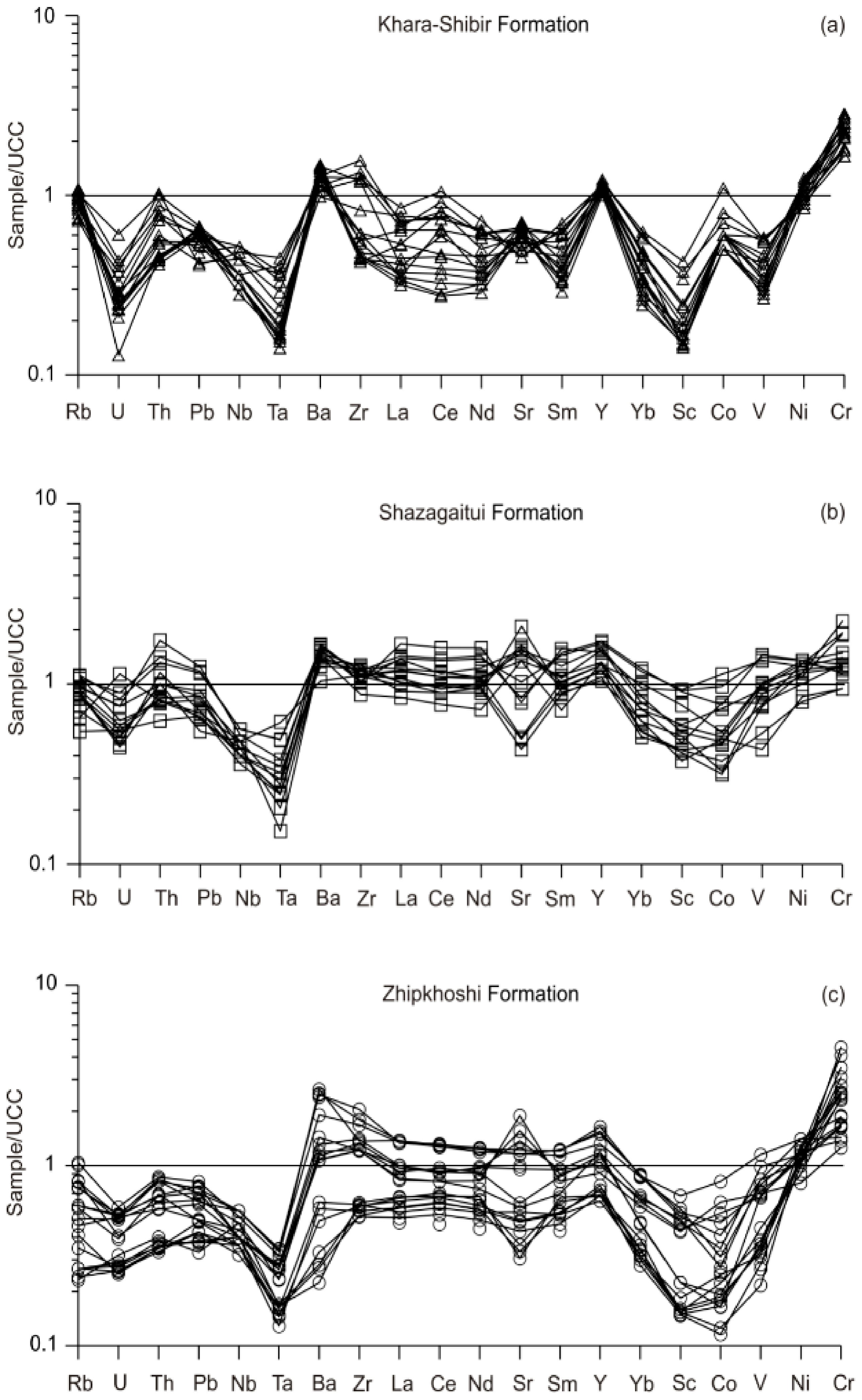
4.1. Major and Trace Element Geochemistry
4.2. Zircon U–Pb Dating
4.2.1. Sample Y−99: Greenschist of the Aga–Borshchovochnyi Metamorphic Complex
4.2.2. Sample Y−98: Sandstone of the Khara–Shibir Formation
4.2.3. Sample Y−97: Sandstone of the Shazagaitui Formation
4.2.4. Sample Y−94: Sandstone of the Zhipkhoshi Formation
4.3. In Situ Zircon Lu–Hf Isotopic Analyses
4.4. Whole-Rock Nd Isotopic Analyses
5. Discussion
5.1. Depositional Age of the Formations
5.2. Provenance
5.3. Tectonic Environments of Sedimentation
6. Conclusions
- Geochemical characteristics of the siliciclastic rocks, as well as the presence of conglomerate and gravelstone interbeds, suggest that sedimentation occurred in an active tectonic regime.
- The main source of sedimentary rocks of the Chiron Basin was igneous and metamorphic rocks from the southern periphery of the Siberian Craton. Devonian–Carboniferous zircon grains with relatively young (mainly Neoproterozoic) Hf model ages were derived from island arcs.
- Combining the new data with regional geological data suggests that sedimentary rocks of the Chiron Basin likely formed in a back arc basin setting on the southern periphery of the Siberian Craton facing the Paleozoic Mongol–Okhotsk Ocean.
Supplementary Materials
Author Contributions
Funding
Acknowledgments
Conflicts of Interest
References
- Zonenshain, L.P.; Kuzmin, M.I.; Natapov, L.M. Geology of the USSR: A plate tectonic synthesis. Geodynamics Series. Am. Geophys. Union 1990, 21, 1–242. [Google Scholar]
- Parfenov, L.M.; Popeko, L.I.; Tomurtogoo, O. Problems of Tectonics of the Mongol-Okhotsk Orogenic Belt. Geol. Pac. Ocean 2001, 16, 797–830. [Google Scholar]
- Wang, W.; Tang, J.; Xu, W.L.; Wang, F. Geochronology and geochemistry of Early Jurassic volcanic rocks in the Erguna Massif, northeast China: Petrogenesis and implications for the tectonic evolution of the Mongol–Okhotsk suture belt. Lithos 2015, 218, 73–86. [Google Scholar] [CrossRef]
- Badarch, G.; Cunningham, W.D.; Windley, B.F. A new terrane subdivision for Mongolia: Implications for the Phanerozoic crustal growth of Central Asia. J. Asian Earth Sci. 2002, 21, 87–110. [Google Scholar] [CrossRef]
- Belichenko, V.G.; Geletii, N.K.; Barash, I.G. Barguzin microcontinent (Baikal mountain area): The problem of outlining. Russ. Geol. Geophys. 2006, 47, 1035–1045. [Google Scholar]
- Volkova, N.I.; Sklyarov, E.V. High-pressure complexes of Central Asian Fold Belt: Geologic setting, geochemistry, and geodynamic implications. Russ. Geol. Geophys. 2007, 48, 109–119. [Google Scholar] [CrossRef]
- Ruzhentsev, S.V.; Nekrasov, G.E. Tectonics of the Aga zone, Mongolia–Okhotsk Belt. Geotectonics 2009, 43, 34–50. [Google Scholar] [CrossRef]
- Mazukabzov, A.M.; Donskaya, T.V.; Gladkochub, D.P.; Paderin, I.P. The Late paleozoic geodynamics of the West Transbaikalian segment of the Central Asian Fold Belt. Russ. Geol. Geophys. 2010, 51, 482–491. [Google Scholar] [CrossRef]
- Shivokhin, E.A.; Ozerskii, A.F.; Kurilenko, A.V.; Raitina, N.I.; Karasev, V.V. State Geological Map of the Russian Federation 1:1000000. In Aldan–Transbaikalian Series, 3rd ed.; Sheet, M-50, Starchenko, V.V., Eds.; VSEGEI: St. Petersburg, Russia, 2010. (In Russian) [Google Scholar]
- Gladkochub, D.P.; Stanevich, A.M.; Mazukabzov, A.M.; Donskaya, T.V.; Pisarevsky, S.A.; Nikoll, G.; Motova, Z.L.; Kornilova, T.A. Early evolution of the Paleoasian ocean: LA-ICP-MS dating of detrital zircon from Late Precambrian sequences of the southern margin of the Siberian craton. Russ. Geol. Geophys. 2013, 54, 1150–1163. [Google Scholar] [CrossRef]
- Tomurtogoo, O.; Windley, B.F.; Kröner, A.; Badarch, G.; Liu, D.Y. Zircon age and occurrence of the Adaatsag ophiolite and Muron shear zone, central Mongolia: Constraints on the evolution of the Mongol-Okhotsk Ocean, suture and orogen. J. Geol. Soc. 2005, 162, 125–134. [Google Scholar] [CrossRef]
- Khanchuk, A.I.; Didenko, A.N.; Popeko, L.I.; Sorokin, A.A.; Shevchenko, B.F. Structure and Evolution of the Mongol-Okhotsk Orogenic Belt. In The Central Asian Orogenic Belt. Geology, Evolution, Tectonics, and Models; Kröner, A., Ed.; Borntraeger Science Publishers: Stuttgart, Germany, 2015; pp. 211–234. [Google Scholar]
- Wang, T.; Tong, Y.; Zhang, L.; Li, S.; Huang, H.; Zhang, J.; Guo, L.; Yang, Q.; Hong, D.; Donskaya, T.; et al. Phanerozoic granitoids in the central and eastern parts of Central Asia and their tectonic significance. J. Asian Earth Sci. 2017, 145, 368–392. [Google Scholar] [CrossRef]
- Kelty, T.K.; Yin, A.; Dash, B.; Gehrels, G.E.; Ribeiro, A.E. Detrital-zircon geochronology of Paleozoic sedimentary rocks in the Hangay–Hentey basin, north-central Mongolia: Implications for the tectonic evolution of the Mongol–Okhotsk Ocean in central Asia. Tectonophysics 2008, 451, 290–311. [Google Scholar] [CrossRef]
- Bussien, D.; Gombojav, N.; Winkler, W.; Quadt, A. The Mongo-Okhotsk Belt in Mongolia—An appraisal of the geodynamic development by the study of sandstone provenance and detrital zircons. Tectonophysics 2011, 510, 132–150. [Google Scholar] [CrossRef]
- Hara, H.; Kurihara, T.; Tsukada, K.; Kon, Y.; Uchino, T.; Suzuki, T.; Takeuchi, M.; Nakane, Y.; Nuramkhaan, M.; Chuluun, M. Provenance and origins of a Late Paleozoic accretionary complex within the Khangai–Khentei belt in the Central Asian Orogenic Belt, central Mongolia. J. Asian Earth Sci. 2013, 75, 141–157. [Google Scholar] [CrossRef]
- Ruppen, D.; Knaf, A.; Bussien, D.; Winkler, W.; Chimedtseren, A.; von Quadt, A. Restoring the Silurian to Carboniferous northern active continental margin of the Mongol–Okhotsk Ocean in Mongolia: Hangay–Hentey accretionary wedge and seamount collision. Gondwana Res. 2014, 25, 1517–1524. [Google Scholar] [CrossRef]
- Sorokin, A.A.; Kolesnikov, A.A.; Kotov, A.B.; Sorokin, A.P.; Kovach, V.P. Sources of detrital zircons from terrigenous deposits in the Yankan terrane of the Mongolian-Okhotsk mobile belt. Dokl. Earth Sci. 2015, 462, 621–625. [Google Scholar] [CrossRef]
- Zaika, V.A.; Sorokin, A.A.; Xu, B.; Kotov, A.B.; Kovach, V.P. Geochemical Features and Sources of Metasedimentary Rocks of the Western Part of the Tukuringra Terrane of the Mongol–Okhotsk Fold Belt. Stratigr. Geol. Correl. 2018, 26, 157–178. [Google Scholar] [CrossRef]
- Zaika, V.A.; Sorokin, A.A.; Kovach, V.P.; Sorokin, A.P.; Kotov, A.B. Age and sources of the Lower Mesozoic metasedimentary rocks of the Un’ja-Bom terrane in the Mongol-Okhotsk fold belt: Results of the U-Th-Pb geochronological (LA-ICP-MS) AND Sm-Nd isotope studies. Dokl. Earth Sci. 2019, 484, 115–119. [Google Scholar] [CrossRef]
- Zaika, V.A.; Sorokin, A.A. Age and sources of the metasedimentary rocks of the Dzhagda terrane in the Mongol-Okhotsk fold belt: Results of the U-Pb geochronological and Lu-Hf isotope studies. Russ. J. Pac. Geol. 2020, 14, 20–31. [Google Scholar] [CrossRef]
- Demonterova, E.I.; Ivanov, A.V.; Mikheeva, E.A.; Arzhannikova, A.V.; Frolov, A.O.; Arzannikov, S.G.; Bryanskiy, N.V.; Pavlova, L.A. Early to Middle Jurassic history of the southern Siberian continent (Transbaikalia) recorded in sediments of the Siberian Craton: Sm-Nd and U-Pb provenance study. Bull. De La Société Géologique De Fr. 2017, 188, 1–29. [Google Scholar] [CrossRef]
- Zaika, V.A.; Sorokin, A.A.; Kovach, V.P.; Sorokin, A.P.; Kotov, A.B. Age and sources of detrital zircons from Jurassic conglomerates of the Strelka Depression (northern frame of the Mongol-Okhotsk fold belt). Dokl. Earth Sci. 2019, 485, 372–375. [Google Scholar] [CrossRef]
- Zaika, V.A.; Sorokin, A.A.; Kovach, V.P.; Kotov, A.B. Geochemistry of metasedimentary rocks, sources of clastic material and the tectonic nature of the Mesozoic depressions of the northern framing of the eastern part of the Mongol-Okhotsk fold belt. Russ. Geol. Geophys. 2020, 61, 286–302. [Google Scholar] [CrossRef]
- He, Z.J.; Li, J.Y.; Mo, S.G.; Sorokin, A.A. Geochemical discriminations of sandstones from the Mohe Foreland basin, northeastern China: Tectonic setting and provenance. Sci. China Ser. D Earth Sci. 2005, 48, 613–621. [Google Scholar] [CrossRef]
- Smirnova, Yu.N.; Sorokin, A.A.; Popeko, L.I.; Kotov, A.B.; Kovach, V.P. Geochemistry and provenances of the Jurassic terrigenous rocks of the Upper Amur and Zeya–Dep troughs, eastern Central Asian fold belt. Geochem. Int. 2017, 55, 163–183. [Google Scholar] [CrossRef]
- Nagibina, M.S. Stratigraphy and Formations of the Mongol–Okhotsk Belt; VINITI: Moscow, Russia, 1969; p. 399. (In Russian) [Google Scholar]
- Amantov, V.A. Tectonics and Formations of Transbaikalia and Northern Mongolia. Tr. Vsegei 1975, 231, 223. (In Russian) [Google Scholar]
- Parfenov, L.M.; Berzin, N.A.; Badarch, G.; Belichenko, V.G.; Bulgatov, A.N.; Dril, S.I.; Khanchuk, A.I.; Kirillova, G.L.; Kuz’min, M.I.; Nokleberg, W.J.; et al. Tectonic and Metallogenic Model for Northeast Asia; USGS Professional Paper 1765; Nokleberg, W.J., Ed.; U.S. Geological Survey: Reston, VA, USA, 2010; pp. 1–55. [Google Scholar]
- Anashkina, K.K.; Butin, K.S.; Enikeev, F.I.; Kinyakin, A.V.; Krasnov, V.P.; Krivenko, V.A.; Oleksiv, B.I.; Pinaeva, T.A.; Rutshtein, I.G.; Semenov, V.N.; et al. Geological Structure of the Chita Region: Explanatory Notes to the Geological Map 1:500000. Chita 1997, 239. (In Russian) [Google Scholar]
- Tulokhonov, M.I. Geological Map of the USSR 1:200000; East Transbaikalian SeriesVostochno-Zabaikal’Skaya SeriesSheet M-50-II; Gosgeoltekhizdat: Moscow, Russia, 1962. (In Russian) [Google Scholar]
- Kurilenko, A.V.; Kotlyar, G.V.; Kul’kov, N.P. (Eds.) Atlas of Fauna and Flora of the Paleozoic–Mesozoic of the Transbaikalia; Nauka: Novosibirsk, Russia, 2002; p. 714. (In Russian) [Google Scholar]
- Kotlyar, G.V.; Popeko, L.I. Upper Paleozoic biostratigraphy, bryozoa, and brachiopods of Transbaikalia. Zap. Zabaikal’sk. Fil. Geogr. O-Va SSSR 1967, 28, 323. (In Russian) [Google Scholar]
- Rutshtein, I.G.; Bogach, G.I.; Enikeev, F.I.; Vaviliv, D.E. State Geological Map of the Russian Federation 1:200000; Eastern Transbaikalian Series; Sheet M-50-II; VSEGEI: St. Petersburg, Russia, 2019. (In Russian) [Google Scholar]
- Kletz, A.G. Upper Paleozoic of the Marginal Seas of Angarida; Yolkin, E.A., Ed.; Geo: Novosibirsk, Russia, 2005; p. 441. (In Russian) [Google Scholar]
- Afanasjeva, G.A. Carboniferous Biostratigraphy, fauna and flora of Deng-Nuru Range, South Mongolia, The joint Soviet-Mongolian Paleontological Expedition 21. Nauka Mosc. 1983, 104. (In Russian) [Google Scholar]
- Abramov, B.S.; Grigorjeva, A.D. Biostratigraphy and brachiopods of Lower Carboniferous of the Verkhoyansk region. Nauka Mosc. 1986, 193. (In Russian) [Google Scholar]
- Ruzhentsev, V.E. Ammonoids and Carboniferous chronostratigraphy of Eastern Siberia. Paleontol. J. 1975, 2, 28–45. [Google Scholar]
- Ganelin, V.G.; Tschernjak, G.E. Marine basins of Northeast Asia. In The Carboniferous of the World, 3rd ed; International Union of Geological Sciences Publication: The Former USSR, Mongolia, Middle Eastern Platform, Afghanistan; Iran, 1996; Volume 33, pp. 207–434. [Google Scholar]
- Sobolev, E.S.; Budnikov, I.V.; Klets, A.G. Late Bashkirian ammonoids and nautiloids from the Western Verkhoyansk Region. J. Paleontol. 1998, 32, 447–461. [Google Scholar]
- Byakov, A.S. A new Permian bivalve zonal scale of Northeastern Asia. Article 2: Correlation problems. Russ. J. Pac. Geol. 2013, 7, 1–15. [Google Scholar] [CrossRef]
- Murphy, M.A.; Salvador, A. International Stratigraphic Guide—An abridged version. Episodes 1999, 22, 255–271. [Google Scholar] [CrossRef] [Green Version]
- Zhamoida, A.I. Stratigraphic Code of Russia, 3rd ed.; VSEGEI Press: Petersburg, Russia, 2006. [Google Scholar]
- Yang, Y.; Chu, Z.-Y.; Wu, F.-Y.; Xie, L.-W.; Yang, J.-Y. Precise and accurate determination of Sm, Nd concentrations and Nd isotopic compositions in geological samples by MC-ICP-MS. J. Anal. At. Spectrom. 2011, 26, 1237–1244. [Google Scholar] [CrossRef]
- Tanaka, T.; Togashi, S.; Kamioka, H.; Amakawa, H.; Kagami, H.; Hamamoto, T.; Yuhara, M.; Orihashi, Y.; Yoneda, S.; Shimizu, H.; et al. JNdi-1: A neodymiumisotopic reference in consistency with La Jolla neodymium. Chem. Geol. 2000, 168, 279–281. [Google Scholar] [CrossRef]
- Jacobsen, S.; Wasseburg, G. Sm-Nd isotopic evolution of chondrites and achondrites. II. Earth Planet. Sci. Lett. 1984, 67, 137–150. [Google Scholar] [CrossRef]
- Goldstein, S.J.; Jacobsen, S.B. Nd and Sr isotopic systematic of rivers water suspended material: Implications for crustal evolution. Earth Planet. Sci. Lett. 1988, 87, 249–265. [Google Scholar] [CrossRef]
- Keto, L.; Jacobsen, S. Nd and Sr isotopic variations of Early Paleozoic oceans. Earth Planet. Sci. Lett. 1987, 84, 27–41. [Google Scholar] [CrossRef]
- Taylor, S.R.; McLennan, S.M. The Continental Crust: Its Composition and Evolution; Blackwell Scientific Publication: London, UK, 1985; p. 384. [Google Scholar]
- LaserChron Center. Department of Geosciences, University of Arizona, Tucson, AZ, USA. Available online: www.laserchron.org (accessed on 18 March 2020).
- Paces, J.B.; Miller, J.D. Precise U-Pb ages of Duluth Complex and related mafic intrusions, northeastern Minnesota: Geochronological insights to physical, petrogenic, paleomagnetic, and tectonomagmatic processes associated with the 1.1. Ga Midcontinent Rift System. J. Geophys. Res. 1993, 98, 13997–14013. [Google Scholar] [CrossRef]
- Black, L.P.; Kamo, S.L.; Allen, C.M.; Davis, D.W.; Aleinikoff, J.N.; Valley, J.W.; Mundil, R.; Campbell, I.H.; Korsch, R.J.; Williams, I.S.; et al. Improved 206Pb/238U microprobe geochronology by the monitoring of trace-element-related matrix effect; SHRIMP, ID-TIMS, ELA-ICP-MS and oxygen isotope documentation for a series of zircon standards. Chem. Geol. 2004, 205, 15–140. [Google Scholar] [CrossRef]
- Gehrels, G.E.; Valencia, V.; Ruiz, J. Enhanced precision, accuracy, efficiency, and spatial resolution of U-Pb ages by laser ablation-multicollector-inductively coupled plasma-mass spectrometry. Geochem. Geophys. Geosystems 2008, 9, 1–13. [Google Scholar] [CrossRef]
- Mattinson, J.M. Analysis of the relative decay constants of 235U and 238U by multi-step CA-TIMS measurements of closed system natural zircon samples. Chem. Geol. 2010, 275, 186–198. [Google Scholar] [CrossRef]
- Ludwig, K.R. User’s Manual for a Geochronological Toolkit for Microsoft Excel; Berkeley Geochronology Center Special Publication: Berkeley, CA, USA, 2008; pp. 1–75. [Google Scholar]
- Gehrels, G.E. AgePick. 2007. Available online: https://sites.google.com/a/laserchron.org/laserchron/home/ (accessed on 9 January 2020).
- Scherer, E.; Münker, C.; Mezger, K. Calibration of the Lutetium-Hafnium Clock. Science 2001, 293, 683–687. [Google Scholar] [CrossRef] [PubMed]
- Söderlund, U.; Patchett, P.J.; Vervoort, J.D.; Isachsen, C.E. The 176Lu decay constant determined by Lu-Hf and U-Pb isotope systematics of Precambrian mafic intrusions. Earth Planet. Sci. Lett. 2004, 219, 311–324. [Google Scholar] [CrossRef]
- Bouvier, A.; Vervoort, J.D.; Patchett, J. The Lu-Hf and Sm-Nd isotopic composition of CHUR: Constraints from unequilibrated chondrites and implications for the bulk composition of terrestrial planets. Earth Planet. Sci. Lett. 2008, 273, 48–57. [Google Scholar] [CrossRef]
- Vervoort, J.D.; Patchett, P.J. Behavior of hafnium and neodymium isotopes in the crust: Constraints from Precambrian crustally derived granites. Geochim. Cosmochim. Acta 1996, 60, 3717–3723. [Google Scholar] [CrossRef]
- Amelin, Y.; Davis, W.J. Geochemical test for branching decay of 176Lu. Geochim. Cosmochim. Acta 2005, 69, 465–473. [Google Scholar] [CrossRef]
- Griffin, W.L.; Belousova, E.A.; Shee, S.R.; Pearson, N.J.; O’Reilly, S.Y. Archean crustal evolution in the northern Yilgarn Craton: U-Pb and Hf-isotope evidence from detrital zircons. Precambrian Res. 2004, 131, 231–282. [Google Scholar] [CrossRef]
- Kovach, V.P.; Degtyarev, K.E.; Tretyakov, A.A.; Kotov, A.B.; Tolmacheva, E.V.; Wang, K.L.; Chung, S.L.; Lee, H.Y.; Jahn, B.M. Sources and provenance of the Neoproterozoic placer deposits of the northern Kazakhstan: Implication for continental growth of the western Central Asian Orogenic Belt. Gondwana Res. 2017, 47, 28–43. [Google Scholar] [CrossRef]
- Kröner, A.; Alexeiev, D.V.; Hegner, E.; Rojas-Agramonte, Y.; Corsini, M.; Chao, Y.; Wong, J.; Windley, B.F.; Liu, D.; Tretyakov, A.A. Zircon and muscovite ages, geochemistry, and Nd–Hf isotopes for the Aktyuz metamorphic terrane: Evidence for an Early Ordovician collisional belt in the northern Tianshan of Kyrgyzstan. Gondwana Res. 2012, 21, 901–927. [Google Scholar] [CrossRef]
- Kröner, A.; Alexeiev, D.V.; Rojas-Agramonte, Y.; Hegner, E.; Wong, J.; Xia, X.; Belousova, E.; Mikolaichuk, A.; Seltmann, R.; Liu, D.; et al. Mesoproterozoic (Grenville-age) terranes in the Kyrgyz North Tianshan: Zircon ages and Nd-Hf isotopic constraints on the origin and evolution of basement blocks in the southern Central Asian Orogen. Gondwana Res. 2013, 23, 272–295. [Google Scholar] [CrossRef]
- Pettijohn, F.J.; Potter, R.; Siever, R. Sand and Sandstone; Springer: Heidelberg, Germany, 1972; p. 535. [Google Scholar]
- Herron, M.M. Geochemical classification of terrigenous sands and shales from core or log data. J. Sediment. Petrol. 1988, 58, 820–829. [Google Scholar]
- Bahlburg, H.; Dobrzinski, N. A Review of the Chemical Index of Alteration (CIA) and Its Application to the Study of Neoproterozoic Glacial Deposits and Climate Transitions. In The Geological Record of Neoproterozoic Glaciations; Memoir 36; Arnaud, E., Halverson, G.P., ShieldsZhou, G.A., Eds.; Geological Society: London, UK, 2011; pp. 81–92. [Google Scholar]
- McDonough, W.F.; Sun, S.S. The composition of the Earth. Chem. Geol. 1995, 120, 223–253. [Google Scholar] [CrossRef]
- Velikoslavinskii, S.D.; Kotov, A.B.; Kovach, V.P.; Tolmacheva, E.V.; Sorokin, A.A.; Sal’nikova, E.B.; Larin, A.M.; Zagornaya, N.Yu.; Wang, K.L.; Chung, S.-L. Age and tectonic position of the Stanovoi metamorphic complex in the eastern part of the Central Asian Foldbelt. Geotectonics 2017, 51, 341–352. [Google Scholar] [CrossRef]
- Donskaya, T.V.; Sal’nikova, E.B.; Sklyarov, E.V.; Gladkochub, D.P.; Mazukabzov, A.M.; Kovach, V.P.; Yakovleva, S.Z.; Berezhnaya, N.G. Early Proterozoic postcollision magmatism at the southern flank of the Siberian Craton: New geochronological data and geodynamic implications. Dokl. Earth Sci. 2002, 383, 125–128. [Google Scholar]
- Donskaya, T.V.; Gladkochub, D.P.; Kovach, V.P.; Mazukabzov, A.M. Petrogenesis of Early Proterozoic postcollisional granitoids in the southern Siberian Craton. Petrology 2005, 13, 229–252. [Google Scholar]
- Larin, A.M.; Sal’nikova, E.B.; Kotov, A.B.; Makar’ev, L.B.; Yakovleva, S.Z.; Kovach, V.P. Early Proterozoic syn-and postcollision granites in the northern part of the Baikal Fold Area. Stratigr. Geol. Correl. 2006, 14, 463–474. [Google Scholar] [CrossRef]
- Rytsk, E.Y.; Kovach, V.P.; Yarmolyuk, V.V.; Kovalenko, V.I.; Bogomolov, E.S.; Kotov, A.B. Isotopic structure and evolution of the continental crust in the East Transbaikalian segment of the Central Asian Foldbelt. Geotectonics 2011, 45, 349–377. [Google Scholar] [CrossRef]
- Ruzhentsev, S.V.; Minina, O.R.; Nekrasov, G.E.; Aristov, V.A.; Golionko, B.G.; Doronina, N.A.; Lykhin, D.A. The Baikal–Vitim Fold System: Structure and geodynamic evolution. Geotectonics 2012, 46, 87–110. [Google Scholar] [CrossRef]
- Nutman, A.P.; Cherneshev, I.V.; Baadsgaard, H.; Smelov, A.P. The Aldan Shield of Siberia, USSR: The age of its Archean components and evidence for widespread reworking in the mid-Proterozoic. Precambrian Res. 1992, 54, 195–210. [Google Scholar] [CrossRef]
- Larin, A.M.; Sal’nikova, E.B.; Kotov, A.B.; Glebovitsky, V.A.; Kovach, V.P.; Berezhnaya, N.G.; Yakovleva, S.Z.; Tolkachev, M.D. Late Archean granitoids of the dambukinskiǐ block of the Dzhugdzhur-Stanovoy fold belt: Formation and transformation of the continental crust in the early precambrian. Petrology 2004, 12, 211–226. [Google Scholar]
- Larin, A.M.; Kotov, A.B.; Velikoslavinskii, S.D.; Sal’nikova, E.B.; Kovach, V.P. Early precambrian A-granitoids in the Aldan Shield and adjacent mobile belts: Sources and geodynamic environments. Petrology 2012, 20, 218–239. [Google Scholar] [CrossRef]
- Velikoslavinskii, S.D.; Kotov, A.B.; Tolmacheva, E.V.; Sal’nikova, E.B.; Kovach, V.P.; Larin, A.M. Early Precambrian granite-gneiss complexes in the Central Aldan Shield. Petrology 2011, 19, 382–398. [Google Scholar] [CrossRef]
- Glebovitsky, V.A.; Sedova, I.S.; Matukov, D.I.; Presnyakov, S.L.; Berezhnaya, N.G.; Tolmacheva, E.V.; Samorukova, L.M.; Sergeev, S.A. Age of the Stanovoy Complex of east Siberia: Evidence from SHRIMP II ion microprobe data. Dokl. Earth Sci. 2007, 412, 35–38. [Google Scholar] [CrossRef]
- Donskaya, T.V. Early Protherozoic Granitoid Magmatism of the Siberian Craton. Ph.D. Thesis, (Dissertations on competition of a scientific degree of the Doctor of Geological and Mineralogical Sciences). Institute of the Earth’s crust of the Siberian Branch of the Russian Academy of Sciences, Irkutsk, Russia, 2019; p. 339. (In Russian). [Google Scholar]
- Sal’nikova, E.B.; Kotov, A.B.; Belyatskii, B.V.; Yakovleva, S.Z.; Morozova, I.M.; Berezhnaya, N.G.; Zagornaya, N.Yu. U-Pb Age of Granitoids in the Junction Zone between the Olekma Granite-Greenstone and Aldan Granulite-Gneiss Terranes. Stratigr. Geol. Correl. 1997, 13, 101–109. [Google Scholar]
- Sal’nikova, E.B.; Kotov, A.B.; Levitskii, V.I.; Reznitskii, L.Z.; Mel’nikov, A.I.; Kozakov, I.K.; Kovach, V.P.; Barash, I.G.; Yakovleva, S.Z. Age constraints of high-temperature metamorphic events in crystalline complexes of the Irkut block, the Sharyzhalgai ledge of the Siberian platform basement: Results of the U-Pb single zircon dating. Stratigr. Geol. Correl. 2007, 15, 343–358. [Google Scholar] [CrossRef]
- Neymark, L.A.; Larin, A.M.; Nemchin, A.A.; Ovchinnikova, G.V.; Rytsk, E.Yu. Anorogenic Nature of Magmatism in the Northern Baikal Volcanic Belt: Evidence from Geochemical, Geochronological (U-Pb), and Isotopic (Pb, Nd) Data. Petrology 1998, 6, 124–148. [Google Scholar]
- Kotov, A.B.; Kovach, V.P.; Sal’nikova, E.B.; Glebovitskii, V.A.; Yakovleva, S.Z.; Berezhnaya, N.G.; Myskova, T.A. Stages of Continental Growth in the Central Part of the Aldan Granulite-Gneissic Area: U-Pb and Sm-Nd Isotope Data on Granitoids. Petrologiya 1995, 3, 99–110. [Google Scholar]
- Kotov, A.B.; Sal’nikova, E.B.; Larin, A.M.; Kovach, V.P.; Savatenkov, V.M.; Yakovleva, S.Z.; Berezhnaya, N.G.; Plotkina, Yu.V. Early Proterozoic Granitoids in the Junction Zone of the Olekma Granite-Greenstone Belt and the Aldan Granulite-Gneiss Terrane, Aldan Shield: Age, Sources, and Geodynamic Environments. Petrology 2004, 12, 37–55. [Google Scholar]
- Kotov, A.B.; Vladykin, N.V.; Larin, A.M.; Gladkochub, D.P.; Salnikova, E.B.; Sklyarov, E.V.; Tolmacheva, E.V.; Donskaya, T.V.; Velikoslavinsky, S.D.; Yakovleva, S.Z. New data on the age of ore formation in the unique Katugin rare-metal deposit (Aldan Shield). Dokl. Earth Sci. 2015, 463, 663–667. [Google Scholar] [CrossRef]
- Kotov, A.B.; Salnikova, E.B.; Kovach, V.P.; Velikoslavinsky, S.D.; Sklyarov, E.V.; Gladkochub, D.P.; Larin, A.M.; Tolmacheva, E.V.; Fedoseenko, A.M.; Plotkina, Yu.V. The Younger Age Limit of Metasedimentary Protolith Formation of the Lower Part of the Udokan Group Rocks (Aldan Shield). Dokl. Earth Sci. 2018, 479, 415–419. [Google Scholar] [CrossRef]
- Rosen, O.M. The Siberian Craton: Tectonic Zoning and Stages of Evolution. Geotectonics 2003, 37, 175–192. [Google Scholar]
- Velikoslavinskii, S.D.; Kotov, A.B.; Sal’nikova, E.B.; Larin, A.M.; Sorokin, A.A.; Sorokin, A.P.; Kovach, V.P.; Tolmacheva, E.V.; Gorokhovskii, B.M. Age of Ilikan Sequence from the Stanovoi complex of the Dzhugdzhur–Stanovoi superterrane, Central-Asian Fold belt. Dokl. Earth Sci. 2011, 438, 612–616. [Google Scholar] [CrossRef]
- Donskaya, T.V.; Gladkochub, D.P.; Mazukabzov, A.M.; Presnyakov, S.L.; Bayanova, T.B. Paleoproterozoic granitoids of the Chuya and Kutima complexes (southern Siberian craton): Age, petrogenesis, and geodynamic setting. Russ. Geol. Geophys. 2013, 54, 283–296. [Google Scholar] [CrossRef]
- Donskaya, T.V.; Gladkochub, D.P.; Mazukabzov, A.M.; Lepekhina, E.N. Age and sources of the Paleoproterozoic premetamorphic granitoids of the Goloustnaya block of the Siberian craton: Geodynamic applications. Petrology 2016, 24, 543–561. [Google Scholar] [CrossRef]
- Donskaya, T.V.; Mazukabzov, A.M.; Gladkochub, D.P. Petrogenesis and structural position of the Early Proterozoic charnockites of the Tatarnikovsky massif in the South Siberian post-collisional magmatic belt of the Siberian craton. Geodyn. Tectonophys. 2018, 9, 391–412. [Google Scholar] [CrossRef]
- Donskaya, T.V.; Gladkochub, D.P.; Mazukabzov, A.M. Early Proterozoic granitoids of the Olenek complex (northern Siberian craton): Petrogenesis and geodynamic setting. Russ. Geol. Geophys. 2018, 59, 226–237. [Google Scholar] [CrossRef]
- Donskaya, T.V.; Gladkochub, D.P.; Sklyarov, E.V.; Kotov, A.B.; Larin, A.M.; Starikova, A.E.; Mazukabzov, A.M.; Tolmacheva, E.V.; Velikoslavinskii, S.D. Genesis of the Paleoproterozoic Rare-Metal Granites of the Katugin Massif. Petrology 2018, 26, 47–64. [Google Scholar] [CrossRef]
- Gavrikova, S.N.; Nikolaeva, L.L.; Galanin, A.V. Early Precambrian of the Southern Part of the Stanovoi Fold Area. Nedra Mosc. 1991, 171. (In Russian) [Google Scholar]
- Buchko, I.V.; Sorokin, A.A.; Sal’nikova, E.B.; Kotov, A.B.; Larin, A.M.; Sorokin, A.P.; Velikoslavinskii, S.D.; Yakovleva, S.Z. Age and tectonic setting of the Kengurak-Sergachi gabbro-anorthosite massif (the Selenga-Stanovoi superterrane, southern frame of the Siberian craton). Stratigr. Geol. Correl. 2008, 16, 349–359. [Google Scholar] [CrossRef]
- Nekrasov, G.E.; Rodionov, N.V.; Berezhnaya, N.G.; Sergeev, S.A.; Ruzhentsev, S.V.; Minina, O.R.; Golionko, B.G. U-Pb age of zircons from plagiogranite veins in migmatized amphibolites of the Shaman Range (Ikat–Bagdarin Zone, Vitim Highland, Transbaikal Region). Dokl. Earth Sci. 2007, 413, 160–163. [Google Scholar] [CrossRef]
- Gordienko, I.V.; Bulgatov, A.N.; Lastochkin, N.I.; Sitnikova, V.S. Composition and U-Pb isotopic age determinations (SHRIMP-II) of the ophiolitic assemblage from the Shaman Paleospreading zone and the conditions of its formation (North Transbaikalia). Dokl. Earth Sci. 2009, 429, 1420–1425. [Google Scholar] [CrossRef]
- Gordienko, I.V.; Bulgatov, A.N.; Ruzhentsev, S.V.; Minina, O.R.; Klimuk, V.S.; Vetluzhskikh, L.I.; Nekrasov, G.E.; Lastochkin, N.I.; Sitnikova, V.S.; Metelkin, D.V.; et al. The Late Riphean–Paleozoic history of the Uda–Vitim island-arc system in the Transbaikalian sector of the Paleoasian Ocean. Russ. Geol. Geophys. 2010, 51, 461–481. [Google Scholar] [CrossRef]
- Nekrasov, G.E.; Ruzhentsev, S.V.; Presnyakov, S.L.; Rodionov, N.V.; Lykhin, D.A.; Golionko, B.G. U-Pb SHRIMP dating of zircons from plutonic and metamorphic rocks of the Ikat–Bagdarin and Agin zones (Transbaikalia). In Proceedings of the Scientific Conference Geodynamic Evolution of the Lithosphere of the Central Asian Mobile Belt (from Ocean to Continent), Irkutsk, Russia, 16–20 October 2006; Volume 2, pp. 58–60. [Google Scholar]
- Gordienko, I.V. Geodynamic evolution of Late Baikalides and Paleozoids in the folded periphery of the Siberian Craton. Russ. Geol. Geophys. 2006, 47, 51–67. [Google Scholar]
- Larin, A.M.; Kotov, A.B.; Vladykin, N.V.; Gladkochub, D.P.; Kovach, V.P.; Sklyarov, E.V.; Donskaya, T.V.; Velikoslavinskii, S.D.; Zagornaya, N.Y.; Sotnikova, I.A. Rare metal granites of the Katugin Complex (Aldan Shield): Sources and geodynamic formation settings. Dokl. Earth Sci. 2015, 464, 889–893. [Google Scholar] [CrossRef]
- Tsygankov, A.A.; Matukov, D.I.; Berezhnaya, N.G.; Larionov, A.N.; Posokhov, V.F.; Tsyrenov, B.T.; Khromov, A.A.; Sergeev, S.A. Late Paleozoic granitods of the Western Transbaikalia: Magma sources and stages of formation. Russ. Geol. Geophys. 2007, 48, 120–140. [Google Scholar] [CrossRef]
- Tsygankov, A.A. Late Paleozoic granitoids in Western Transbaikalia: Sequence of formation, sources of magmas, and geodynamics. Russ. Geol. Geophys. 2014, 55, 153–176. [Google Scholar] [CrossRef]
- Kovach, V.P.; Sal’nikova, E.B.; Rytsk, E.Yu.; Yarmolyuk, V.V.; Kotov, A.B.; Anisimova, I.V.; Yakovleva, S.Z.; Fedoseenko, A.M.; Plotkina, Yu.V. The time length of formation of the Angara–Vitim batholite: Results of U–Pb geochronological studies. Dokl. Earth Sci. 2012, 444, 553–558. [Google Scholar] [CrossRef]
- Khanchuk, A.I. Geodynamics, Magmatism, and Metallogeny of Eastern Russia, 1st ed.; Dal’nauka: Vladivostok, Russia, 2006; p. 572. (In Russian) [Google Scholar]
- Bhatia, M.R. Plate tectonics and geochemical composition of sandstone. J. Geol. 1983, 91, 611–627. [Google Scholar] [CrossRef]
- Roser, B.D.; Korsch, R.J. Provenance signatures of sandstone–mudstone suites determinate using discriminant function analysis of major-element data. Chem. Geol. 1988, 67, 119–139. [Google Scholar] [CrossRef]
- McLennan, S.M.; Hemming, S.; McDanniel, D.K.; Hanson, G.N. Geochemical approaches to sedimentation, provenance, and tectonics. In Controlling the Composition of Clastic Sediments; Special Paper of the Geological Society of America; Johnsson, M.J., Basu, A., Eds.; Geological Society of America: Boulder, CO, USA, 1993; Volume 285, pp. 21–40. [Google Scholar]
- Kroonenberg, S.B. Effects of provenance, sorting and weathering on the geochemistry of fluvial sands from different tectonic and climatic environments. In Program 29th International Geological Congress; Part, A., Nishiyama, T., Fisher, G.W., Kumon, F., Yu, K.M., Watanbe, Y., Motamed, A., Eds.; VSP: Utrecht, The Netherlands, 1994. [Google Scholar]
- Bhatia, M.R.; Crook, K.A.W. Trace element characteristics of graywackes and tectonic setting discrimination of sedimentary basins. Contrib. Mineral. Petrol. 1986, 92, 181–193. [Google Scholar] [CrossRef]










| Time | Sample No. | GPS [x°x′x″] | Formation | Petrographic Descriptions |
|---|---|---|---|---|
| Chiron Basin | ||||
| Early Permian | Y−94 | E, 115°19′15.3″ N, 51°31′32.3″ | Zhipkhoshi Formation | Gray sandstone with feldspar (25%), quartz (20%), lithic fragments (8%), biotite, muscovite and chlorite (up to 1%) and with 0.10–0.18 mm grain size. |
| Late Carboniferous | Y−97 | E, 115°19′43.5″ N, 51°29′31.5″ | Shazagaitui Formation | Yellowish-gray sandstone with quartz (40%), feldspar (30%), lithic fragments (15%), muscovite (10%) and with 0.10–0.30 mm grain size. |
| Late Carboniferous | Y−98 | E, 115°20′31.3″ N, 51°27′56.6″ | Khara-Shibir Formation | Brownish-yellow sandstone with feldspar (45%), quartz (20%), lithic fragments (20%), biotite (10%), small amount muscovite and chlorite (up to 1%) and with 0.10–0.50 mm grain size. |
| Late Paleozoic(?) | Y−99 | E, 115°00′21.9″ N, 51°33′33.2″ | Aga–Borshchovochnyi metamorphic complex | Gray greenschist with quartz (40%), feldspar (15%), lithic fragments (10%), biotite and muscovite (35%), small amount chlorite. |
| Sample | Formation/Complex | Lithology | Age *, Ma | Sm, ppm | Nd, ppm | 147Sm/144Nd | 143Nd/144Nd | Err ** | εNd(0) | εNd(t) | tNd(DM) | tNd(C) |
|---|---|---|---|---|---|---|---|---|---|---|---|---|
| Y−92 | Khara–Shibir | Sandstone | 330 | 2.08 | 11.76 | 0.10765 | 0.512025 | 16 | −12.0 | −8.2 | 1615 | 1783 |
| Y−98 | Khara–Shibir | Sandstone | 330 | 3.24 | 19.93 | 0.09821 | 0.512087 | 2 | −10.7 | −6.6 | 1402 | 1650 |
| Y−96−3 | Shazagaitui | Sandstone | 324 | 5.58 | 31.93 | 0.10637 | 0.511849 | 6 | −15.4 | −11.7 | 1844 | 2064 |
| Y−97 | Shazagaitui | Sandstone | 324 | 3.61 | 21.79 | 0.10006 | 0.511523 | 4 | −21.7 | −17.8 | 2175 | 2565 |
| Y−93 | Zhipkhoshi | Sandstone | 313 | 3.49 | 21.75 | 0.09762 | 0.511813 | 11 | −16.1 | −12.1 | 1752 | 2094 |
| Y−94 | Zhipkhoshi | Sandstone | 313 | 3.85 | 21.94 | 0.10612 | 0.512078 | 2 | −10.9 | −7.3 | 1518 | 1696 |
| Y−99 | Aga-Borshchovochnyi | Greenschist | 492 | 3.65 | 18.41 | 0.11982 | 0.512016 | 2 | −12.1 | −7.3 | 1838 | 1841 |
| Y−101 | Aga-Borshchovochnyi | Greenschist | 492 | 3.40 | 21.01 | 0.09868 | 0.511962 | 6 | −13.2 | −7.0 | 1573 | 1817 |
© 2020 by the authors. Licensee MDPI, Basel, Switzerland. This article is an open access article distributed under the terms and conditions of the Creative Commons Attribution (CC BY) license (http://creativecommons.org/licenses/by/4.0/).
Share and Cite
Popeko, L.I.; Smirnova, Y.N.; Zaika, V.A.; Sorokin, A.A.; Dril, S.I. Provenance and Tectonic Implications of Sedimentary Rocks of the Paleozoic Chiron Basin, Eastern Transbaikalia, Russia, Based on Whole-Rock Geochemistry and Detrital Zircon U–Pb Age and Hf Isotopic Data. Minerals 2020, 10, 279. https://doi.org/10.3390/min10030279
Popeko LI, Smirnova YN, Zaika VA, Sorokin AA, Dril SI. Provenance and Tectonic Implications of Sedimentary Rocks of the Paleozoic Chiron Basin, Eastern Transbaikalia, Russia, Based on Whole-Rock Geochemistry and Detrital Zircon U–Pb Age and Hf Isotopic Data. Minerals. 2020; 10(3):279. https://doi.org/10.3390/min10030279
Chicago/Turabian StylePopeko, Ludmila I., Yulia N. Smirnova, Victor A. Zaika, Andrey A. Sorokin, and Sergey I. Dril. 2020. "Provenance and Tectonic Implications of Sedimentary Rocks of the Paleozoic Chiron Basin, Eastern Transbaikalia, Russia, Based on Whole-Rock Geochemistry and Detrital Zircon U–Pb Age and Hf Isotopic Data" Minerals 10, no. 3: 279. https://doi.org/10.3390/min10030279
APA StylePopeko, L. I., Smirnova, Y. N., Zaika, V. A., Sorokin, A. A., & Dril, S. I. (2020). Provenance and Tectonic Implications of Sedimentary Rocks of the Paleozoic Chiron Basin, Eastern Transbaikalia, Russia, Based on Whole-Rock Geochemistry and Detrital Zircon U–Pb Age and Hf Isotopic Data. Minerals, 10(3), 279. https://doi.org/10.3390/min10030279
